Насадочная абсорбционная колонна
Расчетно-пояснительная
записка
к курсовому
проекту по дисциплине
«Процессы и
аппараты химической технологии»
«Насадочная
абсорбционная колонна»
Содержание:
Аннотация
Введение
1. Сравнительная характеристика и выбор основного
оборудования
2. Выбор конструкции аппарата
. Физико-химическая характеристика продуктов
. Выбор конструкционного материала
. Описание технологической схемы
. Технологический расчет аппарата
6.1 Материальный баланс
.2 Движущая сила массопередачи
.3 Определение скорости газа и диаметра абсорбера с насадкой
кольца Рашига
6.4 Определение коэффициента массопередачи для абсорбера с
насадкой кольца Рашига
6.5 Поверхность массопередачи и высота абсорбера с насадкой
кольца Рашига
6.6 Гидравлическое сопротивление абсорбера с насадкой кольца
Рашига
6.7 Определение скорости газа и диаметра абсорбера с насадкой
седла«Инталокс»
6.8 Определение коэффициента массопередачи для абсорбера с
насадкой седла «Инталокс»
6.9 Поверхность массопередачи и высота абсорбера с насадкой
седла «Инталокс»
6.10 Гидравлическое сопротивление абсорбера с насадкой седла
«Инталокс»
7. Расчет аппарата на прочность
.1 Расчет толщины обечайки
.2 Расчет толщины днища
.2.1 Расчет трубопроводов
.2.2 Трубопровод подачи газа в колонну
.2.3 Трубопровод подачи абсорбента
.2.4 Трубопровод для выхода отработанного газа
.2.5Трубопровод для выхода аммиачной воды
. Расчет вспомогательного оборудования
.1 Расчет холодильника газа
8.2 Расчет насосов
8.2.1 Расчет насоса для подачи абсорбента…
8.2.2 Расчет насоса для подачи оборотной воды
8.3 Расчет газодувки
8.4 Расчет емкостей
9. Выбор точек контроля
Выводы и предложения
Список литературы
Аннотация
Пояснительная записка содержит 74 листа, в которых содержатся 14 рисунков
и 4 таблицы.
В ходе разработки курсового проекта были изучены теоретические основы
процесса абсорбции, сферы применения данного процесса в различных отраслях
промышленности.
В работе представлен обзор литературы, рассмотрены основные виды и
сравнительная характеристика абсорбционных колонн. Приведено технико-экономическое
обоснование выбора абсорбционной колонны насадочного типа.
В работе приведены физико-химические свойства продуктов процесса.
Осуществлен выбор конструкционного материала для изготовления корпуса,
штуцеров, трубопроводов контактирующих со смесью.
Представлена технологическая схема процесса абсорбции и её описание.
В результате технологического расчета насадочной колонны определен расход
поглотителя (абсорбента), основные размеры аппарата, гидравлическое
сопротивление колонны.
Был проведен расчет аппарата на прочность, а так же расчет и выбор
следующего вспомогательного оборудования: кожухотрубчатый холодильник газа,
насос подачи абсорбента, насос подачи аммиачной воды; насос подачи оборотной
воды в холодильник газа, газодувка для подачи аммиачно-воздушной смеси, ёмкость
для сбора абсорбента и ёмкость для сбора аммиачной воды.
В работе приведены точки контроля.
Представлены выводы по проделанной работе.
Приведен список используемой литературы.
По полученным данным выполнены следующие чертежи: технологическая схема
процесса абсорбции; чертеж общего вида насадочной колоны с узлами и деталями;
чертеж теплообменного аппарата с узлами и деталями.
Введение
Абсорбцией называют процесс поглощения газов или паров (абсорбтивов) из
газовых или паро-газовых смесей жидкими поглотителями (абсорбентами).
Обратный процесс - выделение растворенного газа из раствора - носит
название десорбции.
В абсорбционных процессах (абсорбция, десорбция) участвуют две фазы -
жидкая и газовая и происходит переход вещества из газовой фазы в жидкую (при
абсорбции) или, наоборот, из жидкой фазы в газовую (при десорбции). Таким
образом, абсорбционные процессы являются одним из видов процессов
массопередачи.
На практике абсорбции подвергают большей частью не отдельные газы, а
газовые смеси, составные части которых (одна или несколько) могут поглощаться
данным поглотителем в заметных количествах. Эти составные части называют
абсорбируемыми компонентами или просто компонентами, а непоглощаемые составные
части - инертным газом.
Различают физическую абсорбцию и хемосорбцию. При физической абсорбции
растворение газа не сопровождается химической реакцией (или, по крайней мере,
эта реакция не оказывает заметного влияния на процесс). В данном случае над
раствором существует более или менее значительное равновесное давление
компонента и поглощение последнего происходит лишь до тех пор, пока его
парциальное давление в газовой фазе выше равновесного давления над раствором.
Полное извлечение компонента из газа при этом возможно только при противотоке и
подаче в абсорбер чистого поглотителя, не содержащего компонента[1, 2].
При хемосорбции (абсорбция, сопровождаемая химической реакцией)
абсорбируемый компонент связывается в жидкой фазе в виде химического
соединения. При необратимой реакции равновесное давление компонента над
раствором ничтожно мало и возможно полное его поглощение. При обратимой реакции
над раствором существует заметное давление компонента, хотя и меньшее, чем при
физической абсорбции [1, 2].
Протекание абсорбционных процессов характеризуется их статикой и
кинетикой.
Статика абсорбции, т. е. равновесие междужидкой и газовой фазами,
определяет состояние, которое устанавливается при весьма продолжительном
соприкосновении фаз. Равновесие между фазами определяется термодинамическими
свойствами компонента и поглотителя и зависит от состава одной из фаз,
температуры и давления.
Кинетика абсорбции, т. е. скорость процесса массообмена, определяется
движущей силой процесса (т. е. степенью отклонения системы от равновесного
состояния), свойствами поглотителя, компонента и инертного газа, а также
способом соприкосновения фаз (устройством абсорбционного аппарата и
гидродинамическим режимом его работы).
Области применения абсорбционных процессов в химической и смежных
отраслях промышленности весьма обширны [1].
Некоторые из этих областей указаны ниже:
Получение готового продукта путем поглощения газа жидкостью. Примерами
могут служить: абсорбция SO3
в производстве
серной кислоты; абсорбция HCI с
получением соляной кислоты; абсорбция окислов азота водой (получение азотной
кислоты) и т.д.
Разделение газовых смесей для выделения одного или нескольких ценных
компонентов смеси. В этом случае применяемый поглотитель должен обладать,
возможно, большей поглотительной способностью по отношению к извлекаемому компоненту
и возможно меньшей по отношению к другим составным частям этой газовой смеси.
Например: абсорбция бензола из коксового газа, абсорбция ацетилена из газов
крекинга или пиролиза природного газа.
Очистка газа от примесей вредных компонентов. Такая очистка
осуществляется, прежде всего, с целью удаления примесей, не допустимых при
дальнейшей переработке газов (например, очистка нефтяных и коксовых газов от H2S, очистка азотоводородной смеси для синтеза аммиака от СО2,
и СО и т.д.)
Улавливание ценных компонентов из газовой смеси для предотвращения их
потерь, а также по санитарным соображениям, например рекуперация летучих
растворителей.
1. Сравнительная характеристика и выбор основного
оборудования
Аппараты, в которых осуществляются абсорбционные процессы, называются
абсорберами.
При абсорбционных процессах массообмен происходит на поверхности
соприкосновения фаз. Поэтому абсорберы должны иметь развитую поверхность
соприкосновения между газом и жидкостью. Исходя из способа создания этой
поверхности, абсорбционные аппараты можно подразделить на следующие группы [2]:
· Поверхностные и пленочные
· Насадочные
· Барботажные (тарельчатые)
· Распыливающие
Поверхностные и пленочные абсорберы
В абсорберах этого типа поверхностью соприкосновения фаз является зеркало
неподвижной или медленно движущейся жидкости, или же поверхность текущей жидкой
пленки.
Поверхностные абсорберы. Эти абсорберы используют для поглощения хорошо
растворимых газов. В указанных аппаратах газ проходит над поверхностью
неподвижной или медленно движущейся жидкости (рис.1.). Так как поверхность
соприкосновение в таких абсорберах мала, то устанавливают несколько
последовательно соединенных аппаратов, в которых газ и жидкость движутся
противотоком друг к другу. Для того чтобы жидкость перемешалась по абсорберам
самотеком, каждый последующий по ходу жидкости аппарат располагают несколько
ниже предыдущего. Для отвода тепла, выделяющегося при абсорбции, в аппаратах
устанавливают змеевики, охлаждаемые водой или другим охлаждающим агентом, либо
помещают абсорберы в сосуды с проточной водой.
Жидкость
Жидкость
Рис.1. Поверхностный абсорбер
Более совершенным аппаратом такого типа является абсорбер (рис. 2.),
состоящий из ряда горизонтальных труб, орошаемых снаруживодой. Необходимый
уровень жидкости в каждом элементе 1 такого аппарата поддерживается с помощью
порога 2.
Рис.2. Оросительный абсорбер:
- элемент абсорбера; 2 - сливные пороги.
Пластинчатый абсорбер (рис. 3.) состоит из двух систем каналов: по
каналам 1 большого сечения движутся противотоком газ и абсорбент, по каналам 2
меньшего сечения - охлаждающий агент (как правило, вода). Пластинчатые
абсорберы обычно изготавливаются из графита, так как он является химически
стойким материалом, хорошо проводящим тепло.
Рис.3. Пластинчатый асорбер:
- каналы для прохождения газа и абсорбента;
- каналы для протекания охлаждающего агента.
Поверхностные абсорберы имеют ограниченное применение вследствие их малой
эффективности и громоздкости.
Пленочные абсорберы.Эти аппараты более эффективны и компактны, чем поверхностные
абсорберы. В пленочных абсорберах поверхностью контакта фаз является
поверхность текущей пленки жидкости. Различают следующие разновидности
аппаратов данного типа: 1) трубчатые абсорберы; 2) абсорберы с
плоско-параллелыюй или листовой насадкой; 3) абсорберы с восходящим движением
пленки жидкости.
Трубчатый абсорбер (рис. 4.) сходен по устройству с вертикальным
кожухотрубчатым теплообменником. Абсорбент поступает на верхнюю трубную решетку
1, распределяется по трубам 2 и стекает по их внутренней поверхности в виде
тонкой пленки. В аппаратах с большим числом труб для более равномерной подачи и
распределения жидкости по трубам используют специальные распределительные
устройства. Газ движется по трубам снизу вверх навстречу стекающей жидкой
пленке. Для отвода тепла абсорбции по межтрубному пространству пропускают воду
или другой охлаждающий агент.
Рис.4. Трубчатый абсорбер:
- трубная решетка; 2 - трубы.
Абсорбер с плоскопараллельной насадкой. Этот аппарат представляет собой
колонну с листовой насадкой в виде вертикальных листов из различного материала
(металл, пластические массы и др.) или туго натянутых полотнищ из ткани. В
верхней части абсорбера находятся распределительные устройствадля равномерного
смачивания листовой насадки с обеих сторон
Абсорбер с восходящим движением пленки (рис. 5) состоит из труб
закрепленных в трубных решетках 2. Газ из камеры 3 проходит через патрубки 4,
расположенные соосно с трубами 1. Абсорбент поступает в трубы через щели 5.
Движущийся с достаточно большой скоростью газ увлекает жидкую пленку в
направлении своего движения (снизу вверх), т. е. аппарат работает в режиме восходящего
прямотока. По выходе из труб 1 жидкость сливается на верхнюю трубную решетку и
выводится из абсорбера. Для отвода тепла абсорбции по межтрубному пространству
пропускают охлаждающий агент. Для увеличения степени извлечения применяют
абсорберы такого типа, состоящие из двух или более ступеней, каждая из которых
работает по принципу прямотока, в то время как в аппарате в целом газ и
жидкость движутся противотоком друг к другу. В аппаратах с восходящим движением
пленки вследствие больших скоростей газового потока (до 30- 40 м/сек)
достигаются высокие значения коэффициентов массопередачи, но, вместе с тем,
гидравлическое сопротивление этих аппаратов относительно велико.
Рис.5. Абсорбер с восходящим движением жидкой пленки:
- трубы; 2 - трубная решетка; 3 - камера;
- патрубок для подачи газа; 5 - щель для подачи абсорбента.
Насадочные абсорберы
Насадочные абсорберы представляют собой колонны, загруженные насадкой из
тел различной формы (кольца, кусковой материал, деревянные решетки и т. д.).
Соприкосновение газа с жидкостью происходит в основном на смоченной поверхности
насадки, по которой стекает орошающая жидкость. Поверхность насадки в единице
объема аппарата может быть довольно большой и поэтому в сравнительно небольших
объемах можно создать значительные поверхности массопередачи.
Рис.6. Насадочный абсорбер:
а - со сплошной загрузкой насадки; б - с послойной загрузкой насадки; 1 -
поддерживающие решетки; 2 - насадка; 3 - устройство для распределения жидкости;
4 - перераспределитель; 5 - желоб; 6 - патрубок.
Течение жидкости по насадке носит в основном пленочный характер,
вследствие чего насадочные абсорберы можно рассматривать как разновидность
пленочных. В то же время между насадочными и пленочными абсорберами, в том
числе абсорберами с листовой насадкой, имеются различия. В пленочных абсорберах
пленочное течение жидкости происходит по всей высоте аппарата, тогда как в
насадочном - лишь по высоте элемента насадки. При перетекании жидкости с одного
элемента насадки на другой пленка жидкости разрушается и на нижележащем
элементе образуется новая пленка. Некоторая часть жидкости при этом
проваливается в виде капель через расположенные ниже слои насадки.
При определенных условиях пленочное течение жидкости в насадочных
абсорберах нарушается, и контакт между газом и жидкостью осуществляется в
режиме барботажа.
Насадочный абсорбер (рис. 6.) состоит из колонны, в которой помещена
поддерживающая решетка 1; на этой решетке уложен слой насадки 2.
Орошающая жидкость подается на насадку при помощи распределительного устройства
3. В показанном на рис. 6., а абсорбере насадка уложена сплошным слоем
по всей высоте. Иногда насадку укладывают несколькими слоями, устанавливая под
каждым слоем отдельные поддерживающие решетки (рис. 6.,б). В некоторых случаях
при послойной укладке насадки между отдельными4 для перераспределения
жидкости.
Движение газа и жидкости в насадочных абсорберах обычно осуществляется
противотоком. Прямоток (нисходящий) применяют довольно редко. Однако в
последнее время большое внимание уделяют созданию прямоточных насадочных
абсорберов, работающих с большими скоростями газа (до 10 м/с). При таких
скоростях, которые в случае противотока недостижимы из-за наступления
захлебывания, интенсифицируется процесс и уменьшаются габариты аппарата;
гидравлическое сопротивление при прямотоке значительно ниже, чем при
противотоке.
Недостаток насадочных абсорберов - трудность отвода тепла в процессе
абсорбции. Обычно применяют циркуляционный отвод тепла, используя выносные
холодильники. Предложенные конструкции абсорберов с внутренним отводом тепла
при помощи помещенных в насадку охлаждающих элементов не получили
распространения.
Насадки
Насадки, применяемые для заполнения насадочных абсорберов, должны
обладать большой удельной поверхностью (поверхность на единицу объема) и
большим свободным объемом. Кроме того, насадка должна оказывать малое
сопротивление газовому потоку, хорошо распределять жидкость и обладать
коррозионной стойкостью в соответствующих средах. Для уменьшения давления на
поддерживающее устройство и стенки насадка должна иметь малый объемный вес,
Применяемые в абсорберах насадки можно подразделить на два типа: регулярные
(правильно уложенные) и беспорядочные (засыпаемые внавал) насадки
Хордовая насадка. Эта насадка (рис. 7.) состоит из поставленных на ребро
досок 2, образующих решетку. Решетки укладываются друг на друга, так что в
смежных решетках доски повернуты на угол 90° (иногда 45°). Наиболее
распространена деревянная хордовая насадка, изготовляемая из досок толщиной
10-13 мм и высотой 100- 150 мм. В нижней части досок через каждые 200-250 мм
делают треугольные вырезы, разрывающие стекающую жидкость и не допускающие ее
стекания в одну сторону при перекосе насадки. Нижнюю часть досок, в которой
расположены эти вырезы, часто срезают под углом, как показано на рис. 7.
Рис. 7. Деревянная хордовая насадка:
1
- рейки; 2 - доски; 3 - штыри; 4 - прокладки.
Отдельные доски соединяют посредством штырей или тяг с установкой
прокладок (рис. 7.). Через каждые 10-12 досок устанавливают утолщенные рейки 1
толщиной 25 мм, выступающие на 10 мм ниже и выше остальных досок. Эти рейки
служат для укладывания отдельных решеток насадки друг на друга, а нижней решетки
- на поддерживающее устройство. Таким образом, между досками смежных решеток
остаются зазоры (около 20 мм), способствующие улучшению работы насадки.
Кольцевая насадка. Насадочные тела представляют собой цилиндрические
тонкостенные кольца, наружный диаметр которых обычно равен высоте кольца.
Диаметр насадочных колец изменяется от 25 до 150 мм (кольца меньшего диаметра
почти не находят применения в промышленной практике). Кольца малого диаметра
(до 50 мм) загружают в абсорбер навалом (рис. 8.,а).
а
б
Рис. 8. Насадка кольцами: а - внавал; б - в укладку.
При диаметре больше 50 мм кольца укладывают правильными рядами; при этом
во избежание провала жидкости кольца укладывают в шахматном порядке, т. е.
кольца каждого ряда сдвинуты относительно колец смежного ряда (рис. 8, б).
Насадочные кольца изготавливают чаще всего из керамики или фарфора, в
некоторых случаях из углеграфитовых масс. Применяют также тонкостенные
металлические кольца из стали или других металлов. Стальные кольца,
изготовленные путем разрезания стандартных труб, имеют большую толщину стенки;
такая насадка обладает значительным объемным весом. Перспективно применение
колец из пластических масс.
Кольца Рашига (рис. 9., а) представляют собой простые кольца без
дополнительных устройств. Эти кольца наиболее дешевы и просты в изготовлении;
они хорошо зарекомендовали себя на практике и являются самым употребительным
видом насадок.
Рис. 9. Насадочные тела:
а - кольца Рашига; б - кольца с перегородкой; в - кольца с крестообразной
перегородкой; г - кольца Палля; д - седла Берля; е - седла «Инталокс».
Находят применение, особенно в зарубежной практике, и некоторые другие виды
кольцевых насадок. Для увеличения поверхности применяют показанные кольца с
перегородкой (кольца Лессинга), кольца с крестообразной перегородкой (рис. 9.,
в) и спиральные кольца, имеющие внутри одну, две и три спирали. При регулярной
укладке кольца с крестообразной перегородкой и спиральные применяют размером 75
мм и более. Эти кольца сложны в изготовлении, дороги и обладают малым свободным
объемом. Испытания показали невысокую эффективность спиральных колец по
сравнению с кольцами Рашига. В настоящее время данные кольца практически вышли
из употребления.
Седлообразная насадка. Эта насадка применяется для беспорядочной засыпки. На рис.
9., д показаны седла Берля, а на рис. 9., е седла «Инталокс». Поверхность
первых представляет собой гиперболический параболоид, а вторых - часть тора.
Седла «Инталокс» проще в изготовлении. Седлообразная насадка при одинаковых
размерах насадочных тел имеет по сравнению с кольцами Рашига примерно на 25%
большую удельную поверхность и несколько больший свободный объем.
По литературным данным, седлообразная насадка обладает меньшим
гидравлическим сопротивлением и несколько большей эффективностью, чем кольца
Рашига. Вероятно, седла Берля лучше смачиваются, чем кольца Рашига. Седла
«Инталокс» по сравнению с седлами Берля обеспечивают большую беспорядочность
насадки и не создают предпочтительных путей (каналов) для протекания жидкости.
Кроме того, удельная поверхность и свободный объем у седел «Инталокс» выше, чем
у седла Берля. Из двух видов седлообразной насадки предпочтение следует отдать,
по-видимому, седлам «Инталокс».
Блочная насадка. Эта насадка используется в качестве регулярной и состоит из
отдельных элементов большого размера (блоков). На рис. 10. показаны некоторые
типы блочной керамической насадки, разработанной в СССР и США. Блоки по рис.
10., а и б должны иметь «ножки» с тем, чтобы между рядами насадки оставался
зазор 10-20 мм; при этом гидравлическое сопротивление уменьшается, а
коэффициент массопередачи повышается.
а б в
Рис. 10. Блочные насадки:
а - щелевые блоки; б - решетчатые блоки; в - сотовые блоки.
Преимуществом блочной насадки перед другими регулярными насадками (в
частности, кольцами в укладку) является значительное упрощение работ по укладке
насадки в абсорбер, которые, особенно при не очень крупной насадке (кольца
размером 50-80 мм), весьма трудоемки. По своим качествам блочная насадка не
уступает другим видам регулярных насадок. Хотя в настоящее время блочные
насадки не имеют широкого промышленного применения, их следует считать
перспективным видом насадок. При массовом изготовлении блочные насадки должны
стоить дешевле колец Рашига.
Кусковая насадка. Эта насадка применяется в виде кусков кокса или дробленого
кварца размером 25-100 мм, засыпаемых беспорядочно. Достоинства кусковой на
садки - дешевизна и стойкость к большинству агрессивных сред; недостатки -
малые удельная поверхность и свободный объем и значительное гидравлическое
сопротивление. Кварц, кроме того, обладает большим объемным весом, а кокс легко
крошится, что ведет к загрязнению орошающей жидкости и увеличению
сопротивления. Эффективность кусковых насадок невелика. Сейчас они используются
редко.
Специальные иасадки. Испытана насадка из вертикальных проволочных спиралей
диаметром 30 мм (диаметр проволоки 3 мм) и расстоянием между ними 50 мм.
Орошение подается отдельно на каждую спираль. Насадка обладает большим
свободным объемом (е = 0,96) и малым сопротивлением.
Насадка полиэтиленовыми розетками Теллера изображена на рис. 11., а. При
s = 0,83 и а = 250 м-1 объемные коэффициенты массопередачи для этой насадки
оказались на 23-72% выше, чем для колец и седел размером 25 мм при более низком
сопротивлении. Так как полиэтилен не смачивается водой и смоченная поверхность
близка к нулю, высокие коэффициенты массопередачи объясняют абсорбцией
жидкостью, находящейся в точках соприкосновения насадочных тел между собой, и
стекающими струйками (у испытанной насадки число точек соприкосновения
составляло 1,3-106 в м3, что в 2-3,5 раза превышает значение для седел и колец
размером 25 мм).
Были предложены различные металлические сетчатые насадки, отличающиеся
высокой эффективностью. Недостатками этих насадок являются легкаязабиваемость и
малые допустимые скорости газа. Последний недостаток устранен в насадке
«Спрейпак», показанной на рис. 11.,б. Насадка изготовляется из металлической
полосы толщиной 0,5-1 мм нанесением в шахматном порядке прорезей и последующим
растягиванием полосы в направлении, перпендикулярном прорезям; при этом прорези
расширяются и полоса принимает вид решетки. Насадка собирается нз изогнутых
решетчатых элементов, соединяемых стержнями (рис. 11., б). Испытания насадки с
шагом р = 125-300 мм и высотой ячейки h = 50-150 мм (при размере отверстий 3;2
мм, поперечном шаге между отверстиями 5,6 мм, ширине перемычки между
отверстиями 1,6 мм и продольном шаге между отверстиями 10,3 мм) показали, что
жидкость, независимо от способа ее подачи, хорошо смачивает всю поверхность
насадки. Достоинство насадки «Спрейпак» - возможность работы с высокими
скоростями газа (до 2,5-3,5 м/с) при умеренных гидравлических сопротивлениях
(до 500-750 Па на 1 м высоты). Пока еще имеется слишком мало данных для оценки
этой насадки.
а б
Рис. 11. Специальные насадки:
а - розетка Теллера; б - насадка «Спрейпак».
Насадка из стеклянного волокна отличается очень высокой удельной
поверхностью (около 1000 м-1) и большим свободным объемом (0,9-0,95), причем
гидравлическое сопротивление ниже, чем у остальных насадок внавал. Эта насадка
чувствительна к захлебыванию; при наступлении последнего насадка разрыхляется с
образованием пустот, причем верхний слой насадки разрывается на короткие волокна.
Другим недостатком насадки является легкаязабиваемость [1, 2, 3].
Барботажные (тарельчатые) абсорберы
Тарельчатые абсорберы (рис.12.) представляют собой, как правило,
вертикальные колонны, внутри которых на определенном расстоянии друг от друга
размещены горизонтальные перегородки - тарелки. С помощью тарелок осуществляют
направленное движение фаз и многократное взаимодействие жидкости и газа.
Рис.12. Тарельчатый абсорбер:
- тарелки; 2 - газовые трубки; 3 - колпачки; 4 - сливные патрубки.
Таки образом, в тарельчатых абсорберах происходит ступенчатый контакт с
соединением ступеней противотоком: газ поступает в нижнюю часть и выходит
сверху; жидкость подводится сверху и выходит снизу. На каждой тарелке, в
зависимости от ее конструкции, может, осуществляется тот или иной вид движения
фаз, обычно перекрестный ток или перемешивание жидкости.
Назначение тарелок развитие межфазной поверхности и улучшение контакта
между жидкостью и газом. Тарелки, как правило, снабжаются устройством для
перелива жидкости.
К тарелкам предъявляются следующие требования: они должны иметь высокий
к.п.д. (обеспечивать хороший контакт между жидкостью и газом), обладать малым
гидравлическим сопротивлением, устойчиво работать при значительном колебании
расходов пара и жидкости. Тарелки должны быть просты по конструкции, удобны в
эксплуатации, иметь малый вес и быть нечувствительными к различным осадкам и
отложениям, что особенно важно при работе с загрязненными жидкостями.
Наибольшее применение находят колпачковые, ситчатые и клапанные тарелки.
Рис. 13. Конструкции тарелок:
а) колпачковая; б) клапанная с верхним ограничителем подъема; в)
клапанная с нижним ограничителем подъема; г) из S - образных элементов; д) пластинчатая;
е) чешуйчатая; ж) прямоточная.
Распыливающие абсорберы
В абсорберах этого типа тесный контакт между фазами достигается путем
распыливания или разбрызгивания различными способами жидкости в газовом потоке.
Полый распыливающий абсорбер представляет собой колонну, в верхней части,
корпуса которой имеются форсунки для распыливания жидкости. В распыливающих
абсорберах объемные коэффициенты массопередачи быстро снижаются по мере
удаления от форсунок вследствие коалисценции капель и уменьшения поверхности
фазового контакта.
К достоинствам полых распыливающих абсорберов относятся: простота
устройства, низкое гидравлическое сопротивление, возможность работы с
загрязненными газами, легкость осмотра, очистки и ремонта. Недостатки этих
аппаратов: невысокая эффективность, значительный расход энергии на распыливание
жидкости; трудность работы с загрязненными жидкостями, необходимость подачи
больших количеств абсорбента для увеличения количества капель и соответственно
- поверхности контакта фаз, низкие допустимые скорости газа.
Значительно более эффективными аппаратами являются прямоточные
распыливающие абсорберы, в которых распыленная жидкость захватывается и
уносится газовым потоком, движущимся с большой скоростью, а затем отделяется от
газа в сепарационной камере.
Из различных видов аппаратов в настоящее время наиболее распространены
насадочные и барботажные абсорберы [2].
2. Выбор конструкции аппарата
При выборе типа абсорбера нужно исходить из физико-химических условий
процесса с учетом технико-экономических факторов.
Из предыдущей главы видно, что наиболее оптимальным вариантом является
использование насадочного или тарельчатого абсорбера, так как они менее
громоздки, наиболее эффективны и имеют меньшее гидравлическое сопротивление,
чем поверхностные и распыливающие[2].
На основании обзора литературы [1, 2, 3, 4, 9, 10] делаем выбор в пользу насадочного абсорбера, поскольку по
сравнению с тарелочным он имеет довольно простую конструкцию, но при этом
высокую эффективность процесса. Кроме того, в насадочном абсорбере не сложно
защитить корпус, поэтому он может работать в агрессивных средах, есть
возможность осуществить противоток в одной ступени, изменять нагрузки по газу и
жидкости в широком интервале, и низкое гидравлическое сопротивление.
3. Физико-химические характеристики продуктов
Основные физико-химические характеристики аммиака, воздуха и воды при
нормальных условиях приведены в таблице 1.
Таблица 1.
Физико-химические характеристики продуктов.
|
Параметры веществ
|
Аммиак
|
Вода
|
Воздух
|
|
Плотность, кг/м3
|
0,77
|
1000
|
1,293
|
|
Вязкость, Па*с
|
9,18*10-6
|
1*10-3
|
17,3*10-3
|
|
Молярная масса
|
17
|
18
|
29
|
|
Поверхностное натяжение,
Н/м
|
-
|
75,6*10-3
|
-
|
|
Средняя теплоемкость,
кДж/(кгК)
|
2,1
|
4,19
|
1
|
|
Коэффициент
теплопроводности
|
0,0209
|
0,5466
|
0,0244
|
|
Температура кипения, оС
|
-33,4
|
100
|
-195
|
4. Выбор конструкционного материала
При изготовлении аппаратов к конструкционным материалам предъявляются
следующие требования:
· Достаточная общая химическая и коррозионная стойкость
материала в агрессивной среде с заданными концентрацией, температурой и
давлением, при которых осуществляется технологический процесс, а также
стойкость против других возможных видов коррозионного разрушения
(межкристаллитная коррозия, электрохимическая коррозия сопряжённых металлов в
электролитах, коррозия под напряжением и др.);
· Достаточная механическая прочность при заданных давлении и температуре
технологического процесса, с учётом специфических требований, предъявляемых при
испытании аппаратов на прочность, герметичность и т. п. и в эксплуатационных условиях
при действии на аппараты различного рода дополнительных нагрузок (ветровая
нагрузка, прогиб от собственного веса и т. д.);
· Наилучшая способность материала свариваться с обеспечением
высоких механических свойств сварных соединений и коррозионной стойкости их в
агрессивной среде, обрабатываться резанием, давлением, подвергаться сгибу и т.
п.;
· Низкая стоимость материала, не дефицитность и освоенность её
промышленностью. Необходимо стремиться применять двухслойные стали,
неметаллические материалы, стали с покрытиями из неметаллических материалов.
В качестве материала для изготовления корпуса, штуцеров, трубопроводов
контактирующих со смесью, выбираем сталь марки ВСт.3.[5].
5. Описание технологической схемы
Исходная парогазовая смесь по линии 29 подается в холодильник газа ХГ,
где предварительно охлаждается водой. Охлажденная аммиачно-воздушная смесь по
линии 29 поступает в нижний боковой патрубок абсорбера А, где равномерно
распределяется по сечению колонны и поступает на контактные элементы (насадку).
Вода (абсорбент) подается центробежным насосом по линии 38 в верхнюю часть
абсорбера и равномерно орошает насадку по всей площади сечения.
В колонне осуществляется противоточное взаимодействие газа и жидкости. В
результате их контакта происходит процесс абсорбции. Очищенный газ выходит из
колонны в атмосферу. Регенерация абсорбента осуществляется ректификацией. Для
проведения этого процесса аммиачная вода по линии 36 насосом Н1 подается в
конденсатор К, где нагревается парами аммиака, идущими из ректификационной
колонны КР. Аммиачная вода подогревается в подогревателе П1 за счет тепла
кубового остатка ректификационной колонны. Из подогревателя по линии 36
аммиачная вода поступает в подогреватель П2, и нагревается за счет тепла пара.
Нагретая аммиачная вода поступает в верхнюю часть ректификационной колонны, где
происходит процесс ректификации. В результате в верхней части колонны
оказываются чистые пары аммиака, а в нижней части - вода. Пары аммиака по линии
37 подаются в конденсатор К, где отдают тепло аммиачной воде. Далее
сконденсированный аммиак охлаждается водой в холодильнике Х и поступает в
емкость Е2, откуда насосом Н4 перекачивается на склад. Очищенная вода из
кубовой части колонны по линии 38 подается насосом Н3 в оросительный
холодильник ХО, где охлаждается оборотной водой, после чего подается в емкость
Е1. Из емкости Е1 насосом Н2 очищенная вода по линии 38 подается в верхнюю
часть абсорбционной колонны. Теплая оборотная вода из холодильника орошения по
линии 1т насосом Н6 подается в верхнюю часть градирни Г, где она охлаждается и
насосом Н5 снова подается в холодильник орошения ХО.В процессе абсорбции при
помощи КИП контролируются расходы, температуры, давления технологических
потоков.
6. Технологический расчет абсорбера
6.1 Материальный баланс
Массу аммиака, переходящего в процессе абсорбции из газовой смеси в
поглотитель - воду за единицу времени определяем из уравнения материального
баланса.

(1)
гдеG-
расход инертной части газа, кг/с; L - расход
чистого поглотителя, кг/с;
,
- относительная массовая концентрация аммиака в воде, кг
NH3/
кг воды; 
,
- относительная массовая концентрация аммиака в воздухе,
кг NH3/
кг воздуха.
Относительные
массовые составы газовой и жидкой фаз определяем по формулам:

, (2)
где

- массовая доля аммиака в воде, кгNH3/
кг NH3+кг
воды.

, (3)
где

- мольная доля аммиака в воздухе, кмольNH3/кмольNH3+кмоль
воздуха; 
- молярная масса аммиака, г/моль; 
- молярная масса воздуха, г/моль.

кгNH3/
кг воды

кгNH3/
кг воды

кгNH3/
кг воды
Конечная
концентрация аммиака в воде 
обуславливает
её расход, а так же часть энергетических затрат, связанных с перекачиванием
жидкости и её регенерацией. Поэтому 
выбирают
исходя из оптимального расхода поглотителя. Примем расход воды на 40% больше
чем минимальный расход [6]. В этом случае конечную концентрацию 
определяют
из уравнения материального баланса используя данные по равновесию:

(4)
где

кг/с минимальный расход поглотителя, кг/с.
Данные
по равновесию

коэффициент
распределения (5)
где
E
коэффициент Генри, ат; P
общее
давление смеси газов, ат.
E=0,823 ат[11].
Уравнение
равновесной линии имеет вид:

(6)
Рис.14.
Зависимость между содержанием аммиака в газе и в воде при 20ºС

=0,0336 кг
NH3/
кг воды - концентрация аммиака в
жидкости, равновесная с газом начального состава (по рис.14.)
Решая
уравнение (4) получаем:

кгNH3/
кг воды
Пересчитываем
расход газа на заданные условия по формуле:

, (7)

м3/ч=9,85 м3/с
Расход
инертной части газа:

, (8)

кг/м3,[6]

кг/с
Производительность
абсорбера по поглощаемому компоненту:

кг/с
Тогда
соотношение между расходом фаз, или удельный расход поглотителя находим как:

кг/кг.
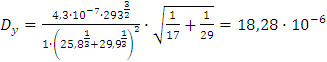
6.2
Движущая сила массопередачи
Движущая
сила может быть выражена в единицах концентраций как жидкой, так и газовой фаз.
Для случая линейной равновесной зависимости между составами фаз, принимая
модель последовательного вытеснения в потоках обеих фаз, определим движущую
силу в единицах концентрации газовой фазы.

, (9)

- большая
и меньшая движущие силы на входе потоков в абсорбер и на выходе из него, кгNH3/
кг воды

, (10)

, (11)

-
концентрации аммиака в газе, равновесные с концентрациями в жидкой
фазе(поглотителе) соответственно на входе в абсорбер и на выходе из него.

=0,0009 кг
NH3/
кг воздуха

=0,0203 кг
NH3/
кг воздуха

кгNH3/
кг воздуха

кгNH3/
кг воздуха

кгNH3/
кг воздуха
6.3
Определение скорости газа и диаметра абсорбера c насадкой
кольца Рашига
При
противотоке газа и жидкости в зависимости от скоростей потоков наблюдаются
четыре гидродинамических режима[1].
Первый
режим (пленочный) наблюдается при сравнительно небольших нагрузках по газу и
жидкости.
Второй
режим (режим подвисания) характеризуется торможением жидкости потоком газа,
вследствие чего скорость течения жидкости уменьшается, а толщина ее пленки и
количество удерживаемой жидкости увеличивается.
Третий
режим (режим захлебывания) возникает в результате того, что жидкость
накапливается в насадке до тех пор, пока сила тяжести, действующая на
находящуюся в насадке жидкость, не уравновесит сил трения. Это приводит к
обращению (инверсии) фаз. Режим захлебывания соответствует максимальной
эффективности колонны.
Четвертый
режим (режим уноса) возникает при повышении скорости газа против величины,
соответствующей режиму захлебывания, при этом происходит вторичная инверсия
фаз.
Насадочные
колонны проектируются таким образом, чтобы рабочая скорость газа была несколько
меньше скорости, при которой наступает инверсия фаз.
Скорость
Wинвв
насадочных колоннах работающих в режиме эмульгирования (захлебывания)
определяют как:

, (12)

-
вязкость соответственно поглотителя при при температуре в абсорбере и воды при
20 ºС, Па
с; А,В - коэффициенты зависящие от типа насадки; L, G -
расходы фаз, кг/с.
Рабочая
скорость газа определяется:
W=
, (13)
Находим
плотность газовой смеси по формуле:

=
кг/м3
Пересчитываем
плотность газовой смеси на условия в абсорбере:

кг/м3
В
качестве насадки выбираем керамические кольца Рашига
внавал,
со следующими характеристиками:
а=200
м2/м3

м3/м3
dэ=0,015 м

кг/м3
Выбор
насадки обусловлен тем, что кольца Рашига наиболее дешевы и просты в
изготовлении; они хорошо зарекомендовали себя на практике и являются самыми
употребительными насадками. Водный раствор аммиака является
коррозионно-активной средой, поэтому в качестве материала насадки выбираем
керамику.
Рассчитываем
предельную скорость газа:
А=
0,073
В=1,75

м/c
W=
м/c
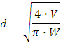
Диаметр
абсорбера находим из уравнения расхода:

, (14)

м
Рассчитанный
диаметр соответствует стандартному диаметру обечайки абсорбера [5].
Рассчитаем
долю орошения колонны по формуле:

, (15)
где
S
площадь
поперечного сечения абсорбера, м2

м3/м2
Доля
активной поверхности насадки может быть найдена:

, (16)
p=0,0367 -коэффициенты зависящие от типа насадки [1].
q=0,0086
-
поверхность насадки смочена недостаточно, для увеличения плотности орошения
выбираем другую насадку - керамические кольца Рашига
внавал,
со следующими характеристиками:
а=90
м2/м3

м3/м3
dэ=0,035 м

кг/м3
Находим
предельную скорость газа:

м/c
W=
м/c
Диаметр
колонны:

м
Выбираем
стандартный диаметр обечайки абсорбера d=2,6 м [5].
Пересчитываем
скорость выбранный стандартный диаметр:

м/c
Плотность
орошения колонны:

м3/м2
Доля
активной поверхности насадки составит:
Где
p=0,0240 и q=0,0012 - коэффициенты зависящие от типа насадки [1].

-
достаточная доля активной поверхности насадки.
6.4
Определение коэффициента массопередачи для абсорбера c насадкой
кольца Рашига
Коэффициент
массопередачи
находим
по уравнению аддитивности фазовых диффузионных сопротивлений:

, (17)
где

и 
коэффициенты
массопередачи в газовой и жидкой фазах, кг/м2
с; m
коэффициент распределения.
Рассчитаем
коэффициент массоотдачи для газовой фазы:
Критерий
Рейнольдса для газовой фазы в насадке определяется по формуле:

, (18)
Определим
вязкость газовой смеси:
Вязкость
аммиака при 20ºС:

, (19)

Па
с [6].
С=
константа уравнения, [6].

Па
с
Вязкость
воздуха при при 20ºС:

, (20)
С=
константа уравнения, [6].

Па
с
Вязкость
газовой смеси найдем из уравнения:

, (21)

,

=18,33
Па
с

=5084
Коэффициент
диффузии аммиака в газе можно рассчитать по уравнению:

, (22)
P=1 ат =1
кгс/см2

см3/моль
[6]

см3/моль
[6]

м2/с,
Диффузионный
критерий Прандтля для газовой фазы:

, (23)
Коэффициент
массоотдачи находим из уравнения:

, (24)

м/с
Выразим

в
выбранной для расчета размерности:

, (25)

, (26)

кг/м2
с
Рассчитаем
коэффициент массоотдачи для жидкой фазы:
Модифицированный
критерий Рейнольдса для стекающей по насадке пленки жидкости:

, (27)

=110,89
Средний
коэффициент диффузии аммиака воде при 20ºС:

м/с [6]
Диффузионный
критерий Прандтля для жидкости:

, (28)
Приведенная
толщина стекающей пленки жидкости:

, (29)

м
Коэффициент
массоотдачи в жидкой фазе:

, (30)

м/с
Выразим

в
выбранной для расчета размерности:

, (31)

кг/м2
с
Рассчитаем
коэффициент массопередачи:

кг/м2
с
6.5
Поверхность массопередачи и высота абсорбера c насадкой
кольца Рашига
Поверхность
массопередачи в абсорбере равна:

, (32)

м2
Высоту
насадки необходимую для создания этой поверхности рассчитываем по формуле:

, (33)

м
Высота
колонны определяется по формуле:

, (34)
где

высота
насадочной части колонны, м;
высота
сепарационной части колонны, м; 
высота
нижней части колонны, м;
расстояние между слоями насадки, м.
Расстояние
от верха насадки до крышкиабсорбера зависит от размеров распределительного
устройства для орошения насадки. Его принимают равным:

, (35)

м
Расстояние
между днищем абсорбера и насадкой определяется необходимостью равномерного
распределения газа по сечению колонны. Обычно это расстояние принимают:

, (36)

м
Во
избежание значительных нагрузок на нижние слои насадки её укладывают ярусами по
4 решетки в абсорбере. Промежутков между ними 
3,
расстояние между решетками 0,7 м[4].

м
Высота
колонны:

м
6.6
Гидравлическое сопротивление абсорбера c
насадкой кольца Рашига
Гидравлическое
сопротивление 
обусловливает
энергетические затраты на транспортировку газового потока через абсорбер.
Величину 
рассчитывают
по формуле:

, (37)
Гидравлическое
сопротивление сухой (не орошаемой жидкостью) насадки определяют по уравнению:

, (38)

скорость
газа в свободном сечении насадки (39)

м/с
Коэффициент
сопротивления λ
беспорядочно насыпанных кольцевых насадок
при турбулентном режиме движения 
можно
рассчитать:

, (40)

Па
Гидравлическое
сопротивление орошаемой насадки:

[4]

Па
Т.к
гидравлическое сопротивление обуславливает энергетические затраты проведем
аналогичный расчет для более совершенной насадки с целью уменьшения
гидравлического сопротивления.
6.7
Определение скорости газа и диаметра абсорбера c насадкой
седла «Инталокс»
В
качестве насадки выбираем седла «Инталокс» со следующими характеристиками [1]:
а=118
м2/м3

м3/м3
dэ=0,027 м

кг/м3
Седлообразная
насадка «Инталокс» при одинаковых размерах насадочных тел по сравнению с
кольцами Рашига имеет на 25% большую удельную поверхность и несколько больший
свободный объем. Такая насадка обладает меньшим гидравлическим сопротивлением и
неколько большей эффективностью чем кольца Рашига.
Рассчитываем
предельную скорость газа:
А=
0,58
В=1,04

м/c
W=
м/c
Диаметр
абсорбера находим из уравнения расхода:

м
Выбираем
стандартный диаметр обечайки абсорбера d=3 м
[5].

=1,39 м/c
Рассчитаем
долю орошения колонны:

м3/м2

, (41)

м3/м2
Доля
активной поверхности насадки может быть найдена:

,
6.8
Определение коэффициента массопередачи для абсорбера c насадкой
седла «Инталокс»
Рассчитаем
коэффициент массоотдачи для газовой фазы:

=2912

м2/с,
Коэффициент
массоотдачи:

м/с
Выразим

в
выбранной для расчета размерности:

кг/м2
с
Рассчитаем
коэффициент массоотдачи для жидкой фазы:

=64,28

м/с

м
Коэффициент
массоотдачи в жидкой фазе:

м/с
Выразим

в
выбранной для расчета размерности:

кг/м2
с
Рассчитаем
коэффициент массопередачи:

кг/м2
с
6.9
Поверхность массопередачи и высота абсорбера c насадкой седла «Инталокс»
Поверхность
массопередачи в абсорбере равна:

м2
Высота
слоя насадки:

м
Высота
колонны:

м
6.10
Гидравлическое сопротивление абсорбера с насадкой седла «Инталокс»

м/с

Па
Гидравлическое
сопротивление орошаемой насадки:

[4]

Па
Использование
седлообразной насадки позволяет уменьшить гидравлическое сопротивление, что
значительно снижает расходы на электроэнергию.
7.
Расчет аппарата на прочность
7.1
Расчет толщины обечайки
Толщину
обечайки определяем по формуле:

, (42)
где
d
диаметр
аппарата, м; P
рабочее
давление, МПа; 
допускаемое
напряжение, МПа; 
коэффициент
прочности сварочных швов; 
поправка
на коррозию.
Допускаемое
напряжение можно рассчитать по формуле:

, (43)

МПа[4]

[4]

МПа

[2]

мм[3]

мм
Согласно
рекомендациям [5] принимаем толщину обечайки 
мм.
Толщина
стенки аппарата должна быть малой по сравнению с диаметром аппарата и должно
соблюдаться условие:

, (43)
Условие
соблюдается.
7.2
Расчет толщины днища
Наибольшее
распространение в химическом машиностроении получили эллиптические
отбортованные днища по ГОСТ 6533
78 [4],
толщина стенки днища 
мм.
7.3
Расчет трубопроводов
Внутренний
диаметр трубопровода круглого сечения рассчитывают по формуле:
7.3.1
Трубопровод подачи газа в колонну

м
Выбираем
трубопровод по ГОСТу Æ 1000´12 мм - ВСт.3.
7.3.2
Трубопровод подачи абсорбента

м
Выбираем
трубопровод по ГОСТу Æ 100´6 мм - ВСт.3.
ШтуцерDу - 100мм, Нт-150мм.
7.3.3
Трубопровод для выхода отработанного газа

м
Выбираем
трубопровод по ГОСТу Æ 1000´12 мм - ВСт.3.
7.3.4
Трубопровод для выхода аммиачной воды

м
Выбираем
трубопровод по ГОСТу Æ 500´12 мм - ВСт.3.
8.
Расчет вспомогательного оборудования
абсорбция материальный баланс аммиак прочность
8.1 Расчет холодильника газа
Примем что начальная температура газа 450ºС и перед подачей он охлаждается до
25ºС.
Предварительно найдем среднюю температуру воды:

ºС
Средняя
разность температур:
ºС 10 ºС

, (44)

K
Средняя температура аммиачно-воздушной смеси:
t1
= 32,5 + 105 = 137,5 ºС
Найдем расход теплоты с учетом потерь 5%:

, (45)
где
с1 - удельная теплоемкость аммиачно-воздушной смеси при Т = 105 К,
Дж/(кгК); 
=4,67 кг/c

=2292386
Вт
Расход воды:

, (46)

кг/с
Объемный
расход:
V2 = 0,016м3/с.
Воду направим в межтрубное пространство, а газ в трубное.
Определим ориентировочное значение площади поверхности теплообмена,
пологая Кор = 13Вт/(м2/К) [6].

, (47)

м2
Выбираем
кожухотрубчатый холодильник диаметром 2200мм, с трубами 25х2 мм,
длинна труб 6 м, число труб 3876 шт., поверхность теплообмена 1800 м2.
Скорость
и критерий Рейнольдса для воды:

, (48)
где
S - проходное сечение м2.

м/с

, (49)
Скорость и критерий Рейнольдса для газа:

, (50)

м/с

, (51)
Для
расчета процесса теплопередачи необходимо знать температуры tст1 и tст2.
Зададимся значениями tст1 и tст2, исходя из того, что t1>
tст1> tст2> t2, примем tст1 = 36 ºС ; tст2 = 30 ºС (с последующей проверкой).
Коэффициент
теплоотдачи для газа:
Газ
движется в трубном пространстве Re> 10000, поэтому критерий Нуссельта
определим по формуле:

, (52)
где eφ - коэффициент, учитывающий влияние
угла атаки [6].

=11,06
Коэффициент теплоотдачи найдем по формуле:

, (53)
где
l - коэффициент теплопроводности, Вт/(мК).

Вт/(м2К)
Коэффициент
теплоотдачи для воды:
При Re> 1000 критерий Нуссельта находим
по формуле:

, (54)
где
ej - коэффициент, учитывающий влияние угла атаки; Pr, Prст - критерий Прандтля для жидкости и стенки
соответственно.
Критерий
Прандтля для воды определим по формуле:

, (55)
Критерий
Прандтля для стенки определим по номограмме [6]. Prст
= 7.
Коэффициент теплоотдачи найдем по формуле (53):

Вт (м2К)
Коэффициент теплопередачи.

, (56)
где
a1’, a2’ -
коэффициенты теплоотдачи горячего и холодного теплоносителей, Вт/(м2К);
Srст - сумма термических сопротивлений слоев, из которых
состоит стенка, (м2К)/Вт.

Вт/(м2К)
Поверхностная плотность теплового потока:

, (57)

Вт
Уточняем
значения tст1,tст2:

, (58)

ºС

, (59)

ºС
Дальнейшее уточнение не требуется.
Расчетная площадь поверхности теплопередачи:

, (60)

=1655м2
С
учетом рассчитанной поверхности теплообмена выбираем теплообменник с
поверхностью теплообмена 1800 м2. Проверочный расчет проводить не
надо, так как сечение межтрубного пространства останется таким же.
Запас
составит:
Итак, окончательно имеем: кожухотрубчатый холодильник диаметром 2200 мм,
с трубами 25х2 мм, длинна труб 6 м, число труб 3876 шт.,
поверхность теплообмена 1800 м2.
8.2 Расчет насосов
8.2.1 Расчёт насоса для подачи абсорбента
Примем скорость аммиачной воды во всасывающей и нагнетательной линии
одинаковой и равной 2 м/с. Тогда диаметр трубопроводов нагнетательной и
всасывающей линии будет одинаковым и рассчитываться по формуле:

м
Выбираем
трубопровод по ГОСТу Æ 100´6 мм - ВСт.3.
Расчет
потерь на трение и местные сопротивления:
Режим
течения аммиачной воды:
Re> 2320
режим турбулентный.
Средне
значение абсолютной шероховатости стенок труб е = 0,2мм [6].Относительная шероховатость dэ/е = 50/0,2 = 250. По графику 1.5 [6] находим значение коэффициента трения l = 0,0284.
Сумма
коэффициентов местных сопротивлений для всасывающей линии:
∑ξвс=ξ1+ξ2=0,5+0,82=1,32
где ξ1=0,5
-вход в трубу (с острыми краями);ξ2= 0,82 -прямоточный вентиль.
Тогда
потери на трение и местные сопротивления определяется формулой: 
(61)

Па
Потери
напора на всасывающей линии рассчитываются по формуле:

(62)

м
Сумма
коэффициентов местных сопротивлений для нагнетательной линии:
∑ξн=ξ1+ξ2+ξ3=1,0+0,82+0,15=1,97
где
ξ
1= 1,0 - выход из трубы; ξ2 = 0,82 -
прямоточный вентиль; ξ3 = 0,15 -
отвод под углом 900 (R0/d=2).
Потери
на трение и местные сопротивления на нагнетательной линии определяется:

Па
Потери
напора на нагнетающей линии:

м
Общие
потери напора определяются по формуле:

(63)

м
Расчет
полного напора, развиваемого насосом:

, (64)
где
Н - полный напор, развиваемый насосом, м;ра- атмосферное
давление, Па;рабс=ра+р2- абсолютное
давление, Па (р2-избыточное давление, Па);Нг-
геометрическая высота подачи воды, м;Нп- общая потеря напора,
м.

м
Расчет
мощности, потребляемой двигателем:
Полезная
мощность рассчитывается по формуле:

,(65)

Вт=2,3 кВт
Для
центробежного насоса средней производительности примем h =hпhдhн = 0,6.
Тогда мощность, потребляемая двигателем насоса, определяется по формуле:

, (66)

кВт
Выбор насоса по ГОСТу:
По табл. 2.5 [6] устанавливаем, что по заданным
производительности и напору следует выбрать центробежный насос марки
Х8/30,характеристики которого приведены в таблице 2.
Таблица 2
Характеристики
насоса и электродвигателя
|
Марка насоса
|
Q, м3/с
|
Н, м столба жидкости
|
n, об/мин
|
hн
|
Электродвигатель
|
|
|
|
|
|
Тип
|
Nн, кВт
|
hд
|
|
Х8/30
|
2,4∙10-3
|
24
|
48,3
|
0,5
|
АО2-32-2
|
4
|
-
|
Определение предельной высоты всасывания:
Для центробежных насосов запас напора, необходимый для исключения
кавитации, рассчитывают по формуле:

, (67)
где
n-частота вращения вала, об/с.

м
Предельная
высота всасывания определяется по формуле:

, (68)
где
А - атмосферное давление, ht - давление насыщенного пара при соответствующей
температуре.
ht =
0,6 мм. вод.ст.
Нвс£10,3- 0,60 - 0,42 - 2,9 = 6,38 м
Насос
взят с большим запасом, поэтому насос, подающий аммиачную воду из емкости на
дальнейшую переработку, можно взять таким же, так как производительность у них
одинакова, а запаса мощности хватит.
8.2.2 Расчёт насоса для подачи оборотной воды в холодильник
газа
Расчет диаметра трубопровода:
Примем скорость во всасывающей и нагнетательной линии одинаковой и равной
2 м/с. Тогда диаметр трубопроводов нагнетательной и всасывающей линии будет
одинаковым и рассчитываться:

м
Выбираем
трубопровод по ГОСТу Æ 100´6 мм - ВСт.3.
Расчет
потерь на трение и местные сопротивления:
Режим
течения аммиачной воды определяется:
Re> 2320
режим турбулентный.
Средне
значение абсолютной шероховатости стенок труб е = 0,2мм[6]. Относительная шероховатость dэ/е = 70/0,2 = 250. По графику 1.5 находим значение
коэффициента трения l = 0,027.
Сумма
коэффициентов местных сопротивлений для всасывающей линии:
∑ξвс=ξ1 =0,5,
где
ξ1=0,5
-вход в трубу (с острыми краями).
Тогда
потери на трение и местные сопротивления:

Па
Потери
напора на всасывающей линии:

м
Сумма
коэффициентов местных сопротивлений для нагнетательной линии:
∑ξн=ξ1+ξ2 =1,0 +
0,15=1,15
где
ξ
1= 1,0 - выход из трубы; ξ2 = 0,15 -
отвод под углом 900(R0/d=2).
Потери
на трение и местные сопротивления на нагнетательной линии:

Па
Потери
напора на нагнетающей линии:

м
Общие
потери напора:
Расчет
полного напора, развиваемого насосом:

м
Расчет
мощности, потребляемой двигателем:
Полезная
мощность:

Вт=1,6 кВт
Мощность,
потребляемая двигателем насоса:

кВт
Выбор насоса по ГОСТу:
По табл. 2.5 [6] устанавливаем, что по заданным
производительности и напору следует выбрать центробежный насос марки
Х8/18,характеристики которого приведены в таблице 3.
Таблица 3.
Характеристики
насоса и электродвигателя
|
Марка насоса
|
Q, м3/с
|
Н, м столба жидкости
|
n, об/мин
|
hн
|
Электродвигатель
|
|
|
|
|
|
Тип
|
Nн, кВт
|
hд
|
|
Х8/18
|
2,4∙10-3
|
11,3
|
48,3
|
0,6
|
АО2-31-2
|
3
|
0,82
|
Определение предельной высоты всасывания:

м
Предельная
высота всасывания определяется по формуле:
Нвс£10,3- 0,60 - 0,42 - 3,30 = 5,56м
8.3 Расчет газодувки
Мощность N (в кВт),
расходуемая газодувкой определяем по формуле:

, (69)
где
Q - подача газодувки, м3/с; Dр - повышение давления, создаваемое газодувкой, Па; h - общий к.п.д. установки.
Повышение
давления, создаваемое газодувкой состоит из гидравлического сопротивления
абсорбера и трубопровода.
Гидравлическое сопротивление абсорбера было рассчитано ранее с учетом
коэффициента для газодувки.
Гидравлическое сопротивление трубопровода:
Определим диаметр трубопровода по формуле (14) скорость газа в нагнетательном
и всасывающем трубопроводе примем одинаковой и равной 15 м/с.

м
Выбираем
трубопровод по ГОСТу Æ 1000´12 мм - ВСт.3.
Расчет
потерь на трение и местные сопротивления:
Режим
течения газовой смеси определяется:

=941080
Re> 2320
режим турбулентный.
Средне
значение абсолютной шероховатости стенок труб е = 0,2 мм. Относительная
шероховатость dэ/е =
500/0,2 = 2500. Тогда значение коэффициента трения l = 0,0165.
Сумма
коэффициентов местных сопротивлений для всасывающей линии и нагнетательной
линии:
åxвс = x1+ x2 + x3 =0,5 + 1 +
0,2 =1,7
где
x1 =
0,5 - вход в трубу; x2 = 1
- выход из трубы; x3=0,2 - прямоточный вентиль.
Потери
напора на всасывающей и нагнетательной линии рассчитываем по формуле:

, (70)

Па
Повышение давления, создаваемое газодувкой:

Па
Мощность вентилятора определяем по формуле:

кВт
По ГОСТу
устанавливаем, что по заданным производительности и напору следует выбрать
газодувку марки1Г32-80-6В, характеристики которой приведены в таблице 4.
Таблица 4.
Характеристики
газодувки
|
Обозначение изделия
|
Максимальная разность
давления, кПа, режим
|
Производительность, м3/мин
|
Мощность эл. двигателяля,
кВт
|
Частота вращения, об/мин
|
Масса изделия, кг
|
Габаритные размеры, мм
|
|
Напорный
|
Вакуум
|
|
|
|
|
|
|
1Г32-80-6В
|
80
|
45
|
11,4
|
30
|
1500
|
1140
|
1995* 723*912
|
8.4 Расчёт ёмкостей
В технологической схеме присутствуют две емкости для сбора абсорбента и
аммиачной воды.
Номинальный объем ёмкости рассчитываем по формуле:

, (71)
где Q - расход жидкости, м3/ с;t = 12 часов - время заполнения; j = 0,9 - коэффициент заполнения.
Ёмкость для абсорбента:

м3
Ёмкость
для сбора аммиачной воды:
Так
объёмный расход не изменится, то объём ёмкости для сбора аммиачной воды будет
равен объёму ёмкости для абсорбента, т.е. равна 141м3.
По
ГОСТу выбираем ёмкости исполнения ГЭЭ-2 с номинальным объёмом, равным 160 м3.
9. Выбор точек контроля
Приборы, устанавливаемые на щите:
1. FRK:
· Измеряемый параметр: расход (F) и время (К)
· Функция (отображение информации): регистрация (R)
. FC:
· Измеряемый параметр: расход (F)
· Функция (формирование выходного сигнала): регулирование,
управление (С)
На трубопроводе подачи газа в колонну и трубопроводе подачи
абсорбентаустановлен механизм, закрывающий регулирующий орган при прекращении
подачи энергии или управляющего сигнала.
. TC:
· Измеряемый параметр: температура (Т)
· Функция (формирование выходного сигнала): регулирование,
управление (С)
. QIR:
· Измеряемый параметр: качество (Q) (состав, концентрация)
· Функция (отображение информации): показание (I) и регистрация (R)
На трубопроводе подачи газа в колоннуустановлен механизм, закрывающий
регулирующий орган при прекращении подачи энергии или управляющего сигнала.
. LIR:
· Измеряемый параметр: уровень (L)
· Функция (отображение информации): показание (I) и регистрация(R)
. PIR:
· Измеряемый параметр: давление (Р)
· Функция (отображение информации): показание (I) регистрация (R)
. TRK:
· Измеряемый параметр: температура (Т) и время (К)
· Функция (формирование выходного сигнала): регистрация (R)
. FIR:
· Измеряемый параметр: расход (F)
· Функция (формирование выходного сигнала): показание (I) регистрация (R)
. LC:
· Измеряемый параметр: уровень (L)
· Функция (формирование выходного сигнала): регулирование,
управление (С)
На трубопроводе выхода аммиачной воды и трубопроводе выхода отработанного
газа из абсорбера установлен механизм, закрывающий регулирующий орган при
прекращении подачи энергии или управляющего сигнала.
Местные приборы:
. FТ:
· Измеряемый параметр: расход (F) и температура (Т)
2. FЕ:
· Измеряемый параметр: расход (F) и напряжение (Е)
3. QТ:
· Измеряемый параметр: качество (Q) (состав, концентрация) и температура (Т)
4. QE:
· Измеряемый параметр: качество (Q) (состав, концентрация) и напряжение (Е)
5. LТ:
· Измеряемый параметр: уровень (L) и температура (Т)
6. LE:
· Измеряемый параметр: уровень (L) и напряжение (Е)
7. ТТ:
· Измеряемый параметр: температура (Т)
8. TЕ:
· Измеряемый параметр: температура (Т) и напряжение (Е)
9. РТ:
· Измеряемый параметр: давление (Р) и температура (Т)
10. РЕ:
· Измеряемый параметр: давление (Р) и напряжение (Е)
Выводы и предложения
1. На основании литературного обзора была выбрана абсорбционная колонна
насадочного типа, т.к. такие аппараты по сравнению с другими типами абсорберов менее
громоздки, имеют простую конструкцию, могут использоваться при работе с
агрессивными средами, имеют низкое гидравлическое сопротивление.
2.
В ходе работы провели сравнение трех различных насадок: керамические кольца
Рашига внавал
,
керамические кольца Рашига внавал 
и
керамические седла «Инталокс» 50 в навал.
.
Расчет показал, что оптимальной насадкой является седлообразная насадка
«Инталокс», так как за счет её использования удается снизить гидравлическое
сопротивление абсорбера (приблизительно в 4 раза по сравнению с абсорбером
заполненным насадкой кольца Рашига внавал
), что
значительно снижает расходы на электроэнергию. В качестве материала насадки
выбрана керамика т.к. в результате абсорбции аммиака водой образуется щелочной
раствор являющийся коррозионно-активным.
.
В результате технологического расчета основного аппарата были получены
следующие значения:
диаметр
абсорбера 3000мм;
высота
слоя насадки 8,7м;
высота
колонны 16,2м;
гидравлическое
сопротивление 2102Па
.
Был проведен расчет аппарата на прочность, а так же расчет и выбор следующего
вспомогательного оборудования: кожухотрубчатый холодильник газа диаметром 2200мм
с поверхностью теплообмена 1800м2; насос подачи абсорбента
марки Х8/30; насос подачи аммиачной воды марки Х8/30; насос подачи оборотной
воды в холодильник газа марки Х8/18; газодувка для подачи аммиачно-воздушной
смеси марки 1Г32-80-6В; ёмкость для сбора абсорбента и ёмкость для сбора
аммиачной воды исполнения ГЭЭ-2.
Таким образом, поставленная в курсовом проекте цель выполнена.
Список литературы
1. Рамм В.М. Абсорбция газов. Изд. 2-е, переработ. И доп.
М., «Химия», 1976.
2. А. Г. Касаткин. Основные процессы и аппараты
химической технологии: Учебник для вузов. 15-е изд., стереотипное. Перепечатка
с девятого издания 1973 г. - М.: ООО «ИД Альянс», 2009 - 753 с.
. Новый справочник химика и технолога. Процессы и
аппараты химической технологии. Ч. I - С.-Пб.: АНО НПО «Профессионал», 2004. - 848 с., ил.
. Основные процессы и аппараты химической технологии:
Пособие по проектированию/ Г.С. Борисов, В.П. Брыков, Ю.И. Дытнерский и др. Под
ред. Ю.И. Дытнерского, 2-е изд., перераб. и дополн. М.: Химия, 1991.-496с.
. Основы конструирования и расчета химической
аппаратуры. Лащинский А.А., Толчинский А.Р., Л., «Машиностроение», 1970 г., 752
стр. Табл. 476. Библ. 218 назв.
. Павлов К. Ф., Романков П. Г., Носков А. А. Примеры и
задачи по курсу процессов и аппаратов химической технологии. - 12-е изд.,
стереотипное. М.: ООО ТИД «Альянс», 2005. - 576 с.
. Лащинский А.А. Конструирование сварных химических
аппаратов. Справочник. Л.: Машиностроение. Ленинградское отд-ние, 1981. - 382
с.
8. Коган В.Б., Фридман В.М., Кафаров В.В. Равновесие между
жидкостью и паром. Кн. 1-2. М. - Л.: Наука. 1966. 640 + 786 с.
9. Иоффе И.Л. Проектирование процессов и аппаратов
химической технологии. - Л.: Химия, 1991. - 352 с.
. Александров А.И. Ректификационные и абсорбционные
аппараты. Изд. 3-е. М.: Химия, 1978. 280с.
11. Абсорбция [электронный
ресурс]/ URL: www.main.isuct.ru/ <http://www.main.isuct.ru/>
(дата обращения 17.03.2011)
. Каталог
«Кожухотрубчатые теплообменные аппараты общего и специального назначения». М„
«ЦИНТИХИМНЕФТЕМАШ», 1991г.
. Каталог «Емкостная
стальная сварная аппаратура». М., «ЦИНТИХИМНЕФТЕМАШ», 1969г.
. Кувшинский М.Н.,
Соболева А.П. Курсовое проектирование по предмету процессы и аппараты
химической промышленности. - М.:Высшая школа, 1980.-223с.
. Тимонин А.С. Основы
конструирования и расчёта химико - технологического и природоохранного
оборудования. Справочник. Изд.2-е. Т. 3. - Калуга: изд-во Бочкарёвой,
2002.-852+1028+968с.