Эконометрика
Федеральное
агентство по образованию РФ
Государственное
образовательное учреждение высшего профессионального образования
Тульский
государственный университет
Курсовая
работа
по
дисциплине: Эконометрика
Экономист изучая зависимость уровня издержек у
(тыс. руб.) от объема товарооборота х (тыс. руб.) обследовал 10 магазинов
торгующих одним товаром и получил следующие данные:
|
x
|
165
|
125
|
115
|
85
|
95
|
135
|
155
|
75
|
105
|
65
|
X*=110
|
|
y
|
12,6
|
9,4
|
9,3
|
6,2
|
7,6
|
11,7
|
13,2
|
5,3
|
8,0
|
4,5
|
|
. Построить поле корреляции и сформировать
гипотезу о форме связи;
. Оценить данную зависимость линейной,
степенной и гиперболической регрессией;
. Оценить тесноту связи с помощью
показателей корреляции и детерминации;
. Оценить с помощью средней ошибки
аппроксимации качество уравнений;
. Найти коэффициент эластичности и
сделать вывод;
. Оценить с помощью критерия Фишера (F)
статистическую надежность модели и выбрать лучшее уравнение регрессии;
. Для лучшего уравнения сделать
дисперсионный анализ и найти доверительный интервал для параметров: a,
b, r;
. Рассчитать прогнозное значение для x*
и определить доверительный интервал прогноза для 0,05;
. Аналитическая записка (вывод).
Поле корреляции
) Оценим данную зависимость:
I. Линейная регрессия
|
№
п/п
|
x
|
y
|
xy
|
|
|
|
|
|
|
|
Ai
|
|
1
|
165
|
12,6
|
2079
|
27225
|
158,76
|
13,5
|
-0,9
|
0,81
|
3,82
|
14,59
|
7,14
|
|
2
|
125
|
9,4
|
1175
|
15625
|
88,36
|
9,9
|
-0,5
|
0,25
|
0,62
|
0,38
|
5,31
|
|
3
|
115
|
9,3
|
1069,5
|
13225
|
86,49
|
9,0
|
0,3
|
0,09
|
,52
|
0,27
|
3,22
|
|
4
|
85
|
6,2
|
527
|
7225
|
38,44
|
6,5
|
-0,2
|
0,04
|
-2,58
|
6,65
|
3,22
|
|
5
|
95
|
7,6
|
722
|
9025
|
57,76
|
7,3
|
0,3
|
0,09
|
-1,18
|
1,39
|
3,94
|
|
6
|
135
|
11,7
|
1579,5
|
18225
|
136,89
|
10,8
|
0,9
|
0,81
|
2,92
|
8,52
|
7,69
|
|
7
|
155
|
13,2
|
2046
|
24025
|
174,24
|
12,6
|
0,6
|
0,36
|
4,42
|
19,53
|
4,54
|
|
8
|
75
|
5,3
|
397,5
|
5625
|
28,09
|
5,5
|
-0,2
|
0,04
|
-3,48
|
12,11
|
3,77
|
|
9
|
105
|
8,0
|
840
|
11025
|
64
|
8,2
|
-0,2
|
0,04
|
-0,78
|
0,60
|
2,5
|
|
10
|
65
|
4,5
|
292,5
|
4225
|
20,25
|
4,6
|
-0,1
|
0,01
|
-4,28
|
18,31
|
2,22
|
|
∑
|
1120
|
87,8
|
10728
|
135450
|
853,28
|
87,73
|
0
|
2,54
|
0
|
82,35
|
43,55
|
|
Сз.
зн.
|
112
|
8,78
|
1072,8
|
13545
|
85,328
|
8,773
|
0
|
0,254
|
0
|
8,235
|
4,355
|
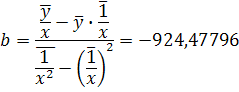
Чтобы найти коэффициенты a
и b решим систему:
Отсюда
a= -1,188
b= 0,089
) Оценим тесноту связи с помощью показателей
корреляции и детерминации:
По шкале Чаддока коэффициент корреляции
показывает весьма высокую тесноту связи.
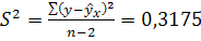
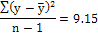
) Оценим с помощью средней ошибки аппроксимации
качество уравнений:
Если
,
то точность полученного уравнения регрессии высока.
В данном случае
.
Можно говорить что полученное уравнение регрессии весьма точно.
) Найдём коэффициент эластичности:
В случае линейной функции коэффициент
эластичности выглядит так:
При изменении факторов на 1% результат в среднем
изменится на …%
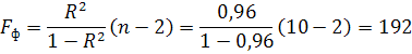
) Оценим с помощью критерия Фишера (F)
статистическую надежность модели:
Таблица дисперсионного анализа:
|
Источники
вариаций
|
Число
степеней свободы
|
Сумма
кв-в отклонений
|
Дисперсия
на 1 степ. свободы
|
Fотн.
|
|
|
|
|
Факт.
|
Табл.
|
|
Общая
|
n-1=9
|
82.35
|
|
|
|
|
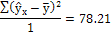
Объясненная
|
1
|
78.21
|
|
245
|
5,32
|
|
Остаточная
|
n-2=8
|
2.54
|
|
|
|
Отсюда можно
сделать вывод, что уравнение регрессии статистически значимо и надёжно.
|
№
п/п
|
x
|
y
|
X
|
Y
|
YX
|
|
|
|
|
|
|
Ai
|
|
1
|
165
|
12,6
|
5,1059
|
2,5336
|
12,9363
|
26,0702
|
6,4191
|
13,7
|
-1,1
|
1,21
|
14,5924
|
8,7302
|
|
2
|
125
|
9,4
|
4,8283
|
2,2407
|
10,8187
|
23,3124
|
5,0207
|
9,8
|
-0,4
|
0,16
|
0,3844
|
4,2553
|
|
3
|
115
|
9,3
|
4,7449
|
2,2300
|
10,5811
|
22,5140
|
4,9729
|
9,0
|
0,3
|
0,09
|
0,2704
|
3,2258
|
|
4
|
85
|
6,2
|
4,4426
|
1,8245
|
8,1055
|
19,7366
|
3,3288
|
6,3
|
-0,1
|
0,01
|
6,6564
|
1,6129
|
|
5
|
95
|
7,6
|
4,5538
|
2,0281
|
9,2355
|
20,7370
|
4,1131
|
7,2
|
0,4
|
0,16
|
1,3924
|
5,2631
|
|
6
|
135
|
11,7
|
4,9052
|
2,4595
|
12,0643
|
24,0609
|
6,0491
|
10,8
|
0,9
|
0,81
|
8,5264
|
7,6923
|
|
7
|
155
|
13,2
|
5,0434
|
2,5802
|
13,0129
|
25,4358
|
6,6574
|
12,7
|
0,5
|
0,25
|
19,5364
|
3,7879
|
|
8
|
75
|
5,3
|
4,3174
|
1,6677
|
18,6399
|
2,7812
|
5,4
|
-0,1
|
0,01
|
12,1104
|
1,8868
|
|
9
|
105
|
8,0
|
4,6539
|
2,0794
|
9,6773
|
21,6587
|
4,3239
|
8,0
|
0
|
0
|
0,6084
|
0
|
|
10
|
65
|
4,5
|
4,1743
|
1,5040
|
6,2781
|
17,4247
|
4,3239
|
4,6
|
-0,1
|
0,01
|
18,3184
|
2,2222
|
|
∑
|
1120
|
87,8
|
46,7697
|
21,1477
|
99,9098
|
219,5902
|
47,9901
|
87,5
|
0,3
|
2,71
|
82,396
|
38,6765
|
|
Ср.
зн.
|
112
|
8,78
|
4,67697
|
2,11477
|
9,99098
|
21,95902
|
4,79901
|
8,75
|
0,03
|
0,271
|
8,2396
|
3,86765
|
3) Оценим тесноту связи с помощью показателей
корреляции и детерминации:
По шкале Чаддока индекс корреляции показывает
весьма высокую тесноту связи.
) Оценим с помощью средней ошибки аппроксимации
качество уравнений:
В данном случае
.
Можно говорить что полученное уравнение регрессии весьма точно.
) Найдём коэффициент эластичности:
корреляция регрессия детерминация
прогноз
В случае степенной функции коэффициент
эластичности выглядит так:
При изменении факторов на 1% результат в среднем
изменится на 1,1799%
) Оценим с помощью критерия Фишера (F)
статистическую надежность модели:
Критерий Фишера можно определить по формуле:
Отсюда можно
сделать вывод, что уравнение регрессии статистически значимо и надёжно.
Гиперболическая регрессия
|
№
п/п
|
x
|
y
|
|
|
|
|
|
|
|
|
|
|
1
|
165
|
12,6
|
0,006061
|
0,000037
|
0,076364
|
12,2
|
0,4
|
0,16
|
3,82
|
14,59
|
3,17
|
|
2
|
125
|
9,4
|
0,008
|
0,000064
|
0,0752
|
10,4
|
-1
|
1
|
0,62
|
0,39
|
10,24
|
|
3
|
115
|
9,3
|
0,008696
|
0,000076
|
0,080869
|
9,7
|
-0,4
|
0,16
|
0,52
|
0,27
|
4,30
|
|
4
|
85
|
6,2
|
0,011765
|
0,000138
|
0,072941
|
6,9
|
-0,7
|
0,49
|
-2,58
|
6,66
|
11,29
|
|
5
|
95
|
7,6
|
0,010526
|
0,000111
|
0,08
|
8,0
|
-0,4
|
0,16
|
-1,18
|
1,39
|
5,26
|
|
6
|
135
|
11,7
|
0,007407
|
0,000055
|
0,086667
|
10,9
|
0,8
|
0,64
|
2,92
|
8,53
|
6,84
|
|
7
|
155
|
13,2
|
0,006452
|
0,000042
|
0,085161
|
11,8
|
1,4
|
1,96
|
4,42
|
19,54
|
10,60
|
|
8
|
75
|
5,3
|
0,013333
|
0,000178
|
0,070667
|
5,4
|
-0,1
|
0,01
|
-3,48
|
12,11
|
1,89
|
|
9
|
105
|
8,0
|
0,009524
|
0,000091
|
0,076190
|
8,9
|
-0,9
|
0,81
|
-0,78
|
0,61
|
11,25
|
|
10
|
65
|
4,5
|
0,015385
|
0,000273
|
0,069231
|
3,5
|
1
|
1
|
-4,28
|
18,32
|
22,22
|
|
∑
|
1120
|
87,8
|
0,097149
|
0,001029
|
0,773291
|
|
0.1
|
6,23
|
0
|
82,41
|
87,06
|
|
Ср.зн.
|
112
|
8,78
|
0,009715
|
0,000103
|
0,077329
|
|
0,01
|
0,623
|
0
|
8,241
|
8,706
|
) Оценим тесноту связи с помощью показателей
корреляции и детерминации:
По шкале Чаддока индекс корреляции показывает
весьма высокую тесноту связи.
) Оценим с помощью средней ошибки аппроксимации
качество уравнений:
В данном случае
.
Можно говорить что полученное уравнение регрессии точно.
) Найдём коэффициент эластичности:
В случае степенной функции коэффициент
эластичности выглядит так:
При изменении факторов на 1% результат в среднем
изменится на
%
) Оценим с помощью критерия Фишера (F)
статистическую надежность модели:
7) Таблица для выбора лучшего уравнения
регрессии.
|
Виды
уравнения
|
ρ,
rxy
|
R2
|
A
|
Э
|
F
|
|
|
линейная
|
|
|
|
|
|
82,35
|
|
степенная
|
|
|
|
|
|
82,396
|
|
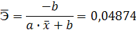
гиперболическая
|
0,9615
|
0,92
|
8,706
|
0,04874
|
92
|
6,23
|
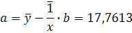
Из таблицы видно что лучшим является уравнение
линейной регрессии. Поэтому построим для параметров a,
b и r
доверительные интервалы.
tтабл=2,3060
, значит параметр b
статистически значим и можно найти для него доверительный интервал.
, значит параметр r
статистически значим и можно найти для него доверительный интервал.
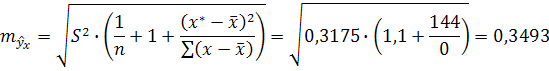
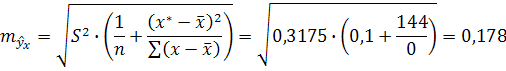
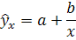
) Рассчитаем прогнозное значение для x*
и определим доверительный интервал прогноза для 0,05:
Подставим вместо х х* и получим
точный прогноз:
Точный прогноз не дает требуемых представлений и
не реализован на практике. Поэтому дадим интервальный прогноз:
Для
Вывод
Целью данной контрольно - курсовой работы было
определение количественной взаимосвязи между объемом товарооборота (x)
и издержками обращения (y)
на основе статистических данных. Для этого были построены уравнения линейной,
степенной и гиперболической регрессии.
В ходе произведенного исследования выяснилось,
что можно использовать линейную функцию в качестве модели для описания
взаимосвязи между объемом товарооборота и издержками обращения. Данная линейная
функция имеет вид:
.
На основе последнего уравнения можно
предположить, что с увеличением объема товарооборота на 1 тыс. руб. издержки
обращения увеличатся на 0,089 тыс. руб.
При выполнении расчетов выяснилось, средний
коэффициент эластичности для модели составляет 1,135, т.е. с увеличением
товарооборота на 1% издержки обращения увеличиваются в среднем на 1,135%.
Коэффициент детерминации для линейной модели
составляет 0,97. Это означает, что уравнением регрессии объясняется 97%
дисперсии результативного признака (издержек обращения), а на долю прочих
факторов приходится 3%, следовательно, линейная модель хорошо аппроксимирует
исходные данные и ей можно пользоваться для прогноза значений результативного
признака.
Так, пологая, что объем товарооборота может
составить 165 тыс. руб., то прогнозное значение для издержек обращения составит
13,5 тыс. руб., при этом с верностью
можно
утверждать, что доверительные интервалы прогноза индивидуального результативного
признака составят: