Цифровой милливольтметр
СОДЕРЖАНИЕ
ВВЕДЕНИЕ
1. СТРУКТУРНАЯ СХЕМА УСТРОЙСТВА
2. ВЫБОР АЦП
3. РАСЧЕТ ОПОРНОГО НАПРЯЖЕНИЯ АЦП
4. ВЫБОР ИНДИКАТОРА
5. ВЫБОР DC-DC ПРЕОБРАЗОВАТЕЛЯ
. ФОРМИРОВАНИЕ
ЦЕНЫ УСТРОЙСТВА
ЗАКЛЮЧЕНИЕ
СПИСОК ЛИТЕРАТУРЫ
ВВЕДЕНИЕ
Необходимо разработать схему цифрового
милливольтметра, которая должна содержать аналогово-цифровой преобразователь,
дешифратор и индикатор, показывающий измеренное значение.
Так как по заданию напряжение
питания схемы 10В и уровень входного сигнала 0..320мВ, то будет достаточно
индикатора с тремя элементами. Для сокращения и упрощения схемы возможно
использование АЦП с драйвером для индикатора.
Для выполнения работы необходимо выбрать
элементы, которые функционировали бы при заданных условиях. Для этого
необходимо провести обзор элементов, в результате чего определить их стоимость.
Определение стоимости является так же важным моментом при выборе элементной
базы.
Так же необходимо составить таблицу согласований
напряжений. Данная таблица упрощает разработку радиоэлектронных средств (РЭС),
так как она позволяет наглядно оценить необходимые материально-технические
ресурсы, затрачиваемые на проектирование и разработку.
цифровой милливольтметр дешифратор
радиоэлектронный
1. СТРУКТУРНАЯ СХЕМА УСТРОЙСТВА
Структурная схема цифрового милливольтметра
должна содержать аналоговые и цифровые элементы, схема представлена на рисунке
1.
Рисунок 1 - Структурная схема цифрового
милливольтметра
Усилитель - это электрическая схема, усиливающая
входной сигнал до значения, позволяющего проводить измерения с заданной
точностью.
АЦП - аналого-цифровой преобразователь,
устройство, преобразующее входной аналоговый сигнал в дискретный код (цифровой
сигнал).
Источник опорного напряжения - это схема, в
основном, состоящая из двух сопротивлений, подключенных к источнику питания
последовательно, к точке соединения которых (параллельно одному из
сопротивлений) подключена нагрузка. Простейший резистивный делитель напряжения
представляет собой два последовательно включённых резистора R1 и R2, подключённых к источнику
напряжения U .
Преобразователь ЦС - элемент схемы, служащий для
преобразования сигналов от АЦП к сигналам, поступающим на вход индикаторов.
Индикатор - это устройство, предназначенное для
визуального отображения полученных на выходе АЦП данных.
Рассчитав параметры, которые необходимы для
правильного функционирования устройства по заданным параметрам будут получены
данные, которые необходимы для выбора микросхем устройства.
2. ВЫБОР АЦП
Основным элементом разрабатываемого устройства
является АЦП, поэтому разработку целесообразно начать именно с выбора АЦП.
Современный рынок предлагает широкий выбор АЦП с
различными характеристиками и функциями. Среди всего множества можно выделить
микросхемы фирмы MAXIM
MAX130 (рисунок 2, 3,
4) [1]. Для поставленной задачи, данные микросхемы обладают следующими
преимуществами:
- питающее напряжение на входе в диапазоне 4.5 -
14 В;
- максимальный ток потребления 100мкА;
- встроенный драйвер для работы с
индикаторами;
- тактовая частота 16кГц;
- максимальный температурный
коэффициент 50ppm°C.
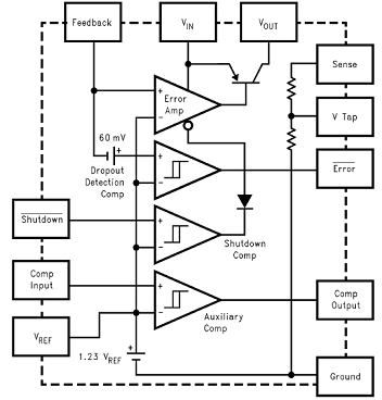
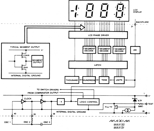
Рисунок 2 - Функциональная схема АЦП
Рисунок 3 - Обозначения выходов микросхемы АЦП
МАХ 130
Рисунок 4 - Конструктивные параметры микросхемы
АЦП МАХ 130
Значительным преимуществом выбранного АЦП
является наличие встроенного преобразователя полученного значения к виду 7-ми
сегментных индикаторов (приложение АЦП). Исходя
из стр.6 приложения АЦП, преобразование происходит по следующей формуле:
где R - цифровое
значение, пропорциональное сигналу на входе АЦП;
-
максимальное значение сигнала на входе;
- минимальное значение сигнала на
входе;
-
максимальное значение опорного напряжения;
- минимальное значение опорного
напряжения.
Так как в АЦП встроен драйвер для
трех семисегметных индикаторов, то максимальное значение R может быть 999.
Следовательно, при опорном напряжении 
(при
), получаем режим работы АЦП без
переполнения
(по
условию).
Для
работы АЦП необходимо рассчитать резистор для интегратора Rint (стр.7
приложения АЦП).
3. РАСЧЕТ ОПОРНОГО НАПРЯЖЕНИЯ АЦП
Выберем уровень опорного напряжения
АЦП VRefH-VRefL = 9.6В,
поэтому, исходя из условия ∆Uвх=0..320мВ, входное напряжение
должно быть предварительно усилено в 30 раз до уровня ∆U’вх=0..9.6В. Ранее
выбрано опорное напряжение VRefL=0В, VRefH=9.6В, то
при Uпит=10В необходимо рассчитать резистивный делитель, который
преобразует напряжение 10В в 9.6В. В качестве делителя используем резистивный
делитель, т.к. он при достаточной простоте реализации обладает необходимой
функцией делителя. Схема согласно ГОСТ 11 282 -93 рисунок 5.
Рисунок 5 - Схема резистивного
делителя
Исходя из ГОСТ11.282-93,
Выберем R2=10кОм, тогда R1= 417Ом.
Преобразователь цифрового сигнала
является встроенным блоком в микросхему MAX130, что выгодно отличает её от АЦП
других производителей.
Структура встроенного преобразователя
представлена на рисунке 6.
Рисунок 6 - Структурная схема блока цифрового
преобразователя
Преобразователь цифрового сигнала работает с
опорным напряжением равным разности напряжения питания и напряжения на выводе
Test с частотой преобразования 20 раз в секунду. Выходное сопротивление
приблизительно 3кОма.
Один из самых простых и наиболее эффективных
методов усиления - это использование операционного усилителя (ОУ) [2],
включенного по неинвертирующей схеме. На рисунке 7 приведена схема включения
ОУ.
Рисунок 7 - Неинвертирующий усилитель на ОУ
Зависимость выходного напряжения от входного
рассчитывается по формуле
Следовательно, для получения максимального
выходного напряжения 9.6В, необходимо усилить входной сигнал максимального
напряжения 320мВ в 30 раз. Поэтому, при R1 = 1кОм, получаем, что R2 равен
29кОм.
В качестве операционного усилителя выбираем
микросхему фирмы Analog Devices
ADA4930-1 [3]. Ее
преимущества перед другими ОУ:
) Низкий уровень входного шума: 1.2нВ/Гц
) Экстремально низких уровень гармоник:
−104 dBc HD2 на частоте 10 МГц;
−79 dBc HD2 на частоте 70 МГц;
−73 dBc HD2 на частоте 100 МГц;
−82 dBc HD3 на частоте 70 МГц;
−75 dBc HD3 на частоте 100 МГц.
) Высокая скорость.
) Внешняя регулировка усиления.
) Работа дифференциальном режиме.
) Широкий диапазон напряжений питания от
3В до 25В.
Структурная схема ADA4930-1 представлена на
рисунке 8.
Рисунок 8 - Структурная схема ADA4930-1
Вид корпуса, в котором поставляется ОУ,
представлен на рисунке 9.
Рисунок 9 - Конструктивные особенности корпуса
ADA4930-1
Для подачи сигнала на вход АЦП на плате
предусмотрен разъем MW-2MR
(рисунок 10). Данный вид разъемов имеет широкое применение в радиотехнической
промышленности, так как он имеет пластиковые застежки для надежного крепления
ответной части. При этом его стоимость несколько дороже обычного штырькового
разъема.
Рисунок 10 - Разъем MW-2MR
4. ВЫБОР ИНДИКАТОРА
Для отображения измеренного значения напряжения
выбран индикатор BC56-12GWA [4]. Его преимущества:
низкий уровень потребления энергии;
широкий диапазон питающих напряжений;
цифры размером 0.56 дюйма;
простота монтажа;
RoHS;
индустриальный стандарт: серая подложка, белые
сегменты.
Вид индикатора представлен на рисунке 11.
Рисунок 11 - Внешний вид индикатора и положение
выводов
Электрическая схема индикатора по номерам
выводов представлена на рисунке 12.
Рисунок 12 - Электрическая схема индикатора
Для того чтобы загорелась определенная цифра на
индикаторе, на общий катод нужно подать низкое напряжение, а на аноды -
высокое.
Для
ограничения тока светодиодов в индикаторе, необходимо рассчитать
токоограничительные сопротивления. Рабочий ток элемента индикатора (стр. 2
приложение индикатор) равен 25мА, напряжение, питающее индикаторы на АЦП MAX130
(стр. 2 приложение индикатор) равно 5В, следовательно, сопротивление
токоограничительных резисторов равно 5В/25мА=200Ом.
Для
управления индикатором будет использоваться дешифратор SN74LVC1G139-5V [5],
который обладает следующими преимуществами:
Доступен в продаже от нескольких производителей;
Технологии NanoStar™ и NanoFree™;
Поддерживают операции с напряжением 5В;
ESD защита согласно JESD 22;
Поддержка напряжения на входе до 5.5В;
максимальное значение tpd равно 4.9 нс при 3.3В;
низкое потребление энергии 10-мкA;
±24-мA выходной драйвер при 3.3В;
поддержка выключенного режима.
Микросхема SN74LVC1G139-5V доступна в нескольких
вариантах корпусов, конструктив которых представлен на рисунке 13.
Рисунок 13 - Варианты корпусов SN74LVC1G139
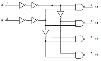
Логическая схема микросхемы дешифратора, а так
же таблица истинности представлена на рисунках 14(а) и 14(б) соответственно.
а)
б)
Рисунок 14 - Логическая схема SN74LVC1G139 (а);
таблица
истинности SN74LVC1G139(б).
5. ВЫБОР DC-DC
ПРЕОБРАЗОВАТЕЛЯ
В качестве преобразователя постоянного
напряжения выбран преобразователь LP2960 от National Instruments (рисунок 15,
16) [6]. LP2960 - это высокоточный преобразователь с фиксированным током на
выходе 500 мА, разработанный для использования с керамическими выходными
емкостями (приложение DC-DC).
Рисунок 15- Схема преобразователя DC-DC
Данный преобразователь был выбран среди других
устройств этого класса, так как он имеет выходной шум около 130мкВ, при
использовании емкости 47мкФ подключенной к выходу.
Падение напряжения: в среднем 470 мВ при 500 мА
нагрузке, и 12 мВ при 1 мА нагрузке.
Спящий режим: LP2960 потребляет менее 450 мкА в
спящем режиме.
Изготавливается в 16-ти пиновом SO-корпусе.
Широкий диапазон входных напряжений: 29В
максимум.
Защита: от перегрева и от чрезмерного потребления
тока
Температурный диапазон: −40°C
to +125°C.
Рисунок 16- Конструктивные параметры
Номиналы сопротивлений, задающих выходное
напряжение преобразователя, взято из схемы включения LP2960, приведенной на
странице 14 описания на микросхему [6].
Для подачи сигнала на вход питания на плате
предусмотрен разъем MW-4MR
(рисунок 17). Данный вид разъемов имеет широкое применение в радиотехнической
промышленности, так как он имеет пластиковые застежки для надежного крепления
ответной части. При этом его стоимость несколько дороже обычного штырькового
разъема.
Рисунок 17 - Разъема MW-4MR
После того, как были выбраны и описаны все
микросхемы в схеме, необходимо составить таблицу согласований напряжений и
токов (таблица 1).
Таблица 1 - Согласование напряжений и токов
схемы
|
Микросхема
|
Напряжение
на входе, В
|
Потребляемый
ток, мА
|
Максимальный
ток нагрузки, мА
|
|
LP2960
|
10
|
-
|
5
|
500
|
|
MAX130
|
5
|
10
|
5
|
400
|
|
ADA4930-1
|
10
|
30
|
9.6
|
-
|
|
SN74LVC1G139
|
5
|
10
|
5
|
-
|
|
BC56-12GWA
|
5
|
400
|
-
|
-
|
Как видно из таблицы, максимальный ток нагрузки
DC-DC преобразователя равен 500мА. Потребителями этого тока являются все
микросхемы на плате кроме ОУ, так как ему для усиления необходимо напряжение
немного большее, чем опорное, то есть напряжение питания схемы 10 В. Микросхема
АЦП MAX130 является транзитным передатчиком энергии от DC-DC преобразователя к
индикатору.
Суммарный максимальный ток, потребляемый всеми
устройствами, равен 10+10+400 = 420 мА. Следовательно, DC-DC преобразователь
работает не в критическом режиме, что позволяет продлить срок его службы.
6. ФОРМИРОВАНИЕ ЦЕНЫ УСТРОЙСТВА
Для определения цены устройства необходимо
определить стоимость выбранных микросхем, резисторов, конденсаторов и разъемов
плат.
Таблица 2 - Стоимость элементов устройства [7]
|
Название
устройства
|
Модель
|
Стоимость,
бел.руб.
|
|
АЦП
|
MAXIM MAX130
|
85000
|
|
Индикатор
|
BC56-12GWA
|
24170
|
|
DC-DC
преобразователь
|
LP2960
|
26700
|
|
Операционный
усилитель
|
ADA4930-1
|
46200
|
|
Дешифратор
|
SN74LVC1G139
|
8660
|
|
Разъем
|
MW-2MR
|
950
|
|
Разъем
|
MW-4MR
|
1140
|
|
Конденсатор (4
шт.)
|
AVX0603
|
400 (1600)
|
|
Конденсатор (2 шт.)
|
VISHAY CaseB
|
861 (1722)
|
|
Резисторы (26
шт.)
|
MULTICOMP 1% 0603
|
106 (2756)
|
|
Итого:
|
197898
|
При расчете стоимостей компонентов учитывался
курс американского доллара и российского рубля по курсу НБРБ.
Следовательно, предварительная стоимость
компонентов устройства 197898 белорусских рублей.
В качестве технического задания на разводку
платы предложена компоновка элементов, представленная на рисунке 18.

ЗАКЛЮЧЕНИЕ
В работе предложен один из конструкторских
вариантов выполнения поставленного задания. В качестве ключевого элемента в
предложенном варианте использована микросхема фирмы MAXIM MAX130.
Микросхема обладает рядом основных преимуществ, которые выгодно отличают ее от
аналогов. Основное из них - это наличие встроенного драйвера для отображения
измеренного значения на семисегментном индикаторе.
В работе проработан вопрос с преобразованием
входного напряжения +10В в напряжение +5В, которое наиболее часто используется
в современной радиоэлектронной промышленности.
Микросхема MAX130 имеет возможность задавать
напряжение для выходных каскадов управления семисегментными индикаторами.
После выбора основных компонентов схемы была
разработана схема электрическая принципиальная и перечень элементов (Приложение
А). По Э3 проанализирована предварительная цена конечного изделия, а так же
составлена примерная компоновка компонентов на плате. Ключевые моменты из
даташитов на применяемые компоненты приведены в соответствующих приложениях.
СПИСОК ЛИТЕРАТУРЫ
. MAX 130, Электронный ресурс:
http://www.maxim-ic.com/datasheet/index.mvp/id/1288, режим доступа свободный,
дата дотступа-30.12.2011.
. Расчет неинвертирующего усилителя
на ОУ - электронный ресурс:
http://ru.wikipedia.org/wiki/Операционный_усилитель, режим доступа свободный,
дата доступа 30.12.11г.
. Операционный усилитель ADA4930,
электронный ресурс: http://www.analog.com/ru/amplifiers-and-comparators/differential-amplifiers/ada4930-1/products/product.html,
режим доступа свободный, дата доступа 30.12.2011г.
. BC56-12GWA, электронный ресурс:
http://www.platan.ru/cgi-bin/qwery.pl/id=60656&group=21107, режим доступа свободный,
дата доступа 30.12.2011г.
.
SN74LVC1G139,
электронный ресурс:
http://focus.ti.com/docs/prod/folders/print/sn74lvc1g139.html, режим доступа
свободный, дата доступа 30.12.2011г.
. LP2960, Электронный ресурс:
http://www.national.com/pf/LP/LP2960.html#Overview, режим доступа свободный,
дата дотступа-30.12.2011.
. Поиск электронных компонентов,
Электронный ресурс: www.efind.ru,
режим доступа свободный, дата дотступа-30.12.2011г.