Метрологическое обеспечение температурных измерений термоэлектрическим термометром
Введение
Научно-технический прогресс неразрывно связан с непрерывным
совершенствованием измерительной техники. Это в полной мере относится и к
термометрии, так и повышением точности в традиционных областях. По некоторым
экспертным оценкам измерения температуры составляют около 30% всех измерении,
выполняемых в народном хозяйстве, а число научных и технических публикаций на
эту тему исчисляется многими тысячами в год.
Трудно назвать область техники или отрасль промышленности,
где бы не требовалось измерять температуру твердых, жидких или газообразных
тел. Наряду с этим следует отметить, что в каждой конкретной области выбор
методов и средств измерения температуры определяется ее спецификой.
Термометрия - раздел технической физики, в котором изучаются
методы и средства измерения температур, теоретические основы методов построения
термодинамической и практических температурных шкал и созданные на этой основе
эталоны и образцовые средства измерения температуры.
Температура - один из параметров вещества: газа, жидкости или
твердого тела. Температура определяет тепловое состояние тела и направление
теплопередачи. Температурные зависимости физических свойств веществ можно
положить в основу методов измерения температуры и построения температурной
шкалы. Температурная шкала - это ряд последовательных значений температуры,
образуемый в соответствии с выбранным знаком, определяющем взаимосвязь
термометрического параметра и температуры.
Для измерения температуры в самых различных условиях очень
широко применяются термопары. Термопара остается основным прибором для
измерения температуры в промышленности, в частности в металлургии и в
нефтехимическом производстве. Прогресс в электронике способствовал в последнее
время росту числа применений термометров сопротивления, так что термопары уже
нельзя считать единственным и важнейшим прибором промышленного применения.
Термопара позволяет найти разность температур между горячим и холодным спаями,
если измерена разность напряжений между двумя опорными спаями. Эта разность
напряжений возникает в температурном поле между горячим и холодным спаям.
Разность напряжений идеально термопары зависит только от разности температур
двух спаев, однако для реальной термопары приходится учитывать неоднородность
свойств электродов, находящихся в температурном поле; она и является основным
фактором, ограничивающим точность измерения температуры термопарами.
В промышленности очень широко применяются термопары в
герметичном металлическом чехле. Такая конструкция необходима для стандартных
термопар, которые могут быть повреждены механически или агрессивными
веществами. Термопары из сплава платины с 13% родия, помещенные в чехол из
сплава 10% родия с платиной, применяются в производстве стекла, а термопары из
хромеля с алюмелем, помещенные в инконелевый чехол, - в авиационной
промышленности.
В ядерной энергетике до температуры 1100єС применяются
стандартные термопары вольфрам-рений, помещенные в молибденовый чехол.
Выдвигаемые промышленностью требования повышения точности и долговременной
стабильности термопар стимулировали ряд исследований физических и химических
процессов, происходящих внутри герметичного чехла термопары. Такая конструкция
часто называется термопарой с неорганической изоляцией.
В промышленности термопары широко применяются совместно с
«удлинительными» и «компенсационными» проводами. Эти провода разработаны с
целью снижения стоимости больших заводских устройств, в которых многие сотни
термопар на заводе подключены к центральной системе обработки информации.
Удлинительный или компенсационный кабель включается между системой обработки и
той точкой вблизи конкретной машины или работающей печи, где температура
начинает заметно отличаться от комнатной.
Применение термопар в ядерных реакторах сталкивается со
многими трудностями, и пока нет достаточных оснований для создания термопар со
сроком службы более 20 лет. Однако конструирование и технология производства
термопар для реакторов быстро развивается.
1.
Выбор термопреобразователя
.1
Общие сведения о термопреобразователях
Термоэлектрический термометр - это термометр, содержащий
термоэлектрический преобразователь, действие которого основано на использовании
зависимости термоэлектродвижущей силы (ТЭДС) термопары от температуры, и
устройств для измерения ТЭДС.
Термопара - два проводника из разнородных материалов,
соединенных на одном конце и образующих часть устройства, использующего
термоэлектрический эффект для измерения температуры. Соединенные концы
проводников называются «холодным» (соединительным) спаем, а свободные концы,
подверженные изменению температуры - «рабочим» (измерительным) спаем.
Термопреобразователи (датчики температуры) предназначены для
непрерывного измерения температуры различных рабочих сред (например, пар, газ,
вода, сыпучие материалы, химические реагенты и т.п.), не агрессивных к
материалу корпуса датчика.
Модели датчиков с резьбовым креплением выпускаются в
стандартном исполнении с метрической резьбой. Возможно также их изготовление с
трубной резьбой по спец. заказу.
Основные критерии правильного выбора термопреобразователя:
соответствие измеряемых температур рабочим диапазонам
измерений термопреобразователей;
соответствие прочности корпуса датчика температуры условиям
эксплуатации;
правильный выбор длины погружаемой части датчика и длины
соединительного кабеля;
необходимость взрывозащищенного исполнения для работы на
взрывопожароопасных;
принцип действия термосопротивления основан на свойстве
проводника изменять электрическое сопротивление с изменением температуры
окружающей среды.
Термосопротивления отличаются материалом чувствительного
элемента: ТСМ - медь, ТСП - платина. Термоэлектрические преобразователи типа
ДТПL(ХК) и ДТПK(ХА) (датчики температуры - термопары).
Диапазон измеряемых температур по ГОСТ 8.585-2001, градусов
Цельсия.
ТХА термопара хромель-алюмель (K) от -200 до 1200
(кратковременно до 1300).
ТХК термопара хромель-копель (L) от -200 до 600
(кратковременно до 800).
Термопара хромель-алюмель ХА(K) обладает наиболее близкой к
прямой термоэлектрической характеристикой. Термоэлектроды изготовлены из
сплавов на никелевой основе. Хромель (НХ9,5) содержит 9…10% Сг; 0,6…1,2% Со;
алюмель (НМцАК) - 1,6…2.4% Al, 0,85…1,5% Si, 1,8…2,7% Mn, 0.6…1.2% Со. Алюмель
светлее и слабо притягивается магнитом; этим он отличается от более темного в
отожженном состоянии совершенно немагнитного хромеля.
Благодаря высокому содержанию никеля хромель и алюмель лучше
других неблагородных металлов по стойкости к окислению. Учитывая почти линейную
зависимость термо-ЭДС термопары хромель - алюмель от температуры в диапазоне
0…1000°С, ее часто применяют в терморегуляторах.
Термопара хромель-копель ХК(L) обладает большей термо-ЭДС,
чем термопара ХА(K), но уступает по жаростойкости и линейности характеристики.
Копель (МНМц 43-0,5) - серебристо-белый сплав на медной основе, содержит
42,5-44,0%(Ni+Со), 0,1-1,0% Mn. Даже в сухой атмосфере при комнатной
температуре на его поверхности быстро образуется окисная пленка, в дальнейшем
удовлетворительно предохраняющая сплав от дальнейшего окисления.
Номинальные статические характеристики термопар приведены в
ГОСТ Р 8.585-2001.
Таблица 1. Химический состав термоэлектродного
элемента
|
Обозначение
типа термопары
|
Термоэлектродный
материал
|
|
|
Положительный
|
Отрицательный
|
|
Вольфрам -
рений/ ТВР
|
А-1 А-2 А-3
|
Сплав
вольфрам-рений
|
|
|
ВР - (95% W+5%
Re)
|
BP-20 (80%
W+20% Re)
|
|
Платино-родий
/ТПР
|
В
|
Сплав
платинородий
|
|
|
ПР_30 (70% Pt+30% Rh)
|
ПР-6 (94% Pt+6% Rh)
|
|
Платино-родий/
платиновые ТПП
|
S R
|
Сплав
платинородий
|
Платина
|
|
|
ПР-10 (90% Pt+10% Rh) ПР-13 (87% Pt=13% Rh)
|
ПлТ ПлТ
|
|
Никель-хром /
никель - алюминиевые
|
K
|
Сплав хромель
|
Сплав алюмель
|
|
|
ТНХ 9.5 (90.5% Ni+9.5% Cr)
|
HMuAK2-2-1
(94.5%+5.5% AL, Si, Mn, Co)
|
|
Никель - хром/
медь - никелевые ТХКн
|
E
|
Сплав хромель
|
Сплав
константан
|
|
|
ТНХ 9.5 (90.5% Ni+9.5% Cr)
|
(55% Cu+45% Ni, Mn, Fe)
|
|
Никель-хром/
медь - никелевые ТХК
|
L
|
Сплав хромель
|
Сплав копель
|
|
|
ТНХ 9.5 (90.5% Ni+9.5% Cr)
|
(56%
Cu=44% Ni)
|
|
Медь/медь -
никелевые ТМК
|
T
|
Медь
|
|
|
MI(Cu)
|
(55% Cu+45% Ni, Mn, Fe)
|
|
Никель-хром-кремний/
никель - кремниевые ТНН
|
N
|
Сплав нихросил
|
Сплав нисил
|
|
|
(83,49-84,89)%Ni+(13,7-14,7)%Cr+(1,2-1,6)%Si+0.15%
Fe+0.05% C==0.01% Mg
|
(94.98-95.53)%Ni=0.02%
Cr+(4.2-4.6)%Si+0.15% Fe+0.05% C+(0.05-0.2)% Mg
|
|
Железо-медь/
никелевые/ ТЖК
|
J
|
Железо
|
Сплав
константан
|
|
|
(Fe)
|
(55% Cu+45% Ni, Mn, Fe)
|
|
Медь/копеле-вые/
|
M
|
Медь
|
Сплав копель
|
|
|
MI(Cu)
|
(56%
Cu=44% Ni)
|
Табл. 2 Типы и метрологические характеристики ТЭП
|
ТХА, ТНН
|
K, N
|
3
|
От -250 до -167
Св. -167 до +40
|
0,015|t| 2,5
|
|
|
2
|
От-40 до 375
Св. 135 до 1300
|
2,5 0,0075
|
|
|
1
|
От -40 до +375
Св. 375 до 1300
|
1,5 0,001t
|
|
ТМК
|
T
|
3
|
От-200 до -66
Св. -66 до +40
|
0,015|t| 1,0
|
|
|
2
|
От -40 до +135
Св.135 до 400
|
1,0
|
В рабочих диапазонах температур термопреобразователи имеют
следующие уровни рабочего сигнала: ТХА и ТХК - термо-э.д.с. в пределах от -2,2
до 50 мВ.
1.2
Выбор термопреобразователя по исходным данным
КТХА - термопара ХК (хромель - капель) от 40° до 600°.
По каталогу выбираем преобразователь термоэлектрический КТХА
(ХК) 01.03.
Он предназначен для измерения температуры жидких и
газообразных химических неагрессивных сред, а также агрессивных не разрушающих
материал оболочки темопарного кабеля. Рекомендуются для установки в защитные
гильзы, а также на технологическом оборудовании сложной геометрии. Допускается
изгибать рабочую часть термопреобазователя по длине для размещения горячего
спая в требуемой зоне измерения.
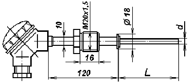
Рабочие термоэлектрические преобразователи, конструктивная
схема которых приведена на рисунке 1, характеризуются наличием монтажного
кольца, приваренного лазерной сваркой к оболочке термопарного кабеля и
подвижного резьбового штуцера, что существенно расширит область применения.
Наружная часть термопреобразователя, от монтажного кольца до клеммой головки
усилена стальной трубкой диаметром 10 мм.
Рисунок 1 - Конструктивная схема термоэлектрического
преобразователя
Габаритные размеры монтажных элементов и их внешний вид могут
определятся заказчиком исходя из условий эксплуатации термопреобразователя.
Типовые конструкции монтажных элементов представляют собой кольца различных
диаметров, шаровые или цилиндрические втулки с резьбовыми штуцерами
стандартного типоразмерного ряда.
Технические характеристики термопреобразователя:
Диапазон рабочих температур, °С:
от -40 до 1200С (кратковременно до 1300)
Диапазон условных давлений:
0 - 4.0 МПа
Класс допуска - II
Рабочий спай:
Не изолирован от оболочки кабеля
Материал оболочки термопарного кабеля сталь 12х18Н10Т.
Показатель тепловой инерции С=40
Предел основной допускаемой погрешности термопреобразователя
2 класса допуска.
∆tотп =
2,5°С
Для подключения термопары к измерительному прибору выбираем
кабель.
Кабель термопарный многожильный в изоляции из стеклонити
экранированный. КТМ СЭ (Рисунок 2) применяется в качестве компенсационного провода
для термопреобразователей температуры термоэлектрических с НСХ типа ТХА(К) и
ТХК(L).
Технические данные кабеля многожильного КТМ СЭ:
Сечение: S= 0,2 мм№
Диаметр: D= 3,5 мм
Диапазон температур: -50 до +220єС.
Погрешность вносимая соединительными проводами максимальная ∆tсл=
1,5 єС.
1.3
Анализ и расчет погрешностей термопреобразователей
Погрешность термоэлектрических термометров складывается из
погрешности термоэлектрических преобразователей и погрешности измерительных
приборов.
Погрешность термопреобразователей состоит из: погрешности
градуировки термоэлектрического преобразователя; погрешности вызванной
термоэлектрической неоднородностью преобразователя; погрешности в следствии
отклонения градуировачной характеристики стандартных рабочих
термопреобразователей от стандартной статистической номинальной характеристики;
погрешности, обусловленной изменением температуры свободных концов
термоэлектрических преобразователей; погрешности возникшей из-за временной
нестабильности термоэлектродов; погрешности обусловленной условиями измерения,
например, теплоотводом по термопреобразователю, изменением условий теплообмена
при установке термоэлектрического преобразователя на объект измерения за счет отличия
коэффициентов черноты и т.п.
Погрешность градуировки (определение статической номинальной
характеристики) термоэлектрического преобразователя определяются погрешностью
средств поверки, например, термостата; образцового термометра, контролирующего
температуру в термостате; потенциометра применяющемся при поверке.
Погрешность измерения температуры термопреобразователем 
складывается из основной допускаемой погрешности 
и методической погрешности 
, обусловленными теплообменом между термопреобразователем и
измеряемой средой.
Методические погрешности контактных термопреобразователей 
возникают за счет лучистого теплообмена между
термопреобразователем и окружающими его телами, за счет отвода тепла
теплопроводностью по арматуре и деталям термопреобразователя; за счет нагрева
измерительным током чувствительного элемента термопреобразователя сопротивления
его инерционности. По исходным данным температура среды постоянная, поэтому
инерционностью можно пренебречь.

,
где, 
- погрешность, вызванная теплоотводом по термопреобразователю, оС

- погрешность за счет лучистого теплообмена, оС.

погрешность термопреобразователя сопротивления за счет нагрева измерительным
током, для термопар равна нулю, оС.
Погрешность, вызванная лучистым теплообменом между
термопреобразователем и стенками печи или воздухоотвода, определяется по
формуле:
где, tт, tср, tст - соответственно температуры термопреобразователя,
среды и стенки печи(воздуховода), оС;
Со - постоянная Стефана - Больцмана, равная 5,67
Вт/м2К4;
αк - коэффициент
теплоотдачи конвекцией между термопреобразователем и измеряемой средой Вт/мК;
εпр. - приведенный
коэффициент черноты, характеризующий теплообмен излучением между
термопреобразователем и стенками. Так как поверхность стен печи значительно
больше чехла термопреобразователя, можно принять ε
равным
коэффициенту черноты чехла термопреобразователя εТ.
Δtизл = 
= -0,3 К
Погрешность, вызванную отводом тепла теплопроводностью по защитной
арматуре термопреобразователя, определяют по формуле:

,
где L - глубина погружения
термопреобразователя, м;
δ - толщина стенки чехла
термопреобразователя, м;
λ - коэффициент теплопроводности материала
чехла термопреобразователя, Вт/мК;
оС
Погрешность мала, в дальнейших расчетах можно пренебречь.
Методические погрешности контактных термопреобразователей Σ∆tм возникают за счет лучистого теплообмена между термопреобразователем
и окружающими его телами; за счет отвода тепла теплопроводностью по арматуре и
деталям термопреобразователя; за счет нагрева измерительным током
чувствительного элемента термопреобразователя сопротивления его инерционности.
По исходным данным температура среды постоянная, поэтому инерционностью можно
пренебречь.
где ∆tто - погрешность, вызванная теплоотводом
∆tнт - погрешность термопреобразователя сопротивления за счет
нагрева измерительным током, для термопар равна нулю, ◦С.
Погрешность измерения температуры термопреобразователем ∆tтп складывается из основной допускаемой погрешности ∆tотп и методической погрешности Σ∆tм,
обусловленными теплообменом между термопреобразователем и измеряемой средой.
∆tтп=
[
2,5]<[
4]
Неравенство выполнено, следовательно термопара выбрана верно.
2.
Выбор измерительного прибора
.1
Обзор современных измерительных приборов для работы с термопреобразователями
(термоэлектрическими)
Термоэлектрические термопреобразователи работают в комплекте
с аналоговыми и цифровыми милливольтметрами, приборами следящего
уравновешивания и микропроцессовыми приборами.
Аналоговые приборы
Принцип действия аналоговых приборов (Таблица 3) основан на
уравновешивании напряжения теомопреобразователя, падением напряжения на
реохорде с помощью электромеханического следящего устройства.
Достоинства:
. широко применяются для измерения сигнализации,
регулирования и управления техническими процессами в различных отраслях
промышленности.
. простота конструкции, удобства эксплуатации и
ремонта.
Недостатки:
Большие габариты и вес, не высокое быстродействие, не высокая
чувствительность.
Таблица 3 Типы и МХ современных аналоговых приборов
|
Наименование
|
Тип
|
Кл. точн.
|
Кол-во каналов
|
Наличие
регистрации
|
Сопряж. с ЭВМ
|
|
1
|
2
|
3
|
4
|
5
|
6
|
|
Показывающий
аналоговый прибор
|
А-543 А-100
А-100Н
|
±0,5
|
3 1,2
|
лента 100 мм
лента 100 мм
|
____
|
|
Показывающий
аналоговый прибор
|
КП1Т
|
±0,5
|
1
|
_______
|
____
|
|
Одноканальный
прибор с круговой шкалой
|
ДИСК-250
|
±0,5
|
1
|
Диаграмма
круговая 250 мм
|
____
|
Цифровые приборы.
Таблица 4. Типы и МХ современных цифровых приборов
|
Наименование
|
Тип
|
Класс точности
осн. погрешность
|
Кол-во каналов
|
Наличие
регистрации
|
Сопряжение с
ЭВМ
|
|
Многоканальный
регистратор
|
МЕТРАН-900
|
+0,1%
|
12
|
Видеограф.
|
Интерфейс RS-232 RS-485
|
|
Показ. И
регистрирующий цифровой прибор
|
Технограф-160
|
0,25% 0,5%
|
12
|
Лента диаграмма
160 мм
|
RS-232
RS-485
|
|
Измерительный 2
канальный прибор
|
2ТРМО
|
0,5%
|
2
|
__
|
___
|
|
Многоканальный
регистратор
|
Альфалог 100 м
|
+0,5%
|
346
|
Лента 100 мм
|
RS-232
RS-485
|
|
Измерительный
регулятор одноканальный
|
ТРМ-1
|
+0,5%
|
1
|
__
|
___
|
|
Цифровой
регистратор
|
Ш9329 Ш9329А
|
0,5% 0,1%
|
6
|
|
RS-232
RS-485
|
Достоинства:
1. высокая точность.
. высокая чувствительность и быстродействие
. универсальность.
. многоканальность.
. малая потребляемая мощность.
Недостатки.
дорогостоящий
. сложность конструкции
. сложность настройки и ремонта.
2.2
Обоснование и выбор измерительного прибора
термопреобразователь датчик погрешность аналоговый
Для выбора предела измерения и класса точности измерительного
прибора следует рассчитать погрешность комплекта термометра состоящего из
термопреобразователя, соединительных проводов и измерительного прибора.
Считая что предельно допускаемые погрешности
термопреобразователя, прибора и вносимые соединительными проводами независимы и
их значения соответствуют одинаковым доверительным вероятностям при однотипных
законах распределения, рассчитываем предельное значение основной погрешности
комплекта термометра по формуле:
,
где
- погрешность, вносимая удлинительными
проводами термоэлектрического преобразователя, для термопреобразователя
сопротивления принимается равной нулю, 
;
- предел основной допускаемой погрешности измерительного прибора, 
;
Для определения предельно допускаемой погрешности прибора примем
погрешность комплектно равным погрешности по исходным данным.

,
Значение начала tн и конца tк шкалы
измерительного прибора следует выбирать так, чтобы измеряемая температура среды
лежала последней третьей части диапазона измерений. Учитывая, что диапазон
измерения прибора (tк - tн) равен
нормирующему значению, рассчитайте предел основной допускаемой погрешности
измерительного прибора по формуле:
,
(tк - tн) =
/к · 100,
(tк - tн) =
2,7/0,5 · 100 = 540
Выбираем прибор типа Диск -250 класса точности 0,5 с диапазоном
измерения от 0 до 400 0С
,
=
оС
Не превышает исходных данных
4, прибор выбран правильно.
Прибор Диск-250 широко применяются для измерения, регистрации, сигнализации
температуры, давления, расхода, уровня и других параметров в системах
регулирования и управления техпроцессами в энергетике, металлургии, химической,
нефтехимической, нефтеперерабатывающей, пищевой и других отраслях
промышленности.
Принцип действия основан на уравновешивании напряжения с
термопреобразователя падением напряжения на реохорде с помощью
электромеханического следящего устройства.
Д-датчик
ВхУ - входное устройство
УВС - Усилитель входного сигнала (ПУ-предварительный
усилитель; Ок-оконечный усилитель)
УР-усилитель сигнала реохорда
Р - реохорд
ДВ-балансирующий двигатель
УН-усилитель небаланса
ВУ1-ВУ4-выходные устройства
ИП-источник питания
Устройство и работа прибора
Сигнал с датчика Д поступает во входное устройство ВхУ, где
усиливается и настраивается по нижнему пределу измерения. Во входном устройстве
подключена медная катушка R6 для автоматического ведения поправок на tс.к. Затем сигнал поступает
в УВС, который состоит из предварительного усилителя ПУ, где напряжение
усиливается в диапазоне 0,04В и оконечного усилителя ОкУ, где сигнал настраивается
от -0,5 до +8,5В и поступает на усилитель небаланса УН. На УН подается сигнал с
реохорда Р, усиленный усилителем реохорда УР диапазона от 0,5 до 8,5В. Сигналы
сравниваются УН, их разность усиленная подается на реверсивный двигатель ДВ.
Двигатель механически (тросиком) связан с реохордом перемещает его подвижный
контакт вправо или влево, изменяя напряжение на реохорде до тех пор пока не
уравняет с напряжением с термопары. При этом двигатель остановится и стрелка
покажет измеряемую температуру.
Технические и метрологические характеристики.
Количество входов 1 или 2 независимых канала
Входные сигналы: напряжения - (0-1), (0-10), (-10-0+10) В;
тока - (0-5), (0-20), (4-20) мА.
Основная погрешность по показаниям: +0,5%
Быстродействие: 1; 2,5; 5 или 10 с.
Скорость перемещения диаграммы - 20, 40, 80, 160, 320, 640,
1280 или 2560 мм/г.
Входные устройства сигнализации: два двухпозиционных
устройства две независимые установки, контакты, реле 220В.
Длина шкалы и ширина диаграммной ленты (100
0,1) мм.
Рабочее положение шкал приборов - вертикальное
Прибор имеет индикацию «прибор включен»
Питание силовой цепи приборов осуществляется от сети переменного
тока напряжением (220-33+22), частотой (50
1) Гц.
Мощность, потребляемая силовой цепью прибора при номинальном
напряжении питания не превышает 18В*А.
Основная погрешность по регистрации
1,0
Вариация показаний не превышает абсолютного значения предела
основной погрешности по показаниям.
Из технического описания прибора нормальной является
температура окружающей среды: =(20±2)оС. При отклонении температуры
от нормальной изменение погрешности прибора не превышает значений, определяемых
формулой:
где, 
- приведенная погрешность, 
Kt - коэффициент пропорциональности, 
, К=0,015


Абсолютная дополнительная погрешность за счет влияния температуры
окружающего воздуха 
в градусах Цельсия равна:

,
Поверка расчета:

,
,6 oC < 4 oC.
Неравенство выполнено, следовательно, прибор выбран правильно.
2.3
Анализ погрешностей измерительного прибора
Основные источники погрешности автоматических мостов.
Погрешность автоматических мостов складывается из погрешности
измерения и записи, подразделяется на основную и дополнительную.
Основная погрешность имеет место при нормальных условиях
работы моста. Дополнительные погрешности вызваны влиянием внешних факторов при
отклонении условий работы прибора от нормальных.
Источниками дополнительных погрешностей мостов, например,
являются: отклонение температуры окружающей среды от нормальной, приводящее к
изменению параметров электрической цепи моста и механических повреждений
подвижных частей; отклонение моста от его рабочего положения, в каком либо
направлении; влияния внешнего электрического и магнитного поля, нарушающего
работу измерительной схемы, следящего устройства и т.д.; изменение частоты
питающей сети и напряжения питания.
Источниками основной погрешности автоматических мостов
являются: погрешность измерительных схем, в том числе: погрешность из-за
неравномерности намотки реохордов, неодинаковых диаметров и сопротивления по
всей длине проволоки; эта погрешность достигает в ряде случаев 0,13-0,15%
сопротивления реохордного устройства; погрешность, вызываемая нестабильностью
элементов измерительной схемы (реохорда, катушек, сопротивлений и т.д.);
погрешность из-за вибрации деталей и элементов моста, особенно во входных
трансформаторах; погрешность отсчета и записи показаний, в том числе,
погрешность изготовления шкал, установки шкалы; погрешность отклонения
указателя моста от необходимой формы и т.п.; погрешность записи, обусловленная
несовпадением отметок шкалы с соответствующими делениями сетки диаграммной
ленты; изменением размеров бумаги при изменении влажности окружающего воздуха;
неточностью механизма перемещения бумаги; запаздываниям записывающего
устройства, вызываемым инерцией следящей системы потенциометра.
Вариация показаний автоматических мостов - наибольшая
разность показаний при прямом и обратном перемещениях показывающего устройства
при одном и том же значении измеряемой величине и постоянных окружающих
условиях.
Вариацию показаний ∆в определяют как
разность отсчетов измеряемой величины при возрастающих и убывающих значениях по
формуле
где R1, R2 - сопротивление на образцовом магазине при возрастающем и
убывающем значениях измеряемой величины, Ом;
Rн, Rк, - табличные значения сопротивления, соответствующие началу и
концу шкалы моста, Ом.
Вариация показаний выражается в процентах от пределов
измерений прибора и не должна превышать 0,2% для приборов класса 0,25 и
половины абсолютного значения допускаемой основной погрешности - для приборов
остальных классов.
Суммарная инструментальная погрешность термометров
сопротивления слагается из погрешности термопреобразователя сопротивления и
измерительного прибора
где ∆гр - погрешность градуировки
термопреобразователя сопротивления, К;
∆I -
погрешность нагрева термопреобразователя измерительным током, К;
∆м - погрешность автоматического моста, К.
3. Поверка термоэлектрического термометра
.1
Выбор метода поверки термопреобразователя
Метода поверки выбираем по государственной поверочной схеме
для средств измерений температур ГОСТ 8.558-93.
Настоящий стандарт распространяется на государственную
поверочную схему для средств измерений температуры и установить порядок
передачи размера единицы температуры Кельвина (К) [градуса Цельсия (С)], от
первичного эталона эталона единицы температуры при помощи вторичных эталонов и
образцовых средств измерений. рабочим средствам измерений с указанием
погрешностей и основных методов поверки. Поверочная схема состоит из трех
частей:
Часть 1
Контактные термометры в диапазоне 0,8
303К
Часть 2
Контактные термометры в диапазоне 0
2500
Часть 3
Радиационные термометры
3.2
Выбор эталонных средств и расчет точности поверки термопреобразователя
Эталонные средства выбираем по ГОСТ 8.338 - 2002.
«Преобразователи термоэлектрические. Методика проверки». При проведении поверки
используют следующие средства измерений:
эталонные 2 разряда платинородий-платиновые ТП типа ПРО в
диапазоне температуры от 300 до 1200оС.
Поверочная установка типа УТТ-6ВМА (Рисунок 5) в состав которой
входит: компоратор напряжения типа Р 3003 К.Л.Т. 0,0005 с пределом измерений от
0 до 11 В; Горизонтальные трубчатые печи от 300 до 1200оС; ртутные
стеклянные термометры с ценой деления 0,1оС и с пределом измерений
от 10 до 35оС по ГОСТ 28498; Удлиняющие провода по ГОСТ 1790 типов
ТХК(L); теплоизоляционные сосуды обеспечивающие
задающую температуру в течение заданную температуру в течении 14 и с предельным
отклонением 
0,1
.
Средства поверки выбраны верно, если средства измерения
сопротивления или ТЭДС термопреобразователя, эталонные термометры и аппаратура
для воспроизведения температур обеспечивают такую точность измерений, при
которой абсолютная погрешность поверки 
пов не
будет превышать 1/3 предела допускаемой погрешности термопреобразователя 
tотп, при каждой поверяемой температуре.
Значения поверяемых температур выбираются по нормативно технической
документации /8,9/ в соответствии с диапазоном преобразователя.
Расчет погрешности поверки 
пов для
термоэлектрических преобразователей проводят по формуле:

,
где 
предельно допустимая погрешность эталонного термометра или
термопреобразователя, 
.

предельно допустимая погрешность прибора, измеряющего ТЭДС
термопреобразователя в температурном эквиваленте,

предельно допустимая погрешность поддержания температуры свободных
концов термопреобразователя, 
.

погрешность от влияния паразитных ТЭДС в измерительных целях
установки, в температурном эквиваленте,
Для термопары ППО 2 разряда
|
|
|
|
±0.40
|
300
|
|
 0.47400
|
|
|
 0.54500
|
|

для печи МТП5
Предел основной допускаемой погрешности измерения ТЭДС
определяется согласно техническому описанию по формуле:
∆n =
± (5U + 1), мкВ,
где U - измеряемое напряжение, В.

22.843=22.843
B

B

B
Определим погрешность прибора Р3003 в температурном эквиваленте.
где ∆n - предельно
допускаемая погрешность измерительного прибора, В.
St - чувствительность термопреобразователя при рассчитываемой
температуре поверки.
Для термоэлектрического преобразователя чувствительность
определяется по формуле
,
где
- приращение ТЭДС термопреобразователя,
взятое по /10/ при изменении температуры на один градус Цельсия.

мВ=0.085
В

=0.088мВ=0.088
Расчет погрешности поверки термопреобразователя сопротивления
проводится по формуле:
,
где ∆tк - предельно допустимая погрешность
измерительной катушки сопротивления в температурном эквиваленте, ◦С.
Из технического описания установки погрешность от паразитных ЭДС
возникающие в измерительных целях установки не должна превышать 0.5
микровольта. Определили в температурном экволенте.

=
-

=7.6

=
1.1

=
Погрешность поверке термопреобразователя:
.
Таблица 5
|
Тип
преобразователя
|
Температура
проверки   
|
|
|
|
|
ТХА 9312
|
300
|
 0.4602.50.84
|
|
|
|
400
|
 0.5392.70.90
|
|
|
|
500
|
±0.610
|
3.2
|
1.07
|
0.46
0.84
.54
0.90
.61
1.07
Не равенство выполняется при всех температурах проверки,
следовательно, эталоны средства для проверки термопары выбрано правильно.
3. Выбор метода и эталонных средств для поверки измерительного
прибора
Методы и средства поверки выбираем по методической инструкции МИ
456-84;
. Установка для поверки электрической прочности изоляции,
напряжение до 850 В, мощность на стороне высокого напряжения 0.25 квА
. Мегоаметр кп. 2.5 с напряжением 100 В и 500 В.
. Лупа измерительная ЛИЗ - 10 с ценой деления 0,1 км.
. Колибратор измеритель стандартных сигналов КИСС - 03
. Электрические часы синхронные (максимальная погрешность 
2 минуты за сутки).
,
где ∆пов.пот. - погрешность поверки
потенциометра, мВ.
∆мн - предел основной допускаемой
погрешности эталонного потенциометра, мВ.
gмн - цена младшей декады образцового потенциометра,
мВ.
∆кт - погрешность устройства температурной
компенсации соответствующей НСХ термопреобразователя, мВ.
∆ц - погрешность измерительной цепи поверки
потенциометра установки, мВ.
Верхний предел проверочного прибора Диск -250 400 оС.
gмн = 1мкВ

=

Поверка расчета:
25.4
.4
Неравенство выполняется, значит средства проверки выбраны верно.
Литература
1.
Олейник Б.Н. Приборы и методы температурных измерений. М.: Издательство
стандартов, 1987.
.
Температурные измерения. Справочник. Пор ред. Геращенко О.А. Киев: Наука думка,
1989.
.
Полный номенклатурный каталог «Теплоприбор» Челябинск 2006.
.
Вторичные приборы. Каталоги предприятий-изготовителей.
.
Номенклатурный перечень серийно выпускаемых приборов и средств автоматизации.
Каталог. М.
.
ГОСТ 8.558-93. ГСИ. Государственная поверочная схема для средств измерений
температуры.
.
Методики поверки измерительных приборов (из технических описаний).
.
ГОСТ 8.280-78. Потенциометры и уравновешенные мосты автоматические. Методы и
средства поверки.
.
ГОСТ 8.338-2002. Термопреобразователи технических термоэлектрических
термометров. Методы и средства поверки.
.
ГОСТ Р 8.585-2001. Преобразователи термоэлектрические. Номинальные
статистические характеристики преобразования.
.
ГОСТ 6616-94. Преобразователи термоэлектрические. Общие технические условия.