Строительные машины
КОНТРОЛЬНАЯ
ПО КУРСУ «СТРОИТЕЛЬНЫЕ МАШИНЫ»
ОГЛАВЛЕНИЕ
ПУНКТ 1
. Определение
производительности башенного крана
. Определение
производительности бульдозера
. Определение
производительности глубинного вибратора
ПУНКТ 2
. Подбор стандартной
ленты
. Выбор
электродвигателя
. Выбор редуктора
ПУНКТ 3
. Определение
производительности первичного дробления
. Выбор дробилок
первичного дробления
. Выбор дробилки
первичного дробления требуемой величины выходной щели и размеров фракции
продукта дробления
. Выбор дробилки
вторичного дробления
ленточный
конвейер дробилка кран бульдозер
ПУНКТ 1
Задание:
Определение производительности башенного крана при заданном вылете
Lраб=(Lmax+Lmin)/2 с построением грузовой Q(L) и высотной H(L) характеристик.
Определение производительности бульдозера и глубинного вибратора.
1. Определение
производительности башенного крана
Определяем положение центра масс и массу крана:
При коэффициенте учета массы крюковой обоймы, равным 1,05 получаем
выражение грузовой характеристики:
Выражение высотной характеристики крана получаем из уравнения:
Строим графики грузовой и высотной характеристик крана:
Рис.1. Графики грузовой и высотной характеристик.
Рабочий вылет стрелы определяется по формуле:
Lраб=(Lmax+Lmin)/2=(24+10)/2=17 м.
Мри вылете стрелы 17 м грузоподъемность крана 31т и высота подъема груза
62м.
2. Определение
производительности бульдозера
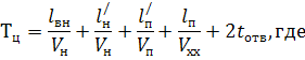
Производительность бульдозера определяется по формуле:
Кукл = 0,8;
Тц - продолжительность цикла.
Продолжительность цикла при принятом скоростном режиме находим по
формуле:
Vн =
0,5 м/с - скорость набора грунта;
Vп = 1
м/с - скорость бульдозера при перемещении грунта;
Vхх =
2,5 м/с - скорость холостого хода бульдозера;
tн =
6,5 с - время разворота.
3. Определение
производительности глубинного вибратора
Производительность глубинных вибраторов определяется по формуле:
Vпр =
500 - производственная емкость бетоносмесителя;
Квых = 0,65
Тц= tзагр+tпер+tвытр
= 15+80+20 = 115 с.
ПУНКТ 2
Задание:
Выбор рабочих органов и привода ленточного конвейера.
1. Подбор
стандартной ленты
При транспортировании насыпных грузов ширину ленты определяют по формуле:
Пт = 85 т/ч - производительность конвейера;
V =
2,5 м/с - скорость ленты;
ρ = 1500 кг/м3 - насыпная плотность материала;
с = 0,9 - коэффициент, учитывающий снижение производительности при
установки конвейера в наклонном положении при α=12°.
В≥2а+0,2 м, где
а = 0,08 м - размер среднего куска материала.
а+0,2=0,36 м
Принимаем ширину ленты 400мм.
Марка бельтинга Б-820, sр=60Н/мм, δ1=1,5мм.
i=3 -
число прокладок.
2.
Выбор электродвигателя
Мощность конвейера для перемещения материала определяется по формуле:
Пт = 85 т/ч - производительность конвейера;
H =
30м - высота подъема груза;
Вст = 0,4 м - ширина стандартной ленты;
V = 2
м/с - скорость транспортирования груза;
Lr -
длина горизонтальной проекции наклонного участка

Находим
требуемую мощность двигателя по формуле:

- КПД
редуктора
Выбираем
двигатель марки А81-4 с мощностью двигателя Nдв = 40кВт.
3.
Выбор редуктора
К=125 - значение коэффициента при iпр=3
Выбираем стандартный приводный барабан 400мм.
ПУНКТ 3
Задание:
Осуществить выбор дробилок первичного и вторичного дробления
обеспечивающих заданных зерновой состав продукта с указанной
производительностью.
1. Определение производительности первичного дробления
Определение расчетного значения производительности первичного дробления
по формуле:
Кн = 1,15 - коэффициент неравномерности подачи породы;
Кв = 0,85 - коэффициент использования дробилки по времени.
2. Выбор дробилок первичного дробления
Предварительно выбираем возможный вариант дробилки первичного дробления
(по Пр=510 м3/ч и Dmax=650 мм, σ
=185 МПа) и расчитываем
для нее критерий:
Таблица 2. Технические характеристики дробилок
|
№ варианта
|
Дробилки
|
Технические характеристики
|
|
Тип и размер
|
Число
|
Dmax, мм
|
Пmin/Пмах, м3/ч
|
(e+S)min/(e+S)мах,
мм
|
N, кВт
|
G, т
|
TNG, кВт·т·м3/ч
|
|
1
|
ЩКД СМД 111
|
3
|
750
|
120/230
|
95/165
|
100
|
72,5
|
0,532
|
|
2
|
ЩКД СМД 118
|
2
|
1000
|
200/390
|
100/190
|
160
|
145
|
0,305
|
|
3
|
ЩКД СМД 117
|
1
|
1300
|
390/720
|
135/225
|
250
|
251
|
0,121
|
3. Выбор дробилки первичного дробления требуемой
величины выходной щели и размеров фракции продукта дробления
Выбираем первый вариант, которому
соответствует наименьшее значение TNG = 0,121.
Необходимым размер выходной щели для
реализации расчетной производительности Пр= 510 м3/ч составит:
Размеры фракций продукта в соответствии с суммарной характеристикой
крупности щековой дробилки крупного дробления (ЩКД) составляет:
|
d, мм
|
до 5
|
до 10
|
до 20
|
Св. 20
|
|
У1
|
≈0
|
≈0
|
≈0,05
|
≈0,95
|
Рис.2. Графики гранулометрического состава продукта дробления дробилок:
а) ЩКД и ККД; б) КСД
Наибольший размер куска продукта дробления составляет приблизительно 225
мм (dmax = 225 мм).
Значение первой составляющей циклической производительности составит П1ц
= Пр∙У1= 510×0,95=408 м3/ч.
4. Выбор дробилки вторичного дробления
В связи с тем, что вторичное дробление реализуется в замкнутом цикле,
загрузку дробления определяем по:
У1 и У2 - относительное содержание кусков размером d (d > dm =
20 мм) в продуктах первичного и вторичного дробления.
Вторая составляющая циклической производительности П2ц может быть
установлена только после выбора дробилок вторичного дробления. Подбираем
дробилки для вторичного дробления на основании данных: Dmax = dmax = 225 мм, Пц ≥ 408 м3/ч.
Таблица 4. Технические характеристики дробилок
|
№ варианта
|
Дробилки
|
Технические характеристики
|
|
Тип и размер
|
Число
|
Dmax, мм
|
Пmin/Пмах, м3/ч
|
(e+S)min/(e+S)мах,
мм
|
N, кВт
|
G, т
|
TNG, кВт·т·м3/ч
|
|
1
|
КСД 1750
|
2
|
225
|
160/300
|
25/60
|
160
|
47
|
0,167
|
В этом случае в соответствии с графиками гранулометрического состава
продукта дробления в зависимости от выбираемого размера выходного отверстия e+S
характеристики дробления будут иметь следующие значения.
Таблица 5. Характеристики дробления
|
№ варианта
|
Характеристики дробления
|
|
e+S, мм
|
У2 при d>20мм
|
П2ц, м3/ч
|
Пц, м3/ч
|
|
1
|
60
|
0,85
|
433,5
|
841,5
|
|
2
|
25
|
0,55
|
280,5
|
688,5
|
|
3
|
менее 12
|
0
|
0
|
408
|
Значение размера выходной щели целесообразно принять менее 12 мм с целью
Пц® min. Однако его конкретное значение
принимаем по данным требуемого зернового состава продукта дробления по
фракциям.