Исследование коллектива на примере ОАО 'Свердловский завод гипсовых изделий'

  • Вид работы:
    Дипломная (ВКР)
  • Предмет:
    Менеджмент
  • Язык:
    Русский
    ,
    Формат файла:
    MS Word
    224,18 kb
  • Опубликовано:
    2011-08-19
Вы можете узнать стоимость помощи в написании студенческой работы.
Помощь в написании работы, которую точно примут!

Исследование коллектива на примере ОАО 'Свердловский завод гипсовых изделий'

Содержание

 

Введение

1. Теоретические аспекты формирования коллектива

1.1 Система формирования коллектива на инновационных предприятиях

1.2 Трудовой коллектив как понятие в экономике

1.3 Понятие и характеристика текучести кадров и ее влияния на стабильность коллектива

2. Анализ коллектива ОАО "Свердловский завод гипсовых изделий"

2.1 Общая характеристика ОАО "Свердловский завод гипсовых изделий" и направления инновационной деятельности

Юридическая форма предприятия:

Реквизиты:

2.2 Анализ кадровой работы

2.3 Анализ результатов хозяйственной деятельности на предприятии

3. Мероприятия по "Формированию стабильного трудового коллектива"

3.1 План основных мероприятий

3.2 Программа исследования на предмет "Формирование стабильного трудового коллектива"

Заключение

Литература

Приложения

Реферат

Дипломная работа "Разработка программы по совершенствованию системы формирования коллектива инновационных организаций" выполнена на 98 страницах, состоит из трех глав библиографии (Двадцать одна единица).

Цель дипломного проекта - разработать рекомендации по формированию стабильного коллектива в ОАО "Свердловский завод гипсовых изделий"

Задачи дипломного проекта заключаются в следующем:

Изучить теоретические основы и пути формирования стабильного трудового коллектива;

Проанализировать мотивационную систему ОАО "Свердловский завод гипсовых изделий";

Разработать рекомендации по формированию стабильного трудового коллектива.

Дать экономическую оценку предлагаемых рекомендаций и мероприятий.

Во введении обосновывается актуальность проблемы, обозначаются цель, объект, предмет и задачи исследования.

В первой главе рассмотрены теоретические основы формирования стабильного коллектива - понятие трудового коллектива, методы его формирования, характеристика текучести кадров и определены методы экономического ущерба, вызванного текучестью кадров.

Во второй главе проведен анализ текучести кадров в ОАО "Свердловский завод гипсовых изделий", дана характеристика завода, проведен сравнительный анализ кадровой работы, проведен анализ хозяйственной деятельности предприятия, проанализировали, мотивационную систему ОАО "Свердловский завод гипсовых изделий", определили рейтинг причин текучести кадров, в том числе молодых специалистов производственного предприятия ОАО "Свердловский завод гипсовых изделий".

В третьей главе определены мероприятия и рекомендации по стабилизации текучести кадров в заводоуправлении ОАО " Свердловский завод гипсовых изделий".

Введение


Одной из важнейших проблем на современном этапе развития психологии, социологии, экономики большинства стран мира является проблема формирования стабильного трудового коллектива. При всем многообразии существующих подходов к этой проблеме в различных промышленно-развитых странах основными наиболее общими тенденциями являются следующие: формализация методов и процедур отбора кадров, разработка научных критериев их оценки, научный подход к анализу потребностей в формировании стабильного трудового коллектива. Проблема формирования различных коллективов раскрывается в научно-исследовательских работах ряда отечественных авторов (Н.П. Аникеева, А.Д. Глоточкин, А.И. Донцов, В.В. Новиков, А.В. Петровский, К.К. Платонов и др.).

Актуальность темы диплома "Формирование стабильного трудового коллектива промышленного предприятия" заключается в незаменимости трудового, человеческого фактора во всех аспектах человеческой жизнедеятельности, в том числе и трудовой деятельности на промышленном предприятии, поскольку стабильность трудового коллектива на промышленном предприятии является основным критерием конкурентоспособности.

Новые экономические условия предполагают использование не только новых теоретических посылок, но и новой технологии самой работы с трудовым коллективом. Таких, как формирование стабильного трудового коллектива за счет снижения текучести кадров, ее внешних и внутренних факторов и повышения корпоративной культуры промышленного предприятия, поскольку текучесть кадров приводит к устранению профессиональных и квалифицированных групп работников и привлечению кадров со стороны, что влечёт за собой незапланированные затраты на высвобождение персонала, обучение принятых работников, снижение показателей труда и т.д. Существуют подразделения, где текучесть кадров особенно нежелательна, т.к. деятельность требует ответственности и больших навыков работы, определенного уровня образования и личных качеств работников.

Именно такие подразделения и завод в целом мы рассматриваем в работе, что ещё более отражается на актуальности выбранной темы.

В данной работе проделана работа по выявлению причин текучести кадров на промышленном предприятии и разработка мероприятий и рекомендаций по стабилизации.

Объект исследования - ОАО "Свердловский завод гипсовых изделий"

Предмет исследования - трудовой коллектив ОАО "Свердловский завод гипсовых изделий".

Цель дипломного проекта - разработать рекомендации по формированию стабильного коллектива в ОАО "Свердловский завод гипсовых изделий"

Задачи дипломного проекта заключаются в следующем:

Изучить теоретические основы и пути формирования стабильного трудового коллектива;

Проанализировать мотивационную систему ОАО "Свердловский завод гипсовых изделий";

Разработать рекомендации по формированию стабильного трудового коллектива.

Дать экономическую оценку предлагаемых рекомендаций и мероприятий.

Данная работа включает в себя: анализ теоретической информации по кадровой политике; анализ проведенного тестирования и анкетирования сотрудников завода по вопросу удовлетворенности своей трудовой деятельности; обработка данных - количественный анализ.

1. Теоретические аспекты формирования коллектива


1.1 Система формирования коллектива на инновационных предприятиях


Осуществляемые в России экономические реформы существенно изменили статус предприятия. Появились организации, наряду с базирующимися на государственной собственности, частные, смешанные, имеющие коллективную ответственность. Рынок ставит организацию в принципиально новые отношения с государственными организациями, с производственными и иными партнерами, работниками. Устанавливаются новые экономические и правовые регуляторы. В связи с этим меняются отношения между руководителями организаций, между руководителями и подчиненными, между всеми работниками внутри организации. Меняется и отношение к персоналу организаций, так как социальная направленность экономических реформ поворачивает их лицом к человеку, персоналу организаций.

В настоящее время, вопрос управления персоналом организации встает особенно остро, поскольку каждая организация старается максимально оптимизировать свою деятельность, сделать ее более эффективной.

Для осуществления целей предприятия (организации) необходимо общее усилие персонала. И управление коллективом играет в этом важнейшую роль. Данная работа посвящена именно проблеме формирования стабильного трудового коллектива. Обобщение опыта отечественных и зарубежных организаций позволяет сформировать главную цель системы управления персоналом: обеспечение кадрами, организация их эффективного использования, профессионального и социального развития. В соответствии с этой целью формируется система управления персоналом организации. В качестве базы для ее построения используются принципы, т.е. правила, а также методы, разработанные наукой и апробированные практикой.

Работоспособный сплоченный коллектив возникает не сразу, этому предшествует длительный процесс его становления и развития, успех которого определяется рядом обстоятельств, мало зависящих от того, складывается ли коллектив стихийно или формируется сознательно и целенаправленно.

Прежде всего речь идет о ясных и понятных целях предстоящей деятельности, соответствующих внутренним стремлениям людей, ради достижения которых они готовы полностью или частично отказаться от свободы решений и поступков и подчиниться групповой власти.

Другим важным условием успешного формирования коллектива является наличие определенных, пусть даже незначительных достижений в процессе совместной деятельности, наглядно демонстрирующих ее явные преимущества перед индивидуальной.

Еще одним условием успеха деятельности официального коллектива является сильный руководитель, а неофициального - лидер, которым люди готовы подчиняться и идти за ними к поставленной цели.

Наконец, каждый коллектив должен найти свое место, свою "нишу" в формальной или неформальной структуре организации, где бы он мог полностью реализовать свои цели и возможности и не препятствовал делать это другим.

Началом формирования официального коллектива является решение о создании соответствующего подразделения, надлежащим образом оформленное юридически. Затем определяется его функциональная структура, круг обязанностей, прав и ответственности для каждого сотрудника, создается надежная система информирования. Привлекаемым работникам официально сообщают о целях и задачах подразделения его и коллектива, возлагают на них персональные задачи с учетом их способностей и возможностей роста и совершенствования, целенаправленно формируют и поддерживают благоприятный морально-психологический климат.

текучесть кадр коллектив трудовой

Для неофициального коллектива "днем рождения" становится обычно какое-то чрезвычайное событие или достижение некоего предела в развитии ситуации, после которого "так больше жить нельзя". Оно порождает всплеск эмоций, толкающий людей на объединение друг с другом. Обычно речь идет о чувствах страха, протеста, желания защитить себя, свое положение, свой статус в организации.

Любые отношения между людьми начинают складываться в результате технических контактов и наблюдений, в процессе которых люди накапливают информацию друг о друге, служащую основой взаимной заинтересованности, симпатии или, наоборот, антипатии.

Симпатия - это неосознанное, иррациональное отношение расположенности к другому лицу. Симпатизирующие друг другу люди работают более согласованно и эффективно.

Возникновение симпатии и антипатии обусловлено закономерностями восприятия, степенью совпадения или несовпадения основных жизненных интересов, целей и ценностей (люди, естественно, симпатизируют тем, кто разделяет их взгляды и позиции, находится рядом, совместно участвует в решении трудных проблем, но вряд ли кто-то будет испытывать добрые чувства к конкурентам), общей манерой поведения. На основе симпатии зачастую возникают определенные достаточно постоянные отношения. Если коллективы формируются "сверху" и в основе отношений лежит принуждение, они окажутся малоэффективными, поскольку могут быть "замешенными" на антипатии.

Поэтому в настоящее время в западных фирмах часто практикуется способ создания трудовых коллективов, в основу которого положен добровольный выбор партнеров из лиц, с которыми человек предварительно определенное время общался, в результате чего к одним из них возникает стойкая симпатия, к другим - антипатия, к третьим - безразличие.

Сформировавшиеся симпатии и антипатии трансформируются в предпочтения, отражающие желание или нежелание окружающих сотрудничать с данным лицом. Они позволяют выделить так называемые референтные группы (отдельных личностей), чьи нормы поведения, взгляды и интересы принимаются в качестве эталона поведения, к которым большинство людей тянется, на которые ориентируется и с которыми, что самое главное, стремится сотрудничать. Как правило, группа, составленная на основе личных симпатий, работает эффективнее, чем сформированная произвольно.

Выделение таких личностей или групп происходит с помощью различных вариантов социографического метода.

В соответствии с одним из них каждому члену исходной группы, где все уже достаточно хорошо знают друг друга, предлагается выбрать двух человек, с которыми он в наибольшей степени желал бы совместно выполнять предлагаемую работу, или, наоборот, стремился бы при этом избежать их общества.

На основе полученной информации строится социограмма, или схема предпочтений в коллективе, которая представляет собой совокупность кружков с фамилиями или личными номерами каждого, соединенных стрелками, ведущими от тех, кто хочет, к тем, с кем хотят сотрудничать. Социограмма может быть звездной (центростремительной), сетевой, цепной, полицентрической и основывать на каналах коммуникации.

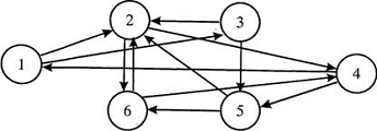
По ней можно определить, во-первых, лиц, в той или иной степени готовых к сотрудничеству (они и составят основу коллектива будущего подразделения); во-вторых, лицо, которому отдано наибольшее число "голосов" (потенциального руководителя); в-третьих, "изгоев", с которыми никто не хочет и не будет сотрудничать и кого поэтому не следует включать в создаваемый коллектив (рис.1).

Рисунок 1. Социограмма коллектива: 2 - референтная личность; 1, 3-6 - прочие члены коллектива

Поступают и несколько по-иному. В опросном листе предлагают указать три фамилии наиболее достойных людей в порядке "очередности" (при этом первое место оценивается в три балла, второе - в два, а третье - в один). Полученные каждым баллы складываются, и люди объединяются в три группы в соответствии с набранным количеством баллов. Затем изображаются три "вложенные" друг в друга геометрические фигуры; в центральную вписываются фамилии лидеров, набравших максимальное количество баллов; в промежуточную - среднее; в крайнюю - наименьшее. Это позволяет очертить поле предпочтений (рис.2) и место каждого члена группы на нем; при необходимости эту схему можно дополнить показанными на рис.1 линиями предпочтений, связывающими конкретных лиц.

Рисунок 2. Поле предпочтений

При перенесении социограммы (см. рис.1) на поле предпочтений на поле, соответствующее максимальному (max) числу предпочтений (в данном случае 4) попадает 2; на поле, соответствующее среднему числу предпочтений (mid), 6,5,4, на которые указали по два человека, и на поле, соответствующее наименьшему числу предпочтений (min) - 1,3, получившие по одному "голосу"

Разновидностью социограммы является матрица взаимоотношений (предпочтений). Для ее составления каждому члену коллектива предлагается оценить свое отношение к остальным: - 1 (негативное); 0 (безразличное; +1 (позитивное). Затем все оценки сводятся в шахматную таблицу (такую, как применяется для отражения хода спортивных турниров), из которой наглядно видны реальные взаимоотношения людей (табл.3).

Таблица 1

Матрица предпочтений


1

2

3

4

5

6

1




+ 1



2

+ 1


+1

0

-1

-1

3

+ 1

0


0

0

0

4

0

+ 1

-1


0

+1

5

-1

0

+1

+ 1


0

6

-1

+1

0

-1

-1

-----


На практике социографический метод таит в себе две опасности. Во-первых, в случае утечки конфиденциальной информации коллектив может быть расколот конфликтом, поскольку каждый узнает, что о нем в действительности думают окружающие, и, во-вторых, лидером в результате опроса становится не самый подходящий с точки зрения интересов дела, а самый популярный человек.

После возникновения коллектива проходит длительный процесс его организации или самоорганизации (если речь идет о неформальном коллективе), состоящий из нескольких этапов. На первом этапе в поведении людей преобладает индивидуализм. Они знакомятся друг с другом, наблюдают окружающих и демонстрируют им собственные возможности. Этот этап завершается либо осуществлением описанного выше социометрического исследования, либо определением руководителя. Многие при этом занимают выжидательные позиции, избегают враждебности, наблюдают, анализируют.

На втором этапе происходит сближение людей, установление между ними необходимых контактов и формирование общих норм поведения, "цементирующих" коллектив, а также возникают попытки установления приоритетов и захвата власти.

На третьем этапе коллектив стабилизируется, формируются совместные цели и нормы, налаживается надежное сотрудничество, позволяющее получать гарантированные результаты.

В дальнейшем с ростом зрелости коллектива ему по плечу становятся все более сложные задачи, а доверие, существующее между людьми, хорошее знание ими друг друга в ряде случаев позволяют ему функционировать на принципах самоуправления. При выполнении задачи или при уходе нескольких ключевых фигур коллектив реорганизуется или распадается.

В то же время любой коллектив подстерегают две серьезные опасности, одна из которых - возникновение "раскольнических" группировок, основывающихся на общности целей, потребностей, интересов, преследующих узкокорыстные цели и стремящихся захватить власть. Это проявляется в так называемой групповщине, характеризующейся тем, что группы обособляются, не обращают внимания на нужды и потребности других, некритически относятся к себе и своей роли в организации, считают себя непогрешимыми, неуязвимыми, непобедимыми. Для такого коллектива характерны единомыслие и конформизм его членов. Другой опасностью является бюрократизация коллектива, в основе которой лежит его стремление к спокойной жизни.

Прежде чем начинать какие-либо изменения на производстве или принимать решение о внедрении новых управленческих технологий, необходимо иметь представление о препятствиях, которые могут и обязательно возникнут при мотивации россиян на проведение изменений.

С начала века тон в менеджменте задают американцы, которым не надо философствовать - им надо спешить делать деньги и совершенно некогда смотреть по сторонам и обобщать чужой опыт. США заинтересованы, прежде всего, в своих подходах к управлению (пока именно они позволяют им делать большие деньги). В последнее время, правда, американцы стали уделять некоторое внимание и японскому опыту.

Мы рассуждаем об эффективности американского типа управления, сравнивая его с японскими подходами. Если проанализировать издаваемые в последнее время в России учебники по управлению, можно сделать вывод, что у нас есть одно важное преимущество перед США - есть время и возможность обобщать чужой опыт. Но в наших учебниках описана не полная картина японских подходов и сказана не вся правда про американский менеджмент. Мы мало рассуждаем о финском или польском типах управления, хотя они нам гораздо ближе исторически и географически и также мало понимаем что-либо в новом российском типе управления.

Ломка старых отечественных методов управления, так или иначе, происходит сама собой, под влиянием перемен. Изучение россиянами новых подходов в менеджменте медленно, пусть вынужденно, но все же идет. Вместе с тем, наши производственные отношения настолько уникальны, что нам не будет подходить мировой опыт в течение многих лет (по крайней мере "вырванный из контекста" и перенесенный на российскую "почву").

Каждый национальный трудовой коллектив имеет свои особенности. С этим трудно спорить.

На них накладывают отпечаток язык, история, предыдущий производственный опыт.

Попытаемся выделить некоторые особенности российского трудового коллектива.

Коллектив и производительность. Производительность зависит, в числе многих других факторов, от взаимоотношений работников между собой. Российский коллектив стремится к самосохранению, расширению привилегий, минимизации усилий. В России выработаны эффективные способы отстаивания своих экономических интересов, и прежде всего, это манипулирование производительностью труда. Периоды авральной работы обязательно чередуются с необъяснимыми простоями. Самой сокрушительной для выполнения плана бывает работа сотрудников, строго по правилам, - российский тип забастовки. В такой ситуации и авралы невозможны, и работа не может быть выполнена в срок.

И. Прусс одной из первых в начале 90-х обратила внимание на то, что эффективность не может стать целью нашего трудового коллектива. Полноценная жизнь нашего человека была налажена в рамках трудовых коллективов. Наш трудовой коллектив - это самоценная и самодостаточная форма социального бытия; не он для работы, а работа для него. В СССР производственные функции трудового коллектива были не целью, а условием выживания. В других странах структуру любого производственного коллектива задавал бизнес. В СССР, поскольку почти все возможности удовлетворения базовых, основных социальных потребностей сфокусировались в одной точке - на работе, то и советский трудовой коллектив оказался приспособлен к чему угодно, но только не к повышению эффективности производства.1

1.2 Трудовой коллектив как понятие в экономике


Каждое предприятие для решения задач, связанных с производством и реализацией товаров и оказанием услуг, должно быть укомплектовано определенным количеством людей, способных выполнять эти работы. Занятые общественным трудом на предприятии работники, инженеры и служащие образуют трудовые коллективы этих предприятий.

Трудовой коллектив это совокупный работник, предприятие и одновременно субъект экономических отношений, который осуществляет общую деятельность в государственных, коллективных, кооперативных, частных предприятиях, направленную на удовлетворение как личных, так и трудовой коллектив является сложной организационной и социально-экономической структурой, в которую входят работники цехов, бригад и других подразделений предприятия. Для координации, согласованности между ними создается соответствующая система управления.

Переход от командно-административной системы управления к экономическим методам на всех уровнях требует широкой демократизации всей системы хозяйственной деятельности, осуществления управления через интересы, всестороннюю активизацию работников членов трудового коллектива. Поэтому большое значение имеет внедрение на предприятии самоуправления.

Идея самоуправления трудовых коллективов связана с необходимостью демократизировать систему управления производственным процессом на предприятии. Пока трудовой коллектив не имеет достаточных полномочий собственника, он лишь выступает в роли хозяина, не будучи им реально. И он не станет им, пока не будут аннулированы все акты, которые закрепляют отчуждение работника от средств производства.

В реальной жизни трудового коллектива различные способы воздействия по-разному влияют на индивида. Этим обусловливается необходимость применения в процессе руководства трудовым коллективом одновременно различных методов воздействия. В практике нет четких границ между ними, например, пользуясь административно - распорядительными методами воздействия на коллектив или отдельных его членов, руководитель учитывает требования экономических законов, трудового и хозяйственного права и т.д.

Наибольшее воздействие на отношение человека и коллектива к труду оказывают экономические методы руководства.

Административно - распорядительные методы используются для решения тех же задач, которые решаются преимущественно экономическими методами, но в отличие от последних не дают исполнителю альтернативы в выборе средств исполнения решений. Они осуществляются в форме приказов, указаний, распоряжений в устном или письменном виде, издаваемых вышестоящим руководящим органом или руководителем по отношению к нижестоящему, исполнителю.

Социально-психологические методы руководства основаны на использовании руководителем приемов и способов воздействия на отдельных работников или коллектив в целом, вытекающих из знания им психологии человека вообще, специфических черт и особенностей психологии отдельных работников в частности. Задача руководителя состоит в том, чтобы использовать эти знания для создания в коллективе таких отношений, которые позволяют подчиненным любое его распоряжение воспринимать как обоснованное, справедливое и соответствующее общественным нормам.

Постановка проблемы о трансформации деятельности трудового коллектива не случайна. В процессе становления рыночных отношений происходят сложные, противоречивые изменения в трудовом коллективе как экономическом явлении. В деятельности трудового коллектива появляются новые функции, отвечающие природе рыночных отношений. Этому способствует развитие многоукладное™ экономике вследствие разгосударствления и приватизации собственности, развитие экономической самостоятельности регионов и предприятий. Происходят изменения в стимулировании, организационной структуре, управлении трудовых коллективов. Сами трудовые коллективы начинают воздействовать на трансформирование социально-экономической структуры. Преобразовывать хозяйственную деятельность в ходе экономических реформ.

Трудовые коллективы, встав на путь кардинальных изменений в социально-экономических отношениях призваны активизировать свою деятельность, формировать хозяйское отношение к результатам своей деятельности, к повышению эффективности производства.

Понятие "трудовой коллектив" обычно связано с характеристикой некоторого объединения людей. Перевод с латинского дает следующие значения слову "коллектив": собирательный, собранный вместе, собрание людей. Любое собрание людей можно охарактеризовать множеством признаков: количеством людей, временем существования, степенью формализованности межличностных отношений, уровнем контактов и пр. [с.260].

Необходимо особо отметить, что в результате идущих в России социально-экономических и общественно-политических преобразований изменились и прежние коллективы. Это нашло отражение и в теории, заметившей, что старые советские коллективы либо разрушены, либо пришли в состояние, которое за неимением лучшего термина обозначают как "постколлектив" (О. Хархордин): "связи, превращавшие малую контактную группу в коллектив, сильно ослаблены. Цель существования коллектива, которую прежде навязывали органы государственного управления, исчезла, и коллективообразующие механизмы переориентированы на совместное выживание группы как коллектива". [4, с.27].

Отсюда и новое представление о трудовом коллективе как средней социальной группе, объединяющей людей, занятых решением конкретных задач, основанной на общности целей, принципов сотрудничества, сочетании индивидуальных и групповых интересов. Таким образом, понятие коллектива в постсоветском обществе изменилось, прежде всего за счет его деидеологизации.

Трудовой коллектив является основной ячейкой общества, которая объединяет всех работников предприятия, учреждения, организации для достижения определенной конкретной цели их совместной трудовой деятельности.

Все трудовые коллективы имеют общие свойства:

наличие общей цели, единство интересов членов трудового коллектива;

организационная оформленность в рамках социального института;

общественно-политическая значимость деятельности;

отношения товарищеского сотрудничества и взаимопомощи;

социально-психологическая общность членов коллектива;

управляемость;

наличие четко обозначенной структуры взаимодействий и определенного круга обязанностей, прав и задач. [18, стр54]

Одним из удачных современных определений, на наш взгляд, является следующее: "коллектив - вид социальной группы, характеризующийся благоприятным психологическим климатом и целевой интеграцией деятельности" [5, с.112].

Весьма важными факторами в формировании и функционировании стабильного трудового коллектива являются технологические условия, определяющие характер труда - коллективный или индивидуальный; организацию и форму оплаты труда - индивидуальная или коллективная, повременная или сдельная; стиль и методы руководства в коллективе; наличие широкого круга межличностных связей или замкнутость коллектива. [7, стр85]

В обществе трудовые коллективы являются составными элементами экономической, социальной и политической системы. Они объединяют работников, занятых как в сфере материального, так и в сфере нематериального производства.

Трудовой коллектив - это социальная общность, в которой люди осуществляют взаимную поддержку друг другу при достижении общих целей и несут коллективную ответственность за их достижение. Количество людей в коллективе может быть различным (оно в значительной степени зависит от размеров самого предприятия), но наиболее оптимальное количество сотрудников, находящихся в одном помещении, - это 5-7 человек. [14. с.32],

Современные авторы выделяют ряд последовательных этапов развития через которые обычно постепенно происходит формирование трудового коллектива:

Притирка - на первый взгляд группа выглядит деловой и организованной, но фактическое отсутствие коллективной творческой работы.

Ближний бой и переворот - через некоторое время в группе образуются группировки, выражаются разногласия, выходят наружу сильные и слабые стороны членов группы, происходит борьба за лидерство, определение лидера, личных взаимоотношений, попытки достичь согласия и взаимопонимания.

Результативность, экспериментирование - потенциал группы возрастает, перед ней встает вопрос - на данном этапе пересматриваются методы работы, как использовать имеющиеся возможности наилучшим образом, принимаются меры по повышению производительности.

Эффективность. Реалистичный и творческий подход к решению рабочих вопросов. Плавные переходы управленческой функции от одного сотрудника к другому в зависимости от конкретной задачи, коллектив приобретает опыт в успешном решении проблем. Люди начинают гордиться своей принадлежностью к коллективу.

Мастерство. Прочность связей между членами коллектива. Превосходные результаты работы. Достойный пример для подражания. Поиск методов улучшения совместной работы.

Зрелость - в коллективе действуют прочные связи между его членами, людей оценивают по достоинствам, а не по внешнему образу. Отношения носят дружеский характер и приносят удовлетворение. Личные разногласия быстро устраняются. Коллектив вызывает восхищение у окружающих, и он способен показать превосходные результаты.

Старение. Отсутствие адекватных действий в изменившихся внешних условиях.

Смерть. Ее причинами могут быть: крупная реорганизация предприятия, или полная его ликвидация; самоликвидация по причине ухода или смерти лидера и т.п. [2, c25; 4, с116; 12, с 67; 15, с246].

Из теории управления известно, что целевое управляющее воздействие на коллектив выступает в двух разновидностях: "внешнее" управление и самоуправление. Вторая разновидность - самоорганизация - проявляется как процесс коллективного регулирования, определенной организационной самостоятельности, дающей возможность более полно использовать трудовой потенциал каждого работника [13, с.27].

А.И. Пригожин подчеркивает сложность, а порой и противоречивость соотношения этих факторов. Так, воздействие руководителя (субъекта управления) на коллектив (объект управления) называется прямой связью. В свою очередь коллектив исполнителей, реализуя команды руководителя, информируют его о ходе работ, факторах, способствующих (или препятствующих) этому и таким путем воздействуют на принятие руководителем последующих решений. [15, стр.54].

Это утверждение одновременно предполагает и то, что эффективный руководитель помогает членам коллектива в прохождении всех стадий развития, ведущих к зрелости. Руководитель коллектива должен уметь предсказать наступление очередного этапа развития и вести всю группу к новым достижениям.

Следует отметить, что специалисты по менеджменту разработали программу создания коллектива. В нее входят:

установление ясных целей, так как они объединяют людей;

нужно начинать с малого. Успех укрепляет доверие и создает условия для нового успеха;

прежде чем действовать, необходимо добиться согласия, без которого нельзя сформировать коллектив;

рекомендуется составить реальный график выполнения работ;

во время работы необходимо советоваться, так как благодаря этому укрепляется доверие;

полезным является поощрение открытости и честности;

нельзя подавать ложные надежды;

следует помнить, что неизвестное пугает больше, чем известное;

рекомендуется использовать делегирование подчиненным полномочий; Учиться можно и на ошибках, но регулярно нужно анализировать процесс формирования коллектива. [12, стр.25].

Следовательно можно предположить, что лидер коллектива должен быть в курсе потребности своей группы, иметь достаточно точную перспективу создания коллектива. Очень важна открытость, когда вслух говорят обо всем, что касается данного трудового коллектива.

Лидер коллектива должен знать индивидуальные способности каждого его члена и создавать возможности роста и развития сильных сторон. Умение формировать коллектив особенно важно в целях объединения большого числа людей и их эффективной работы на достижение общей цели в обстановке сотрудничества на благо предприятия. Оперативно принятые меры или мероприятия по вопросам социальной защищенности трудового коллектива, повышения уровня квалификации кадров, улучшения социально-культурных и жилищно-бытовых условий работников способствуют устойчивому состоянию кадров в коллективе. [15, стр.22].

Любые изменения во внешних условиях деятельности вызывают соответствующие изменения в организационной культуре и структуре предприятия. Управление трудовым коллективом должно обеспечить благоприятную среду, в которой реализовывались бы творческие возможности работников, развивались их способности. В итоге люди должны получать удовольствие от выполняемой работы и общественного признания своих достижений [21, стр.58].

Таким образом, можно с высокой степенью вероятности предположить, что социально-психологический климат зависит от многих факторов и, прежде всего, от стиля и методов руководства. Поэтому руководитель, владея основами социально-психологических знаний должен эффективно воздействовать на социально-психологические, а через них на организационные и экономические процессы, протекающие в трудовом коллективе.

Английские специалисты по управлению М. Вудкок и Д. Френсис выделили наиболее типичные ограничения, препятствующие эффективной работе трудовых коллективов, что ведет к повышению текучести кадров:

·        Непригодность руководителя. Руководство - это, видимо, самый важный фактор, определяющий качество работы коллектива. Организаторские способности имеются далеко не у каждого. Установлено, что такая одаренность встречается в несколько десятков раз реже, чем музыкальные или математические способности.

·        Неквалифицированные сотрудники. Эффективный трудовой коллектив должен представлять собой сбалансированное объединение людей, где каждый качественно исполняет свою роль и все решают общую задачу.

·        Ненормальный микроклимат. Коллектив составляют люди с разными ценностями и пристрастиями. Объединяют их не только общие цели, но и эмоции. Преданность трудовому коллективу - один из признаков нормального климата в коллективе. Высокая степень взаимной поддержки также естественное состояние эффективно работающего трудового коллектива. Недоверие, подозрительность друг к другу разъедают трудовой коллектив.

·        Нечеткость целей. Если нет ясного видения общей цели, то отдельные члены коллектива не смогут внести свой вклад в общее дело. Изучение экономических гигантов США и Японии показало, что их успех во многом обусловлен наличием делового кредо, то есть совокупности основных целей и задач. Эти цели конкретно формулируются для трудовых коллективов нижестоящих подразделений в виде принципов деятельности, правил или даже лозунгов, а затем постоянно и умело доводятся до сознания и чувств всех работающих.

·        Неудовлетворительные результаты работы. Бывает, что хороший микроклимат, высокая компетентность сотрудников не дают хороших результатов. Неудачи, как правило, оказывают демотивирующее воздействие на членов коллектива. Задача руководителя в таком случае - поддержать высокий моральный дух сотрудников, предложить соответствующие стимулы для активизации работы подчиненных.

·        Неэффективность методов подготовки и принятия решений.

·        Закрытость и конфронтация. Когда в коллективе нет свободы суждений, в нем возникает нездоровый климат. Члены коллектива должны иметь возможность высказывать свое мнение друг о друге, обсуждать все разногласия. В эффективно работающих коллективах не избегают деликатных и неприятных вопросов, а обсуждают их честно и прямо, не боясь столкновения взглядов и конфликтов.

·        "Неразвитые сотрудники". При прочих равных условиях наибольшими возможностями обладает коллектив с высоким уровнем индивидуальных способностей его членов. "Развитые сотрудники" энергичны, умеют совладать со своими эмоциями, готовы открыто обсуждать свою позицию, могут изменить свою точку зрения только под воздействием аргументов, хорошо излагают свое мнение.

·        Низкие творческие способности коллектива. Эффективный коллектив имеет способность генерировать творческие идеи и осуществлять их.

·        Неконструктивные отношения с другими коллективами. Оппозиция по отношению к другим подразделениям организации чаще всего снижает эффективность деятельности. Руководитель обязан налаживать связи, изыскивать возможности для совместного решения проблем, добиваться личного взаимопонимания и налаживания сотрудничества. Учет названных типичных сложностей в организации эффективной деятельности коллектива способен помочь руководителю в выполнении функциональных обязанностей.

Таким образом, определение коллектива (К.К. Платонов, Л.И. Уманский, А.В. Петровский) как группы лиц, объединенных общей работой, общими интересами, изменилось, за счет его деидеологизации. Отсюда и новое представление о трудовом коллективе (Пугачев В.П., Кибанов А.Я., Хархордин О., Никифоров М.А. Дмитриева В. М.) как средней социальной группе, объединяющей людей, занятых решением конкретных задач, основанной на общности целей, принципов сотрудничества, сочетании индивидуальных и групповых интересов [17, стр.26].

1.3 Понятие и характеристика текучести кадров и ее влияния на стабильность коллектива


Одним из показателем, который характеризует стабильности трудового

коллектива, является текучесть кадров.

Текучесть кадров - это движение рабочей силы, обусловленное неудовлетворенностью работника рабочим местом или неудовлетворенностью организации конкретным работником.

Текучесть может быть:

Внутриорганизационная - связанная с трудовыми перемещениями внутри организации;

Внешняя - между организациями, отраслями и сферами экономики.

Различают естественную и излишнюю текучесть кадров. Естественная текучесть (3-5% в год) способствует своевременному обновлению коллектива и не требует особых мер со стороны руководства и кадровой службы, а излишняя текучесть вызывает значительные экономические потери, а также создает организационные, кадровые, технологические, психологические трудности. Как понять, естественная или излишняя текучесть кадров на вашем предприятии?

Коэффициент текучести кадров - это отношение числа уволенных работников предприятия, выбывших за данный период по причинам текучести (по собственному желанию, за прогулы, за нарушение техники безопасности, самовольный уход и т.п. причинам, не вызванным производственной или общегосударственной потребностью) к среднесписочной численности за тот же период, который рассчитывается по формуле 1:

, (1) 

где Ктекуч. - коэффициент текучести,

Чув. с. ж. - число уволенных по собственному желанию, чел.,

Чув. нар. дисц. - число уволенных за нарушения трудовой дисциплины, чел.,

Чср. спис. - среднесписочная численность за период, чел.;

Другим показателем, характеризующим состояние трудового коллектива является коэффициент стабильности, который определяется как - отношение доли персонала со стажем работы на предприятии от 5 лет и более к общему числу сотрудников, который рассчитывается по формуле 2:

, (2)

где Кстабил - коэффициент стабильности;

Сспис. числ. - списочная численность персонала на начало периода, (чел).;

Чсо стаж. - число работников со стажем от 5 лет и выше, (чел.)

[Формулы текучесть] Шипунов В.Г., Кишкель Е.Н., Основы управленческой деятельности: управление персоналом, управленческая психология, управление на предприятии. - 2-е изд, - М.: Высшая школа, 2000

Для определения величины экономического ущерба от текучести кадров рекомендуется использовать следующие методы.

Потери, вызванные перерывами в работе, определяются как произведение трех показателей: среднедневной выработки, приходящейся на одного работника, средней продолжительности перерывов в работе, вызванных текучестью, и числа работников, выбывших по причине текучести:

пр = В* Т *Чт, (3)

где Nпр - потери, вызванные перерывами в работе;

В - среднедневная выработка на одного человека;

Т - средняя продолжительность перерыва, вызванного текучестью;

Чт - число выбывших по причине текучести.

Потери, обусловленные необходимостью обучения и переобучения новых работников, исчисляются как произведение затрат на обучение, доли текучести в общем числе выбывших, деленное на коэффициент изменения численности работников в отчетном году по сравнению с базовым:

По = Зо*Ди*Ки, (4)

По - потери, вызванные необходимостью обучения и переобучения сотрудников;

где Зо - затраты на обучение и переобучение;

Ди - доля излишнего оборота, текучести;

Ки - коэффициент изменения численности работников в отчетном периоде. Потери, вызванные снижением производительности труда у рабочих перед увольнением, т.е. стоимость недополученной продукции, определяются как произведение коэффициента снижения производительности труда, ее среднедневного уровня, числа дней перед увольнением работников, выбывших по причине текучести:

Срв * Ксп * Чу, (5)

где Срв - средняя выработка;

Ксп - коэффициент снижения производительности труда перед увольнением;

Чу - число дней перед увольнением, когда наблюдается падение производительности труда.

Потери, вызванные недостаточным уровнем производительности труда вновь принятых рабочих Nпр, определяются как произведение числа работников, выбывших по причине текучести, суммы произведений показателей среднедневной выработки рабочего в каждом месяце периода адаптации, помесячных коэффициентов снижения производительности труда и числа дней в соответствующем месяце:

Срва * Км * Чм, (6)

где Срва - среднедневная выработка рабочего в каждом месяце периода адаптации; Км - помесячный коэффициент снижения производительности труда за период адаптации; Чм - число дней в соответствующем месяце.

Затраты по проведению набора персонала в результате текучести Зорг определяется как произведение затрат на набор и доли текучести в общем числе уволившихся, деленное на коэффициент изменения численности работников:

(Зн * Дт) Кизм, (7)

где Зн - затраты на набор;

Кизм. - коэффициент изменения численности работников, равный отношению численности на конец периода к численности на начало периода;

Дт - доля текучести.

Потери от брака у вновь поступивших работников определяются как произведение общей величины потерь от брака, доли потерь от брака у лиц, проработавших до одного года, доли текучести в составе уволившихся, деленное на коэффициент изменения численности работающих:

(Пбн * Об * Дбр) Кизм, (8)

где Пбн - потери от брака у новичков;

Об - общие потери от брака;

Дбр - доля потерь от брака у лиц, проработавших менее одного года;

Кизм - коэффициент изменения численности работников, равный отношению численности на конец периода к численности на начало периода;

Общая величина потерь, экономического ущерба, вызванного текучестью персонала равна сумме всех частных потерь, которые влияют на стабильность трудового коллектива.

Обратим внимание на то, что говорят о текучести зарубежные специалисты. Кристина Кайер Бек, исполнительный директор корпорации "Реста" говорит "… полное отсутствие текучести - это утопия. Мы живем в постоянно меняющейся среде, адекватно реагировать и делать выбор необходимо постоянно".

Конечно, нулевая текучесть кадров - явление маловероятное, поскольку люди меняют место жительства, выходят на пенсию и т.д. Мы же говорим о ситуации, когда сотрудники настолько привязываются к компании, в которой работают, что абсолютно перестают стремиться к карьерному росту, к смене работодателя. Скажем проще - прекращают естественный поиск "лучшей жизни".

"Я думаю, что низкая текучесть кадров имеет двоякую природу. С одной стороны, людей удерживают подходящие условия работы - финансовые, социальные, наполненность интересным содержанием. А с другой стороны - то, что называется корпоративной культурой. Если людей объединяют общие ценности, то их взаимное притяжение очень сильно. При наличии развитой корпоративной культуры условия работы могут даже на некоторое время отойти на задний план", - говорит Маргарита Короткова, директор департамента по управлению персоналом компании "Квазар-Микро".

По мнению экспертов, независимо от причин, компании с минимальной текучестью кадров обречены на провал. Да и сотрудники, долго прожившие в таких тепличных условиях, становятся неконкурентоспособными [журнал Кадровое дело….]

Стабильное функционирование трудового коллектива, по словам Охотского Е.В., его надежность во многом зависят от оперативности: отклика на возникающие нарушения ("сбои") в системе управления. К таким сбоям или нарушениям относят: пониженную степень удовлетворенности работой в коллективе, характер мотивов ухода места работы. [15, с.27]

Остановимся, прежде всего, на том, что не менее серьезным может оказаться воздействие на коллектив и увольнение по собственному желанию. В случае добровольного ухода демотивация персонала может стать ответом не только на конфликтное расставание, но и на причины этого поступка. Если уход связан с навязчивым поиском работы, вызванным, в свою очередь, глубинными проблемами в организации, то это может иметь крайне неприятные последствия. Ведь те сотрудники, которые остаются, видят пример решения накопившихся проблем их коллегами. И он может оказаться заразительным - сотрудники будут судорожно искать новое место работы. Таким образом, не будет лишним напомнить о том, что коллектив требует постоянного внимания со стороны руководства. Зарождающиеся проблемы необходимо решать незамедлительно, пока они не привели к необратимым последствиям. [14, с.127]

Далее обратимся к Старобинскому Э.Е. [30, с.39] который утверждает, что мотивами ухода с места-работы являются следующие факторы: неблагоприятные условия труда, низкая заработная плата, отсутствие карьерного роста и социальных гарантий, неблагоприятный социально-психологический климат в коллективе и другие. Сам же мотив представляет собой внутреннею потребность, которую хочет удовлетворить работник - благо, способное удовлетворить эту потребность.

Даже если количественно этот фактор соответствует планам руководства, то уход из организации каждого конкретного работника может оказаться если не фатальным, то, по крайней мере, опасным. Опасным является уход профессионала с высокого поста к прямому конкуренту. Поэтому крупные компании предлагают особо ценным сотрудникам "золотой пакет" - денежную компенсацию за то, что они в течение оговоренного времени не будут работать на конкурента. Опасно, если уходит лидер (формальный и неформальный в одном лице), а на его место приходит руководитель с другим стилем работы. В этом случае коллективу понадобится время и значительные усилия для того, чтобы сработаться с новым начальником.

Однако помимо прямых угроз для бизнеса текучесть кадров таит в себе и скрытые опасности. Основная из них - это демотивирующее воздействие ухода одного из сотрудников на остающихся работников. Увольнение может иметь опасные последствия для компании, особенно если подходить к самому процессу неправильно. В случае увольнения сотрудника по инициативе работодателя они иногда выражаются в несоблюдении стандартов деловой этики. Если руководитель срывается, проявляет нетерпимость, применяет жесткие меры - это может сказаться губительно на внутренней атмосфере в компании, так как ее персонал является непосредственным проводником информации о ней. Расставаясь, обе стороны должны достичь взаимопонимания и обоюдного согласия, во-первых, ради взаимоуважения, а во-вторых, во имя сохранения отношений. Трудно предугадать, как сложится дальнейшая профессиональная судьба покидающего компанию сотрудника - быть может, он окажется вашим клиентом или партнером.

Не менее сложным для внутреннего климата может оказаться и беспричинное, по мнению сотрудников, увольнение или увольнение при затяжном конфликте. В первом случае вокруг неясных мотивов будут рождаться слухи, а во втором - сформировавшиеся вокруг конфликтующих сторон группировки поляризуют на некоторое время коллектив. В таком случае руководству необходимо демонстрировать честность и открытость, а также готовность объяснять причины тех или иных решений и чутко прислушиваться к возникающим опасениям.

Однако следует иметь в виду, что такая открытость не всегда применима. Объяснить причины увольнения остальным - значит, разгласить личные мотивы, скрытые от посторонних глаз. Поэтому в каждом подобном случае руководитель должен взвесить все "за" и "против" подобного решения.

В том случае, когда сотрудника увольняют за низкое качество работы, проблему открытости наиболее эффективно помогает решить прозрачная система аттестации. Если в ее разработку будут вовлечены все члены коллектива, то им будет ясен принцип оценки результатов деятельности их коллег. Поэтому увольнение работника даже без публичного объявления причин вряд ли станет неожиданным или экстраординарным событием для остальных сотрудников. Конечно, они не будут информированы руководством о результатах аттестации своего коллеги, но узнают о них по косвенным признакам. Если оценка эффективности труда введена в форме определения зоны развития, а не поводов для увольнения, то сотрудники будут стремиться к росту, а не бояться ошибок. В свою очередь, система критериев оценки и постоянного мониторинга эффективности работы сотрудника "выталкивает" из штата тех, кто не хочет работать с полной отдачей. В таком случае желание расстаться не будет новостью и для увольняемого - если он постоянно получает обратную связь по своей деятельности, то будет подготовлен и к предложению сменить место работы.

Таким образом, можно с высокой степенью вероятности предположить, что текучесть персонала на пустом месте не возникает, грамотному руководителю она всегда говорит о том, что что-то у него в "бизнес - королевстве" неладно.

Основные и главные причины ухода персонала следующие:

·        неконкурентоспособные ставки оплаты;

·        несправедливая структура оплаты;

·        нестабильные заработки;

·        продолжительные или неудобные часы работы;

·        плохие условия труда;

·        деспотичное или неприятное руководство;

·        проблемы с проездом до места работы;

·        отсутствие возможности для продвижения, обучения или повышения квалификации, развития опыта, карьерного роста;

·        работа, в которой нет особой нужды;

·        опасение, что организация прекратит свое существование

·        неэффективная процедура отбора и оценки кандидатов;

·        неадекватные меры по введению в должность (отсутствие контроля за адаптацией);

·        изменяющийся имидж организации;

·        желание открыть свое дело

·        работа с персоналом по принципу "соковыжималки" (жесткая структура);

·        прецеденты резких увольнений и резких наборов персонала в организацию (отсюда нестабильность компании).

Еще необходимо учитывать такие факторы, которые факультативно способствуют уходу персонала:

-       возраст сотрудника (наиболее рискованный возраст перехода на другую работу до 25 лет);

-       квалификация сотрудника (работники низшей квалификации чаще меняют работу);

-       место жительства сотрудника (чем дальше сотрудник живет от работы, тем больше риск его ухода);

стаж работы на предприятии (после трех лет стажа происходит резкое снижение текучести, что объясняется фактором возраста, так и проблемами адаптации).

Следствием же текучести кадров будет:

-       новая адаптация работников (привыкание новичка к характеру и условиям труда на рабочем месте, социальному окружению в коллективе);

-       повышенный травматизм, как следствие низкого уровня знаний по технике безопасности;

-       низкий профессиональный уровень, за счет привлечения неквалифицированного персонала и ухода с места работы профессиональных работников;

-       не уверенность в будущем, связанная с планированием и прогнозированием кадров.

-       приносит экономические убытки предприятию [44, с.585].

Таким образом, можно с высокой степенью вероятности предположить, что создание стабильного трудового коллектива является основой устранения текучести кадров и приводит:

-       к устранению травматизма, за счет изучения и применения знаний по технике безопасности;

-       к повышенному профессиональному уровню работников, за счет владения знаниями и навыками работы;

-       к созданию благоприятного социально - психологического климата в коллективе за счет межличностных отношений;

-       к уверенности в будущем [44, с.582].

Излишняя текучесть персонала, по данным западных психологических исследований, отрицательно сказывается на моральном состоянии оставшихся работников, на их трудовой мотивации и преданности организации. С уходом сотрудников разваливаются сложившиеся связи в трудовом коллективе, и текучесть может приобрести лавинообразный характер. В последние годы на российских предприятиях часто наблюдаются случаи "ухода отделами", когда сложившиеся рабочие коллективы, в силу одинаковой мотивации и сложившихся контактов, предпочитают переходить в другую организацию целиком.

Несмотря на остроту этой проблемы во многих организациях, "программы сохранения персонала" пока являются редкостью [6, с.57].

По мнению Скавитина А.В. текучесть персонала необходимо рассматривать в разрезе с системой мотивации и стимулирования работников, направленными на удовлетворённость человека своим трудом. Система мотивации - это внутренние побуждения человека, направленные на достижение своих целей и интересов. Стимулирование наоборот, внешнее воздействие на работника с помощью системы поощрений, набора благ, способные удовлетворить потребности работника [7, с.43].

Т. Питтерс и Р. Уотермен утверждают: человек, концентрируется на удовлетворении потребностей: ищет стабильную и регулярную работу, оценивает условия труда и возможности социальных гарантий. Поведение работника (увольнение, отверженность) связано с неожиданными изменениями, случайными событиями, которые нарушают его представление о перспективной работе [12, с.84].

Таким образом, создание стабильного трудового коллектива является основой устранения текучести кадров, удовлетворенностью работой, положительной мотивацией к труду и благоприятному социально - психологическому климату в коллективе.

Обратим внимание на подход Английских специалистов по управлению М. Вудкок и Д. Френсис, которые выделили наиболее типичные ограничения, препятствующие эффективной работе трудовых коллективов. В нашем практическом исследовании мы сделаем акцент на данный подход в главе 2.

2. Анализ коллектива ОАО "Свердловский завод гипсовых изделий"


2.1 Общая характеристика ОАО "Свердловский завод гипсовых изделий" и направления инновационной деятельности


Юридическая форма предприятия:

Открытое акционерное общество "Свердловский завод гипсовых изделий" в эксплуатацию был введен в 1957 году. Общество зарегистрировано 18 декабря 1957г.

Юридический и почтовый адрес:

, г. Екатеринбург, ул. Маневровая, 47

Телефон: +7 343 336-6010

Факс: +7 343 336-6053

E-mail: zavodgips@ural.ru

Реквизиты:

Основной регистрационный номер: 1026605625903.

Новая редакция устава зарегистрирована 10.06.2003г. за государственным регистрационным номером 2036604804443.

Изменения и дополнения в устав зарегистрированы 01.09.2003г. за государственным регистрационным номером 2036604811330.

ИНН 6673094853.

Р/с 40702-810-4-0500-0000122 в Екатеринбургском филиале УралТрансБанка (620090. г. Екатеринбург, ул. Техническая, 32-а).

Организационная структура ОАО "Свердловский завод гипсовых изделий" приведена в Приложении 1.

ОАО "Свердловский завод гипсовых изделий" ведет свою историю с 1957 года, является базовым предприятием группы компаний "ГИФАС", находится в г. Екатеринбурге, по адресу ул. Маневровая, 47, в промышленно-производственной зоне, недалеко от въезда в город со стороны Серовского тракта. Площадь всего завода составляет 12,36 га. Численность работающих - 360 человек. Средняя заработная плата по предприятию составляет 10000 рублей.

Проработав полвека, завод удовлетворяет потребность строителей нашей области в строительных материалах на основе гипсовых вяжущих.

На предприятии имеются собственные железнодорожные подъездные пути и котельная, отпускающая теплоэнергию сторонним потребителям.

С октября 1994 года завод вошел в холдинговую компанию "Атомпромкомплекс". Предприятию была определена главная задача - создание комбината строительных материалов для малоэтажного строительства. В связи с этим, специалистами завода была разработана программа действий по восстановлению производственных линий и улучшению качества производимой продукции.

Были проведены следующие работы: капитальный ремонт производственных и служебных помещений, отремонтировано основное технологическое оборудование, расширен парк автотранспорта и погрузо-разгрузочной техники, введен в действие законсервированный участок листов гипсокартонных.

До 1994 года гипс строительный отпускали потребителю только россыпью в специальных вагонах. В 1995 году смонтирована и введена в эксплуатацию фасовочная машина для гипсовых вяжущих. Сегодня, этот необходимый в строительстве материал, можно приобрести в магазинах города и завода в различной таре и различного веса.

В 1996 году восстановлен и пущен в эксплуатацию цех отделочных материалов. В 2000 г. была смонтирована и запущена в эксплуатацию голландская линия по выпуску тротуарной плитки производительностью 140 тыс. м2/год.

В 1998 году, на территории завода было восстановлено ранее пустующее здание, где смонтировали оборудование для производства лакокрасочных материалов на основе сырьевых комплектующих фирмы BASF (Германия).

Для реализации продукции создано предприятие ООО "Екатеринбург-Гипс", которое в настоящее время занимается реализацией продукции завода через свой магазин и представительства.

Специалистами завода выработана программа по внедрению новых производств. По этим направлениям разработаны бизнес-планы, на основании которых прорабатываются варианты приобретения оборудования для производства сухих смесей (производительность 30 тыс. тонн/год); разрабатывается инвестиционный проект по улучшению производства листов гипсокартонных, что позволит выпускать продукцию по своим характеристикам соответствующую строгим мировым стандартам (DIN 18180).

Показателем работы завода является награждение отличительным призом "Золотая Пальма", присужденным ассоциацией "MODE SANS FRONTIERE" (Франция), в программе "Малые предприятия. Партнерство ради прогресса".

По итогам работы завода в 1996г. Комиссия общественно-государственного фонда "Российский центр приватизации" назвала ОАО "Свердловский завод гипсовых изделий" в числе победителей проекта "Программа улучшения маркетинга" с участием специалистов "M. T. I.".

В 1997 году завод вошел в двадцатку лучших предприятий области в номинации производителей "Время жить в России", организованной союзом промышленников, предпринимателей и Ассоциации Малого бизнеса Свердловской области; получил Диплом "Лидер в бизнесе" в номинации "Товаропроизводители".

В последующие годы были получены следующие награды: Грант по программе PSO правительства Нидерландов - по установке на территории завода голландской линии; по производству тротуарной плитки, удостоверение с серебряной медалью - за успешное освоение новых видов строительных и отделочных материалов (Уральские выставки); диплом за цивилизованное продвижение товаров и услуг на рынке Уральского региона (Уральские выставки); удостоверение с золотой медалью - за успешное освоение новых видов строительных и отделочных материалов (Уральские выставки); диплом за активное продвижение на рынок Свердловской области новых технологий, деталей, материалов и предметов домоустройства (Уральские выставки); удостоверение с серебряной медалью за участие в выставке "Загородный дом" - за расширение номенклатуры товаров жилищного строительства (Уральские выставки), удостоверение с серебряной медалью за производство широкой номенклатуры высококачественных строительных материалов участника выставки "Строительство" (Уральские выставки), диплом за комплексную программу выпуска строительных и отделочных материалов (выставка в г. Магнитогорске), удостоверение с серебряной медалью за освоение прогрессивных технологий вибропрессования и обработки, и производство широкого спектра строительных материалов, за участие на выставке "Строительный комплекс Большого Урала", приз "Предприятие 2000" с вручением номерного подтверждающего сертификата Международной Ассоциации ADM, поощрительным дипломом лауреата конкурса специализированной выставки "Строительство и ремонт" - за творческий поиск и новизну решений (Уральские выставки), удостоверением серебряной медалью за производство широкой номенклатуры высококачественных строительных материалов, пользующихся большим спросом на Уральском рынке, дипломом за верность журналу "Строительный комплекс Среднего Урала.

Исторической особенностью предприятия является то, что почти за 50 лет своего существования он пережил различные перемены в жизни страны, которые не могли не влиять на производственную деятельность предприятия. Вплоть до 1994 года завод принадлежал государству и работал на заказ, в перестройку завод пришел в упадок, как и вся экономика страны. В 1994 году завод был приватизирован и новому руководству пришлось столкнуться с огромными проблемами по восстановлению завода. Самой важной проблемой на тот период было вывести завод из кризиса. Постепенно руководство справилось с этой проблемой и на данный момент речь идет уже не о борьбе за существование, а о развитии и процветании.

Огромный вклад в развитие завода внес генеральный директор завода, он не только сделал завод конкурентоспособным на Уральском рынке, но и наладил связи с зарубежными потребителями. Также, благодаря ему в 2000 году было освоено новое производство - линия MASON по производству тротуарной плитки. На сегодняшний момент 90% тротуарной плитки положенной в городе Екатеринбурге в том числе в центре на улице Вайнера является продукцией нашего завода.

В 2004 году в Германии были закуплены новые формы для производства тротуарной плитки, что позволяет разнообразить ассортимент, а также сделать улицы нашего города еще красивее.

Численность работающих на заводе составляет 360 человек, из них 252 человек - работники производственных цехов, 108 (30%) человек - работников управления и инженерно-технический персонал. Около 40% работников трудятся на заводе более 10 лет. Средний возраст работающих - 38 лет, из них молодых специалистов в среднем возрасте 24 года. Женщин - 31 % от общей численности, 24 % из них занимают инженерно-технические должности. Соответственно - мужчин 69%, из них 20% работают на инженерно-технических должностях.

Сегодня здесь производят:

Завод ведет переработку природного экологически чистого сырья - гипсовый камень, и включает в себя три основных производства:

производство листов гипсокартонных (ГКЛ - Б - УК 2500´1200´12,5; ГКЛ-Б-УК 2500´1200´9,5), листов гипсокартонных влагостойких (ГКЛВ-Б-УК 2500´1200´12,5; ГКЛВ-Б-УК 2500´1200´9,5) под торговой маркой "GIFAS".

производство плит пазогребневых гипсовых пустотелых обыкновенных и полнотелых влагостойких (паз-гребень) торговой марки "GIFAS";

производство сухих строительных смесей (шпатлевки, штукатурки, клеевые смеси) под собственной торговой маркой "GIFAS".

А так же ведет производство бетонных изделий "GIFAS" - элементы благоустройства - тротуарная плитка, бордюрный камень, плитка для трамвайных путей; стеновые камни - шлакоблок и вентблок, пустотелые плиты перекрытия.

Основными рынками сбыта продукции ОАО "СЗГИ" помимо Среднего Урала являются регионы Западной Сибири, такие как Кемерово, Новосибирск, ХМАО, Тюменская область, Красноярск, Алтай, Казахстан, Башкирия, Татарстан.

ОАО "СЗГИ" является базовым предприятием группы компаний "ГИФАС", которая работает под лозунгом "Все для малоэтажного строительства и ремонта". В связи с этим продукция "СЗГИ" пользуется высоким спросом, что в свою очередь влечет за собой интенсивность работы предприятия.

На сегодняшний день работникам нашего завода приходится работать в усиленном режиме, так как из г. Тюмени был получен заказ, на тротуарную плитку, превышающий прошлогодний заказ для улицы Вайнера - в шесть раз. Цех бетонных изделий по производству тротуарной плитки работает в три смены, чтобы удовлетворить потребности покупателей.

В 2007 году завод отметил свой 50 летний юбилей.

В таком напряженном рабочем темпе огромное значение имеет настрой, работоспособность, желание сотрудничать у всех работников завода.

Поэтому, очень важно, чтобы эффективной работе не мешали конфликты, неудовлетворенность работой, уровень сплоченности и другие факторы, влияющие на социально-психологический климат в трудовой коллективе.

Для того чтобы устранить все существующие недостатки, необходимо провести подробное исследование и выявить основные причины, влияющие на социально-психологический климат в коллективе и соответственно мешающие более эффективной работе сотрудников завода.

2.2 Анализ кадровой работы


Отдел кадров, занимающийся вопросами управления персоналом, состоит из двух человек - начальника и инспектора отдела кадров. Обе женского пола, возраст 25 года. Начальник отдела кадров работает на данном предприятии относительно недавно - три года, инспектор - 1,4 месяца.

Кадровая политика на данном предприятии направлена не только на учет кадров, а так изучаются вопросы текучести кадров, мотивации, социально-психологическому климату и формированию стабильного трудового коллектива.

Все это привело к умеренному уровню текучести кадров и удовлетворенности трудом работников промышленного предприятия. Новые работники отдела кадров, получили высшее образование именно по данной профессии, благодаря чему в работе, виден более современный подход к управлению персоналом. Основными функциями данного отдела являются:

комплектование штата;

кадровое делопроизводство;

сотрудничество с органами государственной власти;

создание положений по улучшению условий работы персонала;

организаторские функции.

Выявление и отслеживание причин текучести кадров

На основании анализа кадровой документации (приказы о принятии на работу; приказы об увольнении персонала), мы можем рассчитать коэффициент текучести кадров и определить текучесть кадров в ОАО "Свердловский завод гипсовых изделий" за три года: (формула 1)

Таблица 1


Уволенные сотрудники (человек)

Среднесписочная численность

2006

32

320

10,0 %

2007

30

330

9,0%

2008

24

340

7,0%


6 г. Кт=32/320*100

7 г. Кт. =30/330*100

8 г. Кт = 24/340*100

Мы видим излишнюю текучесть кадров по заводу за период с 2006 по 2008 годы. Среднегодовой коэффициент текучести за три года равен 8,7%

Что бы при необходимости своевременно предпринять корректирующие меры нам нужно определить коэффициент стабильности кадров (формула 2).

Таблица 2


Всего со стажем свыше 5 лет

Среднесписочная численность

Коэффициент стабильности (%)





2006

160

320

50%

2007

170

330

52%

2008

170

340

50%


г. К ст. = 160/320*100

г. К ст. = 170/330*100

г. К ст. = 170/340*100

Среднегодовой коэффициент стабильности так же достаточно высокий и выражен в 50%.

Наша оценка текучести и стабильности кадров показала не значительно излишнюю текучесть кадров и высокую стабильность, что говорит о положительной кадровой работе и достаточно высоком уровне корпоративной культуры "СЗГИ".

Для определения рейтинга причин увольнений работников "СЗГИ" мы должны провести дальнейшие исследования в производственных цехах, отделе маркетинга и инженерно-технических работников, которые были нам более удобны для исследования.

Для более глубокого анализа излишнюю текучесть кадров по ОАО "Свердловский завод гипсовых изделий" за три года необходимо структурировать:

Таблица 3


Всего уволенных

Производственные цеха

Отдел маркетинга

ИТР



соб. жел.

дисц. взыск.

соб. жел.

дисц. взыск.

соб. жел.

дисц. взыск.

2006

32

10%

20

65,0%

2

5

16,0%

0

5

19,0%

0

2007

30

9%

21

73,0%

2

3

12,0%

0

4

14,0%

0

2008

24

7%

16

67,0%

2

3

15,0%

0

3

18,0%

0

-

86

-

57

69,0%

6

11

14,0%

0

12

17,0%

0


Всего уволено 86 человек из них по собственному желанию 80 человек, что составляет 93% от общего числа уволенных, а 7% - по дисциплинарным взысканиям.

Определение структуры нам дало показатели того, что излишняя текучесть выше в производственных цехах (средний процент текучести 69,0%), чем в отделе маркетинга (14,0 %%) и ИТР (17,0 %) [таб.2].

Для более полного определения ситуации текучести кадров мы определим структуру текучести кадров с учетом возрастных показателей

Таблица 4


Всего уволенных

20-30

30-40

40-50



собственное желание

дисц. взыск

собствен. желание

дисц. взыск.

Собств. желание

дисц. взыск.



%


%



%



%


2006

32

10

19

59,3

2

10

31,2

0

1

3,0

0

2007

30

9

16

53,3

2

11

36,7

0

1

3,0

0

2008

24

7

11

45,8

2

10

41,6

0

1

4,0

0

Итого:

-

-

-

53,0

-

-

37

0

-

10

0


Оценивая структуру текучести кадров с дифференциацией возрастных показателей, можем сказать, что основная текучесть кадров относится к возрастному показателю с 20-ти до 30-ти лет составляет 53% [таб.3]. Что говорит о том, что молодых людей в этом возрасте работа на промышленном предприятии не устраивает. По причине того, работа не считается не самой престижной, и что молодые люди, работая на производстве и параллельно обучаются в Вузах, и этот факт уже предполагает, что работник долго не задержится и является потенциальным кандидатом в уволенные по собственному желанию, так же их стремление к самовыражению и высоким заработкам.

Для более полного представления о текучести кадров на промышленном предприятии нам необходимо провести так же дифференцированный учет структуры текучести кадров и с учетом гендерных показателей.

Таблица 5


Всего Уволенных

20-30

30-40

40-50



Собствен желание

дисц. взыск

Собствен желание

дисц. взыск.

Собств желан.

дисц. взыск.



ж

м

ж

м

ж

м

ж

м

ж

м



%











2006

32

10

13

3

3

2

4

2

2

2

1


2007

30

9

10

3

3

2

5

2

2

2


1

2008

34

7

14

3

3

2

5

2

2

2

1



96


37

9

9

6

14

6

6

6

2

1

Итого женщин мужчин

 68 - 70,8% 28 - 29,2%


Данная оценка нам показала, что большая доля текучести кадров принадлежит женщинам - 68 человек (70,8%) в сравнении с 28 мужчинами (29,2%).

По данным наших расчетов можно сделать следующий вывод:

В результате анализа кадровой работы мы определили:

Средний коэффициент кадровой текучести по заводу составил 8,7%;

Среднегодовой коэффициент стабильности 50%;

Структура текучести по подразделениям: цеха - 69%; ОМ-14; ИТР-17%;

Структура по возрастным показателям - (20-30лет 53%; 30-40лет 37%; 40-50 лет 10%);

Структура по гендерному признаку - (женщин - 70,8 %, мужчин - 29,2 %).

Данные показатели, говорят о том, что на промышленном предприятии "СЗГИ" незначительная излишняя текучесть кадров. Достаточно высокий средний коэффициент стабильности, структура текучести кадров показала, что основная доля увольняющихся приходится на молодых специалистов, работающих в производственных цехах и по гендерному признаку это женщины, что можно считать естественным в связи достаточно тяжелыми условиями труда и семейными обстоятельствами (замужество, роды, воспитание детей, хозяйство).

Результат кадровой работы ОАО "СЗГИ" признан в основном положительным, но требуются определить рейтинг причин увольнения и провести исследование, помогающее снизить излишнюю текучесть кадров, сформировать стабильный трудовой коллектив и повысить мотивацию к труду на нашем промышленном предприятии, которое мы проведем далее.

2.3 Анализ результатов хозяйственной деятельности на предприятии


Результаты хозяйственной деятельности непосредственно влияют на финансовый результат работы организации. Основным оценочным показателем финансовой деятельности любого предприятия является прибыль. В соответствии с международными стандартами различают прибыль (убыток) от обычной деятельности и результат от чрезвычайных ситуаций. Прибыль от обычной деятельности формируется как разность между доходами от обычных видов деятельности и расходами, связанными с их осуществлением. Доходами от обычных видов деятельности является выручка от продажи продукции и товаров, а также поступления, связанные с выполнением работ и оказанием услуг. К прочим доходам относятся операционные и внереализационные. К расходам по обычным видам деятельности относятся расходы, связанные с изготовлением и продажей продукции, приобретением и продажей товаров, выполнением работ и оказанием услуг (себестоимость, коммерческие и управленческие расходы). В состав прочих расходов включаются операционные и внереализационные расходы. Помимо обычной в процессе деятельности коммерческой организации могут возникнуть чрезвычайные ситуации, влекущие за собой как доходы, так и расходы.

Положительно оценивается ситуация, при которой основная доля прироста выручки от реализации достигнута за счет увеличения материалоотдачи или снижения материалоемкости. Характеризуя трудовые ресурсы, очень важно выяснить их состав разрезе категорий работающих. Важнейшим показателем, характеризующим структуру трудовых ресурсов в организациях торговли, является удельный вес работников в среднесписочной численности работающих, поскольку именно работники, обслуживая процесс, непосредственно воздействуют на психологию покупателя и обеспечивают рост выручки от продажи.

Основным показателем, характеризующим структуру рабочей силы на предприятиях, является удельный вес работников производства в среднесписочной численности работающих; на предприятиях сферы материального производства - удельный вес работников основного производства в среднесписочной численности работающих. Рост указанных показателей в сравнении с планом и в динамике характеризует улучшение структуры рабочей силы в специфических условиях российской экономики, при низком уровне механизации и автоматизации торгово-технологических и производственных процессов.

Изучение соотношения между темпами роста производительности труда и темпами роста средств, направленных на потребление в расчете на одного работающего, позволяет правильно оценить наличие и достаточность материального стимулирования труда. Если средства на потребление растут быстрее, чем производительность труда, это означает выплату работникам "незаработанных" ими денег и ведет и дальнейшему углублению инфляционных процессов.

3. Мероприятия по "Формированию стабильного трудового коллектива"


3.1 План основных мероприятий


Чтобы устранить слабые звенья в системе мотивации и повысить степень удовлетворенности сотрудников не обязательно повышать уровень зарплаты, менять политику в отношении карьерного роста - можно сконцентрироваться в направлении признания результатов труда.

         Варьирование зарплатой. Зарплата любого работника может быть разбита на три компоненты.

Первая часть выплачивается за выполнение должностных обязанностей, и все, кто занимается в организации аналогичными обязанностями, получают за это одинаковое вознаграждение.

Вторая определяется выслугой лет и факторами стоимости жизни. Все сотрудники фирмы получают эту компоненту, но ее величина автоматически ежегодно регулируется.

Третья варьируется для каждого работника, ее величина определяется достигнутыми им результатами в предшествующий период. В итоге увеличение оклада может происходить только в связи с изменением масштабов ответственности, выслугой лет и ростом стоимости жизни. Смысл системы состоит, прежде всего, в увязывании зарплаты работника с результатами в текущий период. Таким образом, рост производительности влечет за собой большие изменения в оплате. Это решение в основном направлено на работников 2й категории, хотя будет "работать" и для 1й.

         Неформальная жизнь коллектива. В ходе исследования получен список мероприятий, в которых хотели бы поучаствовать работники. А так как большинство желающих - молодежь - резерв фирмы - проведение мероприятий имеет стратегическое значение.

Источник "слабых звеньев" мотивационного процесса - недостаток и недоступность информации, негативно сказывающиеся на работе всей организации. Рекомендации: организовать внутрикорпоративный сайт (помимо основного сайта "СЗГИ"), где бы публиковались новости фирмы, планы на будущее и т.д. Также должна присутствовать опция "Задать вопрос". За неделю вопросы обрабатываются по группам и на новой неделе публикуются ответы или (если возникнет необходимость) проводится "оперативка" по данной теме. В информировании сотрудников нужно соблюдать умеренность - защищать от ненужных проблем. Например, если в организации назревают перемены в руководящем звене управления, нет никакой необходимости, чтобы работник услышал об этом прежде, чем это произойдет. Создание сайта - ход конем. С одной стороны, это повысит уровень осведомленности сотрудников о делах организации, перспективах роста, развития и т.д., что положительно скажется на процессе формирования стабильного трудового коллектива и мотивации к труду на промышленном предприятии. С другой стороны, установит обратную связь руководители - работники. Это решение снизит периодичность проведения исследований на тему удовлетворенности персонала работой, сэкономит время и усилия.

По окончании анализа выявлено несколько зон, требующих дальнейшего наблюдения и изучения:

Микромотивационная система в каждом подразделении (особенно обратить внимание на факторы, мешающие самореализации сотрудников)

Причины увольнения и текучесть кадров каждого подразделения

Анализ конфликтов, возникающих в организации и в каждом подразделении

Ошибочно полагать, что если некая организация прекрасно "работает" на бумаге, то она также хорошо будет "работать" и в жизни. Чтобы результативно двигаться навстречу цели, необходимо сформировать стабильный трудовой коллектив, а значит снизить текучесть кадров, координировать работу и заставлять работников выполнять ее качественно, применяя на практике основные принципы мотивации к трудовой деятельности на промышленном предприятии. На "СЗГИ" выявлены сильные и слабые стороны мотивационного процесса, проанализировав которые и предприняв соответствующие меры по их усилению или устранению (следуя рекомендациям или аналоговым решениям), можно повысить стабильность трудового коллектива, снизить текучесть кадров, повысить производительность и эффективность трудовой деятельности.

3.2 Программа исследования на предмет "Формирование стабильного трудового коллектива"


Тематика исследования: Формирование стабильного трудового коллектива Методологический раздел

Объект исследования: ОАО "Свердловский завод гипсовых изделий"

Эмпирический объект исследования: работники ОАО "Свердловский завод гипсовых изделий"

Предмет исследования: степень удовлетворенности работников своей трудовой деятельностью, как результат стабильности трудового коллектива.

Цель: исследовать удовлетворенность работников

Стратегия: разведывательная. Пилотное исследование, направленное на выявление сильных и слабых сторон организации (связанных с осуществлением трудового процесса), открывает серию исследований, каждое из которых будет посвящено отдельно взятой "слабой области".

Задачи:

1       проанализировать мотивационную систему "Свердловский завод гипсовых изделий":

2       выявить сильные и слабые стороны процесса

         определить эффективность работы внешних и внутренних побудителей

исследовать социально-психологический микроклимат организации

дать рекомендации на основе результатов анализа.

Гипотезы:

         более 50% работников комфортно ощущают себя в коллективе

2       более 50% работников нравится своя работа

         более 50% работников не удовлетворены уровнем заработка

         зарплата не является основным стимулом к работе

Логический анализ понятий:

         работа - деятельность человека, приносящая пользу обществу, за которую он получает денежное вознаграждение, а также вся деятельность, которой он занимается (общение в коллективе, праздники, неформальные мероприятия и т.д.)

2       удовлетворенность работой - положительный отзыв (включает оценки "хорошо" и "удовлетворительно").

Операционализация понятий:

работа:

*              профессиональные обязанности

*              неформальные мероприятия

*              все время, проведенное в организации

2 удовлетворенность работой определяется по критериям:

*              настрой перед трудовой деятельностью

*              условия труда

*              микроклимат

*              конфликтность среды

*              интерес к работе

*              самореализация

*              профессиональное совершенствование

*              служебный рост

*              степень осведомленности о перспективах и результатах своей работы, делах "Свердловский завод гипсовых изделий" и т.д.

*              уровень зарплаты

*              неформальные мероприятия

*              уровень жизни

Виды вопросов:

         закрытые

2       открытые

         полуоткрытые

Методический раздел

Генеральная совокупность - 360 работников, из них 252 работники производственных цехов (70% от общей численности работников)

Выборочная совокупность - 275 работников, из них 202 работники производственных цехов (73% от численности опрошенных работников)

Метод сбора информации - анкетирование (Приложение 3, 4,5)

Для проведения исследования были выделены следующие группы работников организации:

Инженерно-технические работники

Работники управления закупок, продаж, маркетинга

Работники финансово-бюджетного блока, дирекции по режиму безопасности, юр. отдела, управления персонала, АХО, секретариат.

Работники производственных цехов

По результатам исследования были выделены дополнительные исследовательские группы:

*              работники до 30 лет (потенциал и резерв организации)

*              работники, удовлетворенные местом работы

*              работники, готовые сменить место работы

Анализ результатов

Анализ проводился по 2 направлениям: рассмотрение коллектива "СЗГИ" как единого целого и детально по подразделениям. Особенно интересовала группа работников моложе 30 лет, потому что при среднем возрасте управленческого персонала 48 лет, не обеспечивается преемственность при передаче опыта и профессиональных знаний. Численность работников производственных цехов самого активного и работоспособного возраста (30-40 лет) составляет на сегодняшний день всего 5,5 %. При обработке результатов по большинству положений значительных различий выявлено не было, поэтому анализ в основном проводился по общим показателям. В особенно важных вопросах были использованы и детальные показатели по группам.

В ходе анализа системы мотивации применяется метод внутреннего и внешнего вознаграждений. Внутреннее вознаграждение связано с реализацией мотивов, его дает сама работа (чувство достижения результата, самореализации, содержательности и значимости выполняемой работы, самоуважения, дружба и общение, возникающие в процессе работы и т.д.). Внешнее вознаграждение связано со стимулами, его дает организация. Анализ начинается с определения внешних (стимулов) и внутренних (мотивов) побудителей и оценки их эффективности.

Мотивы:

профессиональное совершенствование

Работа у 38,1% работников ассоциируется с профессионализмом (наибольший показатель во всех исследовательских группах); 97,3% работников по "СЗГИ" в целом и 100% молодых специалистов стремятся к повышению своей квалификации. Поэтому для анализа мотивационного процесса было необходимо выявить отношение работников к возможностям профессионального совершенствования в организации. В целом по "СЗГИ" 46,1% работников оценивают их удовлетворительно (в управлении закупок/ продаж/ маркетинга самый высокий показатель - 76,2% работников), 30,6% - "хорошо". Молодые специалисты придерживаются того же мнения: "хорошо" - 44,4% работников, "удовлетворительно" - 46,7% работников. Примечательно, что только единицы (5,5% работников по МО в целом) назвали возможности профессионального совершенствования "плохими".

чувство ответственности (степень самостоятельности).

Не смотря на то, что трудовая деятельность только у 7,6% работников ассоциируется с самостоятельностью, 33,6% работников гордятся тем, что могут думать самостоятельно, а не только выполнять приказы (в подразделениях - более 50% работников).

интерес к работе.

Большинство работников "СЗГИ" - 41,1% - считают, что трудовая деятельность это, прежде всего, интерес, рождающийся в процессе ее осуществления.64,1% молодых специалистов согласны с этим.29,2% работников относятся к своей трудовой деятельности как к "вынужденной необходимости". Подтвердилась Гипотеза №2 - более 50% работников нравится своя работа: 97,3% работников по "СЗГИ" в целом и 100% молодых специалистов подтверждают это. В рейтинге "Причин увольнения" более интересная работа по специальности занимает 4 место.

         самореализация в труде.

Большинство работников - 63,1% (и 47,8% молодых специалистов) - считают себя реализовавшимися в труде.36,5% работников (и 45,7% молодых специалистов) утверждают, что имеют более высокий трудовой потенциал, чем реализуют в труде.

В качестве стимулов, как правило, выступает внешнее вознаграждение - то, что дает организация (повышение зарплаты, продвижение по службе, символы служебного статуса и престижа, похвалы и признание, дополнительные выплаты и т.д.). Но не всегда внешнее вознаграждение может служить стимулом! Например, зарплата (наиболее очевидный способ, которым организация может вознаградить работников) является стимулом, если размер заработка напрямую связан с производительностью, и не является, если этой зависимости нет. В последнем случае оплата обеспечивает только отсутствие/ присутствие неудовлетворения.

денежное вознаграждение.

Работа у 38,1% работников в целом по СЗГИ ассоциируется с профессионализмом и у 32,3% - с зарплатой. У 40% молодых специалистов ассоциации возникают с зарплатой. Но на вопрос чем вы гордитесь больше всего, работая в "СЗГИ", только 2,1% работников выбрали показатель "зарплата". Подтвердилась Гипотеза №3: более 50% работников не удовлетворены уровнем заработка. Не случайно, что 93,3% работников по "СЗГИ" в целом оценивают уровень зарплаты как низкий.

Среднемесячный доход работников

 

Таблица 7

Среднемесячный доход

По мнению работников, среднемесячный доход



по "СЗГИ" в целом

молодых специалистов

1

< 10 тыс. руб.

35,8%

44,7%

2

10-15 тыс. руб.

41,5%

40,4%

3

14%

12,8%

4

более 20 тыс. руб

8,7%

2,1%


Негативным является следующий факт - в дополнительных источниках дохода нуждается 87,6% работников (97,8% молодых специалистов). Самой популярной причиной увольнения является высокая зарплата на новом месте, этот вариант отметили 40% работников. Подтвердилась Гипотеза №4: зарплата не является основным стимулом к работе на "СЗГИ".

Рейтинг "Причин увольнения"

Таблица 8

Причины увольнения

в целом по "СЗГИ", %

молодых специалистов, %

1

более высокий заработок на новом месте

36,8

35,8

2

хорошие условия организации труда на новом месте

14

14,6

3

лучшее социальное обеспечение

12,2

14,6

4

более интересная работа по специальности

10,1

11,4

5

опасение, что организация прекратит свое существование

9,5

4,9

6

личные мотивы

5,2

4,1

7

желание открыть свое дело

4,1

10,6

8

более хорошие отношения в коллективе

2,9

2,4

9

более хорошие отношения с руководителем

2,7

1,6

10

другие причины

2,5

0


Условия труда в "СЗГИ" не являются стимулом, они лишь влияют на отсутствие неудовлетворения.

Условия труда (параметры: обстановка и взаимоотношения в коллективе, с руководителем, конфликтность среды).

,5% работников по "СЗГИ" в целом начинают трудиться с позитивным настроем. Неопределенные чувства испытывают 33,2% работников по "СЗГИ" в целом и 47% молодых специалистов. Примечательно, что нежелание идти на работу, досада раздражение, подавленность возникает только у 4,8% работников. Что в целом положительно сказывается на мотивационном процессе.

,9% работников отмечают, что обстановка и взаимоотношения в коллективе располагают к плодотворному сотрудничеству (в некоторых подразделениях - 83,3% работников). Причина возможного ухода - более хорошие отношения в коллективе в рейтинге "Причин увольнения" на 8 месте. Подтвердилась Гипотеза №1: более 50% работников комфортно ощущают себя в коллективе.

У 57,1% работников нормальные, демократичные отношения с руководителем (в управлении закупок/ продаж/ маркетинга - 73,7% работников), оптимально-профессиональные отношения - 37,4% работников. Причина возможного ухода - более хорошие отношения с руководителем в рейтинге "Причин увольнения" на 9 месте.

,1% работников утверждают, что в организации не возникает конфликтов с коллегами, 93,4% работников утверждают, что конфликтов не возникает и с руководителями.

Закономерным следствием этих позиций является следующее:

в организации:

,6% работников оценивают социально-психологический микроклимат как официально-деловой

% - как дружественно-деловой

в подразделениях:

,5% работников оценивают социально-психологический микроклимат как официально-деловой

,9% - как дружественно-деловой

Характеристика "напряженный и нервозный" встречается в организации чаще - 14,5% работников, чем в подразделениях - 3,2% работников. В целом условия труда в "СЗГИ" способствуют рабочему процессу - 26% работников гордятся этим (31,3% молодых специалистов).

Стимулы:

. признание достижений - ключевой критерий.

На вопрос чем вы гордитесь больше всего, работая в "СЗГИ", вариант "одобрением, признанием своей работы" выбрало 12,8% работников в целом по "СЗГИ". Примечательно, что работники конструкторского отделения, занятые обеспечением конструкторской деятельности, называли этот критерий чаще, чем в других подразделениях, - 28% работников. А вот среди работников управления закупок/ продаж/ маркетинга никто не выбрал этого варианта (0% работников). Стимул "признание достижений" функционирует не в полную силу.

-       служебный рост.

Перспективой служебного роста удовлетворены 39,2% работников по "СЗГИ" в целом, а не удовлетворены (оценка "плохо") - 31,1% работников. В исследовании этот вопрос вызвал наибольшее затруднение - 29,7% работников.

-       степень информированности.

% работников по "СЗГИ" в целом и 63% молодых специалистов владеют недостаточной информацией, касающейся работы. Только 37% молодых специалистов владеют всей информацией против 43,9% по "СЗГИ" в целом. Самые информированные работники - 76,2% находятся в управлении закупок/ продаж/ маркетинга.

"Степень информированности" не стимулирует трудовую деятельность, но уровень осведомленности сказывается на отношении работника к своему труду и значительно усугубляет сложность процесса мотивации.

На удовлетворенность работой влияют:

. уровень жизни.

Сотрудники "СЗГИ" в целом оценивают свою жизнь удовлетворительно - 64,1%, хорошо - 27,3%, плохо - 1,8%.

Таблица 9

Критерии

Хорошо, %

Удовлетворительно, %

Плохо, %

1

Питание

49,8

47,1

2,2

2

Одежда

13,3

71,1

11,5

3

Жилищные условия

27,7

47,7

21,4

4

Семейная ситуация

55,6

33,6

5,4

5

Материальное положение семьи

10,8

67,6

16,2

6

Жизнь в целом

27,3

64,1

1,8


. неформальная жизнь.

82,1% работников характеризуют жизнь в "СЗГИ" "обычной, как в любой другой организации".55,8% молодых специалистов считают также, но высок процент характеристики "серая, скучная" - 25,6% молодых специалистов. Не удивительно, что более активно готовы участвовать в досуговых мероприятиях именно они - 75%, против 41% работников в целом по "СЗГИ".

Рейтинг мероприятий, которые следует проводить в ""СЗГИ".

Таблица 10

Мероприятия

молодых специалистов, %

в целом по "СЗГИ", %

1

информирование персонала о деятельности "СЗГИ" через сеть, информационные стенды и т.п.

3,5

3,025

2

совместное посещение бассейна

2,8

1,65

3

информационные собрания

2,7

2,42

4

обучающие семинары

2,5

1,925

5

корпоративные праздники

2,4

1,39

6

конференции по обмену опытом с коллегами

2,3

1,42

7

спортивные соревнования

1,9

1,88

8

неформальные встречи - клуб интересов

1,9

0995

9

выезды на природу

1,4

1,365

10

конкурсы профессионального мастерства

1,4

0,885


Выводы:

Доминирующий мотив в системе мотивации промышленного предприятия "СЗГИ" профессионализм. Работники довольны возможностями профессионального совершенствования, интересной работой. Эффективность работы мотиватора очень высока, что укрепляет стабильность трудового коллектива. Рекомендации: поддержание уровня эффективности и чувствительности к социальным изменениям. Для усиления позиций можно направлять работников на курсы по повышению квалификации, для руководителей были бы актуальны курсы по выработке стрессоустойчивости.

Большинство работников промышленного предприятия реализуют свой потенциал в труде. Рекомендации: больше внимания уделить молодым специалистам, так как у половины из них остается не затраченный рабочий потенциал.

Человеческие факторы: социальное взаимодействие, групповое поведение - значительно влияют на индивидуальную производительность. В "СЗГИ" благоприятные условия труда. Малоконфликтная среда, дружественно-деловой микроклимат - способствуют стабильности тралового коллектива и эффективной работе. Конфликтность с точки зрения современных тенденций играет значительную роль: разрешение конструктивного конфликта несет позитивный характер и гармонизирует систему, деструктивный же - наоборот негативно сказывается на работе организации и ведет к убыткам разного рода. По результатам исследования в "СЗГИ" область конфликтов затронута слабо. Рекомендации: следует провести исследование, направленное на выявление рода возникающих конфликтов (у 17,9% работников с коллегами и у 6,6% работников с руководителями), последствий разрешения и степени их влияния на работу организации.

Доминирующий стимул - зарплата - работает неэффективно: большинство - 93,3% работников промышленного предприятия - считает, что имеет низкий заработок и нуждается в дополнительном доходе (87,6% работников по "СЗГИ" в целом и 97,8% молодых специалистов). Зависимости зарплаты от производительности в "СЗГИ" нет, поэтому в настоящее время зарплата является фактором, влияющим на присутствие неудовлетворенности у работников. В системе мотивации это слабое звено.

Стимулы "перспективы служебного роста" и "признание результатов работы со стороны руководства" были оценены работниками промышленного предприятия как недостаточные для самореализации. Это связано со спецификой сферы деятельности организации - инжиниринг в металлургической промышленности. Сфера подразумевает медленный служебный рост: повышение категории технических специалистов (инженеров-конструкторов) - 2-3 года (1-2 года в "СЗГИ"), повышение в должности - 10-15 лет (5-10 лет в "СЗГИ"). В сравнении с более динамичными областями (сервис, менеджмент и т.д.) служебный рост в "СЗГИ" плохо заметен (скорее всего, с этой точки зрения оценивали служебный рост его работники "СЗГИ"). Сроки продвижения по службе в "СЗГИ" несколько короче, чем в отрасли (категория дается "авансом") - это делается с целью привлечения и удержания молодых специалистов. В реальности механизм карьерного роста работает эффективнее, чем оценили работники. Основываясь только на проведенном анкетировании, отметим, что возможности служебного роста и отсутствие признания результатов работы (как постоянного явления) влияют на появление неудовлетворенности у работников.

Исследование показало, что степень удовлетворенности работой зависит от принадлежности работников к двум категориям: работников, отождествляющих работу с интересом, и работников, отождествляющих ее с "вынужденной необходимостью". Для первой категории работа - это интерес, рождающийся в ее процессе, поэтому на удовлетворенность влияет работа по специальности, профессионализм, самореализация. В настоящее время эти факторы эффективно действуют в организации и вызывают удовлетворенность у работников промышленного предприятия. Для второй категории работа - всего лишь средство получения денег, поэтому на удовлетворенность будут влиять зарплата и социально-психологический микроклимат. В настоящее время эти факторы вызывают неудовлетворенность у работников "СЗГИ". В организации к первой категории относится 41,1% работников (64,1% молодых специалистов) против 29,2% работников (28,2% молодых специалистов) во второй категории.

Заключение


В данной работе перед нами стояли следующие задачи: рассмотреть теоретические основы и пути формирования стабильного трудового коллектива;

на основе анализа социально-психологической литературы уточнить понятие и раскрыть функции первичного коллектива; дать характеристика текучести кадров и ее влияния на стабильность коллектива; определить методы экономического ущерба, вызванного текучестью кадров; провести анализ хозяйственной деятельности предприятия.

Проанализировать мотивационную систему ОАО "Свердловский завод гипсовых изделий";

Определить рейтинг причин текучести кадров, в том числе молодых специалистов производственного предприятия ОАО "Свердловский завод гипсовых изделий";

Провести практическое исследование ОАО "Свердловский завод гипсовых изделий" на предмет формирования стабильного трудового коллектива;

Разработать рекомендации по формированию стабильного трудового коллектива.

Проведя социологическое исследование, разработать рекомендации по стабилизации трудового коллектива, провести анализ хозяйственной деятельности предприятия. Именно эти вопросы необходимы были нам для работы по дипломной работе. Сделаем краткое обозрение теоретической главы. Трудовой коллектив представляет собой группу людей, выполняющих определённую трудовую деятельность в рамках своей специальности для общей цели организации. На формирование стабильного трудового коллектива оказывают влияние показатели текучести кадров, организационная структура, а точнее социально-психологический климат, экономические факторы, работа по стимулированию персонала. Рассмотренные характеристики текучести кадров, ещё раз утвердили нас в необходимости разработки рекомендаций по стабилизации коллектива, так как текучесть кадров включает в себя только отрицательные моменты воздействия на развитие организации. С помощью программы исследования был проведён анализ на предприятии ОАО "Свердловский завод гипсовых изделий". В результате проведённого анализа, был разработан комплекс рекомендации, направленный на формирование стабильного трудового коллектива. Была предложена улучшенная система мотивации труда, состоящая из системы материального стимулирования, системы по улучшению условий труда.

Мы выяснили, что текучесть кадров ухудшает моральный климат в коллективе, что препятствует формированию стабильного трудового коллектива. Обращаем внимание руководства завода, что такая ситуация - это сигнал о необходимости разобраться в процессах происходящих в трудовом коллективе.

По итогам социологического исследования выявлено невысокая мотивации. Организация, экономя на "лишних" усилиях теряет деньги, которые могли бы заработать сотрудники, будь они мотивированы на результат. На данный момент в ОАО "СЗГИ" это мало кого заботит.

С другой стороны ОАО "СЗГИ" исправно следует своей миссии.

В результате анализа социологического исследования можно порекомендовать следующее:

1 развивать профессионализм в работе. Направлять работников на курсы по повышению квалификации, для руководителей - курсы по выработке стрессоустойчивости.

уделять внимание молодым специалистам, выяснить, почему у половины из них остается не затраченный рабочий потенциал.

сделать зависимым зарплату от производительности.

провести некоторые из мероприятий указанных в Рейтинге мероприятий.

организовать внутрикорпоративный сайт, где бы публиковались новости завода, планы на будущее и т.д., чтобы устранить малоинформированность работников, приводящую к необоснованным страхам.

провести исследование, направленное на выявление возникающих конфликтов, последствий разрешения и степени их влияния на работу промышленного предприятия.

провести исследование, направленное на выявление микромотивационной системы в каждом подразделении

провести исследование, направленное на выявление причины увольнения и текучесть кадров каждого подразделения.

В ходе работы над данной выпускной квалификационной работе все поставленные задачи были решены, цель достигнута, противоречия разрешены.

Литература


1.      Алабугин А.А. Теория и практика менеджмента. - Челябинск, 2005. - 317 с.

2.      Албастова Л.Н. Технология эффективного менеджмента. - М.: "Издательство ПРИОР", 2004. - 288 с.

.        Альманах психологических тестов. / Под ред. С.А. Римских. - М.: 2005. - 164 с.

.        Андреев А.Л., Радичка Д.М. Стратегическое управление. - М.: Финансы и статистика, 2003. - 451 с.

.        Андреева Г.М. Социальная психология. - М.: Приор, 2005. - 643 с.

.        Анисимова Т.В. Психологические особенности профессиональных взаимодействий // Авторефдис канд психол наук. - Л., 2005. - 16 с.

.        Ансофф И. Стратегическое управление. - М.: Экономика, 2000. - 512 с.

.        Ансофф И. Новая корпоративная стратегия. - СПб.: Питер Ком, 2004. - 345с.

.        Артемов О.Ю., Архипова Н.И., Ермакова И.Н., Овчинникова Н.В. Кадровый менеджмент: Практическое руководство для руководителей и специалистов кадровых служб. - М.: ПРИОР, 2003. - 423 с.

.        Архипова Н.И., Седова О.Л., Сорокина Н.П. Управление персоналом на предприятии: новое в работе с кадрами. - М:, Приор, 2000. - 467 с.

.        Асеев В.Г. Мотивация поведения и формирование личности. - М.: Инфра-М, 2003. - 264 с.

.        Базаров Т.Ю. Управление персоналом развивающейся организации. - М.: ИПК ГС, 2004. - 323 с.

.        Белокопытов О.И., Панасенко Г.В. История и культура менеджмента. - Красноярск, 2004. - 213 с.

.        Блейк Р., Моутон Д. Научные методы управления. - Киев, 2000. - 274 с.

.        Веснин В.Р. Менеджмент персонала. - М.: Экономика, 2000. - 318 с.

.        Веснин В.Р. Практический менеджмент персонала: Пособие. - М.: Приор, 2003. - 456 с.

.        Вилюнас В.К. Психологические механизмы мотивации человека. - М., 2004. - 134 с.

.        Виханский О.С. Стратегическое управление: Учеб. Для студентов и аспирантов вузов по спец. "Менеджмент". - М.: МГУ, 2003. - 315 с.

.        Вудкок М., Френсис Д. Раскрепощенный менеджер: Для руководителя-практика/ Пер. с англ. - М.: Дело ЛТД, 2000. - 320 с.

.        Гительман Л.Д. Преобразующий менеджмент. Лидерам реорганизации и консультантам по управлению. Учебное пособие. - М.: Экономика, 2000. - 421 с.

.        Глухов В.В. Основы менеджмента. Уч. Пособие. - СПб.: Специальная литература, 2007. - 219.

.        Глущенко В.В. Менеджмент: системные основы. - М.: НПЦ "Крылья", 2005. - 288 с.

.        Гончаров В.В. В поисках совершенства управления. Руководство для высшего управленческого персонала. - М.: Инфра-М, 2003. - 354 с.

.        Гуревич К.М. Профессиональная пригодность и основные свойства нервной системы человека. - М.: Наука, 2004. - 278 с.

.        Десслер Г. Управление персоналом / Пер. с англ. - М.: Инфра-М, 2000. - 438 с.

.        Донцов А.И. Психология коллективов (Методологические проблемы исследования). - М.: Изд-во МГУ, 2000. - 208 с.

.        Журавлев П.В. и др. Технология управления персоналом. Настольная книга менеджера. - М.: Наука, 2004. - 395 с.

.        Зайцев Г.Г. Управление персоналом: Учеб. Пособие /Санкт-Петербург. гос. ун-т экономики и финансов. - СПб., 2004. - 384 с.

.        Зудина Л.Н. Организация управленческого труда: Учеб. пособие. - М.: ИНФРА-М, 2003. - 341 с.

.        Иванова Е.М. Основы психологического изучения профессиональной деятельности. - М.: Экономика, 2005. - 347 с.

.        Иванцевич Дж., Лобанов А.А. Человеческие ресурсы управления: основы управления персоналом. - М.: Приор, 2003. - 368 с.

.        Кабушкин Н.И. Основы менеджмента: Учеб. пособие. - 2-е изд., испр. и доп. - М.: Новое знание, 2004. - 574 с.

.        Кадровый резерв и оценка результативности труда управленческих кадров. - М.: Дело ЛТЛ, 2000. - 283 с.

.        Китов А.И. Психология управления. М.: 2003. - 423 с.

.        Климов Е.А. Введение в психологию труда. - М.: Экономика, 2006. - 274 с.

.        Ковалев А.Г. Психология личности, изд.3. - М.: "Просвещение", 2000. - 215 с.

.        Ковалевский С. Руководитель и подчиненный. - М.: Прогресс, 2000. - 371 с.

.        Кох Р. Менеджмент и финансы от А до Я. - СПб.: Питер Ком, 2003. - 264 с.

.        Кунц Г., О'Доннел С. Управление: системный и ситуационный анализ. Т. т.1-2. - М.: Финансы и статистика. 2006. - 329 с.

.        Ладанов И.Д. Практический менеджмент. - М.: Экономика, 2000. - 328 с.

.        Маклаков А.Г. Общая психология. - СПб.: Питер, 2003. - 592 с.

.        Маслов Е.В. Управление персоналом предприятия. - М.: Экономика, 2005. - 259 с.

.        Мескон М.Х., Альберт М, Хедоури Ф. Основы менеджмента: Учеб. пособие. - М.: Дело, 2005. - 742с.

.        Мясищев В.Н. Проблемы личности и отношений человека. В сб.: Материалы совещания по психологии. - М.: 2000. - 71 с.

.        Основы управления персоналом: Учеб. пособие /Под ред. Б.М. Генкина - М.: Высшая школа, 2004. - 384с.

.        Травин В.В., Дятлов В.А. "Основы кадрового менеджмента", - М.: Инфра-М, 2004. - 389 с.

.        Шекшля С.В. "Управление персоналом современной организации", - М., 2003. - 462 с.

.        Бодалев А.А. Мотивация и личность. Сборник научных трудов. - М.: Финансы и статистика, 2000. - 164 с.

.        Арестова О.Н. Влияние мотивации на структуру целеполагания. // Вестник Московского университета. - № 4. - 2004. - С.14.

.        Выготский Л.С. Конкретная психология человека. - Вестник МГУ. Сер.14. Психология. - № 1. - 2005. - С.52-65.

.        Ивановская Л.В. Технология управления персоналом и его развитие в организации // Обеспечение системы управления персоналом на предприятии М. ГАУ. - № 5. - 2000 г. С.12 - 18.

Приложения

 

Приложение А

Таблица 6

Обработка данных

Варианты ответов

ИТР

АХО

цеха

Отдел Маркетинга

ОАО "Свердловский завод ГИ"

До 30 лет

удовл.

гот. смен. раб.


%

%

%

%

%

%

%

%

1.1 привычка

3,4

7,4

22,9

4,0

6,2

2

14,0

7,0

1.2 коллектив

13,7

16,7

19,7

16,0

14,4

6

14,0

8,8

1.3 самостоятельность

6,8

4,6

42,9

8,0

7,6

12

7,0

3,5

1.4 профессионализм

42,7

36,1

52,6

48,0

38,1

38

29,8

40,4

1.5 зарплата

31,6

33,3

61,9

24,0

32,3

40

35,1

38,6

1.6 другое

1,7

1,9

0,0

0,0

1,4

2

0,0

1,8

2.1 основа смысла жизни, иногда требующая жертв

11,2

17,6

25,4

26,3

14,8

2,6

19,0

11,1

2.2 вынужденная необходимость

30,6

23,5

87,3

21,1

29,2

28,2

35,7

40,0

2.3 интерес, рождающийся в процессе ее выполнения

41,8

43,5

61,9

42,1

41,1

64,1

35,7

42,2

2.4 долг любого человека перед обществом

12,2

14,1

25,4

10,5

12,7

5,1

9,5

2.5 другое

4,1

1,2

0,0

0,0

2,1

0,0

0,0

0,0

3.1 позитивный настрой

36,7

39,2

72,6

30,0

36,7

34,1

37,2

30,2

3.2 удовлетворенность

20,4

21,5

45,3

20,0

21,8

13,6

37,2

11,6

3.3 неопределенные чувства

27,6

34,2

 72,6

45,0

33,2

47,7

23,3

46,5

3.4 нежелание идти на работу

2,0

2,5

3,6

5,0

2,6

2,3

0,0

4,7

3.5 подавленность

2,0

1,3

0,0

0,0

1,3

0,0

2,3

4,7

3.6 досаду и раздражение

1,0

1,3

0,0

0,0

0,9

2,3

0,0

2,3

3.7 другое (что именно?)

8,2

0,0

0,0

0,0

3,5

0,0

0,0

0,0

4.1 одобрением, стимулированием хорошей работы

11,3

13,4

44,7

0,0

12,8

14,6

14,0

2,4

4.2 возможностью думать самому, а не только выполнять приказы

39,2

26,8

70,0

44,0

33,6

18,8

32,0

26,8

4.3 достойной оплатой труда

 1,0

 3,7

 0,0

 4,0

 2,1

 0,0

 0,0

 7,3

4.4 работой под рук. достойных, квалифицированных людей

16,5

14,6

16,0

16,0

15,3

29,2

14,0

22,0

4.5 состоянием дел "СЗГИ" в целом

3,1

6,1

0,0

12,0

4,7

4,2

8,0

7,3

4.6 хорошими условиями труда

21,6

29,3

55.3

24,0

26,0

31,3

30,0

31,7

4.7 корпоративными традициями

1,0

3,7

4,0

0,0

2,1

0,0

2,0

0,0

4.8 другое (что именно?)

6,2

2,4

0,0

0,0

3,4

2,1

0,0

2,4

 5.1 работа мне нравится, удовл. и уровень заработка

14,3

9,9

10,7

38,1

14,0

8,7

23,9

0,0

5.2 работа мне нравится, но слишком маленький уровень заработка

83,5

86,4

185,7

61,9

83,3

91,3

73,9

91,3

5.3 работа мне не нравится, но привлекает уровень заработка

1,1

1,2

0,0

0,0

0,9

0,0

0,0

2,2

5.4 работа мне не нравится, уровень заработка низкий

1,1

2,6

3,6

0,0

1,8

0,0

2,2

6,5

постоянная часть

 

 

 

 

65 (102)

 

 

 

переменная часть

 

 

 

 

34 (90)

 

 

 

7.1 да

65,2

60,5

117,8

57,1

63,1

45,7

77,3

50,0

7.2 не в полной мере

29,3

27,2

 78,6

33,3

30,7

47,8

20,5

38,6

7.3 нет

5,4

7,4

3,6

4,8

5,8

6,5

2,3

11,4

7.4 если нет, то почему

0,0

1,2

0,0

0,0

0,4

0,0

0,0

0,0

8.1 да

1,1

0,0

0,0

4,8

0,9

0,0

0,0

6,5

8.2 скорее да, чем нет

14,0

21,5

0,0

9,5

14,1

28,3

10,9

93,5

8.3 скорее нет, чем да

43,0

45,6

76,2

61,9

44,5

56,5

41,3

0,0

8.4 нет

41,9

32,9

123,8

23,8

40,5

15,2

47,8

0,0

 9.1 хорошие условия и организация труда на новом месте

13,8

15,9

 24,0

6,8

14,0

14,6

10,8

15,9

9.2 более высокая зарплата на новом месте

36,9

36,6

80,2

34,1

36,8

35,8

32,3

39,3

9.3 более интересная работа по специальности

12,3

7,3

 31,6

6,8

10,1

11,4

9,7

15,0

9.4 более хорошие отношения в коллективе

3,9

2,4

3,4

0,0

2,9

2,4

2,2

2,8

9.5 более хорошие отношения с руководством организации

2,5

3,0

8,8

2,3

2,7

1,6

4,3

3,7

9.6 лучшее соц. обеспечение

9,9

15,9

17,3

13,6

12,2

14,6

14,0

10,3

9.7 желание открыть свое дело

3,4

1,2

6,8

15,9

4,1

10,6

4,3

2,8

 9.8 личные мотивы

3,4

3,0

 13,9

18,2

5,2

4,1

16,1

1,9

9.9 опасение, что организация прекратит свое существование

9,9

12,2

13,9

2,3

9,5

4,9

6,5

9.10 другое

3,9

2,4

0,0

0,0

2,5

0,0

0,0

0,9

питание

 

 

 

 

 

 

 

 

хорошо

51,1

50,6

103,5

57,1

49,8

50,0

53,3

38,1

удовлетворительного

46,7

44,3

92,9

42,9

47,1

45,7

40,0

61,9

плохо

2,2

3,8

0,0

0,0

2,2

4,3

0,0

0,0

затрудняюсь ответить

0,0

1,3

3,6

0,0

0,9

0,0

6,7

0,0

одежда

 

 

 

 

 

 

 

 

хорошо

15,2

12,8

 17,9

19,0

13,3

17,4

26,7

4,9

удовлетворительного

68,5

73,1

142,8

81,0

71,7

73,9

64,4

75,6

плохо

10,9

14,1

 28,6

0,0

11,5

6,5

0,0

9,8

затрудняюсь ответить

5,4

0,0

10,7

0,0

3,5

2,2

8,9

9,8

заработок

 

 

 

 

 

 

 

 

хорошо

2,2

4,1

0,0

14,3

3,6

2

9,1

2,4

удовлетворительного

57,6

39,2

107,1

66,7

51,4

38

81,8

33,3

плохо

37,0

54,1

 85,8

19,0

41,9

48

0,0

64,3

затрудняюсь ответить

3,3

2,7

7,1

0,0

3,2

4,0

9,1

0,0

жилищные условия

 

 

 

 

 

 

 

 

хорошо

28,6

27,6

 44,0

40,0

27,7

18

37,2

24,4

удовлетворительного

44,0

48,7

96,7

55,0

47,7

22

55,8

43,9

плохо

24,2

21,1

 51,7

5,0

21,4

50

0,0

29,3

затрудняюсь ответить

3,3

2,6

7,7

0,0

3,2

2,0

7,0

2,4

проф. совер.

 

 

 

 

 

 

 

 

хорошо

27,5

31,6

 74,4

23,8

30,6

44,4

38,5

39,0

удовлетворительного

49,5

38,2

 86,3

76,2

46,1

46,7

38,5

43,9

плохо

5,5

6,6

 18,5

0,0

5,5

2,2

2,6

2,4

затрудняюсь ответить

17,6

23,7

20,8

0,0

17,8

6,7

20,5

14,6

служебный рост

 

 

 

 

 

 

 

 

хорошо

8,1

2,7

0,0

14,3

5,7

6,5

7,9

14,3

удовлетворительного

36,0

29,3

73,8

42,9

33,5

41,3

52,6

28,6

плохо

27,9

30,7

92,9

28,6

31,1

34,8

0,0

38,1

затрудняюсь ответить

27,9

37,3

33,3

14,3

29,7

17,4

39,5

19,0

сем. сит.

 

 

 

 

 

 

 

 

хорошо

61,5

53,8

79,6

71,4

55,6

56,8

53,5

60,0

удовлетворительного

26,4

35,9

105,6

23,8

33,6

22,7

34,9

20,0

плохо

9,9

2,6

0,0

4,8

5,4

9,1

0,0

15,0

затрудняюсь ответить

2,2

7,7

14,8

0,0

5,4

11,4

11,6

5,0

мат. пол. семьи

 

 

 

 

 

 

 

 

хорошо

8,9

13,9

33,3

14,3

10,8

11,1

20,9

7,5

удовлетворительного

75,6

57,0

106,4

76,2

67,6

68,9

72,1

плохо

14,4

21,5

 44,8

4,8

16,2

15,6

0,0

22,5

затрудняюсь ответить

1,1

7,6

15,4

4,8

5,4

4,4

7,0

0,0

жизнь в целом

 

 

 

 

 

 

 

 

хорошо

29,7

24,0

37,0

57,1

27,3

31,8

34,9

30,0

удовлетворительного

61,5

66,7

151,9

38,1

64,1

61,4

53,5

60,0

плохо

3,3

1,3

0,0

0,0

1,8

2,3

0,0

5,0

затрудняюсь ответить

5,5

8,0

11,1

4,8

6,8

4,5

11,6

5,0

11.1 да, есть, доп. доход превышает основной

2,2

0,0

3,7

0,0

1,3

4,3

0,0

0,0

11.2 да, но доход невелик

13,0

12,8

 65,1

23,8

16,0

19,6

27,3

20,0

11.3 дополнительного источника дохода не имею, хотя он необходим

70,7

70,5

 127,5

71,4

70,2

73,9

61,4

68,9

11.4 нет, не нуждаюсь в доп. доходах

14,1

16,7

3,7

4,8

12,4

2,2

11,4

11,1

12.1 до 10 тыс. руб.

18,1

44,3

110,1

28,6

35,8

44,7

47,8

35,6

12.2 10-15 тыс. руб.

45,7

49,4

61,4

23,8

41,5

40,4

28,3

31,1

12.3 15-20 тыс. руб.

25,5

3,8

 18,0

14,3

14,0

12,8

6,5

17,8

12.4 более 20 тыс. руб.

11,0

2,5

14,3

33,3

8,7

2,1

17,4

15,6

13.1 да

97,8

97,5

191,3

100,0

97,3

100,0

88,1

97,7

13.2 нет

2,2

2,5

8,7

0,0

2,7

0,0

11,9

2,3

14.1 официально - деловой

66,2

62,9

98,5

61,1

60,6

60,0

61,0

48,7

14.2дружественно-деловой

16,2

15,7

62,3

22,2

20,2

15,6

19,5

12,8

14.3 неформальный, дружеский

1,4

2,9

0,0

0,0

1,6

4,4

0,0

0,0

14.4 напряженный, нервозный

13,5

17,1

11,5

16,7

14,5

11,1

19,5

33,3

14.5 другой (укажите какой?)

2,7

1,4

27,7

0,0

3,1

2,2

0,0

5,1

15.1 официально-деловой

20,5

13,9

3,7

10,0

14,5

8,9

14,0

16,3

15.2дружественно-деловой

76,1

72,2

181,5

85,0

76,9

84,4

86,0

74,4

15.3 неформальный, дружеский

3,4

6,3

11,1

5,0

5,4

6,7

0,0

4,7

15.4 напряженный, нервозный

0,0

7,6

3,7

0,0

3,2

0,0

0,0

4,7

15.5 другой (укажите какой?)

0,0

0,0

0,0

0,0

0,0

0,0

0,0

0,0

16.1 да

75,5

63,3

151,2

80,0

70,9

75,6

82,6

83,7

16.2 не в полной мере

24,5

32,9

 48,8

20,0

27,8

24,4

17,4

14,0

16.3 нет

0,0

3,8

0,0

0,0

1,3

0,0

0,0

2,3

17.1 не обращает внимания, не замечает меня

3,3

0,0

0,0

0,0

1,4

4,5

0,0

4,4

17.2 несправедливое, слишком придирчивое к недостаткам

0,0

0,0

0,0

0,0

0,0

0,0

0,0

0,0

17.3неоправданно мягкое

 1,1

0,0

0,0

0,0

0,5

0,0

0,0

0,0

17.4 слишком требовательное и принципиальное

0,0

0,0

0,0

0,0

0,0

0,0

0,0

0,0

 17.5 отношение недоверия, не поручает серьезной и ответственной работы

1,1

6,8

12,5

0,0

3,2

4,5

0,0

2,2

17.6 нормальное, вполне демократичное

47,8

62,2

106,7

73,7

57,1

45,5

67,4

55,6

17.7 оптимальные проф. отношения, построенные на уважении

46,7

29,7

80,8

26,3

37,4

45,5

32,6

37,8

17.8 другое

0,0

1,4

0,0

0,0

0,5

0,0

0,0

0,0

18.1.1 Нет

87,0

78,5

144,5

84,2

82,1

88,9

86,0

18.1.2 Да

13,0

55,5

22,2

15,8

16,6

11,1

14,0

11,4

18.2.1 Нет

91,3

83,5

175,9

89,5

93,4

95,5

95,1

95,2

18.2.2 Да

8,7

11,4

7,4

10,5

6,6

4,5

4,9

4,8

19.1знаю все новости в орг. и перспективы, касающейся моей работы

48,4

28,0

 94,8

76,2

43,9

37,0

62,2

37,2

19.2 владею недостаточной информацией, касающейся моей работы

27,5

32,9

32,8

23,8

27,6

34,8

13,3

25,6

19.3 получаю информацию несвоевременно, когда потеряна ее актуальность

3,3

1,2

0,0

0,0

1,8

2,2

0,0

0,0

19.4 получаю очень мало инф. о положении дел в организации и подразделении

20,9

36,6

 54,5

0,0

25,4

26,1

24,4

37,2

19.5 не получаю никакой информации

0,0

1,2

 18,0

0,0

1,3

0,0

0,0

0,0

20.1 общие собрания

43,6

47,6

 30,2

11,9

16,8

14,8

15,0

15,6

20.2 непосредственный руководитель

68,1

62,2

 55,4

32,2

26,6

31,5

31,0

24,6

20.3 сотрудники подразделения

54,3

42,7

 37,4

20,3

18,8

17,6

18,0

23,0

20.4 сотрудники других подразделений "СЗГИ"

20,2

29,3

 25,7

16,9

10,5

9,3

15,0

7,4

20.5 информационные стенды, компьют. сеть и т.п.

43,6

30,5

23,4

23,7

15,0

17,6

9,0

15,6

20.6 люди, не являющиеся нашими сотрудниками

6,4

13,4

 18,8

1,7

4,0

1,9

4,0

4,9

20.7 неформ-ые источники (столовая, "курилка" и т.п.)

16,0

24,4

 21,1

5,1

7,6

7,4

8,0

8,2

20.8 другие источники (какие именно?)

1,1

2,4

2,3

0,0

0,7

0,0

0,0

0,8

21.1 веселая, интересная, насыщенная

8,0

5,1

7,7

0,0

6,0

16,3

6,8

13,3

21.2 обычная, как в любой другой организации

76,1

83,3

 174,2

94,7

82,1

55,8

90,9

62,2

21.3 серая, скучная

15,9

10,3

18,1

5,3

11,5

25,6

2,3

24,4

21.4 другая

0,0

1,3

0,0

0,0

0,5

2,3

0,0

0,0

Обучающие семинары

Всего

Всего

Всего

Всего

1,9

2,5

61,6

93,0

Конференции по обмену опытом с коллегами

Всего

Всего

Всего

Всего

1,4

2,3

50,0

95,0

Информационные собрания

Всего

Всего

Всего

Всего

2,4

2,7

53,0

93,0

Конкурсы профессионального мастерства

Всего

Всего

Всего

Всего

0,9

1,4

24,5

69,0

Корпоративные праздники

Всего

Всего

Всего

Всего

1,4

2,4

44,0

90,0

Неформальные встречи (клуб интересов)

Всего

Всего

Всего

Всего

1,0

1,9

17,6

41,0

Выезды на природу

Всего

Всего

Всего

Всего

1,4

1,4

62,0

80,4

Совместное посещение бассейна, спорт. клуба

Всего

Всего

Всего

Всего

1,7

2,8

30,0

67,0

Спортивные Соревнования

Всего

Всего

Всего

Всего

1,9

1,9

25,4

63,0

Информирование персонала о деятельности "СЗГИ" через инф. стенды, сеть и т.п.

Всего

Всего

Всего

Всего

3,0

3,5

40,9

58,0

Другое (что именно?)

Всего

Всего

Всего

Всего

тех. советы

 

 

 



Приложение Б

 

Схема сложившейся организационной структуры системы управления ОАО "Свердловский завод гипсовых изделий"

Приложение В

Тест "удовлетворенность работой"

Утверждение Ваша удовлетворенность

Вполне удовле- творен

Удовле- творен

Не вполне удовле- творен

Не удовле- творен

Крайне не удовле- творен

 1. Предприятием где вы работаете

 1

2

3

4

5

2. Физическими условиями (жара, холод, шум и т.д.)

 1

2

3

4

5

3. Работой

 1

2

3

4

5

4. Слаженностью действий работников

 1

2

3

4

5

5. Стилем руководства вашего начальника

 1

2

3

4

5

6. Профессиональной компетенцией вашего начальника

 1

2

3

4

5

7. Зарплатой в смысле соответствия трудозатратам

 1

2

3

4

5

8. Зарплатой в сравнении с тем, сколько за такую же работу платят на других предприятиях

 1

2

3

4

5

9. Служебным (профессиональным) продвижением

 1

2

3

4

5

10. Возможностями продвижения

 1

2

3

4

5

11. Тем, как вы можете использовать свой опыт и способности

2

3

4

5

12. Требованиями работы к интеллекту

 1

2

3

4

5

13. Длительностью рабочего дня

 1

2

3

4

5

14. В какой степени ваша удовлетворенность работой повлияла бы на ваше решение, если бы вы искали другую работу

 1

2

3

4

5

 

Обработка и оценка результатов

Суммируются баллы, отмеченные на бланке анкеты.

По результатам обследования можно набрать от 14 до 70 баллов. Если человек набирает 40 и более баллов, то это свидетельствует о его неудовлетворенности работой. И соответственно, чем меньше баллов набирает работник, тем выше у него удовлетворенность работой.

Данная анкета может быть использована и для оценки степени удовлетворенности работой группой работников. В таком случае анализируются средние значения показателей по группе и оценка производится по следующей шкале:

-20 баллов - вполне удовлетворены работой, 21 - 32 балла - удовлетворены,

-44 балла - не вполне удовлетворены, 45 - 60 баллов не удовлетворены,

свыше 60 баллов - крайне не удовлетворены.

Приложение Г

 

Экспресс диагностика СПК в трудовом коллективе

Ситуация

нет

Скорее нет

Скорее да

да

1. В случае срывов, неудач, нарушений в моей организации всегда идет активный поиск виновных.





2. Многие сотрудники стремятся себя обезопасить себя докладными записками и другими бумагами





3. Доступ к информации зависит от положения работника (в глазах начальства), а не от его функций.





4. Нет ясности, какие цели ставит перед собой организация. Цели неизвестны многим.





5. Если допущена ошибка, об этом первым узнает не допустивший ее работник, а его начальник или коллеги.





6. Господствует "эгоизм группы"





7. Сотрудники редко относят к себе принятые решения. Скорее, они воспринимают эти решения не как свои, а как - "Что, начальники наши не знают, куда это все ведет?





8. Спокойно и планомерно заняться собственной работой удается после рабочего дня. До этого всегда есть что-то более важное.





9. Большинство руководителей не строит управление на коллегиальной основе. Прямо или косвенно они дают понять, что предпочитают "ясную" систему: "приказ - подчинение".





10. Когда речь идет о руководителях, обычно говорят: "Эти там, наверху".





11. Конфликты возникают чаще всего из-за мелочей.





12. Совещания длятся слишком долго и завершаются часто безрезультатно.





13. Насколько хорошо работник справляется со своими обязанностями он узнает крайне редко. Он даже не знает, по каким критериям оценивают его труд.





14. Трудно и почти бесперспективно выдвигать и "пробивать" новые идеи и предложения по совершенствованию производственных процессов.





15. Энтузиазм в работе - редкость.





16. В принципе, работники четко делятся на два вида: "старики" (люди первого призыва, "пионеры") и новички.





17. Многие работники "окапываются", заняты подстраховкой "на все случаи жизни", используя для этого свои должности и проявляя бдительность в отношении своих прав





18. Когда оценивается работа, то чаще всего это происходит на основе эмоций и поверхностных наблюдений.





19. Многих работников мучает мысль, зачем они так долго учились тому, чего не дают применить. Они чувствуют, что не могут показать на что способны.





20. Не часто работники осознают, что потери времени и недобросовестная работа угрожают интересам организации и их собственным.





21. Работники, в общем-то, не хотят коллективного управления. Они не хотят знать, куда идет организация, хотят делать то, что им укажут, и не переживают, если эти указания оказались неверными.







Приложение Д

 

Анкета для изучения удовлетворенности трудом

Уважаемые коллеги!

Просим Вас ответить на ряд вопросов, нашей анонимной анкеты, касающихся Вашей работы.

Сопоставление Ваших ответов с мнениями других сотрудников позволит сделать правильные выводы об организации Вашего труда и его оплаты. Но это, конечно зависит от искренности, точности и полноты Ваших ответов.

Пожалуйста ознакомьтесь с вопросами и выберите ответ, который Вы считаете наиболее верным и отметьте его каким либо знаком. Просим Вас ответить на все вопросы анкеты. Если ответ не напечатан или ни один из напечатанных ответов Вас не устраивает, напишите ответ сами.

. Определите, пожалуйста, в какой мере Вас удовлетворяют различные стороны Вашей работы?

Вопрос

Удовл.

Скорее удовл. чем не удовл.

Затрудняюсь ответить

Скорее не удов. чем удовлетворен

Не удовл.

Размер заработка

 

 

 

 

 

Режим работы

 

 

 

 

 

Разнообразие работы

 

 

 

 

 

Необходимость решения новых проблем

 

 

 

 

 

Самостоятельность в работе

 

 

 

 

 

Соответствие работы личным способностям

 

 

 

 

 

Возможность должностного продвижения

 

 

 

 

 

Санитарно-гигиенические условия

 

 

 

 

 

Уровень организации труда

 

 

 

 

 

Отношения с коллегами

 

 

 

 

 

Отношения с непосредственным руководителем

 

 

 

 

 

Уровень технической оснащенности

 

 

 

 

 


. Отметьте, пожалуйста, по шкале в какой степени Вы удовлетворены своим трудом (в процентах).

0

10%

20%

30%

40%

50%

60%

70%

80%

90%

100%

 

 

 

 

 

 

 

 

 

 

 


. Каковы Ваши планы на ближайшие 1-2 года?

 Продолжать работать в той же должности;

 Перейти на следующую должность;

 Перейти работать в другое структурное подразделение;

 Перейти в другую организацию без смены специальности

 Перейти в другую организацию со сменой специальности

 __________________________________________________

. В какой степени и как действует на Вашу трудовую активность следующие факторы?

Вопрос

Совершенное не действует

Действует

Действует существенно

Действует очень существенно



снижает

повышает

снижает

повышает

снижает

повышает

Материальное стимулирование

 

 

 

 

 

 

 

Моральное стимулирование

 

 

 

 

 

 

 

Меры административного воздействия

 

 

 

 

 

 

 

Трудовой настрой Коллектива

 

 

 

 

 

 

 

Экономические нововведения в компании

 

 

 

 

 

 

 

Общая социально- экономическая ситуация в стране

 

 

 

 

 

 

 

Боязнь потерять работу

 

 

 

 

 

 

 

Элементы состязательности

 

 

 

 

 

 

 


. Считаете ли Вы, что экономические нововведения способствует повышению эффективности работы подразделения?

 Да

 Нет

 Затрудняюсь ответить

. Заставляет ли Вас сложившаяся социально-экономическая ситуация искать дополнительные источники дохода?

 Да

 Нет

 Затрудняюсь ответить

. Выберите, пожалуйста, из ниже перечисленных характеристик работы 5 самых важных для Вас?

Напротив самой важной поставьте цифру 1, менее важной - 2 затем 3,4,5.

Характеристика работы

Балл

Обеспечение оргтехникой

 

Возможность профессионального роста

 

Возможность должностного продвижения

 

Разнообразие работы

 

Сложность работы

 

Высокая заработная плата

 

Самостоятельность в выполнении работ

 

Престиж профессии

 

Благоприятные условия труда

 

Низкая напряженность труда

 

Благоприятный психологический климат

 

Возможность общения в процессе работы

 

Возможность улучшить свои жилищно-бытовые условия

 

Участие в управлении компанией

 


. Оцените пожалуйста с помощью линейной шкалы уровень Вашей трудовой активности в % (обведите соответствующую цифру)

Крайне низкий уровень трудовой активности и самоотдачи

0

10

20

30

40

50

60

70

80

90

100

Высокий уровень трудовой активности и самоотдачи


 

 

 

 

 

 

 

 

 

 

 



1

2

3

4

5

6

7

8

9

10

11



. Напишите, пожалуйста, что могло бы содействовать повышению Вашей трудовой активности

________________________________________________________________________________________________________________________________________________________________________________________________________________________________________________________________________

10. Испытываете ли Вы беспокойство, связанное с перспективой потерять работу?

 Да

 Нет

 Затрудняюсь ответить

. Ваш пол

 Мужской

 Женский

. Ваш возраст

 20-30  31-40

 41-50  51-60

. Ваше образование

 Средне специальное

 Незаконченное высшее

 Высшее

 2 высших образования

. Стаж работы:

Общий ________________________________________

По специальности ________________________________

На нашем предприятии _____________________________

. Ощущаете ли Вы зависимость оплаты труда от:

 Выполнения заданных объемов

 От уровня Вашей квалификации

 От инициативности и творчества в работе

 От "Личной преданности" руководителю

 Другое ___________________________________________

. Если у Вас или Ваших коллег по работе возникают недоразумения, конфликты с руководителями, то по каким причинам?

 Стиль управления, грубость с подчиненными

 Некомпетентность руководства

 Невнимательное отношение к нуждам сотрудников, к улучшению их социально-бытовых условий труда и отдыха

 Необоснованное изменение функциональных обязанностей сотрудников и возложение дополнительных

 Переработка, частые сверхурочные

 Частая сменяемость состава отдела

 Несправедливое распределение заработной платы, премий

 Неудовлетворительно распределение отпусков

 Неудовлетворительное обеспечение техникой и материалами

 Невозможность карьерного роста

 Другое ____________________________________________

. Имеются ли, по Вашему мнению, в Вашем коллективе внутренние резервы для повышения эффективности труда?

 Безусловно имеются и значительные________________

 Возможно имеются незначительные ________________

 Все резервы использованы _______________________

 Затрудняюсь ответить _______________________

. В чем конкретно Вы видите неиспользованные резервы

 В организации труда персонала

 В не использовании инициативы и творческого потенциала сотрудников

 В отсутствии у сотрудников творческой инициативы

 В качестве страховых услуг

 В стиле и методах управления персоналом

 Другое ______________________________________________

. Постарайтесь, как можно объективнее оценить уровень своей квалификации?

 Высокий

 Достаточный для работы в нынешней должности

 Пока недостаточный

. Владеете ли Вы какой-либо другой специальностью кроме своей основной?

 Да

 Нет

. Насколько зависит результативность и качество Вашей работы от взаимодействия с другими подразделениями компании?

 Полностью

 Частично

 Не зависит

 Затрудняюсь ответить

. Что Вы предложили бы предпринять для более результативного сотрудничества

________________________________________________________________________________________________________________________________________________________________________________________________________________________________________________________________________

23. Удовлетворены ли Вы своей работой?

 Удовлетворен

 Не удовлетворен

 Затрудняюсь ответить

. Дополнительные предложения!

 мне нравится работать в Компании, потому что

________________________________________________________________________________________________________________________________________________________________________________________________________________________________________________________________________

 Мне не нравится работать в Компании, потому что

__________________________________________________________________

__________________________________________________________________

Мы благодарим Вас за помощь в нашей работе!

Приложение Ж

 

Анкета мотивации персонала

АНКЕТА

Просим Вас ответить на ряд вопросов, касающихся Вашей работы. Сопоставление Ваших ответов с мнениями других сотрудников позволит сделать правильные выводы об организации Вашего труда и его оплаты. Но это, конечно, зависит от искренности, точности и полноты Ваших ответов. Мы просим иметь в виду, что мнение каждого отдельного человека не будет оглашено.

Ваши возможные ответы в большинстве случаев напечатаны в анкете. Нужно выделить те пункты, которые выражают Ваше мнение. Если ответ не напечатан или если ни один из напечатанных ответов Вас не устраивает, напишите ответ сами. Прежде чем отвечать на вопрос, внимательно прочтите все варианты возможных ответов.

. Определите, пожалуйста, в какой мере Вас удовлетворяют различные стороны Вашей работы (соответствующий квадрат зачеркните крестом).

В какой мере Вы удовлетворены

Удовлет- ворен

Скорее удовлетворен, чем не удовлетворен

Затрудняюсь ответить

Скорее не удовлетворен, чем удовлетворен

Не удовлетворен


1

2

3

4

5

1. Размер заработка






2. Режим работы






3. Разнообразие работы






4. Необходимость решения новых проблем






5. Самостоятельность в работе






6. Соответствие работы личным способностям






7. Возможность должностного продвижения






8. Санитарно-гигиенические условия






9. Уровень организации труда






10. Отношения с коллегами






11. Отношения с непосредственным руководителем






12. Уровень технической оснащенности






13. Возможности решения жилищно-бытовых проблем







. Следующий вопрос построен с помощью линейной шкалы. Отметьте, пожалуйста, по шкале в какой степени Вы удовлетворены своим трудом (в процентах). Для этого необходимо обвести соответствующую цифру кружком.

Работой совершенно не удовлетворен

0

10

20

30

40

50

60

70

80

90

100

Работой полностью удовлетворен















1

2

3

4

5

6

7

8

9

10

'11



. Каковы Ваши планы на ближайшие 1-2 года (ответ подчеркнуть)?

·              продолжать работать на прежней должности;

·              перейти на следующую должность;

·              перейти работать в другое структурное подразделение;

·              перейти работать в другую организацию без смены специальности;

·              перейти работать в другую организацию со сменой специальности;

·              что еще (напишите).

4. В какой степени и как действуют на Вашу трудовую активность следующие факторы (зачеркните необходимый квадрат)?


Совершенно не действует

Действует незначительно

Действует существенно

Действует очень существенно



Снижает

Повышает

Снижает

Повышает

Снижает

Повышает

1. Материальное стимулирование








2. Моральное стимулирование








З. Меры административного воздействия








4. Трудовой настрой коллектива








5. Экономические нововведения в компании








6. Общая социально-экономическая ситуация в стране








7. Боязнь потерять работу








8. Элементы состязательности









. Считаете ли Вы, что экономические нововведения способствуют повышению эффективности работы подразделения (подчеркните)?

o     Да

o     Нет

o     Затрудняюсь ответить.

6. Заставляет ли Вас сложившаяся социально-экономическая ситуация в стране искать дополнительные источники дохода (подчеркните)?

o     Да

o     Нет

o     Затрудняюсь ответить

7. Выберите, пожалуйста, из перечисленных ниже характеристик работы 5 самых важных для Вас. Напротив самой важной для Вас характеристики поставьте цифру 1, менее важной 2, затем 3, 4,5.

Характеристика работы

Балл

1. Обеспеченность оргтехникой


2. Возможность профессионального роста


3. Возможность должностного продвижения


4. Разнообразие работы


5. Сложность работы


6. Высокая заработная плата


7. Самостоятельность в выполнении работ


8. Престиж профессии


9. Благоприятные условия труда


10. Низкая напряженность труда


11. Благоприятный психологический климат


12. Возможность общения в процессе работы


13. Возможность улучшить свои жилищно-бытовые условия


14. Участие в управлении компанией



. Оцените, пожалуйста, с помощью линейной школы уровень Вашей трудовой активности в % (обведите соответствующую цифру).

Крайне низкий уровень трудовой активности и самоотдачи

0

10

20

30

40

50

60

70

80

90

100

Высокий уровень трудовой активности и самоотдачи















1

2

3

4

5

6

7

8

9

10

11



. Напишите, пожалуйста, что могло бы содействовать повышению Вашей трудовой активности

_________________________________________________________________

10. Испытываете ли Вы беспокойство, связанное с перспективой потерять работу (подчеркните)?

·              Да

·              Нет

·              Затрудняюсь ответить.

11. Ваша должность________________________________

. Пол (подчеркните):

o     мужской

o     женский

13. Возраст (подчеркните):

o     20 - 30 лет;

o     31 - 40 лет;

o     41 - 50 лет;

o     51 - 60 лет.

14. Образование (подчеркните):

o     Среднее специальное;

o     Незаконченное высшее;

o     Высшее.

15. Стаж работы:

общий

___________________________________________________________

по специальности

_____________________________________________________________

16. Ваша среднемесячная заработная плата (за последние 2 месяца)

________

. Размер премии, надбавок, полученных Вами:

в прошлом году______________________________________

в текущем году ______________________________________

Мы благодарим Вас за помощь в нашей работе.

Похожие работы на - Исследование коллектива на примере ОАО 'Свердловский завод гипсовых изделий'

 

Не нашли материал для своей работы?
Поможем написать уникальную работу
Без плагиата!
Без нейросетей!