Оценка состояния дел в области управления финансовыми ресурсами ОАО 'Fercom'
Введение
В условиях рыночной экономики устойчивость и
успех любому хозяйствующему субъекту (предприятию, акционерному обществу,
товариществу и т.п.) может обеспечить только эффективное управление движением
финансовых ресурсов. Капитал должен приносить доход, иначе хозяйствующий
субъект может утратить свою устойчивость на рынке. Чтобы рационально управлять
движением финансовых ресурсов, необходимо знать методологию и методику
финансового менеджмента и овладеть умением принятия решений на практике.
Целью данной курсовой работы является проведение
расчетных и аналитических процедур для оценки состояния дел в области
управления финансовыми ресурсами ОАО «FERCOM». В ее рамках решаются следующие
задачи:
проведение экспресс-анализа финансового
состояния, оценка влияния различных факторов на рентабельность собственного
капитала;
оценка на основе операционного анализа состояния
производственной деятельности, предпринимательскиго риска предприятия;
составление отчета о движении денежных средств
предприятия;
выбор источники финансирования;
оценка эффективности инвестиционного проекта.
ОАО «FERCOM» - одна из крупнейших
энергетических компаний в мире <#"521691.files/image001.gif">
Рис. 1 - Динамика показателей
финансовой устойчивости
Чем выше уровень финансовой
независимости, тем устойчивее финансовое положение предприятия. В нашем случае
в течение отчетного периода коэффициент финансовой автономии предприятия
снизился всего лишь на 0,001% и в конце отчетного периода на каждый рубль
собственных средств предприятия приходилось 0,265 рубля привлеченных средств.
Это подтверждает достаточно высокий уровень финансовой устойчивости
предприятия.
В то же время данное предприятие
отличается низким уровнем маневренности собственного капитала. Обусловлено это
высокой долей собственных средств (79%) в структуре пассивов предприятия.
Положительным моментом является увеличение значения данного коэффициента в динамике
(23%). Это произошла за счет увеличения собственных средств предприятия (5,2%),
долгосрочных обязательств (6,3%) и уменьшения внеоборотных активов предприятия.
Рис. 2 - Структура пассива баланса
Для предприятия очень важно найти
оптимальное соотношение коэффициента финансовой автономии и коэффициента
маневренности собственного капитала или, иными словами, соотношение собственного
и заемного капитала.
1.2 Оценка ликвидности
Ликвидность баланса выражается в
степени покрытия обязательств предприятия его активами, срок превращения
которых в деньги соответствует сроку погашения обязательств. Для анализа
ликвидности баланса статьи актива группируются по степени убывания ликвидности,
статья пассива - по степени увеличения срочности погашения, проверяется степень
их соответствия.
Таблица 2 - Степени соответствия
|
Активы
по степени ликвидности
|
Соотношение
|
Пассивы
по сроку погашения
|
|
1
|
4
|
5
|
|
А1.
Высоколиквидные активы (ден. средства + краткосрочные фин. вложения)
|
>
|
П1.
Наиболее срочные обязательства (привлеченные средства) (текущ. кред. задолж.)
|
|
А2.
Быстрореализуемые активы (краткосрочная деб. задолженность)
|
>
|
П2.
Среднесрочные обязательства (краткосроч. кредиты и займы)
|
|
А3.
Медленно реализуемые активы (долгосроч. деб. задол. + прочие оборот.активы)
|
>
|
П3.
Долгосрочные обязательства
|
|
А4.
Труднореализуемые активы (внеоборотные активы)
|
<
|
П4.
Постоянные пассивы (собственный капитал)
|
В таблице 3 приведен анализ ликвидности баланса
ОАО «FERCOM» за 2010 год.
Таблица3 - Группировка статей баланса для
анализа ликвидности
|
Шифр
|
Наименование
|
Содержание
|
Алгоритм
расчета по строкам баланса
|
На
начало года
|
На
конец года
|
|
|
|
|
|
|
|
А1
|
наиболее
ликвидные активы
|
Денежные
средства и КФВ
|
260
+ 250
|
120
383 837
|
227
909 805
|
|
А2
|
быстро
реализуемые активы
|
Дебиторская
задолженность и прочие активы
|
230
+ 240 +270+215
|
1
431 738 509
|
1
853 833 026
|
|
|
|
|
|
|
|
А3
|
медленно
реализуемые активы
|
Запасы
и затраты
|
140
+ 210 + 220 -215-216
|
1
878 673 143
|
1
781 379 004
|
|
|
|
|
|
|
|
А4
|
трудно
реализуемые активы
|
Внеоборотные
активы
|
190
- 140
|
3
993 558 468
|
3
953 870 424
|
|
П1
|
самые
срочные пассивы
|
Кредиторская
задолженность
|
620
|
299
019 434
|
502
161 023
|
|
П2
|
краткосрочные
пассивы
|
Краткосрочные
кредиты и займы
|
610
+ 660
|
163
293 623
|
129
891 126
|
|
П3
|
долгосрочные
пассивы
|
Долгосрочные
кредиты и заемные средства
|
590
|
1
071 208 718
|
1
003 898 769
|
|
|
|
|
|
|
|
П4
|
постоянные
пассивы
|
Капитал
и резервы
|
490
+ 630 + 640 +650-216
|
5
897 822 735
|
6
190 452 566
|
|
|
|
|
|
|
Таблица 4 - Балансовые пропорции
|
Покрытие
|
Обязательства
|
Излишек
|
Недостаток
|
|
(Актив
Аit)
|
(Пассив
Пit)
|
|
|
|
на
начало года
|
на
конец года
|
на
начало года
|
на
конец года
|
на
начало года
|
на
конец года
|
на
начало года
|
на
конец года
|
|
120
383 837
|
227
909 805
|
299
019 434
|
502
161 023
|
х
|
х
|
-178
635 597
|
-274
251 218
|
|
1
431 738 509
|
1
853 833 026
|
163
293 623
|
129
891 126
|
1
268 444 886
|
1
723 941 900
|
х
|
х
|
|
1
878 673 143
|
1
781 379 004
|
1
071 208 718
|
1
003 898 769
|
807
464 425
|
777
480 235
|
х
|
х
|
|
3
993 558 468
|
3
953 870 424
|
5
897 822 735
|
6
190 452 566
|
х
|
х
|
-1
904 264 267
|
-2
236 582 142
|
Баланс предприятия считается
абсолютно ликвидным, если соблюдаются условия: А1>П1, А2>П2; А3>П3,
А4<П4. Если хотя бы одно из данных условий не достигается, то ликвидность
баланса в большей или меньшей мере отличается от абсолютной.
По данным расчетов для ОАО «FERCOM»
видно, что ликвидность баланса не может быть признана удовлетворительной, так
как не соблюдается условие (условие 1 -А1<П1), описанное выше. Это значит,
что денежные средства предприятия и краткосрочные финансовые вложения не
покрывают кредиторской задолженности предприятия и без совершения
дополнительных операций организация не сможет покрыть свои срочные
обязательства. Но поскольку быстрореализуемые активы превышают среднесрочные
обязательства на 1 723 941 900 тыс. руб., этой разницы должно хватить для
покрытия и недостатка в высоколиквидных для покрытия срочных и обязательств.
Поэтому ОАО «FERCOM» надо усилить работу по возврату долгов за поставленный
газ.
Ликвидность предприятия определяется
с помощью следующих коэффициентов, позволяющих определить способность
предприятия оплатить свои краткосрочные обязательства в течении отчетного
периода.
) Коэффициент абсолютной ликвидности
показывает,
какая часть текущей задолженности может быть погашена в ближайшее к моменту
составлению баланса время.
) Коэффициент быстрой ликвидности (
) показывает,в какой степени все
текущие финансовые обязательства могут быть удовлетворены за счет
высоколиквидных активов.
) Коэффициент текущей
ликвидности(коэффициент покрытия) (
) показывает, в какой степени
оборотные (текущие) активы покрывают краткосрочные обязательства:
Таблица 5 - Показатели
платежеспособности предприятия
|
Наименование
показателя
|
Обозначение
|
Алгоритм
расчета по строкам баланса
|
На
начало года
|
На
конец года
|
Темп
роста
|
|
1.
Коэффициент абсолютной (срочной) ликвидности
|
Кал
|
с.250
+ с.260/с.610+ с.620+с.630+с.650+с.660
|
0,25
|
0,36
|
143,4%
|
|
2.
Коэффициент быстрой ликвидности
|
Кбл
|
с.290-с.210-с.220-с.230/с.610+с.620+с.630+с.650+с.600
|
2,05
|
2,17
|
105,8%
|
|
3.
Коэффициент текущей ликвидности
|
Ктл
|
с.290-с.230/с.610+с.620+с.630+с.650+с.660
|
2,59
|
2,60
|
100,4%
|
|
4.
Коэффициент утраты платежеспособности
|
Куп
|
|
1,28
|
1,30
|
101,9%
|
Рис. 3 - Динамика коэффициентов
ликвидности
На 31.12.2010 г. коэффициент текущей
ликвидности имеет значение, выше нормы (3,69 при нормативном значении от 1 до
2). За год коэффициент снизился на 1,5%. Это говорит о большом объеме оборотных
активов, в сравнении с краткосрочными обязательствами, следует увеличить объем
краткосрочных обязательств.
Значение коэффициента быстрой
(промежуточной) ликвидности выше нормы - 2,17 (при норме от 0,4 до 0,8), это
говорит о наличии у ОАО "FERCOM" большой дебиторской задолженности, о
чем говорилось ранее.
При норме 0,2 и более значение
коэффициента абсолютной ликвидности составило 0,36. Следует отметить, что за
последний год коэффициент увеличился на 43,4% за счет значительного увеличения
денежных средств в сравнении с 2009 годом на 52,8%.
Таким образом, по данным таблицы 5,
можно заключить, что предприятие по всем показателям ликвидности является
платежеспособным.
Так как структура баланса по
приведенным показателям ликвидности признается удовлетворительной (коэффициент
текущей ликвидности находится в пределах нормы), рассчитывается коэффициент
утраты платежеспособности за период, равный 3 месяцам:
, (9)
где
- период утраты платежеспособности,
в мес.
- коэффициент текущей ликвидности на
конец периода;
- коэффициент текущей ликвидности на
начало периода;
-отчетный период в месяцах (12),
т.к. годовой бухгалтерский баланс.
Если
, то у предприятия есть реальная
возможность сохранить ликвидность баланса в течение трех месяцев. В нашем
случае коэффициент утраты платежеспособности составил 1,30 на конец года -
платежеспособность предприятия с начала года увеличилась на 0,019, и имеет
значение, превышающее 1.
Таким образом, платежеспособность
ОАО «FERCOM» указывает на возможность хозяйствующего субъекта наличными
денежными ресурсами своевременно погасить свои платежные обязательства.
1.3 Оценка оборачиваемости
Показатели оборачиваемости (деловой
активности) позволяют проанализировать, насколько эффективно предприятие
использует свои средства. Помимо этого, показатели оборачиваемости занимают
важное место в управлении финансами, поскольку скорость оборота средств, то
есть скорость превращения их в денежную форму оказывает непосредственное
влияние на платежеспособность предприятия. Кроме того, увеличение скорости
оборота при прочих равных условиях способствует повышению производственного
потенциала предприятия. При оценке оборачиваемости средств рассчитываются
следующие показатели.
) Коэффициент оборачиваемости
активов (трансформации) (КОа) характеризует эффективность использования
предприятием имеющихся ресурсов, то есть показывает, сколько раз в год
совершается полный цикл производства и обращения, приносящий соответствующий
эффект в виде прибыли.
) Период обращения
товарно-материальных запасов (ПОз) - средняя продолжительность времени,
необходимая для превращения сырья в готовую продукцию и ее реализацию.
) Период обращения дебиторской
задолженности (ПОдз) - среднее количество дней необходимое для превращения
дебиторской задолженности в денежные средства стильных запасов обходимая для
превращения сырья в готовую продукцию и ее реализацию.
) Период оборачиваемости
собственного капитала (ПОск) - рассчитывается по формуле стильных запасов
обходимая для превращения сырья в готовую продукцию и ее реализацию.
Характеристика данных показателей,
определяющих интенсивность использования производственных ресурсов,
представлена в таблице.
Таблица 6 - Динамика показателей
интенсивности использования производственных ресурсов
|
Наименование
показателя
|
Обозначение,
формула расчета
|
Базисный
год (2009 г.)
|
Отчетный
год (2010 г.)
|
Изменения
( +, -)
|
Темп
роста (ТРi ), %
|
|
|
|
|
|
|
|
Выручка
от реализации продукции, работ, услуг, тыс.руб.
|
В
|
2
486 940 618
|
2
879 390 342
|
392
449 724
|
115,8%
|
|
Среднегодовая
величина активов
|
Аср
|
1
708 709 066
|
2
084 268 073
|
375
559 007
|
122,0%
|
|
Среднегодовая
величина товарно-материальных запасов, тыс.руб.
|
Зср
|
206
676 104
|
231
162 538
|
24
486 435
|
111,8%
|
|
Средненгодовая
величина дебиторской задолженности, тыс.руб.
|
ДЗср
|
325
989 895
|
230
169 194
|
-95
820 701
|
70,6%
|
|
Себестоимость
реализованной продукции, тыс.руб.
|
Срп
|
1
236 340 473
|
1
250 746 262
|
14
405 789
|
101,2%
|
|
Среднегодовая
величина собственного капитала, руб./руб.
|
СКср
|
5
881 094 002
|
6
189 150 344
|
308
056 342
|
105,2%
|
|
Коэффициент
оборачиваемости активов
|
Коа=В/Аср
|
1,46
|
1,38
|
-0,07
|
94,9%
|
|
Период
обращения товарно-материальных запасов, дней
|
Поз=360*Зср/Срп
|
60,18
|
66,54
|
6,35
|
110,6%
|
|
Период
обращения дебиторской задолженности, дней
|
ПОдз=360*ДЗср/В
|
47,19
|
28,78
|
-18,41
|
61,0%
|
|
Период
оборачиваемости собственного капитала, дней
|
ПОск=360*СКср/В
|
851,32
|
773,81
|
-77,52
|
90,9%
|
Рис. 4 - Динамика показателей оборачиваемости
Выручка от реализации продукции увеличилась за
2010 год на 392 449 724 тыс.руб. За период произошло снижение коэффициента
оборачиваемости на 5,1% за счет увеличения среднегодовой величины активов в
сравнении с 2009 годом на 375 559 007 тыс. руб или на 22%, при этом выручка
выросла лишь на 15,8%.
Рост периода обращения товарно-материальных
запасов увеличился на 6,35 дня и составил 10,6% и имеет неблагоприятное
значение. Это произошла за счет существенного увеличения товарно-материальных
запасов (11,8%), увеличения себестоимости реализованной продукции было
незначительно (1,2%). Для его снижения нужно повысить эффективность
снабженческо-заготовительной деятельности, ускорить обслуживание запросов
производства.
Период обращения дебиторской задолженности
уменьшился на 18,41 (39%) дня, за счет уменьшения почти на треть (29,4%) суммы
среднегодовой дебиторской задолженности к этому привели существенные задержки
оплаты поставок природного газа за 2009 год в связи с мировым кризисом.
Период оборачиваемости собственного капитала
уменьшился на 77,52 дня (9,1%).
1.4 Оценка рентабельности
Рентабельность - это относительный показатель,
характеризующий уровень доходности предприятия, величина которого показывает
соотношение результата к затратам. Рентабельность - интегральный показатель,
который за счет влияния большого числа факторов, дает достаточно полную
характеристику деятельности предприятия.
Коэффициенты рентабельности (прибыльности) характеризуют
способность предприятия генерировать необходимую прибыль в процессе своей
хозяйственной деятельности, и определяет общую эффективность имущества
предприятия и вложенного капитала [3].
) Рентабельность активов (Ра) предприятия
характеризует уровень чистой прибыли, находящейся в использовании предприятия
стильных запасов обходимая для превращения сырья в готовую продукцию и ее
реализацию.
) Рентабельность продаж (Рпр) характеризует
прибыльность производственной деятельности предприятия стильных запасов
обходимая для превращения сырья в готовую продукцию и ее реализацию.
) Рентабельность продукции (Рп) характеризует
уровень прибыли, полученной на единицу себестоимости продукции стильных запасов
обходимая для превращения сырья в готовую продукцию и ее реализацию.
) Рентабельность собственного капитала (РСК)
характеризует уровень прибыли, полученной на единицу себестоимости продукции
стильных запасов обходимая для превращения сырья в готовую продукцию и ее
реализацию.
Таблица 7 - Динамика показателей эффективности
имущества предприятия и вложенного капитала
|
Наименование
показателя
|
Обозначение,
формула расчета
|
Значение
|
Изменение
|
|
|
На
начало года
|
На
конец года
|
Абсолютное
|
Относительное
|
|
Данные
для расчета
|
|
Размер
чистой прибыли, тыс.руб.
|
ЧП,
Ф№2 ст.190
|
624
613 273
|
364
577 256
|
-260
036 017
|
58,37
|
|
Среднегодовая
величина активов, тыс.руб.
|
Аср,
Ф№1 (ст.290н+ст.290к)/2
|
1
708 709 066
|
2
084 268 073
|
375
559 007
|
121,98
|
|
Выручка
от реализации продукции, работ, услуг, тыс.руб.
|
В,
Ф№2 ст.10
|
2
486 940 618
|
2
879 390 342
|
392
449 724
|
115,78
|
|
Себестоимость
реализованной продукции, тыс.руб.
|
Срп,
Ф№2 ст.20
|
1
236 340 473
|
1
250 746 262
|
14
405 789
|
101,17
|
|
Среднегодовая
величина собственного капитала, руб./руб.
|
СКср,
Ф№1 (ст.490н+ст.490к)/2
|
5090644015
|
6
035 122 173
|
944
478 158
|
118,55
|
|
Коэффицикнты
рентабильности
|
|
Рентабильность
активов
|
Ра=ЧП/Аср
|
0,37
|
0,17
|
-0,19
|
47,85
|
|
Рентабильность
продаж
|
Рпр=ЧП/В
|
0,25
|
0,13
|
-0,12
|
50,41
|
|
Рентабильность
продукции
|
Рп=ЧП/Срп
|
0,51
|
0,29
|
-0,21
|
57,70
|
|
Рентабильность
собственного капитала
|
РСК=ЧП/СКср
|
0,12
|
0,06
|
-0,06
|
49,23
|
Рис. 5 - Динамика показателей
рентабельности
Для оценки влияния отдельных
факторов на рентабельность собственного капитала используется факторная модель.
Проанализируем эту модель методом
абсолютных разниц таблица 8.
Таблица 8 - расчет влияния факторов
на рентабельность собственного капитала
|
Факторы
|
Базисный
период
|
Отчетный
период
|
Влияние
∆РСКi
|
|
Рентабильность
продаж
|
0,251
|
0,127
|
-0,125
|
-0,061
|
|
Ресурсоотдача
|
1,455
|
1,381
|
-0,074
|
-0,003
|
|
Мультипликатор
СК
|
0,336
|
0,345
|
0,010
|
0,002
|
|
Рентабильность
собственного капитала
|
0,123
|
0,060
|
-0,062
|
х
|
Рентабельность собственного капитала
за отчетный период уменьшилась на 0,062 в том числе по факторам: за счет
значительного снижения рентабельности продаж на 0,061 и ресурсоотдачи на 0,003,
несущественного увеличения на 0,02 мультипликатора собственного капитала.
Снижение рентабельности продаж произошло за счет снижения чистой прибыли на 58%
в основном за счет уменьшение прочих доходов, к этому могло привести списание
большой задолженности с истекшим сроком давности и прошедшей инвентаризацией
прошедшей в 2009 году.
ОАО «FERCOM» имеет низкий уровень
маневренности собственного капитала. Это обусловлено высокой долей собственных
средств в структуре пассивов. Положительным является увеличение данного
коэффициента в динамике (23%). Для того чтобы предприятие было абсолютно
финансово устойчивым необходимо привлечение дополнительных средств в виде
долгосрочных займов и кредитов.
Ликвидность баланса не может быть
признана удовлетворительной, так как не соблюдается условие (условие 1
-А1<П1), описанное выше. Это значит, что денежные средства предприятия и
краткосрочные финансовые вложения не покрывают кредиторской задолженности
предприятия и без совершения дополнительных операций организация не сможет
покрыть свои срочные обязательства. Но поскольку быстрореализуемые активы
превышают среднесрочные обязательства на 1 723 941 900 тыс. руб., этой разницы
должно хватить для покрытия и недостатка в высоколиквидных для покрытия срочных
и обязательств. Поэтому ОАО «FERCOM» надо усилить работу по возврату долгов за
поставленный газ.
Коэффициент текущей ликвидности
имеет значение, выше нормы. Это говорит о большом объеме оборотных активов, в
сравнении с краткосрочными обязательствами, следует увеличить объем
краткосрочных финансовых вложений.
Значение коэффициента быстрой
(промежуточной) ликвидности также выше, это говорит о наличии у ОАО
"FERCOM" большой дебиторской задолженности, о чем говорилось ранее.
Значение коэффициента утраты
платежеспособности составило 1,3, таким образом, платежеспособность ОАО
«FERCOM» указывает о возможности наличными денежными средствами своевременно
погасить свои платежные обязательства.
При оценке оборачиваемости
обнаружилось, что рост периода обращения товарно-материальных запасов
увеличился на 6,35 дня (10,6%). Это произошла за счет существенного увеличения
товарно-материальных запасов (11,8%). Для снижения запасов нужно повысить
эффективность снабженческо-заготовительной деятельности, ускорить обслуживание
запросов производства.
Рентабельность собственного капитала
за отчетный период уменьшилась, в основном за счет значительного снижения
рентабельности продаж. Снижение рентабельности продаж произошло за счет
снижения чистой прибыли на 58% в основном за счет уменьшение прочих доходов, к
этому могло привести списание большой задолженности с истекшим сроком давности
и прошедшей инвентаризацией прошедшей в 2009 году.
2. Операционный анализ
В рамках операционного анализа
первоначально проводится анализ точки безубыточности, который позволяет
вычислить такую сумму продаж, при которой выручка, поступающая на предприятие,
равна расходам, относимым на себестоимость продукции.
Расчет порога рентабельности, запаса
финансовой прочности и силы воздействия операционного рычага предприятия
осуществляется по алгоритму табл.9
Таблица 9 - Расчет запаса финансовой
прочности предприятия
|
Показатель
|
Обозначение,
формула расчета
|
Базисный
год
|
Отчетный
год
|
Изменение
(+,-)
|
|
|
|
|
|
|
Выручка
от реализации
|
В
|
2
486 940 618
|
2
879 390 342
|
392
449 724,0
|
|
Себестоимость,
в т.ч.:
|
С
|
1
236 340 473
|
1
250 746 262
|
14
405 789,0
|
|
-
переменные издержки
|
Ипер=С-Ип
|
539
009 237
|
444
459 243
|
-94
549 994,0
|
|
-
постоянные издержки
|
Ип=КР+УР(коммерческие
расходы+управленческие расходы)
|
697
331 236
|
806
287 019
|
108
955 783,0
|
|
Прибыль
|
П
= В - С
|
1
250 600 145,0
|
1
628 644 080,0
|
378
043 935,0
|
|
Валовая
маржа (маржинальная прибыль)
|
ВМ
= В - Ипер = П + Ип
|
1
947 931 381,0
|
2
434 931 099,0
|
486
999 718,0
|
|
Коэффициент
валовой маржи (ценовой коэффициент)
|
КВМ
= ВМ/В
|
0,7833
|
0,8456
|
0,0624
|
|
Порог
рентабильности
|
ТБ
= Ип/ КВМ
|
890
288 740,1
|
953
462 320,3
|
63
173 580,2
|
|
Запас
финансовой прочности, тыс.руб.
|
ЗФП
= В - ТБ
|
1
596 651 877,9
|
1
925 928 021,7
|
329
276 144
|
|
Запас
финансовой прочности, %
|
ЗФП%
= ЗФП/В∙100%
|
64,2%
|
66,9%
|
2,7%
|
|
Прибыль
|
П=ЗФП*Квм
|
1
250 600 145
|
1
628 644 080
|
378
043 935
|
|
Сила
воздействия операционного рычага
|
СВОР
= ВМ/П
|
1,558
|
1,495
|
-0,063
|
Рис. 6 - Графическое представление
порога рентабельности
Исходя из проведенного операционного
анализа, можно утверждать, что порог рентабельности (точка безубыточности) ОАО
«FERCOM» увеличился на 63 173,58 млн. руб. и составил в 2010 г. 953 462,32 млн.
руб.
Увеличение доли маржинального дохода
привело к увеличению запаса финансовой прочности с 1 596 651,88 в 2009 г. до 1
925 928, 02 в 2010 г.
Сила воздействия операционного
рычага уменьшилась с 1,558 до 1,495, что опять-таки связано с увеличением
удельного веса условно-постоянных затрат в структуре издержек предприятия.
Значение операционного рычага в
1,558 означает, что изменение объема продаж предприятия будет приводить к
изменению прибыли предприятия в 1,558 раза.
Таким образом, ОАО «FERCOM » имеет
достаточно большой запас финансовой прочности, обеспечивающий покрытие
постоянных издержек предприятия и создающий минимальный предпринимательский
риск. Большое значение операционного рычага в сочетании с достаточно большим запасом
финансовой прочности позволяет эффективно воздействовать на прибыль
предприятия.
3. Отчет о движении денежных средств
Отчет о движении денежных средств
(ДС) - это документ финансовой отчетности, в котором отражаются поступления,
расходования и нетто-изменение денежных средств в ходе текущей деятельности
предприятия (хозяйственной, инвестиционной, финансовой) за определенный период.
Перед составлением отчета о движении
ДС формируется таблица, характеризующая величину источников и использование
средств по статьям баланса (таблица 10)
Таблица 10 - Расчет движения
денежных средств по консолидированному балансу
|
Статьи
баланса
|
На
начало года, тыс.руб
|
На
конец года, тыс.руб
|
Изменения
|
|
|
|
Источник
|
Использование
|
|
Нематериальные
активы
|
233
375
|
176
976
|
56
399
|
|
|
Основные
средства
|
3
775 323 711
|
3
621 565 477
|
153
758 234
|
-
|
|
Долгосрочные
финансовые вложения
|
1
636 822 572
|
1
528 589 544
|
108
233 028
|
-
|
|
Незавершенное
строительство
|
162
222 409
|
268
896 216
|
-
|
106
673 807
|
|
Прочие
внеоборотные активы
|
46
826 982
|
51
906 244
|
-
|
5
079 262
|
|
Запасы
|
206
879 907
|
255
445 169
|
-
|
48
565 262
|
|
НДС
|
54
508 068
|
21
189 481
|
33
318 587
|
-
|
|
Дебиторская
задолженность
|
1
429 938 398
|
1
852 257 127
|
-
|
422
318 729
|
|
Денежные
средства
|
61
688 603
|
207
711 746
|
-
|
146
023 143
|
|
Краткосрочные
финансовые вложения
|
58
695 234
|
20
198 059
|
38
497 175
|
-
|
|
Прочие
оборотные активы
|
2
681
|
21
672
|
-
|
18
991
|
|
Всего
активов
|
7
433 141 940
|
7
827 957 711
|
х
|
х
|
|
Собственные
средства
|
5
881 094 002
|
6
189 150 344
|
308
056 342
|
|
|
Долгосрочные
пассивы
|
1
071 208 718
|
1
003 898 769
|
|
67
309 949
|
|
Займы
и кредиты
|
163
293 623
|
129
891 126
|
|
33
402 497
|
|
Краткоссрочные
пассивы, в т.ч.:
|
299
019 434
|
502
161 023
|
203
141 589
|
|
|
-
задолженность поставщикам
|
185
960 714
|
307
451 964
|
121
491 250
|
|
|
-
задолженность бюджету
|
43
084 538
|
41
284 491
|
|
1
800 047
|
|
-
задолженнсоть по зарплате
|
120
419
|
253
725
|
133
306
|
|
|
-
прочие кредиторы
|
69
853 763
|
153
170 843
|
83
317 080
|
|
|
Прочие
пассивы
|
18
526 163
|
2
856 449
|
|
15
669 714
|
|
Всего
пассивов
|
7
433 141 940
|
7
827 957 711
|
х
|
х
|
|
Всего
изменения
|
х
|
х
|
845
061 354
|
845
061 354
|
На протяжении анализируемого периода чистый
оборотный капитал компании увеличился на 391 040 985 тыс.руб. Данный факт
свидетельствует о том, что все в меньшей степени оборотные активы компании
финансируются за счет краткосрочных заемных средств. Таким образом, можно
говорить о повышении финансовой устойчивости компании.
В конце 2010 года общая стоимость имущества
компании составила 7 433 141 940 тыс. руб. В рассматриваемом периоде она
оставалась практически без изменений.
Доля постоянных активов в общей стоимости
имущества компании была на уровне 70%. Подобное соотношение внеоборотных и
текущих активов характерно для производственных предприятий, где высока
значимость основных производственных фондов. Этот же вывод подтверждает анализ
структуры постоянных активов. Здесь львиную долю занимают основные средства, на
них приходится более 66% всей постоянной части имущества.
Оборотные активы ОАО "FERCOM" на 23%
состоят из дебиторской задолженности, в сравнении с 2009 годом они увеличилась
на 422 318 729 тыс.руб. Ее величина за 2010 год 1 852 257 127 тыс.руб. и
составляет 64% выручки от реализации, полученной в данном году. Таким образом,
большая часть выручки от реализации продукции предприятия сосредоточена в
дебиторской задолженности. Это дает основание предположить, что продукция
отгружалась неплатежеспособным клиентам, т.е. задерживалась оплата за поставки
газа.
У компании статья баланса "Готовая
продукция" равна всего 3,14% от общей суммы оборотных активов, что говорит
о том, что продукция данного предприятия пользуется спросом.
Анализ структуры пассивов показывает, что
компания практически на 79% осуществляет производственную деятельность за счет
собственных средств и за рассматриваемый период осталась практически
неизменной. Эта говорит о финансовой устойчивости и стабильности Общества.
Инвестированный капитал включает в себя
собственный капитал и долгосрочные обязательства компании. Долгосрочные
обязательства для целей анализа приравниваются к собственному капиталу с точки
зрения возможности их "безопасного" использования в течение
длительного срока.
В течение анализируемого периода доля
привлеченных долгосрочных источников уменьшилась на 1% и стала 13%. Поэтому
большую часть инвестированного капитала ОАО "FERCOM" составляют
собственные средства.
Удельный вес собственного капитала характеризует
предприятие как финансово устойчивое, с точки зрения наличия резерва покрытия
задолженности, при убытках.
На конец 2010 г. основными статьями текущих
пассивов являлись задолженность перед поставщиками (48%) и задолженность перед
бюджетом (13%)., задолженность по зарплате (0,62%) В связи с этим можно
предположить, что для финансирования текущей деятельности ОАО
"FERCOM" не прибегало к такой вынужденной мере, как увеличение
задолженности перед персоналом по заработной плате и перед бюджетом по платежам
налогов и отчислений.
Построение денежных потоков (таблица №11) было
проведено косвенным методом на основе балансовых отчетов и отчетов о финансовых
результатах. В ходе анализа денежных потоков определено, что основная
деятельность предприятия являлась главным источником денежных поступлений. На
анализируемом промежутке времени поток денежных средств по операционной
деятельности является положительным, в основном за счет притока
нераспределенной прибыли 2 292 965 777 тыс.руб., т.е предприятие работала
стабильно.
Движение денежных средств, связанное с
изменением постоянных активов компании, тоже положительное. За счет сокращения
основных средств и долгосрочных финансовых вложений приток наличности от
инвестиционной деятельности превысил отток на 150 294 592тыс. руб. Сокращение
основных средств говорит о недостаточном их обновлении, не было закуплено
достаточное количества нового оборудования, было введено мало строительных
объектов и т.д.
Таблица 11 - Отчет о движении денежных средств
|
Наименование
показателя
|
Приток
ДС, тыс.руб
|
Отток
ДС, тыс.руб
|
Изменение,
в % к итогу
|
|
|
|
|
|
Движение
ДС от текущей деятельности
|
|
|
|
|
Чистая
прибыль
|
2
292 696 631
|
|
1
570,09
|
|
Амортизационные
отчисления
|
269
146
|
|
|
|
Изменение
суммы текущих активов(-)
|
399
087 220
|
|
|
|
Краткосрочные
финансовые вложения
|
38
497 175
|
|
26,36
|
|
Дебиторская
задолженность
|
|
422
318 729
|
-289,21
|
|
НДС
по приобретенным ценностям
|
33
318 587
|
|
22,82
|
|
Запасы
|
|
48
565 262
|
-33,26
|
|
Прочие
текущие активы
|
|
18
991
|
-0,01
|
|
Изменение
суммы текущих обязательств(+)
|
187
183 613
|
|
|
|
Кредиторская
задолженность
|
203
141 589
|
|
128,19
|
|
Прочие
текущие обязательства
|
0
|
15
957 976
|
-10,93
|
|
Денежные
средства по основной деятельности
|
2
081 062 170
|
1
414,05
|
|
Движение
ДС от инвестиционной деятельности
|
|
|
|
|
Изменение
суммы долгосрочных активов (-)
|
-150
294 592
|
|
|
|
Нематеиальные
активы
|
56
399
|
|
0,04
|
|
Основные
средства
|
153
758 234
|
|
105,30
|
|
Незавершенные
капитальные вложения
|
|
106
673 807
|
-73,05
|
|
Долгосрочные
финансовые вложения
|
108
233 028
|
|
74,12
|
|
Прочие
внеоборотные активы
|
|
5
079 262
|
-3,48
|
|
Денежные
средства по инвестиционной деятельности
|
150
294 592
|
102,93
|
|
Движение
ДС от финансовой деятельности
|
|
|
|
|
Изменение
суммы задолженности(+)
|
-100
424 184
|
|
|
|
Краткосрочные
кредиты и займы
|
|
33
402 497
|
-22,87
|
|
Долгосрочные
кретидиты и займы
|
|
67
309 949
|
-46,10
|
|
Задолженнсоть
учредителям
|
288
262
|
|
0,20
|
|
Изменение
величины собственных средств(+)
|
-1
984 909 435
|
|
|
|
Уставной
капитал
|
|
0,00
|
|
Добавочный
капитал
|
|
2
381 862
|
-1,63
|
|
Целевые
поступления и резервы
|
0
|
|
0,00
|
|
Нераспределенная
прибыль прошлых лет
|
|
1
982 527 573
|
-1
357,68
|
|
Денежные
средства по финансовой деятельности
|
-2
085 333 619
|
-1
428,08
|
|
Чистый
приток (отток денежных средств)
|
146
023 143
|
88,89
|
|
ДС
на начало периода
|
61
688 603
|
|
|
ДС
на конец периода
|
207
711 746
|
|
Оттоки наличности по финансовой
деятельности превысили притоки на 2 082 951 757 тыс.руб. Основным источником
денежных потоков стала для предприятия нераспределенная прибыль прошлых лет 1
982 527 573 тыс.руб.
Суммарное изменение денежных средств
за 2010 год было положительным, т.е. притоки наличности по всем видам
деятельности превышали оттоки. Денежные средства на счете ОАО увеличились на
146 023 143 тыс.руб.
4. Рациональная заемная политика
предприятия
.1 Определение потребности в дополнительном
финансировании
Предположим, что предприятие в
следующем за отчетным годом планирует увеличить объем реализации на 15%. Чтобы
обеспечить бесперебойную и своевременную отгрузку товара покупателям,
необходимо инвестировать дополнительные средства в складские запасы готовой
продукции и материалов для производства. Для привлечения новых покупателей
понадобится увеличивать количество товара, отгружаемого с отсрочкой платежа, а,
значит, будет расти дебиторская задолженность. Поэтому, для планируемого увеличения
объема реализации потребуются дополнительные средства.
Рассчитаем потребность в
дополнительном финансировании двумя способами:
) При неизменной структуре пассива
темпы прироста оборота применимы к темпам прироста запасов и дебиторской
задолженности, объем дополнительного финансирования будет определяться как
разность этих показателей на конец года с 15%-ым увеличением:
ликвидность
рентабельность заемный политика
ПДФ = 0,15 (З + ДЗ), (19)
Где ПДФ - потребность в
дополнительном финансировании;
З - величина запасов на конец
отчетного года;
ДЗ - величина дебиторской
задолженности на конец отчетного года.
Тогда, ПДФ = 0,15 · (255 445 169+ 1
852 257 127) = 316 155 344 тыс. руб.
) Предположим, что оплата товаров и
услуг от покупателей осуществляется на условиях кредитной политики 40/60/0,
т.е. 40% от объема реализации потребители оплачивают в месяц отгрузки, а 60% -
в последующий месяц.
Выручка от продажи товаров и услуг
не колеблется по месяцам, т.е. сезонность не наблюдается, поэтому увеличение
потребности в дополнительном финансировании за счет увеличения дебиторской
задолженности (ΔПДФ)
рассчитаем по формуле:

, (20)
Где
Впл - планируемая годовая выручка от реализации с 15%-ным увеличением;, d1, d2
- проценты оплаты потребителем товара в месяц отгрузки и последующие два
месяца.
Впл
= 1,15 · 2 879 390 342= 3 311 298 893 тыс. руб.
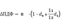
ΔПДФ = 3 311
298 893 · (1 - 0,6 + 11/12 · 0) = 1 986 779 336 тыс. руб.
Теперь
определим потребность в дополнительном финансировании с учетом 15%-го
увеличения денежных средств по формуле:
ПДФ
= (ΔПДФ - ДЗф) +
0,15 · ДС, (21)
гдеΔПДФ -
увеличение потребности в дополнительном финансировании за счет увеличения
дебиторской задолженности;
ДЗф
- величина дебиторской задолженности на конец отчетного года;
ДС
- величина денежных средств на конец отчетного года.
Тогда,
ПДФ
= (1 986 779 336 - 1 852 257 127) + 0,15 · 207 711 746= 155 293 384 тыс. руб.
Рассчитаем
оборачиваемость дебиторской задолженности по формуле (13):
ПОдзпл
= 216 дней.
Фактическая
оборачиваемость дебиторской задолженности в отчетном году составила ПОдзф = 232
дней.
Таким
образом, рассчитанная оборачиваемость не превышает фактическую, т.е.
выполняется условие ПОдзпл ≤ ПОдзф (216 < 232).
В
качестве величины потребности в дополнительном финансировании берем значение
ПДФ, рассчитанное по второму варианту, т.е. 155 293 384 тыс. руб.
Предприятием
также предполагается реализация в среднесрочной перспективе инвестиционного
проекта, для чего также требуется финансирование в размере 35 000 000 тыс. руб.
Таким
образом, общая потребность в дополнительном финансировании на покрытие
финансово-эксплуатационных расходов и реализацию инвестиций составит величину
ПДФобщ
= (ПДФ + К0) = 155 293 384+20 000 = 155 313 384 тыс. руб.
.2
Выбор источников финансирования
Собственные
средства предприятия вносят прямой вклад в финансирование его стратегических
потребностей, и именно от доли собственных средств зависит финансовая
устойчивость предприятия, но заемные средства обязательно должны финансировать
часть производственно-хозяйственной деятельности. Величина заемных средств и их
стоимость должны тщательно анализироваться и использоваться только в том
случае, если их привлечение позволяет получить приращение к рентабельности
собственного капитала. Основными источниками кредитования являются:
кредиторская
задолженность за товары, работы, услуги (торговый кредит);
банковский
кредит;
ценные
бумаги;
факторинг;
финансовый
лизинг.
4.2.1
Торговый кредит
Торговый
кредит является разновидностью краткосрочного кредитования. Он возникает
спонтанно, как результат покупки товара в кредит у организации, которая
придерживается определенной политики, включающей условия кредитования.
Предположим, что условия кредитования следующие: 3/10 брутто 30, т.е.
предоставляется скидка 3%, если оплата осуществляется в течение 10 дней со дня,
обозначенного на счете-фактуре, максимальный срок задержки платежа 30 дней. При
этом неизбежно возникает увеличение кредиторской задолженности, находящейся на
балансе у предприятия.
Торговый
кредит используется предприятием для покупки сырья и материалов, и его
ежегодный размер примем равным стоимости запасов по балансу на конец года.
Определим
ежедневную кредиторскую задолженность предприятия (КЗд) по формуле:

, (22)
Где
КЗг - объем ежегодных закупок в кредит, тыс. руб.;
ПС
- процент скидки, в долях. ед.
КЗд
= 307 451 964 · (1 - 0,03) / 360 = 828 412 тыс. руб.
Теперь
определим размер дополнительного кредита по формуле:
ДК
= КЗд · (То - Тс), (23)
Где
ДК - сумма дополнительного кредита в случае отказа от скидки.
То,
Тс - максимальный срок задержки платежа, соответственно, в случае отказа от
скидки и при использовании скидки, дни.
ДК
= 828 412 · (30 - 10) = 16 564 244 тыс. руб.
Данная
цена отказа от скидки является примерной ставкой процента, уменьшающей
фактическую цену торгового кредита. Более корректно стоимость торгового кредита
с учетом фактора времени определяется как эффективная годовая ставка:
Эффективная
годовая ставка служит одним из критериев выбора источника финансирования.
4.2.2
Банковский кредит
Одним
из источников покрытия денежной потребности является банковский кредит.
Проведем анализ двух вариантов заимствования с различными условиями банковского
кредитования и оценим выгодность для предприятия банковских условий
кредитования путем расчета эффекта финансового рычага (ЭФР).
Действие
финансового рычага заключается в том, что предприятие, использующее заемные
средства, изменяет чистую рентабельность собственных средств и свои дивидендные
возможности. Кроме того, уровень эффекта финансового рычага указывает на
финансовый риск, связанный с предприятием. Поскольку проценты за кредит
относятся к постоянным издержкам, наращивание финансовых расходов по заемным
средствам сопровождается увеличением силы операционного рычага и возрастанием
предпринимательского риска.
Сначала
рассчитывается номинальная сумма кредита (К) по формуле:

, (26)
Где
ПС - потребная сумма;
КО
- компенсационный остаток, в долях ед.
Далее
определяется сумма уплаченных процентов и рассчитывается средняя расчетная
ставка процента (СРСП) по формуле:

, (27)
Где
ПК - сумма процентов за кредит.
Среднюю
расчетную ставку процента можно рассчитать также по формуле:

. (28)
Номинальную
сумму кредита определяется по формуле:

. (29)
Средняя
расчетная ставка процента рассчитывается по формуле (29), либо по формуле:

. (30)
Для
двух вариантов рассчитываем эффект финансового рычага по формуле:

, (31)
Где
Д - дифференциал, %;
ПФР
- плечо воздействия финансового рычага, определяется как соотношение между
заемными и собственными средствами;
ЭР
- экономическая рентабельность активов, %;
ЗС
- заемные средства;
СС
- собственные средства.
Как
видно из анализа первого варианта кредитования (табл. 10) рассчитанный ЭФР >
0, и заимствование по данному варианту выгодно. Поэтому дополнительно
определяем приращение к рентабельности собственного капитала (ΔРСК) по
формуле:
ΔРСК = 
ЭР + ЭФР. (33)
Анализ
второго варианта кредитования (табл. 11) показывает, что заимствование по
данному варианту не выгодно, т.к. рассчитанный ЭФР < 0.
Первый
вариант: номинальная ставка за кредит по простой ставке наращения СПн = 20%,
компенсационный остаток КО = 15%.
Таблица
12 - Расчет эффекта финансового рычага для первого варианта
|
Наименование
показателя
|
Обозначение,
формула расчета
|
Значение
|
|
Процентная
ставка
|
СП
|
0,200
|
|
Компенсационный
остаток
|
КО
|
0,15
|
|
Потребная
сумма, тыс.руб.
|
ПС
|
155
313 384
|
|
Номинальная
сумма кредита, тыс. руб
|
К=ПС/(1-КО)
|
132
016 376
|
|
Проценты,
тыс.руб
|
ПК=К∙СНп
|
26
403 275
|
|
Средняя
расчетная ставка процента, %
|
СРСП=(ПК/ПС)100%
|
17,00
|
|
Выручка
от реализации продукции, тыс.руб
|
В
|
2
879 390 342
|
|
Нетто-результат
эксплуатации инвестиций, тыс.руб
|
НРЭИ
|
624
613 273
|
|
Среднегодовая
величина активов, тыс
|
Аср
|
7
630 549 826
|
|
Заемные
средства, тыс.руб
|
ЗС
|
1
148 152 528
|
|
Собственные
средства, тыс.руб
|
СС
|
6
192 006 793
|
|
Коммерческая
маржа, %
|
КМ=(НРЭИ/В)100%
|
21,69
|
|
Коэффициент
трансформации
|
КТ=В/А
|
0,38
|
|
Экономическая
рентабильность, %
|
ЭР=КМ∙КТ
|
8,19
|
|
Дифференциал,
%
|
Д=(ЭР-СРСП)
|
-8,81
|
|
Плечо
воздействия финансового рычага
|
ПФР=ЗС/СС
|
0,19
|
|
Эффект
финансового рычага
|
ЭФР=(1-ННП)∙(ЭР-СРСП)∙(ЗС/СС)
|
-1,24
|
|
Приращение
к рентабильности собственного капитала
|
∆РСК=(1-ННП)ЭР+ЭФР
|
4,98
|
Второй вариант: номинальная ставка
за кредит по простой дисконтной ставке СПд = 20%, компенсационный остаток КО =
15%.
Таблица 13 - Расчет эффекта
финансового рычага для второго варианта
|
Наименование
показателя
|
Обозначение,
формула расчета
|
Значение
|
|
Процентная
ставка
|
СП
|
0,200
|
|
Компенсационный
остаток
|
КО
|
0,15
|
|
Потребная
сумма, тыс.руб.
|
ПС
|
155
313 384
|
|
Номинальная
сумма кредита, тыс. руб
|
К=ПС/(1-КО-СП)
|
238
943 667
|
|
Проценты,
тыс.руб
|
ПК=К∙СНп
|
47
788 733
|
|
Средняя
расчетная ставка процента, %
|
СРСП=(ПК/ПС)100%
|
30,77
|
|
Выручка
от реализации продукции, тыс.руб
|
В
|
2
879 390 342
|
|
Нетто-результат
эксплуатации инвестиций, тыс.руб
|
НРЭИ
|
624
613 273
|
|
Среднегодовая
величина активов, тыс
|
Аср
|
7
630 549 826
|
|
Заемные
средства, тыс.руб
|
ЗС
|
1
148 152 528
|
|
Собственные
средства, тыс.руб
|
СС
|
6
192 006 793
|
|
Коммерческая
маржа, %
|
КМ=(НРЭИ/В)100%
|
21,69
|
|
Коэффициент
трансформации
|
КТ=В/А
|
0,38
|
|
Экономическая
рентабильность, %
|
ЭР=КМ∙КТ
|
8,19
|
|
Дифференциал,
%
|
Д=(ЭР-СРСП)
|
-22,58
|
|
Плечо
воздействия финансового рычага
|
ПФР=ЗС/СС
|
0,19
|
|
Эффект
финансового рычага
|
ЭФР=(1-ННП)∙(ЭР-СРСП)∙(ЗС/СС)
|
-3,18
|
|
Приращение
к рентабильности собственного капитала
|
∆РСК=(1-ННП)ЭР+ЭФР
|
3,04
|
Так как предприятие имеет низкий
уровень экономической рентабельности, эффект финансового рычага при высоких
процентных ставках банка имеет отрицательное значение.
Поэтому принимаем более выгодные для
предприятия условия кредитования банка: номинальная ставка за кредит - 6% по
простой процентной дисконтной ставке без компенсационного остатка.
Таблица 14 - Расчет эффекта
финансового рычага для третьего варианта
|
Наименование
показателя
|
Обозначение,
формула расчета
|
Значение
|
|
Процентная
ставка
|
СП
|
0,060
|
|
Компенсационный
остаток
|
КО
|
0,00
|
|
Потребная
сумма, тыс.руб.
|
ПС
|
155
313 384
|
|
Номинальная
сумма кредита, тыс. руб
|
К=ПС/(1-КО-СП)
|
165
227 004
|
|
Проценты,
тыс.руб
|
ПК=К∙СНп
|
9
913 620
|
|
Средняя
расчетная ставка процента, %
|
СРСП=(ПК/ПС)100%
|
6,38
|
|
Выручка
от реализации продукции, тыс.руб
|
В
|
2
879 390 342
|
|
Нетто-результат
эксплуатации инвестиций, тыс.руб
|
НРЭИ
|
624
613 273
|
|
Среднегодовая
величина активов, тыс
|
Аср
|
7
630 549 826
|
|
Заемные
средства, тыс.руб
|
ЗС
|
1
148 152 528
|
|
Собственные
средства, тыс.руб
|
СС
|
6
192 006 793
|
|
Коммерческая
маржа, %
|
КМ=(НРЭИ/В)100%
|
21,69
|
|
Коэффициент
трансформации
|
КТ=В/А
|
0,38
|
|
Экономическая
рентабильность, %
|
ЭР=КМ∙КТ
|
8,19
|
|
Дифференциал,
%
|
Д=(ЭР-СРСП)
|
1,80
|
|
Плечо
воздействия финансового рычага
|
ПФР=ЗС/СС
|
0,19
|
|
Эффект
финансового рычага
|
ЭФР=(1-ННП)∙(ЭР-СРСП)∙(ЗС/СС)
|
0,25
|
|
Приращение
к рентабильности собственного капитала
|
∆РСК=(1-ННП)ЭР+ЭФР
|
6,48
|
С другой стороны не один из банков
не пойдёт на такие условия кредитования. Таким образом, предприятию не стоит
рассчитывать на банковский кредит.
4.2.3 Ценные бумаги
Одним из источников привлечения
заемных финансовых ресурсов является эмиссия предприятием ценных бумаг. К этому
источнику, по условиям законодательства РФ, могут прибегать предприятия,
созданные в форме акционерных и других видов хозяйственных обществ.
В случае, если банковское
кредитование для предприятия не выгодно, а цена торгового кредита высока,
потребность в дополнительном финансировании на покрытие
финансово-эксплуатационных расходов восполняется при помощи выпуска акций и
облигаций.
Потребность в инвестиционных
ресурсах финансируется только за счет данного источника.
При выборе варианта эмиссии ЦБ на
практике достаточно часто предпочтение отдается гибридному финансированию. Поэтому
часть ПДФ финансируется за счет выпуска обыкновенных и привилегированных акций,
оставшаяся часть за счет эмиссии облигаций. Вариант финансирования представлен
в таблице 15.
Таблица 15 - Структура гибридного
финансирования за счет дополнительной эмиссии ценных бумаг
|
Показатель
|
Значение
|
|
ПДФ,
тыс.руб.
|
9
950 000
|
|
Номинальная
стоимость (Ni), руб.
|
|
|
-
обыкновенные акции (A1)
|
170
|
|
-
привилегированные акции (A2)
|
200
|
|
-
облигации (О)
|
150
|
|
Количество
(Ki), шт.
|
|
|
-
обыкновенные акции (A1)
|
40
000
|
|
-
привилегированные акции (A2)
|
12
000
|
|
-
облигации (О)
|
5
000
|
|
Дивиденды
(Дi), %
|
|
|
-
обыкновенные акции (A1)
|
0,15
|
|
-
привилегированные акции (A2)
|
0,12
|
|
Ставка
годового купона по облигации (ki), %
|
12
|
|
Затраты
по эмиссии обыкновенных акций (ЭЗ1), тыс.руб
|
2
000
|
|
Затраты
по эмиссии привилигированных акций (ЭЗ2), тыс.руб
|
1
000
|
|
Затраты
по эмиссии привилигированных акций (ЭЗ3), тыс.руб
|
500
|
Сумма дополнительно привлекаемого
капитала за счет эмиссии ценных бумаг i-го вида определяется по формуле:
ДК = ΣNi·Ki,(34)
Произведем расчет сумм дополнительно
привлекаемого капитала за счет эмиссии ценных бумаг i-го вида, а также
определим его структуру в таблице 16.
Таблица 16 - Расчет сумм
дополнительно привлекаемого капитала за счет эмиссии ценных бумаг i-го вида
|
Показатель
|
Номинальная
стоимость (Ni), руб.
|
Количество
(Ki), шт.
|
Сумма
дополнительно привлекаемого капитала (ДК), руб.
|
Структура,
доли (dэз)
|
|
-
обыкновенные акции (A1)
|
170
|
40
000
|
6
800 000
|
0,68
|
|
-
привилегированные акции (A2)
|
200
|
12
000
|
2
400 000
|
0,24
|
|
-
облигации (О)
|
150
|
5
000
|
750
000
|
|
Итого
|
|
|
9
950 000
|
1,00
|
Стоимость привлечения
дополнительного капитала (С,) за счет эмиссии ценных бумаг определяется
следующим образом.
1) За счет эмиссия обыкновенных и
привилегированных акций:
, (35)
где К - количество дополнительно
эмитируемых акций i-го вида (обыкновенных или привилегированных), шт.;
Дi - дивиденд, выплачиваемый на одну
акцию i-го вида, %;- номинал акции i-го вида, руб./шт.;
ДК - сумма дополнительно
привлекаемого капитала за счет эмиссии акций i-го вида, руб.;- удельный вес
акции i-го вида акций в общей сумме привлечения дополнительного капитала за
счет эмиссии ЦБ, в долях ед.
- удельный вес затрат по эмиссии
акций i-го вида в общей сумме привлечения дополнительного капитала, в долях ед.
) За счет эмиссии облигаций:
, (36)
где k - ставка годового купона по
облигации, %;
Снпр - ставка налога на прибыль, в
долях ед.;
- удельный вес затрат по эмиссии
облигаций в общей сумме привлечения дополнительного капитала, в долях ед.
Для сравнения с другими вариантами
финансирования, а также для дальнейшего использования при опенке эффективности
инвестиций рассчитывается средневзвешенная цена капитала (WACC) по формуле:
WACC =
, (37)
где Сi - стоимость финансового
ресурса за счет эмиссии i-го вида ценных бумаг, %;- удельный вес i-го вида
ценных бумаг в общей сумме привлечения дополнительного капитала за счет эмиссии
ЦБ. в долях ед.
Результаты запишем в таблицу 17.
Таблица 17 - Расчет стоимости
привлечения дополнительного капитала за счет эмиссии ценных бумаг i-го вида
|
Показатель
|
%
|
|
Стоимость
привлечения дополнительного капитала (Са1)за счет эмиссии обыкновенных акций
|
21,95%
|
|
Стоимость
привлечения дополнительного капитала (Са2)за счет эмиссии привилегированных
акций
|
49,76%
|
|
Стоимость
привлечения дополнительного капитала (Со)за счет эмиссии облигаций
|
9,12%
|
|
Средневзвешенная
цена капитала WACC
|
27,7%
|
4.2.4 Факторинг
Одним из альтернативных вариантов при выборе
источников финансирования недостающей потребности может являться факторинг.
Факторинг можно определить как деятельность специализированного учреждения
(факторинговой компании или факторингового отдела банка) по взысканию денежных
средств с должников своего клиента (промышленной или торговой компании) и
управлению его долговыми требованиями. Другими словами, факторинг - это прямая
продажа дебиторской задолженности предприятия банку или факторинговой компании.
Преимуществом факторинга перед кредитом является быстрое предоставление
денежных средств, улучшение балансовой структуры предприятия
Таким образом, если на балансе предприятия
имеется неоправданная дебиторская задолженность (со сроком более года), то
необходимо рассмотреть вариант ее продажи факторинговой компании, учитывая, что
размер стоимости ее услуг колеблется от 10 до 30% общей суммы дебиторской
задолженности.
В ОАО «FERCOM» неоправданной дебиторской
задолженности не имеется.
Таким образом, для финансирования потребности в
дополнительных денежных средствах у предприятия есть три варианта (табл. 18).
Как видно из таблицы, наиболее выгодным из них является банковский кредит с
условиями кредитования по первому варианту. Поэтому вся сумма, требуемая
предприятию, будет финансироваться из этого источника.
Таблица 18 - Структура источников финансирования
|
Обозн.
|
Вид
источника
|
сумма,
тыс.руб.
|
доля
в ДК (di), %
|
ЭГС,
WACC, %
|
|
а
|
Собственные
денежные средства
|
128
795 139
|
0,83
|
6%
|
|
б
|
Торговый
кредит
|
16
568 245
|
0,11
|
73%
|
|
с
|
Ценные
бумаги
|
9
950 000
|
0,06
|
28%
|
|
|
Итого
|
155
313 384
|
1,00
|
14,6%
|
5. Определение эффективности
инвестиционного проекта
Для оценки эффективности инвестиционного проекта
учитываем следующие условия:
) Стартовые капиталовложения составляют 20 000
тыс. руб., наличие дополнительных капиталовложений не подразумевается.
) Срок эксплуатации инвестиций - 4 года.
) Амортизационные отчисления начисления на всю
сумму капиталовложений, рассчитываются исходя из нормативного срока службы
оборудования - 5 лет.
) Ликвидационная стоимость проекта составляет
20% от капиталовложений (первоначальной стоимости оборудования):
Л = 20 000 · 0,20 = 4 000 тыс. руб.
) шаг расчета равен одному году.
Для оценки инвестиционного проекта необходимо
спрогнозировать все денежные потоки поступлений и платежей. Далее их необходимо
в соответствии с финансовой концепцией стоимости денег во времени привести к
начальному моменту времени. Как правило, моментом приведения является момент
начала эксплуатации инвестиций. Для того, чтобы сделать равноценными
разновременные денежные потоки, используется коэффициент приведения:

при t < 0; 
при t > 0, (38)
Где E - ставка дисконтирования,
которая задается инвестором и является основным экономическим нормативом,
используемым при оценке эффективности инвестиционного проекта.
Проектную ставку дисконтирования
определим по формуле:
Eн = Eр + i + Eр· i + r∑, (39)
Где Eн - номинальная ставка
дисконтирования;р - реальная ставка дисконтирования (Eр = WACC`);-
прогнозируемый темп общей инфляции (принят 6%);∑ - суммарная поправка на
риск проекта (принят 3%).` - средневзвешенная цена капитала, скорректированная
с учетом финансирования из собственных источников:
’ = РСК·dа +ЭГСб·dб + WACCс · dс,
(40)
где dс =dЦБ - удельный вес
финансирования инвестиций за счет эмиссии ценных бумаг (dЦБ = 0,43);
РСК
- рентабельность собственного капитала (РСК=0,06);а =dСК - удельный вес
финансирования инвестиций за счет собственных средств (dСК = 0,49).’ =
0,83·6%+0,11·73%+0,06·28%=14,6%н = 14,6%+ 0,06 + 14,6%· 0,06 + 0,03 = 24,5%
В
таблице 18 представлен расчет денежных потоков и показателей эффективности
инвестиционного проекта с учетом дисконтирования.
Таблица
19 - Расчет показателей эффективности инвестиционного проекта (ДП тыс. руб.)
|
Наименования
показателя
|
Обозначение,
формула расчета
|
Шаг
расчета (t)
|
|
|
0
|
1
|
2
|
3
|
4
|
|
1.
Капиталовложения,
|
Kt
|
20
000
|
0
|
0
|
0
|
0
|
|
2.
Ликвидационная стоимость
|
Лt
|
0
|
0
|
0
|
|
4
000
|
|
3.
ДП от ИД
|
Рt
|
-20
000
|
0
|
0
|
0
|
4
000
|
|
4.
Амортизация капиталовложений
|
Аt
|
-
|
4
000
|
4
000
|
4
000
|
4
000
|
|
5.
Увеличение валовой прибыли
|
|
-
|
5
000
|
5
000
|
5
000
|
5
000
|
|
6.
Чистая прибыль
|
|
-
|
3
800
|
3
800
|
3
800
|
3
800
|
|
7.
ДП от ОД
|
Dt
=
|
-
|
7
800
|
7
800
|
7
800
|
7
800
|
|
8.
Коэффициент приведения по номинальной ставке дисконта
|
|
1,00
|
0,80
|
0,65
|
0,52
|
0,42
|
|
9.
Дисконтированный ДП от ОД
|
|
0
|
6
266
|
5
034
|
4
044
|
3
249
|
|
10.
Приведенный ДП от ИД
|
-
|
-20
000
|
0
|
0
|
0
|
1
666
|
|
11.
Общий ДП от ОД и ИД
|
|
-20
000
|
6
266
|
5
034
|
4
044
|
4
915
|
|
12.
Накопленный приведенный общий ДП от ОД и ИД
|
|
-20
000
|
-13
734
|
-8
700
|
-4
656
|
259
|
|
Наименования
показателя
|
Формула
расчета
|
Показатель
|
|
13.
Чистый дисконтированный доход проекта (NPV)
|
ЧДД
=
|
259
|
|
14.
Индекс доходности проекта (PI)
|
ИД
=
|
1,014
|
|
15.
Дисконтный срок окупаемости (DPB)
|
,
где
τ
- год,
когда последний
раз отрицателен
|
3,92
|
|
16.
Модифицированная внутренняя норма доходности (MIRR)
|
МВНД
= .
где n = n1 - срок эксплуатации объекта инвестиций.
|
0,25
|
|
|
|
|
|
|
|
|
Здесь ДП от ИД - денежный поток от
инвестиционной деятельности;
Снпр - ставка налога на прибыль;
ДП от ОД - денежный поток от операционной
деятельности.
Один из основных показателей эффективности
инвестиций - внутренняя норма доходности проекта (IRR) представляет собой
ставку дисконта, обращающую NPV в ноль. IRR является корнем уравнения степени
n:
, (41)
Соответственно, расчет данного
показателя осуществляется на основе линейной интерполяции по изложенному ниже
алгоритму, или с помощью функции ВСДО табличного процессора Ms Excel версий ХР
и выше (ВНДОХ() для более ранних версий Ms Excel).
Алгоритм расчета IRR метолом
линейной интерполяции
) Берется некоторое значение ставки
дисконта Е (можно равное проектной дисконтной ставке) и для него определяется
значение NPV, Если NPV > 0, то этому значению NPV и ставке дисконта
присваивается индекс "+" (т.е. имеем Е+ и NPV+). Если же NPV< О,
то ставке дисконта и NPV присваивается индекс "-" (т.е. имеем Е- и
NPV-). Рассчитаем для данного инвестиционного проекта:
Е+ = 0,25+ = 59
Е- = 0,26= -316
) Берется большее значение ставки
дисконта (или меньшее, если по результатам расчетов в предыдущем пункте имеем
Е- и NPV-) и для него определяется значение NPV. Если значение NPV имеет
противоположный знак, чем полученное в пункте 1, то выполнено необходимое
условие для нахождения IRR методом линейной интерполяции (в противном случае
расчет повторяется, пока знак не изменится). IRR рассчитывается по формуле
линейной интерполяции:
IRR =
. (42)
= 0,25 + 59/(59-(-316))*(0,26-0,25)
= 0,2516
Условие выполнения расчетов:
изменение знака NPV с "+" на "-" или наоборот.
Проверка. Найденное значение IRR
должно находиться в пределах интервала (E+, E-).
Точность расчета IRR по формуле (42)
зависит от величины интервала (Е+,E-), чем он мешайте, тем точнее получаемое
значение IRR. Первоначально полученное значение IRR может быть уточнено путем
повторных итераций.
Представленные дисконтные показатели
оценки эффективности проектов NPV, PI, IRR, МIRR и DРВ являются наиболее
распространенными, дают достаточно полную оценку эффективности инвестиционных
проектов.
Выбор схемы финансирования проектов.
На данном этапе определяются источники финансирования по каждому из выбранных
проектов, утверждается график платежей. При этом важно соблюдение условия
финансовой реализуемости проектов.
Формирование портфеля инвестиций
предполагает рассмотрение всех вариантов инвестиций. Моделируются все возможные
сочетания проектов (ограничением в данном случае выступают размер доступных
финансовых ресурсов, а также уровень риска каждого проекта). Для формируемого
портфеля рассчитываются интегральные показатели эффективности.
Оперативное управление портфелем
инвестиций подразумевает контроль за ходом выполнения проектов и принятие
корректирующих воздействий в необходимых случаях.
Основная задача финансового
менеджера при управлении инвестициями - обеспечить оптимальное сочетание
эффективности использования финансовых ресурсов с достаточным уровнем
финансовой устойчивости и платежеспособности предприятия.
6. Задачи
Задача 1
Ожидается, что проект, требующий
инвестиций в размере 100 тыс.долл., будет генерировать доход в течении 8 лет в
сумме 30 тыс.долл. ежегодно. Приемлемая ставка дисконтирования равна 10%.
Рассматриваются два варианта: без учета риска и с учетом риска. В первом случае
анализ проводится без какой-либо корректировки исходных данных. Во втором
случае для последних трех лет вводится понижающий коэффициент 0,9, а так же
поправка на риск к ставке дисконтирования в размере трех процентных пунктов.
Стоит ли принять этот проект в каждом из приведенных вариантов?
А) без учета риска.
Формула дисконтирования выглядит
следующим образом:
где- приведенная (текущая) стоимость
денежного потока k-го периода проекта- чистый денежный поток k-го периода
проекта- период проекта - ставка дисконтирования (в десятичном выражении)
Ставка дисконтирования нашего
проекта составляет 10%, то есть r = 0.1. Дисконтируем чистый денежный поток
(NCF) 1-8 периодов. Подставляя в формулу дисконтирования соответствующие
значения, получаем:
Теперь рассчитаем первый показатель
эффективности инвестиционного проекта - NPV (Net Present Value) - чистая
приведенная стоимость проекта. Классическая формула для расчета NPV выглядит
следующим образом:
где- чистый приведенный денежный
поток - чистый денежный поток соответствующего периода проекта- горизонт
исследования, выраженный в интервалах планирования (срок проекта)- период
проекта- ставка дисконтирования (в десятичном выражении)
Показатель NPV заключается в
суммировании дисконтированных чистых денежных потоков (PV) c 1 по n-ый период
проекта и прибавлении к нему отрицательного денежного потока 0-го периода
(инвестиций). То есть за счет положительного, либо отрицательного знака чистого
денежного потока каждого периода при расчете NPV у нас осуществляется сложение,
либо вычитание соответственно дисконтированного денежного потока каждого
следующего периода.= PV1период+ PV2период+…+ PV8период + NCF0 = 27,27 + 24,78 +
22,54 + 20,49 + 18,63 + 16,94 + 15,39 + 13,99 - 100 = 60,03 тыс. дол.
Если NPV > 0, это значит, что
проект в рассматриваемый период обеспечит даже min доход, равный доходу от
безрисковых вложений, заложенный в ставке дисконтирования, а, возможно, покроет
даже инвестиции и текущие затраты.
Б) с учетом риска
Другим важным фактором, влияющим на
оценку эффективности инвестиционного проекта, является фактор риска. Поскольку
риск в инвестиционном процессе независимо от его конкретных форм, в конечном
счете, предстает в виде возможного уменьшения реальной отдачи от капитала по
сравнению с ожидаемой, то для учета риска часто вводят поправку к уровню
процентной ставки, которая характеризует доходность по безрисковым вложениям
(например, по сравнению с банковскими депозитами или краткосрочными
государственными ценными бумагами).
Ставка дисконтирования проекта
составляет 10%, то есть r = 0.1. в первые 5 лет, а в следующие 3 года r = 0,13.
Дисконтируем чистый денежный поток (NCF) 1-8 периодов. Подставляя в формулу
дисконтирования соответствующие значения, получаем:
= PV1период+ PV2период+…+ PV8период
+ NCF0 = 27,27 + 24,78 + 22,54 + 20,49 + 18,63 + 16,02 + 14,17 + 12,54 - 100 =
56,44 тыс. дол.
Как и в первом случае NPV > 0,
это значит, что проект в рассматриваемый период обеспечит доход 56,44 тыс.
долл.
Ответ: В обоих случаях этот проект
стоит принять т.к. он обеспечивает доход и покрывает инвестиционные и текущие
затраты.
Задача 2
По имеющимся данным о выпуске и
себестоимости однородной продукции за год определите структуру затрат: а)
методом максимальной и минимальной точки; б) методом регрессионного анализа.
Методику определения структуры затрат см. в источниках [7, 11].
Данные о выпуске продукции и
затратах на производство
|
Месяц
|
Объем
произв-ва, тыс. шт.
|
Выручка,
млн. руб.
|
Затраты,
млн. руб.
|
|
Qi
|
Вi
|
Зi
|
|
Январь
|
260
|
235
|
195
|
|
Февраль
|
230
|
215
|
190
|
|
Март
|
310
|
250
|
200
|
|
Апрель
|
280
|
245
|
200
|
|
Май
|
350
|
270
|
205
|
|
Июнь
|
410
|
265
|
215
|
|
Июль
|
520
|
300
|
240
|
|
Август
|
590
|
350
|
250
|
|
Сентябрь
|
370
|
260
|
210
|
|
Октябрь
|
490
|
290
|
230
|
|
Ноябрь
|
450
|
305
|
225
|
|
Декабрь
|
360
|
255
|
205
|
Существует три основных метода дифференциации
издержек:
. Метод максимальной и минимальной точки
. Графический (статистический) метод
. Метод наименьших квадратов.
При методе дифференциации издержек методом
максимальной и минимальной точки из всей совокупности данных выбираются два
периода с наибольшим и наименьшим объёмом производства. Определяется ставка
переменных издержек - это средние переменные расходы в себестоимости единицы
продукции.
Ставка переменных издержек =
[(Максимальная общая сумма издержек - минимальная общая сумма издержек
]:
, (34)
Определяется общая сумма постоянных
издержек:
Постоянные издержки = Максимальная
общая сумма издержек - ставка переменных издержек
(35)
. Дифференциация издержек
графическим (статистическим) методом.
Как известно, линия общих издержек
определяется уравнением первой степени:
= a + b x,
где Y - общие издержки;- уровень
постоянных издержек;- ставка переменных издержек;- объём производства,
физических единиц.
Статистический метод основан на
использовании коррекционного анализа, хотя сами коэффициенты коррекции не
определяются.
Ставка переменных издержек =
(совокупные издержки - постоянные издержки)/объём производства
. Дифференциация затрат методом
наименьших квадратов является наиболее точной, так как в ней используются все
данные о совокупных издержках и определяются коэффициенты a и b.
Ставка переменных издержек b равна
А) Дифференциация издержек методом
максимальной и минимальной точки.
Из всей совокупности данных
выбираются два периода с наибольшим и наименьшим объемом производства - август
и февраль. В августе сумма переменных издержек будет максимальной, а постоянных
- минимальной. В феврале - соответственно наоборот.
|
Показатель
|
Объем
производства
|
Разность
между max и min величинами
|
|
максимальный
|
минимальный
|
|
|
1.Объем
производства, тыс.шт.
|
590
|
230
|
360
|
|
%
|
100
|
38,9
|
61,1
|
|
2.Выручка,
тыс.руб.
|
350
000
|
215
000
|
135
000
|
|
3.Затраты,
тыс.руб.
|
250
000
|
190
000
|
60
000
|
Ставка переменных издержек = [(250 000-190
000)]х ]:590 = 166,4 руб/шт
Определяется общая сумма постоянных издержек:
Постоянные издержки = 250 000-166,4 руб/шт х 590
тыс.шт. = 151 824 тыс.руб.
Б) По методу максимальной и минимальной
точки:=151 824 + 166,4 х
Алгоритм определения коэффициентов и результаты
расчетов представлены в таблице
Месяц Объем производства Х
(тыс.шт.) 
,
(тыс.шт.)Суммарные издержки Y
(тыс.руб.)
, (тыс.руб.)
|
|
|
|
|
|
|
|
январь
|
-125
|
195
000
|
-18
750
|
15
625
|
2
343 750
|
|
февраль
|
230
|
-155
|
190
000
|
-23
750
|
24
025
|
3
681 250
|
|
март
|
310
|
-75
|
200
000
|
-13
750
|
5
625
|
1
031 250
|
|
апрель
|
280
|
-105
|
200
000
|
-13
750
|
11
025
|
1
443 750
|
|
май
|
350
|
-35
|
205
000
|
-8
750
|
1
225
|
306
250
|
|
июнь
|
410
|
25
|
215
000
|
1
250
|
625
|
31
250
|
|
июль
|
520
|
135
|
240
000
|
26
250
|
18
225
|
3
543 750
|
|
август
|
590
|
205
|
250
000
|
36
250
|
42
025
|
7
431 250
|
|
сентябрь
|
370
|
-15
|
210
000
|
-3
750
|
225
|
56
250
|
|
октябрь
|
490
|
105
|
230
000
|
16
250
|
11
025
|
1
706 250
|
|
ноябрь
|
450
|
65
|
225
000
|
11
250
|
4
225
|
731
250
|
|
декабрь
|
360
|
-25
|
205
000
|
-8750
|
625
|
218
750
|
|
Итого
|
4620
|
|
2
565 000
|
|
134
500
|
22
525 000
|
|
среднее
|
385
|
|
213
750
|
|
|
|
Ставка переменных издержек равна:
Переменные издержки в расчете на
среднемесячный объем производства составляют 385 тыс.шт.х167,47 руб/шт=64
475,95 тыс.руб. Тогда постоянные издержки составляют 213 750-64 475,95= 149
274,1 тыс.руб.
По методу регрессионного
анализа:=149 274,1+ 167,47 х
Задача 3
Компания осуществляет закупки на
условиях 2/20 брутто 45, не пользуется скидкой и производит оплату на 90-й
день. С течением времени поставщик стал требовать строго соблюдения сроков
оплаты. Компания может получить банковский кредит сроком на год на условиях:
ставка кредита 20% простых в год, компенсационный остаток - 25%.
Отчетный баланс компании, млн.руб.
|
АКТИВ
|
Значение
|
ПАССИВ
|
Значение
|
|
Денежные
средства
|
10
|
КЗ
|
60
|
|
Дебиторская
задолженность
|
25
|
Веселя
к оплате
|
10
|
|
Запасы
|
80
|
Начисления
|
10
|
|
Основные
средства
|
60
|
Долгосрочные
пассивы
|
25
|
|
|
Обыкновенные
акции
|
70
|
|
Баланс
|
175
|
Баланс
|
175
|
Определите цену нового торгового кредита,
сравните с банковским кредитом. Постройте новый баланс фирмы.
Если компания осуществляет закупки на условиях
2/20 брутто 45, это значит, что фирма готова предоставить скидку 2% если оплата
будет осуществлена в течение 20 дней со дня, обозначенного в счете-фактуре.
Минимальный срок, в течение которого должна быть произведена оплата без
предоставления скидки, составляет 45 дней.
Если компания производит закупки ежегодно на
сумму 60 млн рублей ( эта сумма отражена в балансе по строке «кредиторская
задолженность»), то ежедневно ее закупки составят сумму в: 60/360 = 0,166
млн.рублей в день
Если бы компания пользовалась скидкой, производя
оплату на 20 день, ее кредиторская задолженность составит в среднем: 20х0,166=
3,32 млн.рублей
Т.к. компания решила отказаться от скидки и
производить оплату на 90 день, то ее кредиторская задолженность увеличится и
составит:
45*0,166=7,47 млн.рублей
Таким образом, дополнительный кредит составит:
,47-3,32 = 4,15 млн.рублей и может быть
использован на осуществление закупок.
Компания отказалась от скидки в 2% на 60
млн.рублей закупок, то есть в год дополнительные затраты составляют 0,02х60
=1,2 млн.рублей.
Тогда цена торгового кредита составит
Цкр=1,2 /4,5 = 28,9 %
Эффективная годовая ставка по торговому кредиту
Ставка процента за кредит за период:
,02/0,98= 0,0204
Дополнительный срок пользования кредитом
составляет 45-20= 25 дней, в году таких периодов 360/25=14,4. Эта ставка
начисляется 14,4 раза в год, таким образом, цена торгового кредита,
рассчитанная как эффективная годовая ставка, составит:
(1,0+0,0204)14,4-1,0=0,338 или 33,8%
Рассчитаем эффективную ставку банковского
кредита.
Если банк требует что на счету у компании
оставался компенсационный остаток в размере 25% от суммы кредита, то значит
компания вынуждена увеличить сумму кредита до 60+0,25х60=75 млн.рублей
Если ставка за кредит равна 20%, то общая сумма
процентов составит 75*0,2= 15 млн.рублей.
Поскольку со счета можно снять только 60
млн.рублей, то фактически эффективная ставка процента равна 15/60=0,25 или 25%.
Если фирма решила воспользоваться скидкой и
отказаться от торгового кредита, ей придется привлекать дополнительные средства
из банка. Ежедневно она приобретает товар на сумму 0,166 млн.рублей, и спустя
20 дней, ее кредиторская задолженность будет равна 3,32 млн.рублей
При составлении прогнозного баланса
предполагается, что величина активов, начислений и акционерного капитала не
меняются и не зависят от выбора того или иного подхода. Балансы отличаются лишь
суммами по статьям «кредиторская задолженность» и «векселя к оплате». Также
нужно учесть, что, на сколько снижается кредиторская задолженность в пассиве
баланса, на столько увеличиваются денежные средства и снижаются
товарно-материальные запасы в активе баланса.
Прогнозный баланс компании, млн.руб.
|
АКТИВ
|
Значение
|
ПАССИВ
|
Значение
|
|
Денежные
средства
|
25
|
КЗ
|
45
|
|
Дебиторская
задолженность
|
25
|
Веселя
к оплате
|
25
|
|
Запасы
|
65
|
Начисления
|
10
|
|
Основные
средства
|
60
|
Долгосрочные
пассивы
|
25
|
|
|
Обыкновенные
акции
|
70
|
|
Баланс
|
175
|
Баланс
|
175
|
Если компания отказывается от скидки, то расходы
по выплате процентов по кредиту равны нулю, но в то же время увеличатся затраты
на величину возможной скидки, что составляет 1,2 млн.рублей. С другой стороны,
если фирма решает воспользоваться скидкой, то ей придется нести дополнительные
расходы по выплате процентов за привлеченный кредит
Таким образом, сравнивая дополнительные расходы
и выгоды, можно сделать вывод, что сумма упущенной выгоды ниже, чем расходы по
выплате процентов.
Задача 4
По приведенным данным рассчитать среднюю
продолжительность оборота (погашения) дебиторской задолженности покупателей и
кредиторской задолженности поставщикам в отчетном и базисных годах. Определить
влияние отдельных факторов на ускорение (замедление) оборачиваемости
дебиторской и кредиторской задолженности в отчетном году по сравнению с
базисным годом. Оценить эффективность отвлечения средств в дебиторскую
задолженность и обоснованность привлечения заемных средств в виде товарного
кредита.
|
Показатель
|
Условн.
обознач.
|
Предыд.
год
|
Отчетн.
год
|
|
1.
Выручка от продаж, тыс. руб.
|
В
|
29
670
|
33
304
|
|
2.
Себестоимость проданной продукции, тыс. руб.
|
Sпр
|
21
670
|
22
280
|
|
3.
Среднегод. балансовая величина дебитор. задолж., тыс. руб.
|
23182555
|
|
|
|
4.
Среднегод. балансовая величина кредитор. задолж., тыс.руб
|
20121911
|
|
|
|
5.
Средняя продолжительность оборота (погашения) ДЗ, дни
|
Lдз
|
|
|
|
6.
Средняя продолж-ть оборота (погашения) КЗ поставщикам., дни
|
Lкзп
|
|
|
Влияние факторов на коэффициенты оборачиваемости
анализируется по модели:
,
где Кобi - коэффициент
оборачиваемости i-го вида оборотных средств;
В - выручка от реализации;
средние остатки i-го вида оборотных
средств.
Средняя продолжительность 1 оборота
в днях вычисляется по формуле
|
Показатель
|
Условн.
обознач.
|
Предыд.
год
|
Отчетн.
год
|
|
1.
Выручка от продаж, тыс. руб.
|
В
|
29
670
|
33
304
|
|
2.
Себестоимость проданной продукции, тыс. руб.
|
Sпр
|
21
670
|
22
280
|
|
3.
Среднегод. балансовая величина дебитор. задолж., тыс. руб.
|
23182555
|
|
|
|
4.
Среднегод. балансовая величина кредитор. задолж., тыс.руб
|
20121911
|
|
|
|
5.Коэффициент
оборачиваемости ДЗ, об
|
Коб
дз
|
12,8
|
13,03
|
|
6.Коэффициент
оборачиваемости КЗ, об
|
Коб
кз
|
14,75
|
17,43
|
|
7.
Средняя продолжительность оборота (погашения) ДЗ, дни
|
Lдз
|
28,125
|
27,628
|
|
8.
Средняя продолж-ть оборота (погашения) КЗ поставщикам., дни
|
Lкзп
|
24,41
|
20,65
|
Проанализируем влияние факторов на коэффициент
оборачиваемости дебиторской задолженности. Общее отклонение коэффициента
оборачиваемости дебиторской задолженности:
В том числе за счет изменения
отдельных факторов:
за счет изменения выручки от
реализации:
за счет изменения среднего остатка
готовой продукции:
|
Коэффициенты
оборачиваемости
|
Базисный
год
|
Отчетный
год
|
Изменение
|
|
|
|
всего
|
в
т.ч. за счет изменений
|
|
|
|
|
объема
реализации
|
средних
остатков средств
|
|
|
|
|
|
|
|
1.
Дебиторской задолженности
|
12,8
|
13,03
|
0,23
|
-954,52
|
-2388,75
|
|
2
Кредиторской задолженности
|
14,75
|
17,43
|
2,68
|
-1099,70
|
1568,05
|
Экономический эффект в результате ускорения
оборачиваемости выражается в относительном высвобождении средств из оборота, а
также в увеличении суммы выручки и прибыли. Сумма высвобождаемых средств из
оборота в связи с ускорением (-Э) или дополнительно привлеченных средств в
оборот (+Э) при замедлении оборачиваемости определяется по формуле:
|
Оборотные
активы
|
Оборачиваемость,
в днях
|
Влияние
на размер оборотных активов, тыс.руб.
|
|
базисный
год
|
отчетный
год
|
изменения
(+, -), ΔПобi
|
высвобождение
средств
|
дополнительное
привлечение средств
|
|
1.
Дебиторская задолженность
|
28,125
|
27,628
|
-0,497
|
-15,2
|
x
|
|
2
Кредиторская задолженность
|
24,41
|
20,65
|
-3,74
|
-114,9
|
x
|
Задача 5
Выручка от реализации в компании АА в январе
составила 50 000 долл.; в последующие месяцы ожидается прирост с темпом 1% в
месяц. Оплата за поставленную клиентам продукцию осуществляется на следующих
условиях: 20% месячного объема реализации составляет выручка за наличный
расчет; 40% продается в кредит с оплатой в течение месяца и предоставляемой
клиентам скидкой в размере 3%; оставшаяся часть продукции оплачивается в
течении двух месяцев, при этом 5 % этой суммы составляют безнадежные долги.
Рассчитайте величину денежных поступлений в
июне.
При планировании поступлений денежных средств
проводится расчет предполагаемых поступлений денежных средств на основании
имеющихся плановых данных по доходам за данный период и возможным погашением
дебиторской задолженности покупателями (Поступления)
Расчет поступлений выполняется с учетом
сложившейся практики взаимоотношений с покупателями. Для этого с помощью,
например, статистических методов проводится анализ текущей деятельности
предприятия и определяются следующие показатели:
сроки погашения дебиторской задолженности;
процент поступающих авансов от общей суммы,
реализуемой продукции (товара);
сроки от получения авансов до исполнения
предприятием соответствующих обязательств;
процент «безнадежных» долгов в общей доле
предъявленных покупателям счетов.
Расчет этих показателей производится по каждому
виду деятельности в разрезе групп контрагентов. Для этого можно использовать
бухгалтерскую базу предприятия.
|
Показатель
|
Январь
|
Февраль
|
Март
|
Апрель
|
Май
|
Июнь
|
|
Выручка
от реализации
|
50000
|
50500
|
51005
|
51515,05
|
52030,2
|
52550,5
|
|
В
т.ч. реализация в кредит
|
40000
|
40400
|
40804
|
41212,04
|
41624,16
|
42040,4
|
|
Поступление
денежных средств-всего, в том числе:
|
10000
|
25620
|
47876,2
|
48354,96
|
48838,51
|
49326,9
|
|
20%-выручка
за наличный расчет
|
10000
|
10100
|
10201
|
10303,01
|
10406,04
|
10510,1
|
|
40%
реализации в кредит прошлого месяца (3%-скидка)
|
-
|
15520
|
15675,2
|
15831,95
|
15990,27
|
16150,17
|
|
55%
реализации в кредит позапрошлого месяца
|
-
|
-
|
22000
|
22220
|
22442,2
|
22666,62
|
Величина денежных поступлений в июне составила
49 326, 9 тыс.рублей.
Задача 6
Планируемая годовая потребность в материалах
составляет 180 тыс.ед. Если заказывается партия объемом менее 50 тыс.ед., то
себестоимость материалов будет 20 руб. за единицу, если объем заказа выше, то
можно получить скидку в размере 5%. Анализируются две альтернативы: а) делать
два заказа по 90 тыс.ед. в каждом; б) делать ежемесячный заказ по 15000 ед.
Требуется: а) определить, какая из этих альтернатив
является более дорогостоящей для компании; б) найти, во что обходится компании
выбор более дорогостоящего варианта, если высвобожденные деньги можно было бы
вложить в банк под 8% годовых.
А) определить, какая из этих альтернатив
является более дорогостоящей для компании
а) (90000 ед. * (20 руб. * 5 %)) * 2 = 3 420 000
руб.
б) 15000 ед. * 20 руб. * 12 мес. = 3 600 000
руб.
Б) FV = (3600000-3420000) * (1+0.08) =
180000*1.08 = 194400
Доход составил бы 14400 руб.
Задача 7
Компания АВ делает заказ сырья по цене 4 долл.
за единицу партиями в объеме 200 единиц каждая. Потребность в сырье постоянна и
равна 10 единиц в день в течении 250 рабочих дней. Стоимость исполнения одного
заказа 25 долл., а затраты по хранению составляют 12,5 % стоимости сырья.
.Рассчитайте оптимальный размер заказа EOQ и
эффект от перехода от текущей политики заказа сырья к политике, основанной на
EOQ.
.Поставщик соглашается снизить цену сырья, если
заказ будут делать большими партиями. Условия таковы: при объеме заказа до 599
ед., скидка не предоставляется; при объеме заказа от 600 до 999 ед., скидка
составит 10%; при объеме заказа более 1000 ед., скидка - 15%. Рассчитайте EOQ в
этих условиях.
) Величина оптимального заказа (EOQ)
определяется по формуле (модель Уилсона):
,
Где F - постоянные затраты по
размещению и выполнению одного заказа, $.;- общая годовая потребность в
запасах, ед.;
С - годовые затраты по хранению, в
долях ед.;
Р - цена приобретения единицы
запасов, $.
ед.
Рассчитаем эффект (Э) от перехода от
текущей политики заказа сырья к политике, основанной на EOQ, для этого
рассчитаем затраты для текущей политики (размер партии 200 шт.) и затраты для
оптимального заказа (размер партии 500 шт.)
,
где
;
- затраты на транспортировку,
- затраты на
хранение
; - объем партии
При скидке 10 % при объеме заказа от
600 до 999 ед:
При скидке 15 % при объеме заказа
более 1000 ед:
Заключение
Цель данной курсовой работы - на
основе проведения различных расчетных и аналитических процедур оценить
состояние дел в области управления финансовыми ресурсами розничной ОАО «FERCOM»
разработать комплекс мероприятий по его совершенствованию, направленный в
конечном итоге на улучшение финансовых результатов.
В соответствии с поставленной целью
при выполнении курсовой работы были решены следующие:
провиден экспресс-анализ финансового
состояния предприятия, проанализировано влияние различных факторов на
рентабельность собственного капитала;
оценено на основе операционного
анализа состояние производственной деятельности и предпринимательский риск предприятия;
составлен отчет о движении денежных
средств предприятия;
определена потребность в
дополнительном финансировании;
выбран источники финансирования;
оценена эффективность
инвестиционного проекта.
Список литературы
1. Абрютина
М.С. Анализ финансово-экономической деятельности предприятия:
Учебно-практическое пособие. 5-е изд. испр.-М. Издательство «Дело и сервис»,
2007.
2. Акулов
В.Б. Финансовый менеджмент. Петрозаводск: ПетрГУ, 2002.
. Арутюнов
Ю. А. Финансовый менеджмент: учебное пособие. - М.: КНОРУС, 2005. - 312 с.
. Аркина
Н.А., Аркин В.Г. Финансовый менеджмент. Учебник издание 2, М.: Юнити-Дана, 2004
. Бригхем
Ю., Гапенски Л. Финансовый менеджмент: Полный курс. Том 2: Пер. с англ. / Под
ред. В.В. Ковалева. - СПб.: Экономическая школа, 2000.
. Ефимова
О.В. Финансовый Анализ. М.: Бухгалтерский учет, 2006.
. Савицкая
Г.В. Анализ хозяйственной деятельности предприятия: Учебное пособие для вузов.
- 7-е изд., испр. - Минск: Новое знание, 2006. - 703 с.
. Станиславчик
Е.Н. Основы финансового менеджмента. Москва: Ось-39
. Ковалев
В.В. Введение в финансовый менеджмент. М.: Финансы и статистика, 2005, с.768
. Карасева
И.М., Ревякина М.А. Финансовый менеджмент: учебное пособие. Под ред. Ю.П.
Анискина - Москва: Омега-Л, 2006.
. Шеремет
А.Д. Анализ финансово-хозяйственной деятельности: учебное пособие. - М.:
Институт профессиональный бухгалтеров России: «ИПБ - БИНФА», 2006. - 310 с.
. Финансовый
менеджмент: Учебник для вузов / Под ред. Г.Б. Поляка. - 3-е изд., перераб. и
доп. - М.: ЮНИТИ-ДАНА, 2005. - 527 с
. Финансовый
менеджмент: теория и практика: Учебник. / Под ред. Е.С. Стояновой. - 7-е изд.,
перераб. и доп. - М: Перспектива, 2007. - 656 с.
Приложение 1
Бухгалтерский баланс на 31 декабря
2010 года Форма №1
|
АКТИВ
|
Код
стр.
|
На
начало отчетного периода
|
На
конец отчетного периода
|
|
1
|
2
|
3
|
4
|
|
I.
ВНЕОБОРОТНЫЕ АКТИВЫ
|
|
|
|
|
Нематериальные
активы
|
110
|
233
375
|
176
976
|
|
Основные
средства
|
120
|
3
775 323 711
|
3
621 565 477
|
|
Незавершенное
строительство
|
130
|
162
222 409
|
268
896 216
|
|
Доходные
вложения в материальные ценности
|
135
|
0
|
0
|
|
Долгосрочные
финансовые вложения
|
140
|
1
627 870 581
|
1
517 264 033
|
|
Отложенные
финансовые активы
|
145
|
8
951 991
|
11
325 511
|
|
Прочие
внеоборотные активы
|
150
|
46
826 982
|
51
906 244
|
|
ИТОГО
по разделу I
|
190
|
5
621 429 049
|
5
471 134 457
|
|
II.
ОБОРОТНЫЕ АКТИВЫ
|
|
|
|
|
Запасы
|
210
|
206
879 907
|
255
445 169
|
|
сырье,
материалы и другие аналогичные ценности
|
211
|
2
345 850
|
2
636 375
|
|
животные
на выращивании и откорме (11)
|
212
|
108
|
108
|
|
затраты
в незавершенном производстве
|
213
|
138
162 013
|
166
318 156
|
|
готовая
продукция и товары для перепродажи
|
214
|
55
786 523
|
73
970 851
|
|
товары
отгруженные
|
215
|
1
797 430
|
1
554 227
|
|
расходы
будущих периодов
|
216
|
8
787 983
|
10
965 452
|
|
прочие
запасы и затраты
|
217
|
0
|
0
|
|
Налог
на добавленную стоимость по приобретенным ценностям
|
220
|
54
508 068
|
21
189 481
|
|
Дебиторская
задолженность (платежи по которой ожидаются более чем через 12 месяцев после
отчетной даты)
|
230
|
565
444 150
|
703
918 072
|
|
В
том числе: покупатели и заказчики
|
231
|
928
500
|
464
100
|
|
Дебиторская
задолженность (платежи по которой ожидаются в течение 12 месяцев после
отчетной даты)
|
240
|
864
494 248
|
1
148 339 055
|
|
В
том числе: покупатели и заказчики
|
241
|
323
940 334
|
400
250 553
|
|
Краткосрочные
финансовые вложения
|
250
|
58
695 234
|
20
198 059
|
|
Денежные
средства
|
260
|
61
688 603
|
207
711 746
|
|
Прочие
оборотные активы
|
270
|
2
681
|
21
672
|
|
ИТОГО
по разделу II
|
290
|
1
811 712 891
|
2
356 823 254
|
|
БАЛАНС
(сумма строк 190 + 290)
|
300
|
7
433 141 940
|
7
827 957 711
|
|
ПАССИВ
|
Код
стр.
|
На
начало отчетного периода
|
На
конец отчетного периода
|
|
1
|
2
|
3
|
4
|
|
III.
КАПИТАЛ И РЕЗЕРВЫ
|
|
|
|
|
Уставный
капитал
|
410
|
118
367 564
|
118
367 564
|
|
Добавочный
капитал
|
420
|
3
771 562 864
|
3
769 181 002
|
|
Резервный
капитал
|
430
|
8
636 001
|
8
636 001
|
|
В
том числе:
|
|
|
|
|
резервы,
образованные в соответствии с законодательством
|
431
|
8
636 001
|
8
636 001
|
|
резервы,
образованные в соответствии с учредительными документами
|
432
|
0
|
0
|
|
Целевое
финансирование
|
450
|
0
|
0
|
|
Нераспределенная
прибыль (непокрытый убыток)
|
470
|
1
982 527 573
|
2
292 965 777
|
|
ИТОГО
по разделу III
|
490
|
5
881 094 002
|
6
189 150 344
|
|
IV.
ДОЛГОСРОЧНЫЕ ОБЯЗАТЕЛЬСТВА
|
|
|
|
|
Займы
и кредиты
|
510
|
919
635 349
|
862
948 018
|
|
Отложенные
налоговые обязательства
|
515
|
151
573 369
|
136
710 142
|
|
Прочие
долгосрочные обязательства
|
520
|
0
|
4
240 609
|
|
ИТОГО
по разделу IV
|
590
|
1
071 208 718
|
1
003 898 769
|
|
V.
КРАТКОСРОЧНЫЕ ОБЯЗАТЕЛЬСТВА
|
|
|
|
|
Займы
и кредиты
|
610
|
163
293 623
|
129
891 126
|
|
Кредиторская
задолженность
|
620
|
299
019 434
|
502
161 023
|
|
В
том числе: поставщики и подрядчики
|
621
|
185
960 714
|
307
451 964
|
|
задолженность
перед персоналом организации
|
624
|
120
419
|
253
725
|
|
задолженность
перед государственными внебюджетными фондами
|
625
|
73
658
|
52
812
|
|
задолженность
по налогам и сборам
|
626
|
43
010 880
|
41
231 679
|
|
прочие
кредиторы
|
628
|
69
853 763
|
153
170 843
|
|
Задолженность
участникам (учредителям) по выплате доходов
|
630
|
433
806
|
722
068
|
|
Доходы
будущих периодов
|
640
|
0
|
0
|
|
Резервы
предстоящих расходов
|
650
|
18
092 357
|
2
134 381
|
|
Прочие
краткосрочные обязательства
|
660
|
0
|
0
|
|
ИТОГО
по разделу V
|
690
|
480
839 220
|
634
908 598
|
|
БАЛАНС
(сумма строк 490 + 590 + 690)
|
700
|
7
433 141 940
|
7
827 957 711
|
Отчет о прибылях и убытках на 31 декабря 2010
года. Форма №2
|
Наименование
показателя
|
Код
стр.
|
За
отчетный период
|
За
аналогичный период
|
|
|
|
предыдущего
года
|
|
1
|
2
|
3
|
4
|
|
I.
Доходы и расходы по обычным видам деятельности
|
|
|
|
|
Выручка
(нетто) от продажи товаров, продукции, работ, услуг (за минусом налога на
добавленную стоимость, акцизов и аналогичных обязательных платежей)
|
10
|
2
879 390 342
|
2
486 940 618
|
|
Себестоимость
проданных товаров, продукции, работ, услуг
|
20
|
1
250 746 262
|
1
236 340 473
|
|
Валовая
прибыль
|
29
|
1
628 644 080
|
1
250 600 145
|
|
Коммерческие
расходы
|
30
|
759227657
|
658893296
|
|
Управленческие
расходы
|
40
|
47059362
|
38437940
|
|
Прибыль
(убыток) от продаж
|
50
|
822
357 061
|
553
268 909
|
|
II.
Прочие доходы и расходы
|
|
|
|
|
Проценты
к получению
|
60
|
6
116 580
|
9
499 731
|
|
Проценты
к уплате
|
70
|
69
261 443
|
79
988 279
|
|
Доходы
от участия в других организациях
|
80
|
41
380 250
|
96
044 474
|
|
Прочие
доходы
|
90
|
2
302 482 271
|
2
893 297 875
|
100
|
2
577 901 278
|
2
630 407 372
|
|
Прибыль
(убыток) до налогообложения
|
140
|
525
173 441
|
841
715 338
|
|
Отложенные
налоговые активы
|
143
|
2
429 890
|
-24
975 446
|
|
Отложенные
налоговые обязательства
|
144
|
12697054
|
-46200066
|
|
Текущий
налог на прибыль
|
145
|
189
568 220
|
119
828 768
|
|
Иные
аналогичные обязательные платежи
|
150
|
1
918 567
|
26114898
|
|
Чистая
прибыль (нераспределенная прибыль (убыток) отчетного периода)
|
190
|
364
577 256
|
624
613 273
|
|
|
|
|
|
Справочно:
|
|
|
|
|
Постоянные
налоговые обязательства (активы)
|
200
|
7
417
|
10
935
|
|
Базовая
прибыль (убыток) на акцию
|
201
|
63
|
63
|
|
Раздвоенная
прибыль (убыток) на акцию
|
202
|
0
|
0
|
Приложение 2
|
Статья
|
Алгоритм
расчета по строкам баланса
|
Обозначение
|
На
начало года
|
На
конец года
|
|
АКТИВ
|
|
Внеоборотные
активы
|
|
ВА
|
5
621 429 049
|
5
471 134 457
|
|
Основные
средства
|
120
|
ОС
|
3
775 323 711
|
3
621 565 477
|
|
Долгосрочные
финансовые вложения
|
140
|
ДФВ
|
1
627 870 581
|
1
517 264 033
|
|
Прочие
внеоборотные активы
|
110+130+135+145+150+230
|
ПВА
|
218
234 757
|
332
304 947
|
|
Оборотные
активы
|
|
ОА
|
1
811 712 891
|
2
356 823 254
|
|
Денежные
средства и краткосрочные финансовые вложения
|
260+250
|
ДСиВ
|
120
383 837
|
227
909 805
|
|
Расчеты
с дебиторами
|
240+215
|
ДБ
|
866
291 678
|
1
149 893 282
|
|
Запасы
и затраты
|
210+220-215
|
ЗЗ
|
259
590 545
|
275
080 423
|
|
Прочие
оборотные активы
|
230+270
|
ПОА
|
565
446 831
|
703
939 744
|
|
Всего
активов
|
|
ВБ
|
7
433 141 940
|
7
827 957 711
|
|
ПАССИВ
|
|
Собственные
средства
|
|
СС(СК)
|
5
899 620 165
|
6
192 006 793
|
|
Фонд
собственных средств
|
490-(450+470)+630+640+650
|
ФСС
|
3
917 092 592
|
3
899 041 016
|
|
Нераспределенная
прибыль (убыток)
|
470
|
НП
|
1
982 527 573
|
2
292 965 777
|
|
Прочие
источники
|
450
|
ПИ
|
0
|
0
|
|
Заемные
средства
|
|
ЗС(ЗК)
|
1
533 521 775
|
1
635 950 918
|
|
Краткосрочные
обязательства
|
610+620+660
|
КО
|
462
313 057
|
632
052 149
|
|
Долгосрочные
обязательства
|
590
|
ДО
|
1
071 208 718
|
1
003 898 769
|
|
Всего
пассивов
|
|
ВБ
|
7
433 141 940
|
7
827 957 711
|