Открытие нового маршрута для улучшения транспортного обслуживания населения. Санитарная очистка городов

  • Вид работы:
    Дипломная (ВКР)
  • Предмет:
    Транспорт, грузоперевозки
  • Язык:
    Русский
    ,
    Формат файла:
    MS Word
    119,32 kb
  • Опубликовано:
    2011-06-04
Вы можете узнать стоимость помощи в написании студенческой работы.
Помощь в написании работы, которую точно примут!

Открытие нового маршрута для улучшения транспортного обслуживания населения. Санитарная очистка городов

Оглавление

1. Городской транспорт

.1 Выбор вида пассажирского транспорта на вновь открываемый маршрут

. Санитарная очистка городов

.1 Определение объемов накопленных твердых бытовых отходов, потребного количества спецтехники и очередности объезда домовладений и мусоровозами и контейнеровозами

Использованная литература

1. Городской транспорт

 

.1 Выбор вида пассажирского транспорта на вновь открываемый маршрут


Для выполнения проекта по улучшению транспортного обслуживания населения нового жилого района предусматривающего открытие радикального маршрута, связывающего центр района с центром города.

Исходные данные маршрута:

Протяженность маршрута 26 км.

Ожидаемый максимальный пассажирский поток в «час пик» 3526 в одну сторону.

Среднее расстояние между остановками 526 м.

Среднее время на остановку для посадки и высадки пассажиров 1 мин.

Среднее время простоя транспортного средства на конечном пункте маршрута 10 минут.

Среднесуточная продолжительность работы транспортных средств на маршруте 12 часов.

В качестве основы для выбора экономически целесообразного вида транспорта предлагаются:

·      трамвай типа РВЗ-6, вместимостью 36 мест для сидения и 18 кв. метров свободной площади пола;

·        троллейбус типа ЗИУ-9, вместимостью 27 мест для сидения и 14 кв. метров свободной площади пола;

·        автобус типа ИКАРУС-280, вместимостью 37 мест для сидения и 16 кв. метров свободной площади пола.

Технико-экономические показатели по видам транспорта составляют:

ü коэффициент выпуска подвижного состава на линию

Трамвай - 0,8

Троллейбус - 0,75

Автобус - 0,7;

ü средняя техническая скорость движения предлагаемого транспорта 60 км/ч;

ü  средняя эксплуатационная скорость трамвая, троллейбуса и автобуса 20 км/ч.

Известны нормативные показатели по транспорту:

Ø    нормативный коэффициент эффективности капитальных вложений, равный 0,16 (Ен)

Ø  нормативная вместимость вагона (машины) определяется количеством мест сидения плюс 4 человека на кв. метр свободной площади пола салона.

Основные показатели вариантов проекта пассажирского транспорта на маршруте сводятся в таблицу (см. табл. 1).

Произведен расчет основных показателей пассажирского транспорта на маршруте:

1.      Нормативная вместимость вагона (машины):

·          трамвай

е = 4*18+36 = 108 (пас.)

·          троллейбус

е = 4*14+27 = 83 (пас.)

·          автобус

е = 4*16+37 = 101 (пас.)

2. Время оборота вагона (машины) на маршруте:

Tоб = tдв + tоп + tкп

Для расчета данного показателя определим:

а) время в движении вагона (машины) за оборот на маршруте:

(ч)

б) количество остановок во время одного маршрута:

/526=50 (ост.)

*2 = 100 (ост.)

в) время на остановки для посадки и высадки пассажиров за оборот:

tоп = 100*1 = 100 (мин) или 1,7 (час)

г) время простоя вагона (машины) на конечных пунктах маршрута за оборот:

tкп = 10*2 = 20 (мин) или 0,33 (час)

Время оборота вагона на маршруте:

Tоб = tдв + tоп + tкп

Tоб = 0,9+1,7+0,33 = 2,93 (час)

2.      Потребное количество вагонов (машин) в движении на маршруте при известном пассажиропотоке в «час пик».

Вд = Пmax* tоб /e

Пmax - ожидаемый максимальный пассажиропоток в «час пик», пасс. в одну сторону.

·          трамвай

Вдв = (трам.)

·          троллейбус

Вдв = (трол.)

·          автобус

Вдв = (авт.)

4. Пробег вагонов (машин) на маршруте за год.

L = Bдв*tср*365

Известно, что среднесуточная продолжительность работы для всего транспорта 12 часов, а средняя эксплуатационная скорость - 20 км/ч. Количество вагонов (машин) определили по видам транспорта.

Пробег вагонов определяем по видам транспорта:

·          трамвай

L = 96*12*20*365 = 8409600 (км)

·          троллейбус

L = 124*12*20*365 = 1086240 (км)

·          автобус

L = 102*12*20*365 = 8935200 (км)

5. Рассчитаем количество вагонов (машин) инвентарных:

·          трамвай

96/0,8=120 (трам.)

·          троллейбус

124/0,75=165 (трол.)

·          автобус

102/0,7=146 (авт.)

Таблица 1Основные показатели вариантов проекта пассажирского транспорта на маршруте

Показатели

Единица измерения

Трамвай типа РВЗ-6

Троллейбус типа ЗИУ-9

Автобус типа ИКАРУС-280

Протяженность транспортной линии в однопутном исчислении

 км

 52

 52

 52

 Вагоны (машины) в движении

 ед.

 96

 124

 102

Коэффициент выпуска подвижного состава на линию

 -

 0,8

 0,75

 0,7

 Вагоны (машины) инвентарные

 ед.

 120

 165

 146

Пробег вагонов (машин) за год

 км

 8409600

 10862400

 8935200

Время оборота вагона (машины) на маршруте

 ч.

 2,93

 2,93

 2,93

Нормативная вместимость вагона (машины)

 мест

 108

 83

 101


Расчеты капитальных вложений и ожидаемых эксплуатационных расходов по вариантам проекта пассажирского транспорта на маршруте сводятся в таблицы (см. таблицы. 2,3).

Для расчета таблицы 2 и таблицы 3 известны затраты в тыс. рублей на единицу. Количество единиц рассчитано и внесено в таблицу 1.

Таблица 2Капитальные вложения в вариантах проекта пассажирского транспорта на маршруте

Элементы капитальных вложений

В расчете на какую единицу измерения

Трамвай

Троллейбус

Автобус



Количество единиц

На единицу, тыс. руб.

Всего, тыс. руб.

Количество единиц

На единицу, тыс. руб.

Всего, тыс. руб.

Количество единиц

На единицу, тыс. руб.

Всего, тыс. руб.

Подвижной состав

инвентарная единица

 120

 600

 72000

 165

 700

 115500

 146

 600

 87600

Депо (гараж)

инвентарная единица

 24

 20

 480

 41

 20

 820

 44

 30

 1320

Тяговые подстанции

вагон (машина) в движении

 96

 30

 2880

 124

 30

 3720

 -

 -

 -

Рельсовый путь (обособленное полотно)

км. однопутной линии

 52

 1000

 52000

 -

 -

 -

 -

 -

 -

Контактная и кабельная сеть

км. однопутной линии

 52

 500

 26000

 52

 800

 41600

 -

 -

 -

Автозаправочные станции

машины в движении

 -

 -

 -

 -

 -

 -

 52

 1000

 52000

Итого



153360



161640



140920


Таблица 3 Ожидаемые эксплуатационные расходы по вариантам проекта пассажирского транспорта на маршруте

Вид эксплуатационных расходов

В расчете на какую единицу измерения

Трамвай

Троллейбус

Автобус



Количество единиц

На единицу в год, тыс. руб.

Всего за год, тыс. руб.

Количество единиц

На единицу в год, тыс. руб.

Всего за год, тыс. руб.

Количество единиц

На единицу в год, тыс. руб.

Всего за год, тыс. руб.

 На движение

10 тыс. вагоно-(машино-)км

 840,96

 100

 84096

 1086,24

 100

 108624

 893,52

 80

 71481,6

 По депо (гаражу)

инвентарная единица

 120

 5

 600

 165

 5

 825

 146

 10

 1460

По тяговым подстанциям

вагон в движении

 56

 20

 1120

 73

 30

 2190

 -

 -

 -

На содержание автозаправочной станции

машина в движении

 -

 -

 -

 -

 -

 -

 60

 10

 600

На содержание рельсового пути (обособленное полотно)

км. однопутной линии

 52

 20

 1040

 -

 -

 -

 -

 -

 -

На содержание проездной части улиц

км. полосы движения

 -

 -

 -

 26

 40

 1040

 26

 40

 1040

На содержание контактной и кабельной сети

км. однопутной линии

 52

 15

 780

 52

 10

 520

 -

 -

 -

Итого



87636



113199



74581,6


Для расчета эффективности вариантов проекта пассажирского транспорта на маршруте составим сводную таблицу (см. таблицу 4), которая составляется на основании таблиц 2 и 3.

Для того чтобы рассчитать приведенные затраты (П) используем формулу:

П = С + Ен*К

С - годовые эксплутационные расходы, тыс. руб.;

Ен - нормативный коэффициент эффективности капитальных вложений, равный 0,6;

К - капитальные вложения, тыс. руб.

Таблица 4 Основные показатели расчета эффективности вариантов проекта пассажирского транспорта на маршруте

Показатели

Трамвай типа РВЗ-6

Троллейбус типа ЗИУ-9

Автобус типа ИКАРУС-280

Капитальные вложения, тыс. руб.

 153360

 161640

 140920

Эксплуатационные расходы, тыс. руб. в год

 87636

 113199

 74581,6

Приведенные затраты тыс. руб. в год

 179652

 210183

 159133,6


Вывод:

Расчеты всех основных показателей эффективности пассажирского транспорта на маршруте произведены.

Проанализируем показатели по видам транспорта.

Нормативная вместимость вагона (машины):

трамвай - 108 пассажиров

троллейбус - 83 пассажира

автобус - 101 пассажир

По данному показателю практически не отличаются трамвай и автобус, но «вместимость вагона» показатель основной, но не главный, он не является решающим.

Потребное количество вагонов в движении на маршруте:

трамвай - 96 единиц

троллейбус - 124 единиц

автобус - 102 единиц

По данному показателю можно сказать все то, что сказано о предыдущем показателе.

О целесообразности использования конкретного вида транспорта на вновь открываемом маршруте делается вывод по сумме наименьших приведенных затрат.

По таблице 2 видно, что капитальные вложения на маршруте наименьшие при использовании автобуса. Наибольшие затраты сложились по троллейбусу.

По таблице 3 видно, что ожидаемые эксплуатационные расходы на маршруте наименьшие по автобусу и наибольшие вновь по троллейбусу.

Основные показатели расчета эффективности вариантов проекта пассажирского транспорта на маршруте показали, что наиболее эффективным является использование автобуса.

При открытии нового маршрута для улучшения транспортного обслуживания населения нового жилого района, связывающего центр района с центром города, из трёх видов транспорта выбираем автобус, как наиболее эффективный вид по всем показателям расчета.

2. Санитарная очистка городов

 

.1 Определение объемов накопленных твердых бытовых отходов, потребного количества спецтехники и очередности объезда домовладений и мусоровозами и контейнеровозами


Для решения вопроса по санитарной очистке города имеется ряд необходимых данных.

В жилом районе насчитывается 12 микрорайонов, где вводится система ежедневного вывоза твердых бытовых отходов. В микрорайонах 1, 4, 7, 8, 10, 12, с общим количеством жителей 400 тыс. человек, предусматривается сбор отходов несменяемые контейнеры емкостью 100 л и вывоз мусоровозами марки КО-413 или марки КО-415.

В микрорайонах 2, 3, 5, 6, 9, 11, имеющих высокую плотность населения, количество жителей 300 тыс. человек, предусматривается сбор отходов в сменяемые контейнеры емкостью 850 л и вывоз контейнеровозами марки М-30А или марки М-30.

По первой группе микрорайонов общий объём недельного накопления отходов составил 6200 м3, со средней плотностью 0,35 т/м3.

Днями наиболее равномерного накопления являются среда, четверг и пятница. В среднем в эти дни суточное накопление составляло 13,8% по объёму от недельного накопления.

Вывоз бытовых отходов из первой и второй группы микрорайонов будет осуществляться на полигон через пункт 6 на расстоянии 13 км.

Себестоимость 1 км пробега:

·          мусоровоза КО-413 - 14 руб. 12 коп.;

·        мусоровоза КО-415 - 21 руб. 58 коп.;

·        контейнеровоза М-30 - 10 руб. 50 коп.;

·        контейнеровоза М-30А - 14 руб. 80 коп.

Коэффициент заполнения контейнера равен 0,9

Коэффициент использования мусоровоза (контейнеровоза) равен 0,8.

Продолжительность рабочей смены 8 часов.

Время простоя под разгрузкой включая время на санитарную обработку:

·      мусоровозов - 0,4 час.;

·        контейнеровозов - 0,5 час.

Рабочая скорость движения:

·      мусоровоза 5 км/ч;

·        контейнеровоза 10 км/ч.

Средняя техническая скорость движения мусоровоза и контейнеровоза равно 25 км/ч.

Целесообразно предусмотреть 2-х сменную работу.

Таблица 5 Технические характеристики мусоровозов

Показатели

мусоровозы


марка КО-413

марка КО-415

Ёмкость кузова полезная (с учетом уплотнения), м3

11,2

43,2

Номинальная грузоподъёмность автомобиля, т

3,3

9,1

Собственная масса автомобиля, т

4,6

11,4

Мощность двигателя, кВт

84,6

154

Полная масса автомобиля с полезной нагрузкой, т

7,9

20,5

Длинна автомобиля, м

5,9

8,6

Ширина автомобиля, м

2,34

2,5


Таблица. Технические характеристики контейнеровозов

Показатели

мусоровозы


марка М-30А

марка М-30

Ёмкость кузова полезная (с учетом уплотнения), м3

8*750

6*750

Номинальная грузоподъёмность автомобиля, т

5

4

Собственная масса автомобиля, т

4,2

3,6

Мощность двигателя, кВт

85

78

Полная масса автомобиля с полезной нагрузкой, т

9,2

7,6

Длинна автомобиля, м

6,5

5,8

Ширина автомобиля, м

2,5

2,5


Для решения задачи сбора и транспортировки твердых бытовых отходов с территории жилого района необходимо:

. Определить среднесуточный объём накопленных отходов, подлежащий сбору и транспортировке.

. Определить потребное количество несменяемых и сменных контейнеров.

. Выбрать приемлемую марку мусоровоза и контейнеровоза и определить их количество.

. Определить очередность объезда (составить маршрут) микрорайонов мусоровозами и контейнеровозами.

. Определить себестоимость вывоза отходов мусоровозами и контейнеровозами.

По технической характеристике автомобилей одним из ванных показателей является полезная ёмкость кузова. У мусоровозов большая полезная емкость кузова марки КО-415, которая составляет 43,2 м3. У контейнеровозов большая полезная емкость кузова марки М-30А, которая составляет 6 м3.

1. Среднесуточный объём накоплений отходов по районам (Vc).

Для данного показателя необходимы данные.

а) средний объём накоплений из расчета среды, четверга и пятницы:

Vcp1 = Vчт1 = Vпт1 = 0,138*6200 = 855,6 м3

Vcp2 = Vчт2 = Vпт2 = 0,138*5600 = 772,8 м3

б) поправочный коэффициент недельного накопления определяется отношением среднего накопления в день за неделю к среднему накоплению в день за среду, четверг и пятницу.

Кн1 = (6200/7)/855,6 = 1,04

Кн2 = (5600/7)/772,8 = 1,04

в) среднесуточный объём накоплений на одного жителя в м3:

(м3/сут)

(м3/сут)

г) среднесуточный объём накоплений на одного жителя в кг (литрах):

,0022*0,35 = 0,00077 = 0,77 (кг)

,0027*0,25 = 0,00068 = 0,68 (кг)

д.) среднесуточный объём накоплений на всех жителей микрорайонов:

,77*400000 = 308000 (кг)

,68*300000 = 204000 (кг)

Определим потребное количество несменяемых и сменных контейнеров

 

n = (Vc/e)*Kз

В микрорайонах 1, 4, 7, 8, 10, 12 необходимо несменяемых контейнеров (КО - 413, КО - 415):

n1 = (308000/100)*0,9 = 2793 (шт.)

В микрорайонах 2, 3, 5, 6, 9, 11 необходимо сменяемых контейнеров (М - 30, М - 30А):

n2 = 204000/850*0,9 = 247 (шт.)

Выбор приемлемой марки мусоровоза и контейнеровоза и определение необходимого количество.

а) коэффициент использования массы (Км)

Км = q/ma:

q - номинальная грузоподъемность автомобиля, т.

ma - собственная масса автомобиля

мусоровоз марки КО-413

Км = 3,3/4,6 = 0,72 (кг)

мусоровоз марки КО-415

Км = 9,1/11,4 = 0,80 (кг)

контейнеровоз марки М-30А

Км = 5,0/4,2 = 1,19 (кг)

контейнеровоз марки М-30

Км = 4,0/3,6 = 1,11 (кг)

б) удельная грузоподъемность (qуд.):

qуд = q/Vk Vk - вместимость кузова

мусоровоз марки КО-413

qуд =3,3/11,2 = 0,29 (т/м3)

мусоровоз марки КО-415

qуд =9,1/43,2 = 0,210 (т/м3)

контейнеровоз марки М-30А

qуд =5,0/6 = 0,83 (т/м3)

контейнеровоз марки М-30

qуд =4,0/4,5 = 0,89 (т/м3)

в) удельная вместимость кузова на 1 т грузоподъемности (Vуд.):

Vуд = Vk/q

Таблица. Технические характеристики

Показатели

Мусоровозы

Контейнеровозы


марка КО-413

марка КО-415

марка М-30А

марка М-30

Ёмкость кузова полезная, м3

11,2

43,2

6,0

4,5

Коэффициент использования массы

0,72

0,80

1,19

1,11

Удельная вместительность кузова на 1 т грузоподъёмности

3,39

4,75

1,20

1,13

Удельная себестоимость перевозки (руб/м3)

1,26

0,50

2,47

2,33


При анализе основных показателей можно выделить мусоровоз марки КО-415 и контейнеровоз марки М-30.

У мусоровоза марки КО-415 все основные показатели более выгодные, чем у КО-413.

У контейнеровоза М-30 большую роль играет показатель «удельная себестоимость перевозки», который составил 2,33 руб./м3. Остальные показатели у контейнеровозов практически не отличаются.

Ежедневная потребность в мусоровозах и контейнеровозах для вывоза твердых бытовых отходов на все население по районам (Нм)


Рсут - суточная производительность мусоровоза (контейнеровоза), м3/сут.

Кисп - коэффициент использования мусоровоза (контейнеровоза), принимается равным 0,8.

Среднесуточный объем накопления твердых бытовых отходов.

·      первая группа микрорайонов

Vс1 = 855,6*3*1,04/3 = 889,8 (м3/сут)

·      вторая группа микрорайонов

Vc2 = 772.8*3*1.04/3 = 803,7 (м3/сут)

ля определения потребного количества мусоровозов и контейнеровозов составим маршрут движения:

v мусоровоза по 1-ой группе микрорайонов:

Рис

v мусоровоза по 2-ой группе микрорайонов:

Рис

По 1-ой группе микрорайонов:

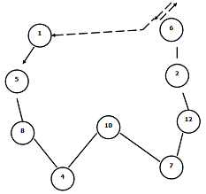
Протяженность маршрута (Lм) сбора бытовых отходов мусоровозом составляет 26 км (расстояние от п. 1 до п. 12).

Величина Lп (расстояние от последнего пункта погрузки на маршруте до полигона и обратно до первого пункта погрузки на маршруте, км.) составит 10 км (расстояние от п. 12 до п. 6) плюс двойное расстояние от п. 6 до полигона плюс 6 км (расстояние от п. 6 до п. 1)(Lп)

+26+6 = 42 (км)

По 2-ой группе микрорайонов:

Протяженность маршрута (Lм) сбора бытовых отходов контейнеровозами составит 20 км включающего центры 2, 3, 5, 6, 9, 11.

Величина Lп составит 6 км (расстояние от п. 11 до п. 6) плюс двойное расстояние от п. 6 до полигона

+26 = 32 (км)

Время пробега от последнего пункта погрузки до полигона и обратно до первого пункта погрузки на маршруте:

 

Tпр=Lп/Vt

Vt - средняя техническая скорость движения мусоровоза (контейнеровоза), км/ч (равна 25км/ч)

Tпр =42/25 = 1,68 (час)

·      - контейнеровоз

Tпр =32/25 = 1,28 (час)

Время рабочего пробега мусоровоза, включая время на выгрузку отходов из несменяемых контейнеров в мусоровоз, время передвижения мусоровоза по маршруту сбора отходов.

 

tраб = Lм/Vраб.

Vраб -рабочая скорость движения мусоровоза и контейнеровоза, км/ч. (для мусоровоза 5км/ч, для контейнеровоза 10 км/ч)

Vраб =26/5 = 5, 2 (час)

Время рабочего пробега контейнеровоза, включая время замены сменяемых контейнеров при вывозе отходов

Vраб = 20/10 = 2 (час)

Определим время одного рейса:

 

tp = tраб + tпр + t разгр

tраб - время рабочего пробега мусоровоза (контейнеровоза) по маршруту при сборе бытовых отходов в микрорайонах, ч.

tпр - время пробега мусоровоза (контейнеровоза) от последнего пункта погрузки до полигона и обратно до первого пункта погрузки на маршруте, ч.

t разгр - время простоя под разгрузкой мусоровоза (контейнеровоза) на полигоне, включая время на санитарную обработку мусоровоза и конетейеров, ч. (для мусоровоза - 0,4 ч, для контейнеровоза - 0,5ч.)

·      - мусоровоза

tp = 5,2+1,68+0,4 = 7,28 (час)

·      - контейнеровоза

tp = 2+1,28+0,5 = 3,78 (час)

Количество рейсов, выполняемых в рабочую смену (8ч ± 0,5ч), учитывая 2-х сменную работу:

 

nр = Tсм/tp

Tсм - продолжительность рабочей смены, ч;мусоровозом

nр =8*2/7,28 = 2 (рейса)

·      контейнеровозом

nр =(8*2)/3,78 = 4 (рейса)

Суточная производительность:

 

Рсут = е* nр

·      мусоровоза

Рсут = 43,2*2 = 86,4 (л)

·      контейнеровоза

Рсут = 4,5*4 = 18 (л)

Ежедневная потребность для вывоза твердых бытовых отходов:

 

nm = Vc/(Pсут*Kисп)

Kисп- коэффициент использования мусоровоза (контейнеровоза), равный 0,8.

·      в мусоровозах (по 1ой группе микрорайонов)

nm = 889,8/(86,4*0,8) = 13 (мус)

· контейнеровозах (по 2ой группе микрорайонов)

nm = 803,7/(18*0,8) = 56 (конт)

определения потребного количества мусоровозов и контейнеровозов для сбора и вывоза твердых бытовых отходов с территории жилого района по интуитивно составленным маршрутам, проведем проверку составленных маршрутов на минимум пробега при объезде микрорайонов, т.е. определим очередность объезда микрорайонов.

Для определения кратчайшего пути объезда заданных пунктов воспользуемся «методом сумм». Для этого строим и заполняем симметричную матрицу.

Таблица. Симметричная матрица маршрута движения мусоровоза по 1-ой группе микрорайонов

1

14

16

11

13

13

14

4

5

3

4

8

16

5

7

8

3

3

11

3

8

8

7

10

13

4

3

7

10

4

13

8

3

10

4

12

67

34

35

39

31

38

Начальный маршрут 1-8-12.

В начальном маршруте определяем место для пункта 7:

∆L1-8 = ∆L1-7 + ∆L7-8 - ∆L1-8

+8-11 = 13

∆L8-12 = 8+3-10 = 1

Следовательно, место пункта 7 на участке 8-12 и маршрут составит цепочку:

-8-7-12

Выбираем место в цепочке пункту 4

∆L1-8 = 14+3-11 = 6

∆L8-7 = 3+5-8 = 0

Пункт 4 будет на участке 8-7, т.к. приращение маршрута равно 0 и маршрут составит цепочку:

-8-4-7-12

Определяем место в цепочке для пункта 10:

∆L1-8 = 13+7-11 = 9

∆L8-4 = 7+4-3 = 8

∆L4-7 = 4+3-5 = 2

∆L7-12 = 3+4-3 = 4

Пункт 10 будет на участке 4-7 и маршрут составит цепочку:

-8-4-10-7-12

Протяженность маршрута мусоровоза составит:

+3+4+3+3=24 (км)

По полученной цепочке составим новый маршрут по 1-му микрорайону.

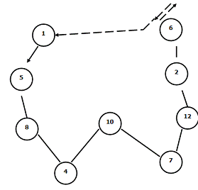
Маршрут движения мусоровоза по 1-ой группе микрорайонов

Рис

Протяженность маршрута (Lм) сбора бытовых отходов мусоровозом составит 24 км (расстояние от п. 1 до п. 12).

Таблица. Симметричная матрица маршрута движения контейнеровоза по 2-ой группе микрорайонов

65810106






5

2

4

7

9

5

8

4

9

3

5

3

10

7

3

3

4

4

10

9

5

4

5

4

6

5

3

4

4

11

39

30

23

28

32

22


Начальный маршрут 6-5-2.

В начальном маршруте выбираем место для пункта «3»:

∆L6-5 = L6-3 + L3-5 - L6-5

+4-10 = 4

∆L5-2 = L5-3 + L3-2 - L5-2

+7-9 = 2

Следовательно, место пункта 3 на участке 5-2 и маршрут составит цепочку:

-5-3-2

В цепочке определяем место пункта 9:

∆L6-5 = 8+5-10 = 3

∆L5-3 = 5+3-4 = 4

∆L3-2 = 3+4-7 = 0

Следовательно, место пункта 9 на участке 3-2 и цепочка:

Определим место в полученной цепочке пункту 11:

∆L6-5 = 6+4-10 = 0

На участке 6-5 приращение расстояния равно 0, следовательно место пункта 11 на этом участке.

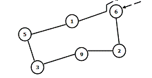
Очередность объезда пунктов контейнеровозом составит:

-11-5-3-9-2

что подтверждает правильность построенного маршрута, приведенного на рисунке 3.

Протяженность маршрута (Lм) сбора бытовых отходов мусоровозом составит 24 км (расстояние от п. 1 до п. 12).

После выбора оптимального маршрута рассчитаем ежедневную потребность в мусоровозах.

Время пробега от последнего пункта погрузки да полигона и обратно до первого пункта погрузки на маршруте останется неизменным, т.е. расчет получен при расчете интуитивно выбранного маршрута и равно 1,68 час.

Время рабочего пробега мусоровоза, включая время на выгрузку отходов из несменяемых контейнеров в мусоровоз, время передвижения мусоровоза по маршруту сбора отходов.

tраб = Lм/Vраб

tраб =24/5 = 4,8 (час)

Определим время одного рейса:

 

tp = tраб + tпр + t разгр

tp = 4,8+1,68+0,4 = 6,88 (час)

Количество рейсов, выполненных за рабочую смену, учитывая 2-х сменную работу:

 

nр = Tсм/tp

nр = 8*2/6,88 = 2 (рейса)

Суточная производительность мусоровоза:

 

Рсут = е* nр

Рсут = 43,2*2 = 86,4 (л)

Ежедневная потребность в мусоровозах для вывоза бытовых отходов:

nm = Vc/(Pсут*Kисп)

nm = 889,8/(86,4*0,8) = 13 (мусор)

Определим себестоимость вывоза отходов мусоровозами и контейнеровозами:

а) себестоимость по вывозу отходов мусоровозами

·      себестоимость 1 км пробега 21 руб. 58 коп.

·        пробег по маршруту

От пункта 6 до полигона и обратно 26 км, от п. 6 до п. 1 6 км, от п. 12 до п. 6 10 км, протяженность маршрута 24 км

+6+10+24 = 66 (км)

·      себестоимость рейса

21,58*66 = 1424,28 (руб.)

·      себестоимость 2-х рейсов, совершаемых 6-ю мусоровозами

1424,28*2*13 = 37031,28 (руб.)

б) себестоимость по вывозу отходов контейнеровозом

·      - с/с 1 км пробега 10 руб. 50 коп.

·        - пробег по маршруту до полигона и обратно 52 км

·        Расчет себестоимости одного рейса:

,50*52 = 546 (руб.)

·      Расчет себестоимости 4-х рейсов одним контейнеровозом:

56*546*4 = 122304 (руб.)

Вывод

В жилом районе 12 микрорайонов, которые поделены на 2 группы.

В первой группе микрорайонов (1, 4, 7, 8, 10, 12) с общим количеством 400000.

Во 2-ой группе (2, 3, 5, 6, 9, 11) - проживает 300000 человек.

По 1-ой группе микрорайонов общий объём недельного накопления отходов составил 6200 м3, а по 2-ой группе 5600 м3.

Для вывоза отходов по первой группе микрорайонов выбираем мусоровоз марки КО-415, а по второй группе - контейнеровоз марки М-30. Для вывоза отходов составили 2 маршрута (см. таблицу 3 и 4).

Чтобы вывести отходы с 1-ой группы микрорайонов необходимо 13 мусоровозов и сделать они должны по 2 рейса.

Чтобы вывезти отходы со 2-ой группы микрорайонов необходимо 56 контейнеровозов, которые совершат 4 рейса за сутки.

Среднесуточная себестоимость вывоза отходов по 1-у маршруту, т.е. 1-ая группа микрорайонов составит 37031 руб. 28 коп., и по 2-ой группе микрорайонов себестоимость за сутки по вывозу отходов 122304 руб.

Использованная литература

транспорт пассажирский мусоровоз маршрут

1.      Методические указания к курсовому проекту по дисциплине «Техника и технология отрасли городского хозяйства»для студентов всех форм обучения института региональной экономики и управления.

Похожие работы на - Открытие нового маршрута для улучшения транспортного обслуживания населения. Санитарная очистка городов

 

Не нашли материал для своей работы?
Поможем написать уникальную работу
Без плагиата!
Без нейросетей!