Теория нелинейной теплопроводности
Министерство образования и науки
Российской Федерации
Курсовая
работа
на тему:
Теория нелинейной теплопроводности
Содержание
Аннотация
Введение
1. Теория нелинейной теплопроводности
2. Распространение тепловых возмущений в нелинейных средах
3. Пространственная локализация тепловых возмущений
4. Задача нелинейной теплопроводности с объемным поглощением
5.Решения нелинейной задачи теплопроводности на полупрямой
Заключение
Список используемой литературы
Аннотация
Как известно в учении о теплообмене рассматриваются процессы
распространения теплоты в твердых, жидких и газообразных телах. Эти процессы по
своей физико-механической природе весьма многообразны, отличаются большой
сложностью и обычно развиваются в виде целого комплекса разнородных явлений.
Перенос теплоты может осуществляться тремя способами: теплопроводностью,
конвекцией и излучением, или радиацией. Эти формы глубоко различны по своей
природе и характеризуются различными законами.
Теплопроводность - это один из видов переноса теплоты (энергии теплового
движения микрочастиц) от более нагретых частей тела к менее нагретым,
приводящий к выравниванию температуры.
Процесс переноса теплоты теплопроводностью происходит между
непосредственно соприкасающимися телами или частицами тел с различной
температурой. Учение о теплопроводности однородных и изотропных тел опирается
на весьма прочный теоретический фундамент. Оно основано на простых
количественных законах и располагает хорошо разработанным математическим
аппаратом который я и постарался рассмотреть в данной курсовой работе.
Введение
Одним из
актуальных направлений современной математической физики является изучение
нелинейных математических моделей различных физико-химических явлений и
процессов. Появление таких моделей обусловлено использованием в современной
физике и технике воздействий на вещество электрических полей большой
интенсивности, пучков частиц высокой энергии, мощного лазерного когерентного
излучения, ударных волн высокой интенсивности, мощных тепловых потоков.
Линейные математические модели являются всегда лишь определенными приближениями
при описании различных процессов. Их можно использовать только в тех случаях,
когда исследуемые физические величины в рассматриваемом процессе изменяются не
в очень широком диапазоне значений.
Нелинейные
модели позволяют описать процессы в более широком диапазоне изменения
параметров. При этом нелинейности изменяют не только количественные
характеристики процессов, но и качественную картину их протекания. В основе
нелинейных моделей лежат нелинейные дифференциальные уравнения в частных
производных, законченной теории и общих методов решения задач для которых в
настоящее время не разработано. Однако для ряда нелинейных задач математической
физики удается найти точные аналитические решения, анализ свойств которых
позволяет выявить качественно новые нелинейные эффекты в исследуемых процессах.
В частности, при исследовании высокотемпературных тепловых процессов с учетом
действия таких механизмов переноса энергии, как электронная или лучистая теплопроводности,
необходимо учитывать зависимость плотности р, удельной теплоемкости с и
коэффициента теплопроводности среды k от температуры.
Мощность
тепловых источников, распределенных в объеме среды, также может зависеть от
температуры, если учитывать процессы диссоциации и ионизации молекул, фазовые
переходы, излучение, горение, химические реакции и другие экзо- и
эндотермические процессы, протекающие в нагретой среде.
1. Теория
нелинейной теплопроводности
Уравнение
теплопроводности, учитывающее зависимость свойств среды от температуры и
нелинейную зависимость от температуры мощности распределенных в объеме тепловых
источников, является квазилинейным параболическим уравнением вида
(1.1)
Нелинейность
задачи теплопроводности может быть также обусловлена нелинейностью граничного
условия. Такие задачи, в отличие от задач с внутренней нелинейностью,
обусловленной нелинейностью уравнения, часто называют задачами с внешней
нелинейностью.
Нелинейное
граничное условие на поверхности тела может иметь вид
(1.2)
где функция в
нелинейным образом зависит от температуры.
К таким
условиям, например, относится условие на поверхности излучающего тела или
условие конвективного теплообмена , в котором коэффициент теплообмена ат
зависит от температуры поверхности тела.
Задача
теплопроводности становится нелинейной, если учитывать фазовые переходы в
среде, такие, как плавление, испарение, конденсация, кристаллизация,
происходящие при определенной температуре и сопровождающиеся выделением или
поглощением теплоты.
В среде с
фазовым переходом появляется поверхность ∑ раздела фаз, которую называют
фронтом фазового перехода. Эта поверхность перемещается с конечной скоростью.
Баланс тепловой энергии на фронте фазового перехода с температурой u* позволяет записать на движущейся
поверхности ∑ фронта кроме условия
u1(P)=u2(P)=u*(1.3)
другое
граничное условие:
(1.4)
где k1, k2 и
и1, u2 - коэффициенты теплопроводности и температуры двух соприкасающихся фаз
соответственно; q* - удельная
массовая теплота фазового перехода; V - мгновенная скорость перемещения фронта фазового перехода в направлении
нормали
поверхности∑ .
Так как
скорость перемещения фронта V
заранее не известна и должна быть найдена в процессе решения задачи
теплопроводности, то граничное условие (1.4), называемое условием Стефана,
делает задачу нелинейной.
Возможен и
другой подход к моделированию процесса фазового перехода без явного выделения
фронта фазового перехода при постановке задачи. Этот подход связан с переходом
в класс обобщенных функций. Действительно, теплоту фазового перехода,
выделяющуюся на фронте, можно учесть, считая внутреннюю энергию среды разрывной
функцией температуры и вводя сосредоточенную теплоемкость среды. При этом
внутренняя энергия единицы объема среды е, как функция температуры, при u = u* скачком изменяется на величину теплоты фазового перехода,
т.е.
(1.5)
Здесь
= р(u) с(u) -
теплоемкость единицы объема среды;
Q*=pq*;
импульсная
функция Хевисайда, производная которой
есть дельта-функция
.
Дифференцируя
теперь внутреннюю энергию (1.5) по температуре, получим выражение для
эффективной объемной теплоемкости среды с учетом теплоты фазового перехода
эф=
(u)+Q*
.
Второе
слагаемое, записанное через дельта функцию, представляет собой сосредоточенную
теплоемкость, которую следует понимать как обобщенную функцию температуры.
При таком
описании фазового перехода уравнение теплопроводности в отсутствие объемных
тепловых источников примет вид
[c(u)+q*
]p(u)
(1.6)
Здесь
Фронт
фазового перехода в такой постановке задачи находится как изотермическая
поверхность u = u* = const, положение которой в пространстве, а в общем случае
и форма, изменяются с течением времени.
Нелинейности
изменяют не только количественные характеристики тепловых процессов, но и
качественную картину их протекания. Они значительно усложняют математические
модели тепловых процессов, причем во многом эти трудности связаны с
невозможностью применения для нелинейных задач принципа суперпозиции решений.
Число найденных точных аналитических решений таких нелинейных задач
теплопроводности крайне ограничено, но именно анализ этих решений позволяет
выявить качественно новые нелинейные эффекты при распространении теплоты. Некоторые
такие решения нелинейных задач теплопроводности рассмотрены ниже.
Квазилинейные
параболические уравнения второго порядка лежат в основе математических моделей
разнообразных явлений и процессов в механике, физике, биологии, экологии,
технологии и других отраслей знаний. В частности, уравнение нелинейной
теплопроводности (1.1) при определенных условиях описывает фильтрацию жидкостей
и газов в пористых материалах, диффузию нейтронов, нелинейный скин-эффект при
проникновении магнитного поля в проводящие среды. Это уравнение применимо при
математическом описании процессов горения и детонации, химической кинетики,
процесса роста и миграции биологических популяций, распространении загрязнений
в окружающей среде. Такой диапазон приложений уравнения (1.1) обусловлен тем,
что в его основе лежат фундаментальные законы сохранения энергии, массы или
числа частиц.
Распределение
температуры в неограниченном стержне
,-∞˂x˂+∞
Начальное
условие: u|t=0=f(x)
Решение:
(интеграл
Пуассона).
Распределение
температуры в стержне, ограниченном с одной стороны
, 0˂x˂+∞
Начальное
условие: u|t=0=f(x)
Краевое
условие: u|t=0=φ(t)
Решение:
.
Распространение тепловых возмущений в нелинейных средах
В работах
Г.И. Баренблатта, Я.Б. Зельдовича, С.П. Курдюмова, Л.К. Мартинсона, А.А.
Самарского и других найдены точные аналитические решения некоторых задач
нелинейной теплопроводности. Анализ свойств этих решений позволяет обнаружить
ряд важных нелинейных эффектов при распространении тепловых возмущений в
средах, коэффициент теплопроводности которых зависит от температуры.
Рассмотрим
среду, коэффициент теплопроводности k которой изменяется в зависимости от
температуры и по степенному закону
k=k0uб (2.1)
где
> 0 - параметр нелинейности среды.
Плотность среды ρ и ее теплоемкость будем считать постоянными, не
зависящими от температуры. Такую среду, в отличие от среды с постоянным
коэффициентом теплопроводности (δ = 0), назовем нелинейной, так как процесс
теплопроводности в такой среде в отсутствие объемных тепловых источников
описывается нелинейным, точнее, квазилинейным параболическим уравнением
(2.2)
где
- характерный коэффициент
температуропроводности.
При
моделировании тепловых процессов в нелинейной среде необходимо использовать
такие решения уравнения (2.2), которые удовлетворяют условиям непрерывности
температуры и теплового потока. Но так как плотность теплового потока
в такой среде
зависит не только от градиента температуры, но и от значения самой температуры,
то решения уравнения нелинейной теплопроводности (2.2) следует искать в классе
обобщенных функций, допускающих разрывы производных по пространственным
переменным там, где функция и обращается в нуль и уравнение (2.2) вырождается.
.
Пространственная локализация тепловых возмущений
Еще один
интересный нелинейный эффект можно обнаружить при рассмотрении процесса
распространения тепловых возмущений в нелинейных средах с объемным поглощением
теплоты.
Рассмотрим
задачу о влиянии мгновенного плоского сосредоточенного теплового источника в
нелинейной среде с коэффициентом теплопроводности, изменяющимся в зависимости
от температуры по степенному закону, если в нагретой среде происходит объемное
поглощение теплоты, удельная мощность которого в каждой точке среды
пропорциональна значению температуры в данный момент времени. Математическая
модель такого процесса соответствует задаче Коши для квазилинейного уравнения
теплопроводности с младшим членом
(3.1)
Здесь
- коэффициент поглощения.
Поглощение
энергии в объеме нелинейной среды приводит к уменьшению интегральной тепловой
(внутренней) энергии среды. Поэтому при интегрировании (3.1) по
пространственному переменному
в пределах от -∞до +∞ находим
(3.2)
где 
Так как
, то, интегрируя уравнение (3.2),
получаем
Для решения
задачи (3.1) перейдем с помощью преобразования
(3.3)
к новой
функции v(x,t) . Тогда уравнение для V принимает вид
Вводя новое
независимое переменное (преобразованное время) по правилу
(3.4)
получаем для
функции
задачу
(3.5)
С точностью
до обозначения временного переменного задача (3.5) соответствует задаче о
влиянии мгновенного сосредоточенного теплового источника в нелинейной среде без
объемного поглощения. Единственное отличие состоит в том, что задача (3.5)
сформулирована на конечном "временном" интервале. Поэтому, проведя
обратное преобразование переменных, можно записать решение исходной задачи
(3.1) в виде
(3.6)
(3.7)
Зависимости U(τ) и x0(τ) в (7.7) определены формулами в
которых время t следует заменить на τ, понимая под τ = τ (t) преобразованное по закону
(3.8)
временное
переменное. При этом существенно, что преобразование
отображает полубесконечный интервал
[0, +∞) по переменному t в ограниченный отрезок [0, τm) по переменному
τ .
Финитное
решение (3.6) задачи (3.1) представляет собой фронтовое решение, описывающее
распространение тепловой волны от мгновенного сосредоточенного источника с
конечной скоростью перемещения фронтов x=±x0(
).
Но главную
особенность этого решения можно обнаружить, если проанализировать законы
движения фронтов тепловой волны. Из этого анализа следует, что функция
в любой момент времени t > 0
равна нулю вне области
, где
Так как при
, то
тепловые возмущения от источника проникают в нелинейную
среду с объемным поглощением лишь на конечную глубину даже за бесконечный
промежуток времени. Тепловые возмущения оказываются локализованными в
ограниченной пространственной области.
Как видно на рисунке 1, на плоскости состояний
заштрихованная область возмущений,
где
, заключена в полуполосе, конечная
ширина которой 2Lm. При этом
величина Lm, определяющая размер области
локализации тепловых возмущений, зависит от определяющих параметров задачи в
соответствии с выражением (3.10).
В частности, размер области пространственной локализации увеличивается с
ростом мощности теплового источника Q и уменьшается с увеличением коэффициента
поглощения ρ.

Рисунок 1
Рисунок 1
описывает тепловые возмущения которые оказываются локализованными в
ограниченной пространственной области так как тепловые возмущения от источника
проникают в нелинейную среду с объемным поглощением лишь на конечную глубину
даже за бесконечный промежуток времени.
Эффект
пространственной локализации тепловых возмущений в рассмотренной задаче
обусловлен объемным поглощением тепловой энергии. Действительно, если
То
и, как следует из выражения (3.10),
, т.е. в среду без объемного
поглощения тепловые возмущения проникают неограниченно далеко.
Возможность
создания условий, когда удержание разогретой среды в ограниченной области
пространства можно осуществить за счет внутренних механизмов нелинейного
процесса теплопроводности, является принципиально новым выводом, вытекающим из
анализа математической модели (3.1) нелинейного процесса теплопроводности.
Реализация таких условий является, в частности, одной из практически важных
задач в проблеме управляемого термоядерного синтеза.
Отметим, что
своеобразный режим метастабильной локализации тепловых возмущений может
наблюдаться и в отсутствие в среде объемного поглощения теплоты. В этом режиме
локализации фронт тепловой волны остается неподвижным в течение некоторого
конечного промежутка времени. Такая локализация тепловых возмущений наблюдается
при нагреве нелинейной среды в режиме с "обострением", когда
температура граничной поверхности растет неограниченно за конечный промежуток
времени. Такую локализацию теплового воздействия в режиме с обострением
иллюстрирует следующая краевая задача нелинейной теплопроводности в
полупространстве:
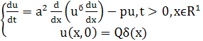
(3.11)
Здесь A0=const˃0; 
Параметр Т в
задаче (3.11) назовем временем обострения процесса разогрева нелинейной среды,
учитывая, что
при 
Задача (3.11)
имеет простое по форме решение в разделяющихся переменных:
(3.12)
Так как
при всех
для любого
, то фронт теплового возмущения х =
х0, на котором равны нулю температура и тепловой поток, отделяет нагретую среду
от холодной. Фронт неподвижен, несмотря на неограниченный
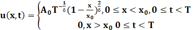
Рисунок 2
Рисунок 2 описывает качественный вид локализованных температурных
профилей остановившейся на время тепловой волны в различные моменты времени
интервала [0,T). рост температуры в области тепловых возмущений при
. В течение промежутка времени [0,T) тепловые возмущения от нагретой
стенки локализованы в пространственной области
конечных размеров.
Решение
(3.12) можно назвать остановившейся на конечное время тепловой волной.
Качественный вид локализованных температурных профилей такой тепловой структуры
в различные моменты времени интервала [0, Т) для среды с показателем
нелинейности δ= 2 представлен на рисунке 2.
. Задача нелинейной теплопроводности с объемным поглощением
Рассмотрим еще одну задачу нелинейной теплопроводности, имеющую точное
решение в аналитической форме. Пусть в нелинейной среде происходят
эндотермические процессы, удельная мощность которых зависит от температуры
степенным образом. Нестационарный процесс теплопроводности в такой среде с
объемным поглощением теплоты описывается квазилинейным уравнением
(4.1)
Здесь u(М, t) - температура; р = const > 0 - параметр поглощения, а значение N = 1, 2, 3 определяет размерность
пространства, в котором происходит исследуемый процесс.
Запишем модель задачи о влиянии мгновенного сосредоточенного теплового
источника в среде с поглощением, если δ< 1, а показатель степени
. Учитывая симметрию такой задачи
(плоскую для N = 1, осевую для N = 2 и центральную для N = 3), сформулируем соответствующую
задачу Коши для квазилинейного уравнения теплопроводности:
(4.2)
где радиальная пространственная координата r≥0 для случаев N = 2 и N = З
и
для N = 1. Параметр а2 в уравнении мы положили равным единице, что
всегда можно сделать соответствующим выбором масштабов времени или
пространственного переменного.
С учетом конечной скорости распространения тепловых возмущений в
нелинейной среде будем искать решение задачи (4.2) в виде фронтового решения
(4.3)
где A(t) и l(t) - функции, подлежащие определению.
Подставив предполагаемую форму решения (4.3) в уравнение (4.2), получим
(4.4)
Можно заметить, что это соотношение приводится к виду
(4.5)
если предположить, что
т.е.
(4.6)
Тогда
(4.7)
Так как условие (4.5) должно выполняться для любых r и t, то это возможно лишь при S(t) = 0. С учетом
формулы (4.7) это условие приводит к дифференциальному уравнению для
определения функции А(t):
(4.8)
Для обеспечения слабой сходимости решения в форме (4.3) при
к дельтаобразному начальному
распределению необходимо, чтобы
, а
при
. Разделяя переменные в уравнении (4.8), интегрируя и полагая
константу интегрирования равной нулю, находим решение.
(4.9)
неограниченно возрастающее при
.
Теперь, используя соотношение (4.6), для функции l(t) приходим к
следующему дифференциальному уравнению:
(4.10)
Общее решение этого неоднородного дифференциального уравнения первого
порядка находим как сумму общего решения однородного уравнения и частного
решения неоднородного уравнения. В результате получаем
(4.11)
Таким образом, с учетом уравнений (4.3), (4.9) и (4.11) решение исходной
задачи (4.2) можно записать в форме фронтового решения
(4.12)
где
(4.13)
(4.14)
Значение константы С в формуле (4.14) можно найти из соотношения
(4.15)
являющегося следствием начального условия задачи Коши (4.2). С учетом
выражений (4.12) - (4.14) соотношение (4.15) преобразуется к виду
(4.16)
Учитывая, что
а значение интеграла
выражается через бета функцию
из выражения (4.16) находим значение константы
(4.17)
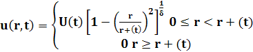
Дадим физическую интерпретацию решения (4.12). Оно описывает эволюцию
тепловой структуры конечных пространственных размеров, которую мы будем
называть тепловым импульсом. В любой момент времени t > 0 существует фронт теплового импульса r = r+(t), отделяющий
область тепловых возмущений от невозмущенной области, куда тепловые возмущения
еще не дошли и где u = 0.
Проанализируем характер движения фронта теплового импульса. Для этого
запишем уравнение (4.14) в виде
(4.18)
Где
Качественный вид зависимости (4.18) представлен на рисунке.
Рисунок 3 описывает качественный вид зависимости движения фронта теплового
импульса
На начальной стадии эволюции теплового импульса механизм тепловой
диффузии является определяющим и пространственный размер теплового импульса
увеличивается с течением времени. В среде распространяется волна разогрева.
Затем скорость движения фронта теплового импульса уменьшается, и при t = t*, где
фронт останавливается, проникнув в нелинейную среду с объемным
поглощением лишь на конечную глубину.
При t > t* объемное поглощение тепловой энергии становится
доминирующим фактором в балансе энергии, и волна разогрева сменяется волной
охлаждения, когда ширина теплового импульса уменьшается. Фронт теплового
импульса изменяет направление движения, и в момент времени t = tm тепловой импульс стягивается в точку, прекращая свое
существование. Тепловой импульс в среде с объемным поглощением тепловой энергии
существует конечное время, т.е. для t > tm в любой точке пространства u = 0. Такую локализацию тепловых
возмущений с конечным временем их существования в нелинейной среде с
поглощением естественно назвать пространственно-временной локализацией.
При р = 0, т.е. в отсутствие объемного поглощения теплоты, из уравнения
(4.14) следует монотонный степенной рост ширины теплового импульса (штриховая
линия на рисунке 2). Тепловые возмущения в этом случае проникают в среду
неограниченно далеко.
Полученные соотношения можно рассматривать и при р < 0, когда в объеме
среды протекают экзотермические процессы, приводящие к выделению тепловой
энергии. В такой нелинейной среде с объемными тепловыми источниками фронт
теплового импульса распространяется с конечной скоростью, однако ширина
теплового импульса в соответствии с соотношением (4.14) при р < 0
увеличивается.
. Решения нелинейной задачи теплопроводности на полупрямой
Начнем с рассмотрения задачи
(5.1)
с начальным/граничным условием для уравнения на полупрямой
характеризуемой начальным и
граничными условиями
u(x,0)=u0(x) ∞˃ x≥0 (5.2)
ux(∞,t)=0 (5.3)
(5.4)
где
- положительная константа, а
- интегрируемая функция. Граничное
условие (5.4) представляет заданную теплопроводность в начале координат
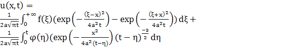
Введем преобразование годографа
(5.5)
(5.6)
(5.7)
условие совместности которого
гарантировано уравнением (5.1).
Используя приведенное выше преобразование, отобразим уравнение (5.1) в линейное
уравнение теплопроводности
(5.8)
в области
, где F(t) удовлетворяет соотношению
(5.9)
С помощью преобразования годографа мы свяжем с уравнением (4) начальные
данные
(5.10)
где z0 в силу уравнений (5.5) и (5.6) имеет вид
(5.11)
а также граничные условия
(5.12)
(5.13)
Тогда задача с начальным /граничным условием для нелинейного
диффузионного уравнения (5.1) с начальными данными (5.2) и граничными условиями
(5.3), (5.4) отображается в линейное уравнение теплопроводности (5.7) в области
с движущейся границей, характеризующейся начальным условием (5.9) и граничными
условиями (5.11), (5.12). Чтобы решить линейную задачу, введем фундаментальное
ядро теплопроводности
(5.14)
и проинтегрируем тождество Грина для уравнения теплопроводности
(5.15)
по области
, а также возьмем
. Используя условие (5.12) и тот
факт, что
, получаем
(5.16)
Из уравнения (5.15) ясно, что можно определить
, если известно граничное условие
v(F(t), t); поэтому удобно вычислить (5.15) при
. Полагая
, получим
(5.17)
(5.18)
(5.19)
Уравнение (5.16) является линейным интегральным уравнением Вольтерра
второго рода с сингулярным ядром
Подходящий выбор функции f(t)
позволяет с помощью уравнения (5.8) получить умеренно сингулярное ядро. Тогда
линейное уравнение Вольтерра (5.16) допускает единственное решение в
предположении, что G(t) является интегрируемой и ограниченной функцией своего
аргумента.
Используя процесс Пикара последовательных приближений, решение уравнения
(5.16) можно записать как
(5.20)
Здесь
-ядро резольвенты, задаваемое рядом
(5.21)
Рис. 4
Графическое представление решения
, соответствующего примеру 5.1
построенное относительно переменной
при фиксированных значениях t для
различных интервалов:
(5.23)
Ниже мы численно исследуем четыре примера, соответствующие двум различным
выборам функции
в первом случае
является константой,
а во втором - линейной функцией времени:
(5.24)
(5.25)
Из (5.23) и (5.24) ясно, что с учетом соотношения (5.8)
является соответственно линейной или
квадратичной функцией времени. Мы рассматриваем начальные данные u0(x),
совместные с асимптотическим условием (5.2), соответствующим, во первых,
функции
(5.26)
Рис. 5
Графическое представление решения
соответствующего примеру 5.2
построенное относительно переменной
при фиксированных значениях
для различных интервалов:
где
- обычная единичная ступенчатая функция, а во-вторых,
функции
(5.27)
(5.28)
Тогда из выражения (5.27) мы получаем обратную функцию
и окончательно находим решение
исходной задачи:
(5.29)
в соответствии с (5.4).
Рис. 6
Графическое представление решения
соответствующего примеру 5.3
построенное относительно переменной
при фиксированных значениях t для
различных интервалов:
Если
определяется (5.24), то интегральное уравнение Вольтерра
(5.16) не решается в квадратурах, как в предыдущем случае, однако оно должно
решаться численно. Решение
линейной задачи получается с помощью уравнения (5.15), но,
конечно, вычислительные издержки такого алгоритма гораздо больше, чем в
предыдущем случае. Интегральное уравнение (5.15) интегрируется численно при
использовании неравномерного fixed-mesh-метода, с тем чтобы избежать проблем,
связанных с наличием умеренно сингулярного ядра. Как объяснялось выше, после
вычисления функции
мы, обращая преобразование годографа, получаем решение
нелинейной задачи (см. (5.27)и
(5.28)).
Ниже мы подробно анализируем примеры и интерпретируем численные
результаты, представив ряд графиков. Подчеркнем, что на всех графиках каждая
линия представляет собой функцию
в фиксированный момент времени. Как и
ожидалось, при больших x решение нелинейной задачи u(x, t) асимптотически
приближается к значению
.
Пример 5.1.
Функция u0(x) задается уравнением (5.25), а f(t) - уравнением (5.23),
где a=1 ,
Тогда
(5.1.1)
Рис. 7
Графическое представление решения
соответствующего примеру 5.4,
построенное относительно переменной x при фиксированных значениях t для
различных интервалов:
Результаты численного моделирования представлены на рис. 4. Видно, что
при 0 <t < 1 разрыв решения
по переменной x, обусловленный
выбором ступенчатой функции
в начальных данных u0(x), сдвигается к началу координат вдоль
оси x с ростом t.
Пример 5.2.
Функция u0(x) задается уравнением (5.25), а f(t) - уравнением (5.24),где a=2,b=0,
Тогда
(5.2.1)
Результаты численного моделирования представлены на рис. 5. Сравнивая
этот результат с предыдущим, мы видим, что выбор функции (5.24) (а именно
квадратичной по времени функции F(t), по-видимому, приводит к более быстрому по
времени приближению решения
к постоянной функции
Пример 5.3.
Функция u0(x) задается уравнением (5.26), а f(t) - уравнением (5.23),
где a=1,c=1,k=
Тогда
(5.3.1)
В этом случае полезно заметить, что из уравнения (5.2.1) с помощью
уравнений (5.9) и (5.10) мы получаем
(5.3.2)
Результаты численного моделирования представлены на рис. 6.
Пример 5.4.
Функция u0(x) задается формулой (5.26), а f(t) - формулой (5.24), где
a=1,c=1,k=
Тогда
(5.4.1)
Результаты численного моделирования представлены на рис. 7. Сравнивая
этот результат с предыдущим, мы видим, что выбор функции (5.24) (а именно
квадратичной по времени функции F(t)), по-видимому, приводит к более быстрому
по времени приближению решения
к постоянной функции
Заключение
нелинейный теплопроводность возмущение поглощение
В своей работе я рассмотрел теплопроводность, некоторые ее свойства.
Рассмотрел несколько видов математических уравнений описывающий этот процесс
при различных условиях. А так же решая нелинейной задачи теплопроводности на
полупрямой показал что выбор функции F(t) квадратичной по времени приводит к более быстрому по
времени приближению решения u(x, t) к постоянной функции
Список используемой литературы
) Мартинсон Л.К., Малов Ю.И. Дифференциальные
уравнения математической физики. Издательство: МГТУ им. Н.Э. Баумана. Москва
2002 г. 368с.
) С. Де Лилло, Д. Лупо, М. Соммакал, Решения
нелинейной задачи теплопроводности на полупрямой, ТМФ,2007г.
) Агошков И.Н. Методы решения задач математической
физики. Учебное пособие для студентов, Специализирующихся в области
вычислительной математики. 2002 г. 320 с.
4) <http://cde.ncstu.ru/lms-ds/login.ds>
) <http://www.mathnet.ru/php/getFT.phtml?jrnid=tmf&paperid=6070&what=fullt&option_lang=rus>
) <http://bse.sci-lib.com/article109938.html>
) <http://www.lib.ua-ru.net/diss/cont/45405.html>