Конические поверхности
МИНИСТЕРСТВО
ОБРАЗОВАНИЯ И НАУКИ РФ
Государственное
образовательное учреждение
высшего
профессионального образования
Московский
государственный технический университет «МАМИ»
Кафедра
«СМиС»
Реферат
на тему «Конические поверхности»
по
дисциплине «Взаимозаменяемость»
Выполнил:
Яхина А.А.
Факультет МТ
Москва 2011г.
Содержание
Допуски
углов конусов
Допуски
и посадки конических соединений
Средства
и методы контроля конических поверхностей
Литература
Допуски углов конусов
В машиностроении нередко приходится иметь дело с угловыми размерами и
допусками на них, коническими соединениями и их взаимозаменяемостью.
Гладкие конические соединения внутреннего конуса «конус - втулка» с
наружным «конус - вал» имеют разнообразное применение. Они имеют следующие
преимущества перед цилиндрическими: можно регулировать величину зазора или
натяга относительным смещением деталей вдоль оси; передают большие крутящие
момент, чем посадки с натягом, при этом их можно часто разбирать и собирать;
конические соединения обеспечивают хорошее центрирование деталей и
герметичность. Герметичность достигается индивидуальной притиркой деталей по
коническим поверхностям, вследствие чего герметичные детали (запорные краны,
клапаны четырехтактных двигателей, запорные иглы карбюраторов и т.п.)
функционально не взаимозаменяемы.
Конусы, как наружные, так и внутренние, характеризуются диаметром
большого основания D (рис.1),
диаметром малого основания d,
углом конуса α, углом α/2 и длиной конуса L.
Рис. 1. Параметры конуса
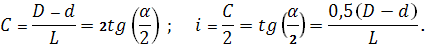
Основные элементы конуса связаны соотношением
где C - конусность; i - уклон.
По своему назначению и конструкции конусы могут быть:
центрирующими - для обеспечения высокой точности центрирования;
силовыми - для передачи крутящих моментов;
герметичными - для ликвидации возможностей утечки жидкостей и газов;
закрепительными - для крепления деталей в строго определенном положении с
помощью различных клиньев, конических штифтов, болтов и т.д.
уплотнительными - для уплотнения конических соединений;
регулирующими - для изменения частоты вращения в различных фрикционных и
других механизмах;
свободными - несопрягаемыми.
С целью обеспечения взаимозаменяемости установлены ряды нормальных углов
и ряды нормальных конусностей.
Различные углы, применяемые при конструировании и изготовлении деталей
машин и приборов, инструмента, приспособлений и др. можно разделить на три
основные группы:
. Нормальные углы общего назначения, размеры которых во многих
случаях являются независимыми, так как не связаны расчетными зависимостями с
другими принятыми линейными или угловыми параметрами (фаски, скосы, наклонные
поверхности, штамповочные и литейные уклоны).
. Нормальные углы специального назначения имеют ограниченное
применение, так как используются в стандартизованных специальных деталях
(например, конусы Морзе, инструментальные конусы, конические трубные резьбы и
калибры, шпиндели и оправки станков и т.д.).
. Специальные углы, размеры которых связаны расчетными зависимостями
с другими принятыми линейными и угловыми размерами. Например, угол подъема
спирали червячной фрезы зависит от диаметра фрезы и шага спирали, т. Е.
является производным размером.
Углы общего назначения имеют наибольшее распространение и их размеры
определены ГОСТ 8908 - 81. Этот стандарт регламентирует допуски углов конусов и
ряды нормальных углов. Им же установлено 17 степеней точности допусков углов,
где допуск 17-ой степени точности является самым грубым.
Обозначая допуск угла определенной точности символом АТ, следует
добавлять и цифровую индексацию степени точности, например АТ1, АТ3 и т.д.
Широкое применение угловых размеров на практике привело к необходимости
их регламентирования. ГОСТ 8908 - 81 стандартизирует нормальные углы и
разделяет их на три ряда:
Ряд
1 - 0
, 5
, 15
, 20
, 30
, 45
, 60
, 90
, 120
;
Ряд
2 - 30', 1
, 2
, 3
, 4
, 5
, 6
, 7
, 8
, 10
, 40
, 75
;
Ряд
3 - 15', 45', 1
30', 2
30', 9
, 12
, 18
, 22
, 25
, 35
, 50
, 55
, 65
, 77
, 80
, 85
, 100
, 110
, 135
, 150
, 165
, 180
, 270
, 360
.
При
определении допусков используется связь между размерами D, d, α и L.
Допустимые
параметры конусов не могут назначаться независимо друг от друга.
Назначение
допусков углов конуса согласно ГОСТ 8908 - 81 зависит от длины конуса L
(для конусов с конусностью не более 1: 3, рис 2) и от длины образующей 
(для
конусов с конусностью более 1: 3, рис 3)
Допуски
углов призматических элементов деталей следует назначать в зависимости от
номинальной длины 
меньшей
стороны угла (рис.4)
Рис. 2. Допуски угла конуса с конусностью не более 1 : 3.
Рис. 3. Допуски угла конуса конусностью более 1 : 3.
Рис. 4. Допуски углов призматических элементов.
Стандарт определяет следующие обозначения допусков углов:
AT -
допуск угла (разность между наибольшим и наименьшим предельными углами);

- допуск
угла, выраженный в угловых единицах;

- округленное
значение допуска угла в градусах, минутах, секундах;

- допуск
угла, выраженный отрезком на перпендикуляре к стороне угла, противолежащий к
углу 
на
расстоянии 
от
вершины этого угла.

- допуск
угла конуса, выраженный допуском на разность диаметров в двух нормальных к оси
сечения конуса на заданном расстоянии L между ними (определяется по
перпендикуляру к оси конуса).
Значение

в
микрорадианах является исходным при определении допусков 

на
заданной длине L или 
.
Значение

получают
округлением точных значений 
.
Значение

определяют
по формуле
где

- в
микрометрых, 
- в
микрорадианах,

- в
миллиметрах.
Значение

относится
только к конусам с конусностью не более 1 : 3, для которых 
= 
(разность
не превышает 2%).
Для
конусов с конусностью более 1 : 3 значение 
следует
определять по формуле
где

-
номинальный угол конуса.
Допуски
углов могут быть расположены в плюс (+ AT), в минус (
AT) или
симметрично (
)
относительно номинального угла (рис. 5 и рис. 6)
Рис. 5. Схемы расположения допусков углов
Рис. 6.Схемы расположения допусков углов конусов
Допуски и посадки конических соединений
В системе допусков конусов используется два способа нормирования допусков
диаметра конуса.
Способ
1 - допуск на диаметр конуса 
(рис. 7)
устанавливаемый по квалитетам точности согласно ГОСТ 25346 - 89.этот допуск
одинаков в любом поперечном сечении конуса и определяет положение двух
предельных конусов (наружный и внутренний), между которыми должны находиться
все точки поверхности действительного конуса. Этот же допуск ограничивает
отклонения угла конуса и отклонения формы конуса, если они не ограничены
меньшими допусками.
Рис. 7. Действительный и предельные конусы
Допуски
на диаметры конуса 
и 
устанавливаются
по квалитетам точности согласно ГОСТ 25346 - 89. В зависимости от того как
сопрягаются два конических изделия (наружный и внутренний конусы) при
одинаковом номинальном угле конуса и разном способе фиксации осевого положения,
посадки могут быть с зазором, натягом и переходные.
Характер
посадки обуславливается изменением базового расстояния, т.е. осевого расстояния
между базовыми плоскостями сопрягаемых конусов. В зависимости от способа
фиксации взаимного осевого положения сопрягаемых конусов посадки подразделяют:
1) посадка с фиксацией путем совмещения конструктивных элементов сопрягаемых
конусов; при этом способе фиксации возможно получение посадок с зазором,
переходных и с натягом (рис. 8); 2) посадка с фиксацией по заданному осевому
расстоянию 
между
базовыми плоскостями; при этом способе фиксации возможно получение посадок с
зазором, переходных и с натягом (рис. 9); 3) посадка с фиксацией по заданному
осевому смещению 
,
сопрягаемых конусов от их начального положения; при этом способе фиксации
возможно получение посадок с зазором и с натягом (рис.10); 4) посадка с
фиксацией по заданному усилию запрессовки
,
прилагаемому в начальном положении сопрягаемых конусов; при этом способе
фиксации возможно получение посадок с натягом (рис. 11).
Рис. 8. Посадки с фиксацией путем совмещения конструктивных элементов
сопрягаемых конусов
Рис. 9. Посадки с фиксацией по заданному осевому расстоянию
Рис. 10. Посадки с фиксацией по заданному осевому смещению
Рис. 11. Посадки с фиксацией по заданному усилию запрессовки
В машиностроении используются разнообразные конические соединения, но
наиболее распространены инструментальные конусы, выпускаемые двух типов:
метрические
конусы с круглым значением конусности, т.е. к = 1 : 20, что соответствует углу
2
= 2
51'51'.
Номер конуса (4, 6, 80, 100, 120, 160 и 200) соответствует размерам их базового
диаметра D, мм (рис. 12, рис. 13)
конусы
Морзе с некруглыми значениями конусности и угла конуса. Значение угла ближе к 3
. Номера
конусов Морзе (0, 1,2, 3, 4, 5, 6) не связаны с его линейными размерами.
Базовый диаметр таких конусов D растет от конуса 0 (D = 9,045мм) к конусу 6 (D =
63,348мм).
Рис. 12. Инструментальные конусы (конус-вал)
Как для метрических, так и для конусов Морзе базовым диаметром является
диаметр D.
Конструктивно инструментальные конусы могут быть с лапкой и резьбовым
отверстием. Эти конусы применяются для конических хвостовиков режущего
инструмента, отверстий шпинделей станков, различных оправок.
Существуют различные методы измерения углов и конусов:
¾ основанные на использовании предельных мер - угловых плиток,
шаблонов, угольников, калибров.
¾ обеспечивающие определение углов и длины конусов в дуговой
мере с использованием оптических угломеров, угломеров со штриховым нониусом и
т.д.
¾ косвенные, смысл которых заключается в определении линейных
размеров, связанных с измеряемым углом. Для измерения применяют синусные
линейки, шарики, ролики и т.д.
Рис. 13. Инструментальные конусы (конус-втулка)
Средства и методы контроля конических поверхностей
Конические поверхности измеряют с помощью угловых мер, шаблонов,
угольников, конусных калибров, шариков, синусных и тангенсных линеек,
универсальных микроскопов (координатным методом), оптических делительных
головок, угломеров с нониусом и т.д.
Наиболее часто конусы измеряют угловыми мерами и угольниками. Угловые
меры (плитки) комплектуют в наборы по 5, 19, 36 и 94 шт., из которых выбирают
соответствующие плитки или блоки для измерения заданных углов (не менее 10°),
представляющие собой трех- или четырехгранные призмы с одним или четырьмя
рабочими углами. С помощью плиток устанавливают наибольший просвет между
сторонами измеряемого конуса и угловой меры (или отсутствие просвета) и
сравнивают на глаз с набором просветов, размеры которых известны (при просвете
5-10 мкм) или же оценивают с помощью щупов (при просвете свыше 30 мкм).
Углы у конических валов и втулок измеряют угломерами. Для повышения
точности отсчета угломеры снабжены нониусами или оптическими приспособлениями.
Для проверки угла конусности вала применяют конусные калибры-втулки, а для проверки
угла конусных втулок - конусные калибры - пробки.
Вдоль образующей конуса вала проводят карандашом прямую линию и осторожно
вводят вал внутрь конусного калибра-втулки. Приложив некоторое осевое усилие
для плотного прилегания конических поверхностей вала и втулки, поворачивают их
относительно друг друга на небольшой угол. Если образующая конуса вала
прямолинейна и угол конуса выполнен правильно, то графит карандаша равномерно
распределится по всей длине конуса; в противном случае образуются только отдельные
пятна. При проверке внутреннего конуса карандашную линию проводят на
калибре-пробке.
Универсальный угломер. Универсальным инструментом для измерения конусов
является угломер системы Семенова (рис. 15). Он состоит из основания 4, на
котором нанесена основная градусная шкала, и сектора 6 с нанесенным на нем
нониусом 7. Сектор можно вращать по основанию. С помощью державки 9 на секторе
можно закрепить угольник 2, на котором при помощи державки 3 закрепляется
съемная линейка 1. Линейка 8 жестко связана с основанием 4. Винт 5 служит для
скрепления сектора 6 с основанием. Показания угломера отсчитываются по основной
шкале и нониусу. Наименьший отсчет по нониусе равен 2'.
Рис.
14. Универсальный угломер системы Семенова
Рис. 15. Пределы измерения углов угломером системы Семенова:
а
- от 0
до 50
, б - от
50
до 140
, в - от
140
до 230
, г - от
230
до 320
Угловые шаблоны. Если требуется обработать конус по образцу, то для
сравнения конусности можно пользоваться установочным угловым шаблоном
(малкой). Такой шаблон может состоять из двух линеек (рис. 16, а) или угольника
1 и линейки 3 (рис. 16, б), снабженных прорезями для соединительного винта 2.
Отсоединив гайку винта, можно угольник и линейку поставить под необходимым
углом друг к другу (рис. 16, б).
Когда малка установлена на определенный угол и винт затянут гайкой, ее
накладывают на измеряемую деталь и просматривают на свет, наблюдая, совпадают
ли грани угольника и линейки с конической поверхностью. Если при наложении
малки на деталь между гранями угольника и линейки и конической поверхностью
заметны просветы, это значит, что коническая поверхность изготовлена
неправильно.
Рис. 16. Угловые шаблоны (малки)
Калибры для проверки конических поверхностей. Для более точной проверки
при большом выпуске деталей применяют специальные калибры: для наружных конусов
калибр-втулку (рис. 17, а) и для конических отверстий калибр-пробку
(рис. 18, а).
Рис. 17. Калибр-втулка (а) для проверки наружных конусов и ее применение
(б)
Рис. 18. Калибр-пробка (а) для проверки конических отверстий и ее
применение (б)
Порядок проверки наружного конуса следующий: конус и втулка должны быть
тщательно очищены от грязи и стружки. На проверяемой поверхности детали
проводят мелом или карандашом две-три линии вдоль образующей конуса. Затем на
конус надевают калибр-втулку (рис. 17, б) и слегка поворачивают ее с небольшим
нажимом, в результате которого на сопряженных участках конуса эти линии
сотрутся. Сняв втулку, смотрят, как стерлись эти линии. Если линии сотрутся
неравномерно, это значит, что конус детали обработан неточно и необходимо его
исправить. Стирание линий у меньшего диаметра конуса покажет, что угол конуса
мал, и, наоборот, стирание линий у большого диаметра покажет, что угол конуса
велик.
Диаметры наружного конуса проверяют тем же калибром-втулкой. Если конус
обработан правильно, то при надевании на него втулки торец конуса должен
совпадать с риской, имеющейся на срезанной части втулки (рис. 17, б). Если
торец конуса не дойдет до риски, необходима дальнейшая его обработка; если,
наоборот, торец конуса окажется левее риски, то деталь является браком.
Проверяют конические отверстия аналогичным способом. Для проверки
конического отверстия калибр-пробку, имеющую две риски (рис. 18, а), вводят с
легким нажимом в отверстие и замечают, не качается ли калибр в отверстии (рис.
18, б).
Отсутствие качания показывает, что угол конуса правилен. Убедившись в
этом, приступают к проверке диаметров конического отверстия. Для этого
наблюдают, до какого места калибр войдет в проверяемое отверстие. Если конец
отверстия совпадет с одной из рисок или же находится между рисками калибра, то
размеры конуса правильны. Однако может случиться, что калибр войдет в отверстие
настолько глубоко, что обе риски войдут в отверстие. Это показывает, что
диаметр отверстия больше заданного. Если обе риски окажутся вне отверстия, то
диаметр отверстия меньше требуемого.
конус поверхность угол допуск
Литература
1. Зайцев
С.А., Куранов А.Д., Толстов А.Н. Допуски, посадки и технические измерения в
машиностроении: начальное профессиональное образование, учебник. - М.:
Академия, 2007. - С. 190 -200.
. ГОСТ
25307 - 82. Основные нормы взаимозаменяемости: система допусков и посадок для
конических соединений. - 2004.
. ГОСТ
25346 - 89. Основные нормы взаимозаменяемости: единая система допусков и
посадок. Общие положения, ряды допусков и основных оклонений. - 2004.
. ГОСТ
8908 - 81. Основные нормы взаимозаменяемости: нормальные углы и допуски углов.
- 2002.
. ГОСТ
8593 - 81. Основные нормы взаимозаменяемости: нормальные конусности и углы
конусов. - 1981.
6. Измерение конических
поверхностей. - М.: 2010. [Электронный ресурс]. URL: http://machinetools.aggress.ru/index.php/tokarnyj-stanok/obrabotka-konicheskih-poverhnostej/79-izmerenie-konicheskih-poverhnostej (дата обращения: 20.11.2011).