Расчёт аксиального и дезаксиального КШМ

  • Вид работы:
    Практическое задание
  • Предмет:
    Транспорт, грузоперевозки
  • Язык:
    Русский
    ,
    Формат файла:
    MS Word
    166,48 kb
  • Опубликовано:
    2011-12-20
Вы можете узнать стоимость помощи в написании студенческой работы.
Помощь в написании работы, которую точно примут!

Расчёт аксиального и дезаксиального КШМ

Министерство образования и науки РФ

Волгоградский государственный технический университет

Кафедра "Автотракторные двигатели"








Лабораторная работа №1

по Динамике двигателей

"Расчёт аксиального и дезаксиального КШМ"


Выполнил: студент группы Д-503

Поляков А.Н.

Проверил: Курапин А.В.






Волгоград 2011г.

Задание:

Рассчитать значения перемещения, скорости и ускорения поршня аксиального и дезаксиального КШМ, используя приближенные выражения для их определения. Расчет провести через каждые 30 градусов поворота коленчатого вала. По результатам расчетов построить графики. Сравнить полученные результаты. Для аксиального КШМ определить:

1.   Максимальную скорость поршня и соответствующий ей угол поворота коленчатого вала.

2.      Среднюю скорость поршня.

.        Максимальные значения положительного и отрицательного ускорений поршня и соответствующие им углы поворота коленчатого вала.

поршень аксиальный вал коленчатый

r

35

λ

0,3

φ

3,141593

n

6000

k

0,04

ω

628


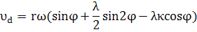
Уравнения аксиального КШМ:

 

 

 

Аксиальный

grd

0

30

60

90

120

150

180

210

240

S

0

6

21,4

40,25

56,4

66,6

70

66,6

56,4

V

0

13,8

21,9

21,9

16,2

8,1

0

-8,1

-16,9

j

17944

14024

4831

-4141

-8972

-9883

-9883

-8972




270

300

330

360

40,2

21,4

6

0

-21,9

-21,9

-13,84

0

-4141

4831

14024

17944


Уравнения дезаксиального КШМ:


Дезаксиальный

grd

 0

30

60

90

120

150

180

210

240

S

0

5,8

21,1

39,83

56

66,4

70,002

66,8

56,8

V

-0,2

13,6

21,76

21,9

16,3

8,3

0

-7,9

-16

j

17944

14107

4974

-3975

-8828

-9800

-9662

-9966

-9115


270

300

330

360

40,7

21,8

6,2

-21,9

-22

-14

-0,2

-4306

4687

13941

17944




Определяем максимальное значение :

 

 

 

 

 

 =1+4*2

 

 

 

 

 

 

Определяем максимальное значение :

 

 

 

 

 

 

 

 

 

 =35*(628^2)*(COS(180)+0,3*(COS(2*180)))= -9662

Расчёт хода поршня для дезаксиального КШМ:

 = 0,00923

= -0,01714

ВМТ при =0,53

НМТ при 180+=179

=180-+=178,5

=180+-=181,5

Вывод:

были построены сравнительные графические зависимости аксиального и дезаксиального КШМ для хода поршня, скорости поршня и ускорения поршня в зависимости от угла поворота коленвала. Ход поршня между двумя типами КШМ различаются на 1-2% между 180 и 240 градусами. Заметно отличается скорость поршня в районе 240 градусов, у дезаксиально скорость меньше на 5%. Ускорения отличаются на 1-2% в диапазоне между 180 и 240 градусами.

прямой ход поршня дезаксиального КШМ меньше прямого хода аксиального на 1,5 градуса, а обратный ход дизаксиального КШМ на 1,5 больше, чем аксиальнго.

были определены максимальные значения скорости и ускорения для аксиального КШМ, они равны соответственно 22,9м/с и -9662м/с2

Похожие работы на - Расчёт аксиального и дезаксиального КШМ

 

Не нашли материал для своей работы?
Поможем написать уникальную работу
Без плагиата!
Без нейросетей!