Зеленогорская площадь
Введение
В настоящее время проблема расчета
технологических показателей разработки стоит очень остро, что связано с
падением уровня добычи нефти вследствие ухудшения структуры извлекаемых
запасов. Суммарная доля трудноизвлекаемых запасов в глинистых высоко- и
малопродуктивных коллекторах на ряде площадей и месторождений, разрабатываемых
АО «Татнефть», существенно возросла.
Для точного прогнозирования объемов
добычи нефти из разрабатываемых горизонтов кроме ужесточения требований к
применяемому оборудованию и качеству закачиваемой воды, а также проведения
мероприятий по увеличению продуктивности скважин невозможно обойтись и без
применения научно обоснованной и испытанной методики проведения прогнозных
расчетов показателей разработки. Также необходимо учитывать особенности
взаимного размещения нагнетательных и добывающих скважин и режимы их работы,
разрабатывать новые требования к системе сбора и подготовки нефти и газа и
технологии, позволяющие эффективно эксплуатировать скважины малодебитного
фонда. Такой комплексный подход к решению проблемы прогнозирования разработки
тем более необходим в связи с тем, что для эффективной работы предприятий
нефтегазодобывающей промышленности необходимо правильное и своевременное
реагирование на изменение технологических показателей.
Необходимо иметь правильное
представление о выработке запасов и процессах, протекающих в продуктивном
коллекторе, для более эффективной работы скважин и месторождения в целом.
В курсовом проекте технологические
показатели разработки рассчитываются по методике разработанной институтом
ТатНИПИнефть на примере Зеленогорской площади Ромашкинского месторождения.
1. Общие сведения о
площади
Зеленогорская площадь является одной
из центральной площадей Ромашкинского нефтяного месторождения и граничит с восточной
стороны с Холмовской, с юга-востока - Восточно-Лениногорской, с юга-запада -
Южно-Ромашкинской, с западной - Павловской и с севера - Восточно-Сулеевской
площадями (рис. 2.1) площадь протягивается с севера на юг на 18 км, с запада на
восток - на 19 км.
В административном отношении
Зеленогорская площадь расположена на территории Альметьевского, Азнакаевского и
Бугульминского районов Татарской АССР с ближайшими населенными пунктами р.п.
Актюба, Микулино, Карабаш.
По территории Зеленогорской площади
протекает р. Зай с притоками, а также проходит сеть автодорог
Азнакаево-Альметьевск, Бугульма - Актюба.
В географическом отношении
территория площади представляет собой пересеченную местность с многочисленными
оврагами и балками, местами покрытыми лесами. Абсолютные отметки поверхности
колеблются в пределах от 189 до 280 м.
Преобладающее направление ветров
юго-западное. Климат континентальный с колебанием температуры от +32 до -40ºС.
2. Геолого-физическая
характеристика площади
2.1 Характеристика
геологического строения
Зеленогорская площадь является одной
из центральных площадей Ромашкинского месторождения. Основной эксплуатационный
объект представлен продуктивными отложениями пашийского (Д1)
горизонта, залегающего на глубине 1700-1760 м. Залежь нефти многопластовая,
сводовая, углы падения пластов не превышает 2º.
Корреляция разрезов по вновь пробуренным скважинам не представляет
особых затруднений.
Продуктивные отложения представлены
терригенными породами, которые по фильтрационно-емкостным свойствам подразделяются
на песчинки и алевролиты.
В эксплуатационном объекте выделены
семь пластов, которые индексируются сверху вниз «а1», «б2+2»,
«б3», «в», «г1», «г2+3» и «д».
Особенности геологического строения
пластов отображают карты распространения коллекторов, которые в дальнейшем
послужили основой для построения карт разработки и расстановки проектных
скважин.
При определении насыщенности
коллекторов использована методика Н.Н. Сахранова. Абсолютная отметка ВНК
меняется от +1485,0 м до +1494,9 м и в среднем составляет +1489,2 м.
В пределах месторождения отложения
девонской системы трансгрессивно залегают на кристаллическом фундаменте и
представлены терригенными отложениями ее среднего отдела и
терригенно-карбонатными верхнего отдела, которые по литологическому составу
могут быть подразделены на нижнюю терригенную и верхнюю карбонатную пачки.
Средний девон (D2). В составе среднего девона выделяются отложения эйфелевского (D21) и живетского (D22) ярусов. Относимые к
эйфелевскому ярусу отложения бийского горизонта (D2bs) являются наиболее
древними палеонтологически охарактеризованными образованиями девона
Ромашкинского месторождения, распространенными в основном на территории его
южных и центральных площадей. Литологически в его составе выделяются две пачки
пород: нижняя - базальная гравийно песчаная (пласт Дv) и перекрывающая ее -
карбонатно-аргиллитовая.
Пласт Дv сложен светло-серыми и
желтовато-светло-серыми разнозернистыми (в основном средне- и крупнозернистыми)
кварцевыми песчаниками со значительной примесью гравийного и мелкогалечного
материала. Реже встречаются прослои мелкозернистых песчаников, алевролитов и
аргиллитов с плохой сортировкой обломочного материала. Песчаники и алевролиты
слабо сцементированы. Толщина песчаного пласта изменяется от 2-х до 6-ти метров.
В кровле и подошве пласта могут наблюдаться выдержанные прослои оолитовых и
шамозито-сидеритовых руд. Для верхней пачки характерно присутствие
кристаллических серых известняков, выделяемых как четкий электрорепер «нижний
известняк», с наличием глинистых алевролитов и аргиллитов. Общая толщина
бийского горизонта, достигает 30-36 метров. В живетском ярусе (D22) выделяется
старооскольский горизонт (D2st) объединяющий в своем составе воробьевские - D2vb (пласт DIV), ардатовские - D2ar (пласт ДІІІ)
муллинские - D2ML (пласт ДII) слои.
Пласт DIV представлен светло-серыми или темно-коричневыми нефтенасыщенными
песчаниками крупнозернистыми, плохо отсортированными. Редки прослои
мелкозернистых глинисто-алевролитовых пород, с остатками фауны. Отложения
горизонта с размывом залегают на породах эйфелевского яруса и кристаллического
фундамента (в северной части месторождения) с уменьшением их толщины,
достигающей 30 метров, с юга на север. Верхняя граница проводится по кровле
аргиллитовой пачки над пластом DIV.
Пласт DІІІ выделен в пределах нижней пачки ардатовских слоев и слагается
глинистыми алевролитами. Толщина пласта может достигать 10-12 метров. В
пределах верхней карбонатно-аргиллитовой пачки выделяется хорошо выдержанный по
площади месторождения электрорепер «средний известняк», который представлен
буровато-серыми, темно-серыми органогенными известняками или
перекристаллизованными доломитами. По кровле залегающих выше глинистых
темно-серых пород проводится верхняя граница ардатовских слоев, общая толщина
которых на юго-западе месторождения может достигать 35-40 м.
Пласт DІІ выделяется в пределах нижней алеврито-песчаной пачки в составе
муллинских слоев, которые развиты на всей территории месторождения. Он сложен
темно-серыми песчаными алевролитами и мелкозернистыми серыми песчаниками.
Толщина пласта увеличивается к югу месторождения до 10-20 м. Для верхней пачки
характерно присутствие зеленовато-серых и черных тонкослоистых аргиллитов и
коричневато-серых глинистых алевролитов с органическими остатками. Толщина слоев
достигает 30 м.
Верхний девон (D3). В разрезе верхнего девона выделяются франский (D21) и фаменский (D32) ярусы,
подразделяющиеся на нижний, средний и верхний подъярусы.
К нижнефранскому подъярусу
приурочены отложения пашийского и кыновского горизонтов. Пашийский (D3 Р) горизонт (в промысловой практике индексируется как Д1)
сложен в основном мелкозернистыми песчинками и крупнозернистыми алевролитами, с
переслаиванием аргиллитами и глинистыми алевролитами. Песчаники кварцевые,
алевритистые, светло-серые, или буровато-серые до темно-коричневых в
зависимости от интенсивности нефтенасыщения. Алевролиты серые, песчаные,
слоистые, что связано с сортировкой обломочного материала по величине зерен.
Для коллекторов песчано-алевритовых пород характерна кварцевая цементация и
достаточно однородный гранулометрический состав (средний диаметр зерен
мелкозернистых песчаников составляет 0,11-0,15 мм, а крупнозернистых
алевролитов 0,1 мм). Толщина горизонта достигает 50 м. Залегающий выше по
размеру отложения кыновского (D3 kn) горизонта выделяется в интервале, ограниченном
регионально-выдержанными реперами.
В подошве это репер «верхний
известняк» представленный пачкой карбонатных пород, сложенных темно-серыми,
неравномерно глинистыми мелкозернистыми известняками и доломитами. Выше
залегают темно- и зеленовато-серые и шоколадно-коричневые артиллиты. В основном
в разрезах скважин северных площадей в средней части горизонта прослеживаются
песчано-алевритовые отложения пласта D0, которые представлены
серыми алевритистыми песчаниками и серыми, зеленовато-серыми алевролитами, выше
которых залегают аргиллиты зеленовато-серые. Кровля горизонта проводится по
подошве репера «аяксы», сложенного известняками. Толщина составляет 20-30
метров.
В разрезе средне-франского подъяруса
(D31 2) выделяются отложения
саргаевского, семилукского и мендымского горизонтов.
Отложения саргаевского горизонта (D2sr) залегают с размывом на
нижележащих кыновских образованиях и представлены известняками темно-серыми,
мелко- и тонкозернистыми, в различной степени перекристаллизованными. В верхней
части встречаются прослои брекчиевидного известняка. Толщина горизонта
увеличивается от свода к западной части месторождения и может достигать 50 м.
Для отложений семилукского горизонта
(D2sm) характерно наличие
темно-серых, битуминозных, органогенно-обломочных, брекчиевидных, окремнелых,
участками сильно трещиноватых известняков, с прослоями мергелей и горючих
сланцев. Толщина горизонта может изменяться от 33 до 50 метров. Отложения
мендымского (D2mnd) горизонта залегают с размывом на отложениях семилукского
горизонта и представлены микро-и разнозернистыми серыми и темно-серыми,
перекристаллизованными, прослоями органогенными известняками. Толщина
горизонтами может изменяться от 35 до 50 м.
В пределах верхнефранского подъяруса
(D313) выделяются
воронежский (D3vr), евлановский (D3ev) и ливенский (D3Iv) горизонты.
Характерным для этих горизонтов
является сложение их известняками серыми, темно-серыми, в различной степени
глинистыми, участками перекристаллизованными, доломитизированными и
кальцитизированными. Для воронежских образований характерно наличие трещиновых
и брекчиевидных прослоев, а для евланово-ливенских органогенных разностей,
представленных водорослевыми и фораминиферовыми известняками. Общая толщина
образований подъяруса может достигать 200-250 метров.
Выделенный в составе фаменского
яруса (D32) нижнефаминский подъярус (D321) представлен задонским
(D3zd) и елецким (D3el) горизонтами, отложения
которых залегают на размытой поверхности верхнефранского подъяруса. Они сложены
светлосерыми известняками микрозернистыми, стилолитизированными,
доломитизированными, участками пористыми и кавернозными и доломитами
светло-серыми, мелко- и среднезернистыми, иногда с включениями гипса и
ангидрита. Толщина подъяруса достигает 150 метров.
Для отложений данково-лебедянского (D3d+lb) горизонта
среднефаменского подъяруса (D322) характерно переслаивание светло-серых микрозернистых и
реликтово-органогенных, часто сильно перекристаллизованных известняков с
редкими тонкими брекчиевидными прослоями доломитов и доломитизированных
известняков. Встречаются также прослои пористых, мелкокавернозных, трещиноватых
и битуминозных известняков с присутствием сутуро-стилолитовых швов и
горизонтальных трещин. Доломиты буровато-серые, мелко- и разнозернистые,
известковистые. Толщина горизонта составляет около 50 метров.
В верхнефаменском подъярусе (D323) выделяется заволжский
горизонт (D3zv), который сложен известняками серыми и светло-серыми, в основном
тонкозернистыми, неравномерно доломитизированными, с неровными поверхностями на
пластовании, со стилолитовыми швами, участками отмечается неравномерное
нефтенасыщение. Толщина горизонта 50-80 метров.
2.2 Основные параметры
пласта
2.2.1 Пористость,
проницаемость, начальная нефтенасыщенность
Для определения коллекторских
свойств продуктивных пластов и дальнейшего использования их в технологических
расчетах использованы результаты исследования скважин геофизическими методами.
Из табл. 3.1 видно, что определение фильтрационного изучения керна проведено по
данным 5% скважин от пробуренного фонда. Объем информации, полученной по
результатам геофизических исследований скважин, существенно больше. В связи с
этим полученные средние величины основных параметров отличаются по абсолютным
значениям.
С учетом имеющейся информации по
методам исследований основные характеристики параметров объекта разработки
приняты для проектирования по данным геофизических исследований.
Характеристика параметров пласта
|
Метод иссле-дования
|
Наимено-вание
|
Проница-емость, мкм2
|
Пористость, %
|
Начальная
|
Насыщение связанной водой, %
|
|
|
|
|
Нефте-насы-щен-ность
|
Газо-насы-щен-ность
|
|
|
1
|
2
|
3
|
4
|
5
|
6
|
7
|
|
Лабораторное исследование
|
Кол-во скважин
|
8
|
9
|
3
|
|
3
|
|
Кол-во определений
|
92
|
174
|
56
|
|
56
|
|
Среднее значение
|
0,462
|
21,1
|
84,4
|
|
156
|
|
Коэф-т вариации
|
0,65
|
0,12
|
0,06
|
|
0,37
|
|
Интервал изменения
|
0,02-1,53
|
12,5-25,2
|
73,1-94,9
|
|
5,1-26,9
|
|
Геофизические исследования
|
Кол-во скважин
|
724
|
660
|
642
|
|
642
|
|
Кол-во определений
|
2197
|
1836
|
1740
|
|
1740
|
Средние значения параметров
рассчитаны как среднеарифметические по количеству определений. Начальная
нефтенасыщеность оценивалась через содержание связанной воды.
Как показывает анализ результатов
исследований, средние значения пористости и нефтенасыщенность имеют довольно
хорошую сходимость. Однако, учитывая большую представительность геофизических
данных, при подсчете запасов и проектировании были приняты параметры,
определенные по промыслово-геофизическим материалам.
Проницаемость, определенная разными
методами отличается значительно. Но с учетом большей достоверности гидродинамических
методов, при проектировании принято значение проницаемости, определенное этим
методом. Наиболее высокими значениями пористости и нефтенасыщенности по всем
пластам характеризуются неглинистые песчаные коллекторы. В целом по горизонту
средние значения пористости (в д. ед.) по группам коллекторов составляют 0,209
по высокопродуктивной неглинистой группе, 0,190 по высокопродуктивной глинистой
группе и 0,153 по малопродуктивной. Среднее значение проницаемости по горизонту
0,326 мкм2. По нефтенасыщенности пород коллекторов - 0,842, самые
низкие значения нефтенасыщенности по группе малопродуктивных коллекторов -
0,640. Высокопродуктивные глинистые коллекторы занимают промежуточное
положение, значение нефтенасыщенности по ним составляет 0,743 в целом по горизонту
среднее значение нефтенасыщенности составляет 0,799.
2.2.2
Толщина пластов
Средневзвешенная толщина горизонта Д1
составляет 37,0 м и изменяется от 7,2 до 56,0 м (табл. 3.2). Абсолютная
величина толщины нефтенасыщенного коллектора составляет 9,4 м при диапазоне
изменения от 1,0 до 30,8 м, т.е. на долю нефтеносных коллекторов приходится
25,4% от общей толщины горизонта. По скважинам нефтенасыщенные и эффективные
толщины меняются существенно.
Характеристика толщин пластов
Зеленогорской площади (Д)
|
Толщина пласта, м
|
Наименование
|
Зона пласта
|
|
|
нефтяная
|
водонефтяная
|
газо-нефтяная
|
по пласту в целом
|
|
1
|
2
|
3
|
4
|
5
|
6
|
|
Общая
|
Средневзвешенное значение толщины, м
|
6,53
|
11,78
|
-
|
36,98
|
|
Коэф-т вариации
|
149,65
|
47,87
|
-
|
13,32
|
|
Интервал изменения, м
|
4,80-113,80
|
1,00-34,80
|
-
|
7,20-56,00
|
|
Нефтена-сыщенная
|
Средневзвешенное значение толщины, м
|
8,81
|
6,12
|
-
|
9,44
|
|
Коэф-т вариации
|
54,58
|
45,38
|
-
|
54,61
|
|
Интервал изменения, м
|
1,00-26,00
|
1,00-8,80
|
-
|
1,00-30,80
|
|
Эффек-тивная
|
Средневзвешенное значение толщины, м
|
8,81
|
9,09
|
-
|
16,44
|
|
Коэф-т вариации
|
54,58
|
45,19
|
-
|
38,46
|
|
Интервал изменения, м
|
1,00-26,00
|
0,40-23,40
|
-
|
1,80-36,80
|
|
|
|
|
|
|
|
|
2.2.3 Показатели
неоднородности пластов
Горизонт Д1 является
многопластовым объектом разработки. В скважинах встречаются самые разнообразные
типы разрезов от одного до десяти пластов-коллекторов. Рассчитанные в целом для
горизонта статистические показатели характеризуют его макронеоднородность и
показывают, что в среднем каждой скважиной вскрывают 5,6 пластов, доля песчаных
коллекторов составляет 52% (табл. 3.3).
Статистические показатели
характеристик неоднородности горизонта в целом по площади
|
Количество скважин
|
Коэффициент песчаности
|
Коэффициент расчлененности
|
Характе-ристика прерывис-тости
|
Другие показа-тели неодно-родности
|
|
среднее значение
|
коэф-т вариации
|
среднее значение
|
коэф-т вариации
|
|
|
|
478
|
0,52
|
22,20
|
5,55
|
38,12
|
0,98
|
-
|
2.3 Физико-химические
свойства флюидов
2.3.1 Физико-химические
свойства пластовой нефти и газа
Физико-химические свойства нефти и
газов исследовались в секторе пластовых нефти и газов ТатНИПИнефть и ЦНИЛ
объединения Татнефть.
Отбор и анализ проб проводились с
помощью известной аппаратуры по общепринятой методике и в соответствии с
государственными стандартами. К настоящему отсчету сделано качественных
определений параметров пластовой нефти по 26 скважинам.
Имеющиеся данные в табл. 3.4,
свидетельствуют, что значения параметров пластовой нефти, поверхностной нефти и
газа изменяются. Так давление насыщения изменяется от 8,30 до 9,60 МПа,
среднеарифметическое значение по площади равно 8,98 МПа, газосодержание от 53,1
до 67,8 м3/т, среднее 62,9 м3/т, объемный коэффициент от
1,1120 до 1,1180, среднее 1,1611, плотность пластовой нефти от 0,7950 до 0,8270
г./см3, среднее 0,8096 г./см3, плотность же
дегазированной нефти в среднем составляет 0,8625 г./см3, вязкость
пластовой нефти от 2,21 до 4,81 мПа·с, среднее 3,53 мПа·с, вязкость же нефти в
поверхностных условиях в среднем составляет 20,25 сП (14,6-25,9 сП). Содержание
серы в среднем - 1,6%, асфальтенов - 2,8% весовых.
Нефть в поверхностных условиях по
величине вязкости может быть отнесена к группе средних нефтей, выход светлых
фракций составил 7,3% объемных при разгонке до 100ºС, 26,3% - до 200ºС, 47% - до 300ºС. Состав газа по
площади изменяется незначительно. Плотность газа в пластовых условиях в среднем
равна - 1,2690 г./л, при поверхностных же условиях в среднем равна - 1,2960
г./л.
В газе содержится метана - 39,76%,
этана - 23,4%, пропано-бутановых фракций - 16,85%, азота - 8,71; объемных.
Таким образом, нефти Зеленогорской площади можно отнести к типу парафинистых,
сернистых и смолистых.
Свойства пластовой нефти и газа
|
№ п/п
|
Наименование
|
Кол-во исследов. скважин
|
Диапазон изменения
|
Среднее значение
|
|
1
|
2
|
3
|
4
|
5
|
|
1
|
Месторождение, площадь
|
Зеленогорская площадь
|
|
2
|
Горизонт
|
Д1
|
|
3
|
Давление насыщения газом Рн, МПа
|
16
|
8,30-9,60
|
8,98
|
|
4
|
Газосодержание R,
нм3/т контакт дифференц.
|
20
|
53,1-67,8 40,4-54,6
|
62,9 49,7
|
|
5
|
Газовый фактор при условиях сепарации, нм3/т Р1=5
кгс/см2; Т1=9ºС
Р2=1 кгс/см2; Т2=9ºС
|
|
32,9-44,2 7,5-10,4
|
40,4 9,3
|
|
6
|
Объемный коэф-т, Вн
|
26
|
1,112-1,188
|
1,1611
|
|
7
|
Плотность ρн,
г/см3
|
23
|
0,7950-0,82707
|
0,8096
|
|
8
|
Объемный коэф-т при условиях сепарции, Вн
|
|
|
|
|
9
|
Вязкость μн,
мПа·с
|
19
|
2,21-4,81
|
3,53
|
|
|
|
|
|
|
Усредненные результаты замеров
плотности и вязкости нефти и эмульсий Зеленогорской площади от обводненности и
температуры приведены в табл. 3.5.
Зависимость плотности и вязкости
нефти об обводненности и температуры
|
№ п/п
|
Обводненность
|
Плотность, г/см3
|
Вязкость, мПа·с при температуре ºС
|
|
|
|
0º
|
5º
|
10º
|
20º
|
|
1
|
0
|
0,8550
|
21,52
|
19,87
|
17,0
|
11,3
|
|
2
|
10
|
0,8930
|
54,7
|
61,2
|
55,0
|
23,4
|
|
3
|
20
|
0,9130
|
153,1
|
138,5
|
50,9
|
32,0
|
|
4
|
30
|
0,9220
|
156,8
|
70,7
|
58,5
|
37,5
|
|
5
|
40
|
0,9380
|
210,9
|
174,1
|
154,8
|
67,1
|
|
6
|
50
|
0,9740
|
846,1
|
501,8
|
370,0
|
259,2
|
2.3.2 Физико-химические
свойства пластовой воды
Подземные воды пашийских отложений
Зеленогорской площади Ромашкинского месторождения представлены хлоркальциевыми
(по В.А. Суслину) рассолами, общая минерализация которых колеблется от 249,6 до
281,5 г/л. Характерным для пластовых вод терригенного девона является
незначительное содержание сульфат-иона. На Зеленогорской площади в пластовых
водах пашийских отложений содержание сульфат-ионов колеблется от следов до 55,6
мг/л. В естественных условиях в пластовых водах пашийских отложений сероводород
отсутствует. Однако закачка пресных речных вод, содержащих сульфаты и
сельфатредуцирующие бактерии, в нефтяные пласты с целью ППД приводит к
образованию сероводорода до 50-60 мг/л и увеличивает скорость коррозии металла
в воде.
По составу растворенного газа в
пластовых водах преобладает - метан. Газонасыщенность вод колеблется от 300-700
см3/л, упругость растворенного газа 60-130 ат. Общее количество
углеводородных газов 60-75%, из них этана и высших от 4 до 38%,
углеводородно-азотный коэффициент от 1,4 до 3.
Плотность пластовых вод составляет в
среднем 1,1839 г./см3, вязкость пластовых вод составляет в среднем
1,9845 сП.
Температура пластовой воды составила
35,5ºС.
3. Анализ текущего
состояния разработки
3.1 Анализ выработки
пластов
В 2007 году из продуктивных пластов
горизонтов Д0 и Д1 отобрано 1,212 млн. тонн нефти. В 2008
году из этих же горизонтов отобрано 1,117 млн. тонн нефти, что на 0,095 млн.
тонн меньше, чем в 2003 году, а в 2009 году - 1,003 млн. тонн нефти, что на
0,114 млн. тонн меньше, чем в 2004 году.
В 2007 году темп выработки от
начальных извлекаемых запасов составил 1,13% и 3,99% остаточных извлекаемых
запасов. В 2008 году он составил 1,04% от НИЗ и 3,82% от остаточных извлекаемых
запасов, а в 2009 году - 0,94% от НИЗ и 3,57% от остаточных.
С начала разработки в 2007 году
добыто 77,717 млн. тонн нефти, в 2008 году - 78,834 млн. тонн нефти, а в 2009
году - 79, 837 млн. тонн нефти, что составляет, соответственно, 78,67%, 73,72%,
74,66% от НИЗ.
По состоянию на 01.01.2007 г. добыто
93,7% запасов песчаных коллекторов, 50% - от запасов глинистых песчаных
коллекторов, 35,6% - от запасов алевролитов, 94% - от запасов контактной
водонефтяной зоны.
По состоянию на 01.01.2008 г. добыто
94% от запасов песчаных коллекторов, 51% - от запасов глинистых песчаных
коллекторов, 36% - от запасов алевролитов, 94% - от запасов контактной
водонефтяной зоны.
По состоянию на 01.01.2009 г. добыто
94,3% от запасов песчаных коллекторов, 51,9% - от запасов глинистых песчаных
коллекторов, 36,4% - от запасов алевролитов, 94,1% - от запасов контактной
водонефтяной зоны.
3.2 Характеристика
показателей разработки
Нефтяные залежи терригенных
отложений девона Зеленогорской площади Ромашкинского месторождения
разрабатываются с 1957 года.
С начала разработки с терригенных
отложений девона отобрано 79,837 млн. тонн нефти, что составляет 74,66% от НИЗ.
В целом по Д0 и Д1 динамика
основных показателей разработки за 2007, 2008, 2009 года представлена в табл.
4.1.
Характеристика показателей
разработки пластов Д0 и Д1 Зеленогорской площади
|
Год
|
Добыча нефти, тыс. т
|
Годовая добыча жидкости, тыс. т
|
Обвод, %
|
Закачка рабочих агентов, тыс. м3
|
|
|
|
|
годовая
|
накопленная
|
|
2007
|
1212
|
5716
|
78,8
|
5929
|
191890
|
|
2008
|
1117
|
5687
|
80,4
|
6234
|
198124
|
|
2009
|
1003
|
5519
|
81,8
|
5885
|
204009
|
Средние пластовые и забойные
давления Зеленогорской площади
|
Годы
|
Средние пластовые и забойные давления, Мпа
|
|
II
|
III
|
IV
|
по площади
|
|
Рзаб
|
Рпл
|
Рзаб
|
Рпл
|
Рзаб
|
Рпл
|
Рзаб
|
Рпл
|
|
1
|
2
|
3
|
4
|
5
|
6
|
7
|
9
|
|
2004
|
8,07
|
14,04
|
8,09
|
14,02
|
7,98
|
13,79
|
8,04
|
13,86
|
|
2005
|
8,47
|
15,29
|
9,03
|
15,24
|
8,09
|
13,70
|
8,40
|
14,47
|
|
2006
|
9,54
|
15,19
|
10,12
|
15,68
|
9,82
|
14,84
|
9,80
|
15,10
|
|
2007
|
9,78
|
14,64
|
9,12
|
14,44
|
10,31
|
14,69
|
9,87
|
14,60
|
|
2008
|
11,22
|
14,52
|
9,82
|
14,86
|
10,08
|
14,76
|
10,32
|
14,64
|
|
2009
|
10,54
|
14,62
|
9,98
|
14,99
|
9,81
|
14,88
|
10,05
|
14,65
|
|
Среднее
|
9,46
|
14,72
|
9,36
|
14,87
|
9,36
|
14,44
|
9,41
|
14,55
|
3.3 Характеристика фонда
скважин и текущих дебитов
нефтяной месторождение геологический
скважина
Характеристика фонда скважин на
01.01.2009 г. по площадям, разрабатываемым НГДУ «Азнакаевскнефть» приведена в
табл. 4.3. Добывающий фонд составляет 2796 скважин, 68% из них эксплуатируются
при помощи УШГН. Действующий добывающий фонд механизирован: 829 скважин
оборудованы ЭЦН, 1743-СКН. Среднесуточный дебит нефти одной добывающей скважины
составляет 5,3 т/сут; по скважинам, работающим с ЭЦН - 9,0 т/сут., с СКН - 3,0
т/сут. Средний дебит по жидкости равен соответственно 42,4; 100,7 и 6,7 т/сут.
Все скважины действующего фонда дают обводненную продукцию.
Кроме того, на площадях 1224
скважины ликвидировали, включая 808 ликвидированных после эксплуатации и 275
нагнетательных, а 73 добывающие находятся в ожидании ликвидации (1,79% от всего
пробуренного фонда). Большая группа скважин (51) ликвидирована по
гидрогеологическим причинам, в основном, из-за отсутствия коллектора, кроме
того существует экологические причины ликвидации.
Контроль за состоянием пластового
давления осуществляется 388 контрольными и 361 пьезометрическими скважинами.
Как правило, в эту категорию они переводились при достижении предельной
обводненности (98% и более).
Конструкция скважин выбирается с
учетом геолого-геоморфологической и гидрогеологической характеристики
месторождения, надежной изоляции бассейна пресных вод, перекрытия интервалов
неустойчивых отложений и возможности эффективной разработки залежей нефти. На
Ромашкинском месторождении принята следующая конструкция скважин:
. Колонна (направление) диаметром
426 мм спускается на глубину 50 м для предупреждения размыва устья скважины и
крепления рыхлых песчано-глинистых отложений четвертичного возраста. Высота
подъема цемента за колонной до устья.
. Колонна (промежуточный кондуктор)
диаметром 328,9 мм спускается на глубину 150 м и предназначена для надежной
изоляции бассейна пресных питьевых вод и крепления неустойчивых отложений
уфимского и казанского ярусов. Подъем цементного раствора за колонной до устья.
. Колонна (кондуктор) диаметром
244,5 мм спускается на глубину 350 м и цементируется до устья.
. Эксплуатационная колонна 168,3 мм
или 146,1 мм спускается до забоя скважин и цементируется до устья. В
горизонтальных скважинах эксплуатационная колонна спускается до кровли
продуктивного пласта. Ствол скважины в продуктивной части разреза остается
открытым. На участках месторождений с хорошей геологической изученностью
конструкция с открытым забоем может быть рекомендована и для
наклонно-направленных скважин. Конструкции с открытым забоем позволят повысить
продуктивность скважин за счет более совершенного вскрытия и устранения
возможности загрязнения коллекторов промывочными жидкостями и цементным
раствором.
3.4 Расчет
технологических показателей разработки
Расчет технологических показателей
разработки произведен согласно эмпирической методике, разработанной институтом
ТатНИПИнефть.
Подготовка исходных
геолого-физических данных: определение зональной неоднородности пласта (U ⅔);
где n - общее число замеров
продуктивности (дебита) скважин; Кi - продуктивность (дебит), соответствующая i-му замеру.
Подставляем полученные значения в
первоначальную формулу и определим зональную неоднородность пласта:
Расчет показателей разработки для
условий залежи, характеризующейся геолого-физическими параметрами, приведенными
в табл. 4.4.
. Рассматриваем вариант разработки
при равномерной квадратной сетке скважин с расстоянием между ними 500 м (сетка
скважин 500*500 м). Зная площадь нефтеносности и плотность сетки (25*104м2/скв),
находим общее число нагнетательных и добывающих скважин:
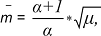
. Определим соотношение добывающих и
нагнетательных скважин, при котором достигается максимум амплитудного дебита:
где α - показатель, учитывающий отличия средних коэффициентов
продуктивности нагнетательных и добывающих скважин (зависит от зональной
неоднородности);
μ - коэффициент,
учитывающий отличия подвижностей вытесняющего агента (воды) и нефти в пластовых
условия;
В результате получим:
Исходя из аналитических расчетов,
доказано, что максимальный темп отбора основной части извлекаемых запасов нефти
достигается при начальном соотношении добывающих и нагнетательных скважин m = 1,2* m, т.е. полученное выше значение
увеличивается в 1,2 раза.
m=1,2*m = 1,2*2,3853=2,8624
. Определяем относительный
коэффициент продуктивности скважин, выбираемых под нагнетание воды, v:
. Определяем функцию относительной
производительности скважин (φ)
. Определим амплитудный дебит
(возможный дебит нефти залежи при одновременном (мгновенном) при разбуривании
всех скважин (n0) и осуществлении
необходимых технических мероприятий всей рассматриваемой нефтяной залежи (q0):
q0=365*ξ0*Кср* n0*∆р*φ=365*0,95*1,44*10-5*712*3,5*106*0,2122=0,2122=2,6404
млн. тонн/год,
где ∆р - принимаемый перепад
давления между забоями нагнетательных и добывающих скважин в рассчитываемом
варианте, Па.
|
α
|
μ
|
m
|
m
|
v
|
φ
|
∆р, Па
|
q0,
млн. т/год
|
|
0,5646
|
0,7409
|
2,3853
|
0,8624
|
1,8999
|
0,2122
|
3,5
|
2,6404
|
Расчет конечной характеристики
использования запасов нефти.
. Подвижные запасы нефти (Qп)
Qп = Qб * К1 * К2,
где Qб - балансовые запасы нефти; К1 - коэффициент сетки,
показывающий долю дренируемого объема нефтяных пластов при данной сетке
скважин:
К1 = 1 - α*S,
где α
- постоянный коэффициент, изменяющийся для различных пластов от 0,2
до 0,5 (примем в данном случае α=0,5);
S - площадь, приходящаяся на одну скважину, км2;
К2 - коэффициент вытеснения,
показывающий долю отбора дренируемых запасов нефти при неограниченно большой
прокачке вытесняемого агента (воды); этот коэффициент определяют по результатам
исследований на моделях пластов. В нашем случае имеем:
Qп = Qб * К1 * К2 = Qб * (1 - α*S)* К2 =
222,041*(1-0,5*0,25)*0,611=118,7087 млн. тонн
. Расчетная послойная неоднородность
пласта, определяемая с помощью коэффициента Up2, находится с учетом послойной неоднородности Up2, наблюдаемой в скважинах, а также с учетом языкообразования
фронта вытесняющего агента вблизи добывающих скважин и неравномерности
продвижения фронта агента с разных сторон к скважинам стягивающего добывающего
ряда:
Представленная доля воды в дебите
жидкости добывающей скважины
где
А2 - предельная массовая
доля воды (предельная обводненность), часто принимаемая в расчетах равной 0,90
(90% обводненности); μ0 - коэффициент, учитывающий
отличия вытесняющего агента и нефти в пластовых условиях по подвижности в μ* раз и по плотности в ρ* раз (ρ* - соотношение плотностей вытесняющего агента (воды) и нефти в
пластовых условиях - см. табл. 4.5).
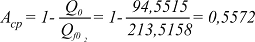
. Коэффициент использования
подвижных запасов нефти (К3) при данной послойной неоднородности
пласта (Up2) и предельной доле
агенту (А)
К3 = Кнз + (Ккз
- Кнз)*А = 0,2275 + (0,877-0,2275) * 0,8761 = 0,7965
где
. Расчетный суммарный отбор жидкости
в долях подвижных запасов нефти F определяется из соотношения:
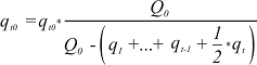
. Начальные извлекаемые запасы
жидкости (QF0) и нефти (Q0) находятся из следующих формул:
QF0 = Qп * F = 118.7087*1.5838=188.0108 млн. тонн
Q0 = Qп * К3 = 118.7087*0,7965=94,5515 млн. тонн
При этом массовые начальные
извлекаемые запасы жидкости (QF02) в поверхностных
условиях будут равными:
QF02 = Q0 + (QF0 - Q0)*μ0 =
94,5515+(188,0108-94,5515)*1,2729=213,5258 млн. тонн
7. Средняя массовая доля воды
(обводненность) в суммарной добычи жидкости
а нефтеизвлечение пластов
Расчет динамики дебитов нефти и воды
Принимается следующая программа
разработки нефтяной залежи.
Нефтяная залежь с общим числом
скважин (в нашем случае n0 = 712) разбуривается и
вводится в разработку равномерным темпом в течение 10 лет по 71 скважин в год
(в последний год 73 скважин).
На первой стадии за счет ввода новых
скважин непрерывно возрастает текущий дебит нефти. Залежь пока разрабатывается
с минимальным амплитудным дебитом.
На следующий (второй) стадии текущий
дебит нефти стабилизируется на достигнутом уровне за счет постепенного
увеличения амплитудного дебита от минимального значения до максимального.
Примем, что за счет методов
интенсификации (увеличения перепада давления, перевода на механизированную
добычу и т.д.) максимальный амплитудный дебит qM0 будет в два раза больше минимального, равного 2,6404 млн. т/год.
Третья стадия разработки происходит
при фиксированных условиях, создавшихся в конце второй стадии.
I. На первой стадии текущий дебет нефти
где t - годы,
nt0 - число действующих
скважин в t-м году;
ntб - число пробуренных
скважин в t - м году;
Σ n (t-1)б - общее число пробуренных скважин до t - го года.
Определим значения n10:
. n tо = 71/2 + 0 = 35,5 скв.
. n tо = 71/2 + 71 = 106,5 скв.
. n tо = 71/2 + 142 = 177,5 скв.
. n tо = 71/2 + 213 = 248,5 скв.
. n tо = 71/2 + 284 = 319,5 скв.
. n tо = 71/2 + 355 = 390,5 скв.
. n tо = 71/2 + 426 = 461,5 скв.
. n tо = 71/2 + 497 = 532,5 скв.
. n tо = 71/2 + 568 = 603,5 скв.
. n tо = 71/2 + 639 = 674,5 скв.
. n tо = 71/2 + 712 = 712 скв.
Определим текущий дебет нефти:
. q t = 0,027541 * (94,5515 * 35,5/712 -
0) = 0,129836 млн. тонн
. q t = 0,027541 * (94,5515 * 106,5/712 -
0,129836) = 0,385933 млн. тонн
. q t = 0,027541 * (94,5515 * 177,5/712 -
0,515769) = 0,634977 млн. тонн
. q t = 0,027541 * (94,5515 * 248,5/712 -
1,150746) = 0,877162 млн. тонн
. q t = 0,027541 * (94,5515 * 319,5/712 -
2,027908) = 1,112677 млн. тонн
. q t = 0,027541 * (94,5515 * 390,5/712 -
3,140585) = 1,341706 млн. тонн
. q t = 0,027541 * (94,5515 * 461,5/712 -
4,482291) = 1,564427 млн. тонн
. q t = 0,027541 * (94,5515 * 532,5/712 -
6,046718) = 1,781013 млн. тонн
. q t = 0,027541 * (94,5515 * 603,5/712 -
7,827731) = 1,991635 млн. тонн
. q t = 0,027541 * (94,5515 * 674,5/712 - 9,819366) = 2,196457 млн. тонн
. q t = 0,027541 * (94,5515 * 712/712 -
12,01582) = 2,273115 млн. тонн
Расчетный текущий дебет жидкости в
пластовых условиях:
. q tF = 0, 013946 *
(188,0108*35,5/712-0) = 0,130732 млн. тонн
. q tF = 0, 013946 *
(188,0108*106,5/712-0,130732) = 0,390372 млн. тонн
. q tF = 0, 013946 *
(188,0108*177,5/712-0,521104) = 0,646391 млн. тонн
. q tF = 0, 013946 *
(188,0108*248,5/712-1,167495) = 0,89884 млн. тонн
. q tF = 0, 013946 *
(188,0108*319,5/712-2,066335) = 1,147768 млн. тонн
. q tF = 0, 013946 *
(188,0108*390,5/712-3,214103) = 1,393225 млн. тонн
. q tF = 0, 013946 *
(188,0108*461,5/712-4,607328) = 1,635258 млн. тонн
. q tF = 0, 013946 * (188,0108*532,5/712-6,242586)
= 1,873916 млн. тонн
. q tF = 0, 013946 *
(188,0108*603,5/712-8,116502) = 2,109246 млн. тонн
. q tF = 0, 013946 *
(188,0108*674,5/712-10,22575) = 2,341293 млн. тонн
. q tF = 0, 013946 *
(188,0108*712/712-12,56704) = 2,446739 млн. тонн
Массовый текущий дебит жидкости в
поверхностных условиях:
q tF2 = q1 + (q tF - q1) * μ0
1. q tF2 = 0,129836 +
(0,130732-0,129836) * 1,2729 = 0,130977 млн. тонн
. q tF2 = 0,385933 +
(0,390372-0,385933) * 1,2729 = 0,391583 млн. тонн
. q tF2 = 0,634977 +
(0,646391-0,634977) * 1,2729 = 0,649506 млн. тонн
. q tF2 = 0,877162 +
(0,89884-0,877162) * 1,2729 = 0,904756 млн. тонн
. q tF2 = 1,112677 +
(1,147768-1,112677) * 1,2729 = 1,157344 млн. тонн
. q tF2 = 1,341706 +
(1,393225-1,341706) * 1,2729 = 1,407285 млн. тонн
. q tF2 = 1,564427 +
(1,635258-1,564427) * 1,2729 = 1,654588 млн. тонн
. q tF2 = 1,781013 +
(1,873916-1,781013) * 1,2729 = 1,899269 млн. тонн
. q tF2 = 1,991635 +
(2,109246-1,991635) * 1,2729 = 2,141342 млн. тонн
. q tF2 = 2,196457 + (2,341293-2,196457)
* 1,2729 = 2,380819 млн. тонн
. q tF2 = 2,273115 +
(2,446739-2,273115) * 1,2729 = 2,494121 млн. тонн
Обводненность продукции:
. Аt = (1-0,1298/0,13098) * 100% =
0,8711%
. Аt = (1-0,3859/0,39158) * 100% =
1,4429%
. Аt = (1-0,635/0,64951) * 100% =
2,2369%
. Аt = (1-0,8772/0,90476) * 100% =
3,0499%
. Аt = (1-1,1127/1,15734) * 100% =
3,8594%
. Аt = (1-1,3417/1,40729) * 100% = 4,66%
. Аt = (1-1,5644/1,65459) * 100% =
5,4492%
. Аt = (1-1,781/1,89927) * 100% =
6,2264%
. Аt = (1-1,9916/2,14134) * 100% =
6,9913%
. Аt = (1-0,2,1965/2,38082) * 100% =
7,7436%
. Аt = (1-2,2731/2,49412) * 100% =
8,8611%
Коэффициент нефтеизвлечения:
Qбал - балансовые запасы
нефти
1. ηt = 0,129836/222,041 = 0,00058
2. ηt
= 0,515769/222,041 = 0,00232
3. ηt
= 1,150746/222,041 = 0,00518
4. ηt
= 2,027908/222,041 = 0,00913
. ηt
= 3,140585/222,041 = 0,01414
6. ηt
= 4,482291/222,041 = 0,02019
7. ηt
= 6,046718/222,041 = 0,02723
8. ηt
= 7,827731/222,041 = 0,03525
9. ηt
= 9,819366/222,041 = 0,04422
10. ηt
= 12,01582/222,041 = 0,05412
11. ηt
= 14,28894/222,041 = 0,06435
II. На второй стадии выдерживается постоянным текущий дебит нефти
залежи qt и расчеты проводятся по следующим формулам:
Текущий амплитудный дебит при qt0 ≤ qм0 (в нашем случае qм0 = 5,2808 млн. т/год)
. q tо = 2,2731 * 94,5515/(94,5515 -
15,4255) = 2,71626 млн. т/год
. q tо = 2,2731 * 94,5515/(94,5515 -
17,69861) = 2,7966 млн. т/год
. q tо = 2,2731 * 94,5515/(94,5515 -
19,97173) = 2,88183 млн. т/год
. q tо = 2,2731 * 94,5515/(94,5515 -
22,24484) = 2,97243 млн. т/год
. q tо = 2,2731 * 94,5515/(94,5515 -
24,51796) = 3,06891 млн. т/год
. q tо = 2,2731 * 94,5515/(94,5515 -
26,79107) = 3,17186 млн. т/год
. q tо = 2,2731 * 94,5515/(94,5515 -
29,06419) = 3,28196 млн. т/год
. q tо = 2,2731 * 94,5515/(94,5515 -
31,3373) = 3,39997 млн. т/год
. q tо = 2,2731 * 94,5515/(94,5515 -
33,61042) = 3,52679 млн. т/год
. q tо = 2,2731 * 94,5515/(94,5515 -
35,88353) = 3,66344 млн. т/год
. q tо = 2,2731 * 94,5515/(94,5515 -
38,15665) = 3,8111 млн. т/год
. q tо = 2,2731 * 94,5515/(94,5515 -
40,42976) = 3,97117 млн. т/год
. q tо = 2,2731 * 94,5515/(94,5515 -
42,70288) = 4,14527 млн. т/год
. q tо = 2,2731 * 94,5515/(94,5515 -
44,97599) = 4,33534 млн. т/год
. q tо = 2,2731 * 94,5515/(94,5515 -
47,24911) = 4,54367 млн. т/год
. q tо = 2,2731 * 94,5515/(94,5515 -
49,52222) = 4,77304 млн. т/год
Расчетный текущий дебит жидкости:
. q tF = 0,014347 *
(188,0108-15,01378) = 2,48192 млн. тонн
. q tF = 0,014771 *
(188,0108-17,4957) = 2,51867 млн. тонн
. q tF = 0,015221 *
(188,0108-20,01436) = 2,5571 млн. тонн
. q tF = 0,0157 *
(188,0108-22,57146) = 2,59734 млн. тонн
. q tF = 0,016209 *
(188,0108-25,1688) = 2,63954 млн. тонн
. q tF = 0,016753 *
(188,0108-27,80834) = 2,68387 млн. тонн
. q tF = 0,017334 * (188,0108-30,49221)
= 2,7305 млн. тонн
. q tF = 0,017958 *
(188,0108-33,22271) = 2,77966 млн. тонн
. q tF = 0,018628 *
(188,0108-36,00237) = 1,83156 млн. тонн
. q tF = 0,019349 *
(188,0108-38,83393) = 2,88648 млн. тонн
. q tF = 0,020129 *
(188,0108-41,72041) = 2,94472 млн. тонн
. q tF = 0,020975 *
(188,0108-44,66513) = 3,00644 млн. тонн
. q tF = 0,021894 *
(188,0108-47,67177) = 3,07262 млн. тонн
. q tF = 0,022898 *
(188,0108-50,74439) = 3,14315 млн. тонн
. q tF = 0,023999 * (188,0108-53,88754)
= 3,21876 млн. тонн
. q tF = 0,02521 *
(188,0108-57,10631) = 3,3001 млн. тонн
Массовый текущий дебит жидкости:
qtF2 = q1 + (qtF - q1) * μ0
. q tF2 = 2,2731 + (2,48192 -
2,2731) * 1,2729 = 2,5389 млн. тонн
. q tF2 = 2,2731 + (2,51867 -
2,2731) * 1,2729 = 2,58568 млн. тонн
. q tF2 = 2,2731 + (2,5571 -
2,2731) * 1,2729 = 2,6346 млн. тонн
. q tF2 = 2,2731 + (2,59734 -
2,2731) * 1,2729 = 2,68582 млн. тонн
. q tF2 = 2,2731 + (2,63954 -
2,2731) * 1,2729 = 2,73954 млн. тонн
. q tF2 = 2,2731 + (2,68387 -
2,2731) * 1,2729 = 2,79596 млн. тонн
. q tF2 = 2,2731 + (2,7305 -
2,2731) * 1,2729 = 2,85532 млн. тонн
. q tF2 = 2,2731 + (2,77966 -
2,2731) * 1,2729 = 2,91789 млн. тонн
. q tF2 = 2,2731 + (2,83156 -
2,2731) * 1,2729 = 2,98396 млн. тонн
. q tF2 = 2,2731 + (2,88648 -
2,2731) * 1,2729 = 3,05387 млн. тонн
. q tF2 = 2,2731 + (2,94472 -
2,2731) * 1,2729 = 3,12801 млн. тонн
. q tF2 = 2,2731 + (3,00664 -
2,2731) * 1,2729 = 3,20682 млн. тонн
. q tF2 = 2,2731 + (3,07262 -
2,2731) * 1,2729 = 3,29081 млн. тонн
. q tF2 = 2,2731 + (3,14315 -
2,2731) * 1,2729 = 3,38058 млн. тонн
. q tF2 = 2,2731 + (3,21876 -
2,2731) * 1,2729 = 3,47683 млн. тонн
. q tF2 = 2,2731 + (3,3001 -
2,2731) * 1,2729 = 3,58037 млн. тонн
Обводненность:
. А t = (1 - 2,2731/2,5389) * 100% =
10,4685%
. А t = (1 - 2,2731/2,58568) * 100% =
12,0882%
. А t = (1 - 2,2731/2,6346) * 100% =
13,7205%
. А t = (1 - 2,2731/2,68582) * 100% =
15,366%
. А t = (1 - 2,2731/2,73954) * 100% =
17,0257%
. А t = (1 - 2,2731/2,79596) * 100% =
18,7001%
. А t = (1 - 2,2731/2,85532) * 100% =
20,3903%
. А t = (1 - 2,2731/2,91789) * 100% =
22,0973%
. А t = (1 - 2,2731/2,98396) * 100% =
23,8221%
. А t = (1 - 2,2731/3,05387) * 100% =
25,566%
. А t = (1 - 2,2731/3,12801) * 100% =
27,3302%
. А t = (1 - 2,2731/3,20682) * 100% =
29,1161%
. А t = (1 - 2,2731/3,29081) * 100% =
30,9254%
. А t = (1 - 2,2731/3,38058) * 100% =
32,7597%
. А t = (1 - 2,2731/3,47683) * 100% =
34,6211%
. А t = (1 - 2,2731/3,58037) * 100% =
36,5117%
Коэффициент нефтеизвлечения:
12. ηt = 16,56205/222,041 = 0,07459
. ηt = 18,83517/222,041 = 0,08483
. ηt = 21,10828/222,041 = 0,09506
. ηt = 23,3814/222,041 = 0,1053
. ηt = 25,65451/222,041 = 0,11554
. ηt = 27,92763/222,041 = 0,12578
. ηt = 30,20074/222,041 = 0,13601
. ηt = 32,47386/222,041 = 0,14625
. ηt = 34,74697/222,041 = 0,15649
. ηt = 37,02009/222,041 = 0,16673
. ηt = 39,2932/222,041 = 0,17696
. ηt = 41,56632/222,041 = 0,1872
. ηt = 53,83943/222,041 = 0,19744
. ηt = 46,11255/222,041 = 0,20768
. ηt = 48,38566/222,041 = 0,21791
. ηt = 50,65878/222,041 = 0,22815
III. На третьей стадии залежь разрабатывается при фиксированных
условиях, создавшихся в конце второй стадии и расчет ведется по формулам первой
стадии при nt0/n0=1.
. q t = 0,054334 * (94,5515-55,20501) =
2,13785 млн. тонн
. q t = 0,054334 * (94,5515-57,34286) =
2,02169 млн. тонн
. q t = 0,054334 * (94,5515-59,36455) =
1,91185 млн. тонн
. q t = 0,054334 * (94,5515-61,2764) =
1,80797 млн. тонн
. q t = 0,054334 * (94,5515-63,08437) =
1,70974 млн. тонн
. q t = 0,054334 * (94,5515-64,79411) =
1,61684 млн. тонн
. q t = 0,054334 * (94,5515-66,41095) =
1,52899 млн. тонн
. q t = 0,054334 * (94,5515-67,93994) =
1,44591 млн. тонн
. q t = 0,054334 * (94,5515-69,38585) =
1,36735 млн. тонн
. q t = 0,054334 * (94,5515-70,7532) =
1,29306 млн. тонн
. q t = 0,054334 * (94,5515-72,04626) =
1,2228 млн. тонн
. q t = 0,054334 * (94,5515-73,26906) =
1,15636 млн. тонн
Расчетный текущий дебит жидкости в
пластовых условиях:

. q tF = 0,027699 * (188,0108
- 70,60368) = 3,25206 млн. тонн
. q tF = 0,027699 * (188,0108
- 73,85574) = 3,16198 млн. тонн
. q tF = 0,027699 * (188,0108
- 77,01772) = 3,0744 млн. тонн
. q tF = 0,027699 * (188,0108
- 80,09212) = 2,98924 млн. тонн
. q tF = 0,027699 * (188,0108
- 83,08136) = 2,90644 млн. тонн
. q tF = 0,027699 * (188,0108
- 85,9878) = 2,82594 млн. тонн
. q tF = 0,027699 * (188,0108
- 88,81374) = 2,74766 млн. тонн
. q tF = 0,027699 * (188,0108
- 91,5614) = 2,67155 млн. тонн
. q tF = 0,027699 * (188,0108
- 94,23295) = 2,59755 млн. тонн
. q tF = 0,027699 * (188,0108
- 96,8305) = 2,5256 млн. тонн
. q tF = 0,027699 * (188,0108
- 99,3561) = 2,45565 млн. тонн
Массовый текущий дебит жидкости в
поверхностных условиях:
qtF2 = q1 + (qtF - q1) * μ0
. q tF2 = 2,13785 +
(3,3447-2,13785) * 1,2729 = 3,67405 млн. тонн
. q tF2 = 2,02169 +
(3,25206-2,02169) * 1,2729 = 3,58783 млн. тонн
. q tF2 = 1,91185 +
(3,16198-1,91185) * 1,2729 = 3,50314 млн. тонн
. q tF2 = 1,80797 +
(3,0744-1,80797) * 1,2729 = 3,42001 млн. тонн
. q tF2 = 1,70974 +
(2,98924-1,70974) * 1,2729 = 3,33842 млн. тонн
. q tF2 = 1,61684 +
(2,90644-1,61684) * 1,2729 = 3,25837 млн. тонн
. q tF2 = 1,52899 +
(2,82594-1,52899) * 1,2729 = 3,17988 млн. тонн
. q tF2 = 1,44591 +
(2,74766-1,44591) * 1,2729 = 3,10291 млн. тонн
. q tF2 = 1,36735 +
(2,67155-1,36735) * 1,2729 = 3,02747 млн. тонн
. q tF2 = 1,29306 +
(2,59755-1,29306) * 1,2729 = 2,95355 млн. тонн
. q tF2 = 1,2228 +
(2,5256-1,2228) * 1,2729 = 2,88113 млн. тонн
. q tF2 = 1,15636 +
(2,455565-1,15636) * 1,2729 = 2,81023 млн. тонн
Обводненность продукции:
. А t = (1 - 2,13785/3,67405) * 100% =
41,812%
. А t = (1 - 2,02169/3,58783) * 100% =
43,651%
. А t = (1 - 1,91185/3,50314) * 100% =
45,425%
. А t = (1 - 1,80797/3,42001) * 100% =
47,136%
. А t = (1 - 1,70974/3,33842) * 100% =
48,786%
. А t = (1 - 1,61684/3,25837) * 100% =
50,379%
. А t = (1 - 1,52899/3,17988) * 100% =
51,917%
. А t = (1 - 1,44591/3,10291) * 100% =
53,401%
. А t = (1 - 1,36735/3,02747) * 100% =
54,835%
. А t = (1 - 1,29306/2,95355) * 100% =
56,22%
. А t = (1 - 1,2228/2,88113) * 100% =
57,558%
. А t = (1 - 1,15636/2,81023) * 100% =
58,852%
Коэффициент нефтеизвлечения:
29. ηt = 57,3429/222,041 = 0,25825
. ηt = 59,3645/222,041 = 0,26736
. ηt = 61,2764/222,041 = 0,27597
. ηt = 63,0844/222,041 = 0,28411
. ηt = 64,7941/222,041 = 0,29181
. ηt = 66,4109/222,041 = 0,29909
. ηt = 67,9399/222,041 = 0,30598
. ηt = 69,3858/222,041 = 0,31249
. ηt = 70,7532/222,041 = 0,31865
. ηt = 72,0463/222,041 = 0,32447
. ηt = 73,2691/222,041 = 0,32998
. ηt = 74,4254/222,041 = 0,33519
Расчеты проведены до тех пор, пока
обводненность продукции не достигла 90%.
|
Годы, t
|
q t0, млн. т/год
|
Q t0, млн. т
|
Добыча, млн. тонн
|
Обводнен-ность, %
|
Суммарная добыча нефти
|
КИН
|
|
|
|
Нефти q t
|
воды
|
жидкости q tF2
|
|
|
|
|
1
|
2
|
3
|
4
|
5
|
6
|
7
|
8
|
9
|
|
1
|
0,264
|
9,4552
|
0,129836
|
0,001141
|
0,130977
|
0,8711
|
0,129836
|
0,000585
|
|
2
|
0,5016
|
17,96483
|
0,385933
|
0,00565
|
0,391583
|
1,4429
|
0,515769
|
0,002323
|
|
3
|
0,7392
|
26,47446
|
0,634977
|
0,014529
|
0,649506
|
2,2369
|
1,150746
|
0,005183
|
|
4
|
0,9768
|
34,98409
|
0,877162
|
0,027594
|
0,904756
|
3,0499
|
2,027908
|
0,009133
|
|
5
|
1,2144
|
43,49372
|
1,112677
|
0,044667
|
1,157344
|
3,8594
|
3,140585
|
0,014144
|
|
6
|
1,452
|
52,00335
|
1,341706
|
0,065579
|
1,407285
|
4,66
|
4,482291
|
0,020187
|
|
7
|
1,6896
|
60,51298
|
1,564427
|
0,090161
|
1,654588
|
5,4492
|
6,046718
|
0,027232
|
|
8
|
1,9272
|
69,02261
|
1,781013
|
0,118256
|
1,899269
|
6,2264
|
7,827731
|
0,035254
|
|
9
|
2,1648
|
77,53224
|
1,991635
|
0,149707
|
2,141342
|
6,9913
|
9,819366
|
0,044223
|
|
10
|
2,4024
|
86,04187
|
2,196457
|
0,184362
|
2,380819
|
7,7436
|
12,015823
|
0,054115
|
|
11
|
2,6404
|
94,5515
|
2,273115
|
0,221006
|
2,494121
|
8,8611
|
14,288938
|
0,064353
|
|
12
|
2,716255
|
94,5515
|
2,273115
|
0,265784
|
2,538899
|
10,4685
|
16,562053
|
0,07459
|
|
13
|
2,796595
|
94,5515
|
2,273115
|
0,312563
|
2,585678
|
12,0882
|
18,835168
|
0,084827
|
|
14
|
2,881833
|
94,5515
|
2,273115
|
0,361471
|
2,634596
|
13,7205
|
21,108283
|
0,095065
|
|
15
|
2,972429
|
94,5515
|
2,273115
|
0,412703
|
2,685818
|
15,366
|
23,381398
|
0,105302
|
|
16
|
3,068907
|
94,5515
|
2,273115
|
0,466424
|
2,73954
|
17,0257
|
25,654513
|
0,11554
|
|
17
|
3,171858
|
94,5515
|
2,273115
|
0,522849
|
2,795964
|
18,7001
|
27,927628
|
0,125777
|
|
18
|
3,281955
|
94,5515
|
2,273115
|
0,582209
|
2,855324
|
20,3903
|
30,200743
|
0,136014
|
|
19
|
3,399971
|
94,5515
|
2,273115
|
0,644775
|
2,91789
|
22,0973
|
32,473858
|
0,146252
|
|
20
|
3,52679
|
94,5515
|
2,273115
|
0,710842
|
2,983957
|
23,8221
|
34,746973
|
0,156489
|
|
21
|
3,663437
|
94,5515
|
2,273115
|
0,780752
|
3,053867
|
25,566
|
37,020088
|
0,166726
|
|
22
|
3,8111
|
94,5515
|
2,273115
|
0,85489
|
3,128005
|
27,3302
|
39,293203
|
0,176964
|
|
23
|
3,971166
|
94,5515
|
2,273115
|
0,9337
|
3,206815
|
29,1161
|
41,566318
|
0,187201
|
|
24
|
4,145268
|
94,5515
|
2,273115
|
1,017695
|
3,29081
|
30,9254
|
43,839433
|
0,197438
|
|
25
|
4,335335
|
94,5515
|
2,273115
|
1,107469
|
3,380584
|
32,7597
|
46,112548
|
0,207676
|
|
26
|
4,543669
|
94,5515
|
2,273115
|
1,203717
|
3,476832
|
34,6211
|
48,385663
|
0,217913
|
|
27
|
4,773037
|
94,5515
|
2,273115
|
1,307254
|
3,580369
|
36,5117
|
50,658778
|
0,228151
|
|
28
|
5,026794
|
94,5515
|
2,273115
|
1,419054
|
3,692169
|
38,4342
|
52,931893
|
0,238388
|
|
29
|
5,2808
|
94,5515
|
2,13785
|
1,5362
|
3,67405
|
41,812
|
57,342858
|
0,258253
|
|
30
|
5,2808
|
94,5515
|
2,02169
|
1,56614
|
3,58783
|
43,651
|
59,364548
|
0,267358
|
|
31
|
5,2808
|
94,5515
|
1,91185
|
1,59129
|
3,50314
|
45,425
|
0,275969
|
|
32
|
5,2808
|
94,5515
|
1,80797
|
1,61204
|
3,42001
|
47,136
|
63,084368
|
0,284111
|
|
33
|
5,2808
|
94,5515
|
1,70974
|
1,62868
|
3,33842
|
48,786
|
64,794108
|
0,291811
|
|
34
|
5,2808
|
94,5515
|
1,61684
|
1,64153
|
3,25837
|
50,379
|
66,410948
|
0,299093
|
|
35
|
5,2808
|
94,5515
|
1,52899
|
1,65089
|
3,17988
|
51,917
|
67,939938
|
0,305979
|
|
36
|
5,2808
|
94,5515
|
1,44591
|
1,657
|
3,10291
|
53,401
|
69,385848
|
0,312491
|
|
37
|
5,2808
|
94,5515
|
1,36735
|
1,66012
|
3,02747
|
54,835
|
70,753198
|
0,318649
|
|
38
|
5,2808
|
94,5515
|
1,29306
|
1,66049
|
2,95355
|
56,22
|
72,046258
|
0,324473
|
|
39
|
5,2808
|
94,5515
|
1,2228
|
1,65833
|
2,88113
|
57,558
|
73,269058
|
0,32998
|
|
40
|
5,2808
|
94,5515
|
1,15636
|
1,65387
|
2,81023
|
58,852
|
74,425418
|
0,335188
|
|
41
|
5,2808
|
94,5515
|
1,09353
|
1,64726
|
2,74079
|
60,102
|
75,518948
|
0,340113
|
|
42
|
5,2808
|
94,5515
|
1,03411
|
1,63871
|
2,67282
|
61,31
|
76,553058
|
0,34477
|
|
43
|
5,2808
|
94,5515
|
0,97793
|
1,62837
|
2,6063
|
62,478
|
77,530988
|
0,349174
|
|
44
|
5,2808
|
94,5515
|
0,92479
|
1,61643
|
2,54122
|
63,608
|
78,455778
|
0,353339
|
|
45
|
5,2808
|
94,5515
|
0,87454
|
1,60301
|
2,47755
|
64,701
|
79,330318
|
0,357278
|
|
46
|
5,2808
|
94,5515
|
0,82703
|
1,58825
|
2,41528
|
65,758
|
80,157348
|
0,361002
|
|
47
|
5,2808
|
94,5515
|
0,78209
|
1,5723
|
2,35439
|
66,782
|
80,939438
|
0,364525
|
|
48
|
5,2808
|
94,5515
|
0,7396
|
1,55527
|
2,29487
|
67,772
|
81,679038
|
0,367856
|
|
49
|
5,2808
|
94,5515
|
0,69941
|
1,53727
|
2,23668
|
68,73
|
82,378448
|
0,371006
|
|
50
|
5,2808
|
94,5515
|
0,66141
|
1,51839
|
2,1798
|
69,657
|
83,039858
|
0,373984
|
|
51
|
5,2808
|
94,5515
|
0,62547
|
1,49876
|
2,12423
|
70,555
|
83,665328
|
0,376801
|
|
52
|
5,2808
|
94,5515
|
0,59149
|
1,47845
|
2,06994
|
71,425
|
84,256818
|
0,379465
|
|
53
|
5,2808
|
94,5515
|
0,55935
|
1,45755
|
2,0169
|
72,267
|
84,816168
|
0,381984
|
|
54
|
5,2808
|
94,5515
|
0,52896
|
1,43614
|
1,9651
|
73,082
|
85,345128
|
0,384367
|
|
55
|
5,2808
|
94,5515
|
0,50022
|
1,41429
|
1,91451
|
73,872
|
85,845348
|
0,386619
|
|
56
|
5,2808
|
94,5515
|
0,47304
|
1,39208
|
1,86512
|
74,638
|
86,318388
|
0,38875
|
|
57
|
5,2808
|
94,5515
|
0,44734
|
1,36956
|
1,8169
|
75,379
|
86,765728
|
0,390764
|
|
58
|
5,2808
|
94,5515
|
0,42303
|
1,34679
|
1,76982
|
76,098
|
87,188758
|
0,39267
|
|
59
|
5,2808
|
94,5515
|
0,40005
|
1,32383
|
1,72388
|
76,794
|
87,588808
|
0,394471
|
|
60
|
5,2808
|
94,5515
|
0,37831
|
1,30073
|
1,67904
|
77,469
|
87,967118
|
0,396175
|
|
61
|
5,2808
|
94,5515
|
0,35776
|
1,27752
|
1,63528
|
78,122
|
88,324878
|
0,397786
|
|
62
|
5,2808
|
94,5515
|
0,33832
|
1,25426
|
1,59258
|
78,756
|
88,663198
|
0,39931
|
|
63
|
5,2808
|
94,5515
|
0,31994
|
1,23098
|
1,55092
|
79,371
|
88,983138
|
0,400751
|
|
64
|
5,2808
|
94,5515
|
0,30255
|
1,20774
|
1,51029
|
79,967
|
89,285688
|
0,402114
|
|
65
|
5,2808
|
94,5515
|
0,28611
|
1,18455
|
1,47066
|
80,545
|
89,571798
|
0,403402
|
|
66
|
5,2808
|
94,5515
|
0,27057
|
1,16143
|
1,432
|
81,105
|
89,842368
|
0,404621
|
|
67
|
5,2808
|
94,5515
|
0,25587
|
1,13843
|
1,3943
|
81,649
|
90,098238
|
0,405773
|
|
68
|
5,2808
|
94,5515
|
0,24196
|
1,11558
|
1,35754
|
82,177
|
90,340198
|
0,406863
|
|
69
|
5,2808
|
94,5515
|
0,22882
|
1,09287
|
1,32169
|
82,687
|
90,569018
|
0,407893
|
|
70
|
5,2808
|
94,5515
|
0,21638
|
1,07037
|
1,28675
|
73,184
|
0,408868
|
|
71
|
5,2808
|
94,5515
|
0,20463
|
1,04805
|
1,25268
|
83,665
|
90,990028
|
0,409789
|
|
72
|
5,2808
|
94,5515
|
0,19351
|
1,02597
|
1,21948
|
84,132
|
91,183538
|
0,410661
|
|
73
|
5,2808
|
94,5515
|
0,18299
|
1,00411
|
1,1871
|
84,585
|
91,36528
|
0,411485
|
|
74
|
5,2808
|
94,5515
|
0,17305
|
0,9825
|
1,15555
|
85,024
|
91,539578
|
0,412264
|
|
75
|
5,2808
|
94,5515
|
0,16365
|
0,96115
|
1,1248
|
84,451
|
91,703228
|
0,413001
|
|
76
|
5,2808
|
94,5515
|
0,15476
|
0,94007
|
1,09483
|
85,864
|
91,857988
|
0,413698
|
|
77
|
5,2808
|
94,5515
|
0,14635
|
0,91929
|
1,06564
|
86,266
|
92,004338
|
0,414357
|
|
78
|
5,2808
|
94,5515
|
0,1384
|
0,89878
|
1,03718
|
86,656
|
92,142738
|
0,414981
|
|
79
|
5,2808
|
94,5515
|
0,13088
|
0,87858
|
1,00946
|
87,035
|
92,273618
|
0,41557
|
|
80
|
5,2808
|
94,5515
|
0,12377
|
0,85867
|
0,98244
|
87,402
|
92,397388
|
0,416128
|
|
81
|
5,2808
|
94,5515
|
0,11704
|
0,8391
|
0,95614
|
87,759
|
92,514428
|
0,416655
|
|
82
|
5,2808
|
94,5515
|
0,11068
|
0,81982
|
0,9305
|
88,105
|
92,625108
|
4,417153
|
|
83
|
5,2808
|
94,5515
|
0,10467
|
0,80086
|
0,90553
|
88,441
|
92,729778
|
4,417625
|
|
84
|
5,2808
|
94,5515
|
0,09898
|
0,78224
|
0,88122
|
88,768
|
92,828758
|
0,41807
|
|
85
|
5,2808
|
94,5515
|
0,0936
|
0,76392
|
0,85752
|
89,085
|
92,922358
|
0,418492
|
|
86
|
5,2808
|
94,5515
|
0,08852
|
0,74593
|
0,83445
|
89,392
|
93,010878
|
0,418891
|
|
87
|
5,2808
|
94,5515
|
0,08371
|
0,72826
|
0,81197
|
89,691
|
93,094588
|
0,419268
|
|
88
|
5,2808
|
94,5515
|
0,07916
|
0,71094
|
0,7901
|
89,981
|
93,173747
|
0,419624
|
Выводы
Пласты Зеленогорской площади
находятся в разработке длительное время, за прошедшие с начала разработки 49
лет эксплуатационный объект перешел в четвертую стадию разработки, которая
характеризуется малыми, медленно снижающимися темпами отбора нефти, большими
темпами отбора жидкости, высокой, медленно возрастающей обводненностью
продукции и резким уменьшением действующего фонда скважин из-за обводнения. Для
эффективного извлечения остаточных запасов необходимо использовать последние
разработки в области техники и технологии, внедрять методы повышения
нефтеизвлечения. Необходимо пересмотреть взгляды и на систему ППД, должны
применяться каскадные технологии очистки воды, по возможности заменять старые
трубопроводы на металлопластиковые. За пятьдесят лет эксплуатации подходит к порогу
физической усталости эксплуатационный фонд. Это увеличивает эксплуатационные
затраты на единицу добытой нефти, возрастает количество ремонтов, следовательно
нужно применять такие технологии ремонта и эксплуатационные оборудования,
которые по возможности не наносили бы вреда обсадным колоннам. Следует
применять новые технологии добычи нефти. При искусственном водонапорном режиме
характерно образование языков обводнения и образование изолированных, не
охваченных нефтенасыщенных зон, не охваченных системой разработки, в которых
имеются некоторые запасы нефти. Необходимо изыскивать методы, позволяющие
вовлекать в разработку эти участки, а также изыскивать и другие возможности для
увеличения коэффициента нефтеизвлечения.