Высокоэффективная жидкостная хроматография

  • Вид работы:
    Реферат
  • Предмет:
    Химия
  • Язык:
    Русский
    ,
    Формат файла:
    MS Word
    72,09 kb
  • Опубликовано:
    2011-10-11
Вы можете узнать стоимость помощи в написании студенческой работы.
Помощь в написании работы, которую точно примут!

Высокоэффективная жидкостная хроматография










Курсовая работа

Тема:

Высокоэффективная жидкостная хроматография

Содержание

1. ВЭЖХ

2.      Обращено-фазовая хроматография

.        Сорбенты

.        Растворители

.        Координационно-насыщенные хелаты

6. Закономерности влияния строения лиганда на поведение хелатов в условиях обращено-фазной хроматографии

Список используемой литературы

1. Высокоэффективная жидкостная хроматография

Высокоэффективная жидкостная хроматография (ВЭЖХ) - один из эффективных методов анализа и разделения сложных примесей. Она как метод была открыта в 1903 году русским ученым М.С. Цветом, который он использовал для разделения растительных пигментов на их составление колонки, заполненные порошком мела. При вымывании пигментов петролейным эфиром они перемещались вдоль колонки, разделяясь при этом на кольца разного цвета.

Положительные стороны ВЭЖХ:

ü большой диапазон молекулярных масс веществ, с которыми можно работать,

ü  мягкость условий,

ü  высокая эффективность разделения (до 150000 т.т. на 1 м),

ü  высокая скорость анализа,

ü  количественная точность,

ü  высокая чувствительность.

ü микроколоночную (d<2 мм),

ü  аналитическую (2-6 мм),

ü  полупрепаративную (7-10 мм),

ü  препаративную (10-40 мм),

ü  крупномасштабную препаративную (d>40 мм).

По механизму разделения анализируемых и разделенных веществ ВЭЖХ делится на:

- нормально-фазовая хроматография - такой вариант ВЭЖХ, когда подвижная фаза менее полярна, чем неподвижная, а основной фактор, определяющий удерживание, - это взаимодействие сорбатов с поверхностью сорбента;

обращено-фазовая хроматография - такой вариант ВЭЖХ, когда подвижная фаза более полярна, чем неподвижная, и удерживание определяется непосредственным контактом молекул сорбата с поверхностью или объемом сорбента;

ионообменная хроматография - вариант, при котором сорбция осуществляется путем обмена ионов неподвижной фазы на ионы хроматографируемых веществ (аналогично можно определить лиганднообменную хроматографию);

хроматография на динамически модифицированных сорбентах - вариант ВЭЖХ, при котором сорбат не взаимодействует непосредственно с поверхностью сорбента, а вступает в ассоциацию с молекулами приповерхностных слоев элюента. Состав этих слоев, находящихся в динамическом равновесии с подвижной фазой, отличается от среднего состава подвижной фазы;

ион-парная хроматография - вариант обращено-фазовой хроматографии ионизированных соединений, при котором в подвижную фазу добавляется гидрофобный противоион, качественно изменяющий сорбционные характеристики системы;

¾ эксклюзионная хроматография - способ разделения соединений по их молекулярным массам, основанный на различии в скорости диффузии в порах неподвижной фазы молекул различных размеров.

2. Обращено-фазовая хроматография

Из всех вариантов ВЭЖХ обращено-фазовый применяется в настоящее время наиболее широко, что объясняется простотой механизма сорбции и предсказуемостью поведения веществ на основании их строения, методической простотой и универсальностью метода. Термин “обращено-фазовая хроматография” ввели Говард и Мартин в1950 г., когда ими был описано разделение жирных кислот с использованием жидкого парафина и н-октана в качестве неподвижных фаз. В отличие от других, ранее применявшихся систем распределительной хроматографии здесь неподвижная фаза менее полярна, чем подвижная, что и послужило поводом к такому наименованию. Позднее Хорват предложил теорию обращено-фазовой хроматографии, суть которой заключается в следующем.

Рис. 1а. К механизму обращено-фазовой хроматографии:

а - сорбат в растворе; б - сорбат на поверхности неподвижной фазы

Молекулы воды и органического растворителя обозначены светлыми и темными кружками соответственно.

Существует принципиальное различие между процессами сорбции на полярных и неполярных поверхностях. В первом случае между молекулами сорбатов и неподвижных фаз образуются ассоциаты за счет кулоновских взаимодействий или водородных связей. Во втором случае причиной удерживания сорбата на поверхности являются так называемые сольвофобные взаимодействия в подвижной фазе. Для полярных элюентов, особенно содержащих воду, характерно сильное кулоновское взаимодействие и образование водородных связей между молекулами растворителей, т.е. все молекулы в таких элюентах довольно прочно связаны межмолекулярными силами. Для того, чтобы поместить в эту среду молекулу сорбата, необходимо образование “полости” между молекулами растворителя. Энергетические затраты на образование такой “полости” лишь частично покрываются за счет взаимодействия полярных групп в молекуле сорбата с полярными молекулами растворителя. В аналогичном положении по отношению к растворителю и неполярные молекулы неподвижной фазы. С энергетической точки зрения более выгодно такое положение, когда поверхность раздела между полярной средой (растворителем) и неполярными фрагментами неподвижной фазы и молекул сорбата минимальна. Уменьшение этой поверхности достигается при сорбции (рис. 1а).

Таким образом, причиной сорбции в обращено-фазовой хроматографии служит сильное притяжение полярных молекул растворителя, как бы “прижимающее” растворенные менее полярные молекулы к неполярной поверхности. Из сказанного следует, что по сравнению с нормально-фазовой хроматографией в обращено-фазовой роль химической природы неподвижной фазы относительно мала, так как взаимодействие сорбат-сорбент ограничивается слабыми дисперсионными силами.


Становление ВЭЖХ в значительной мере связано с созданием новых поколений сорбентов с хорошими кинетическими характеристиками и разнообразными термодинамическими свойствами.

В классической колоночной хроматографии, как правило, используются сорбенты с частицами диаметром 30-200 мкм. На основе таких материалов можно получать колонки эффективностью до нескольких тысяч теоретических тарелок на 1 м длины. Уже такой эффективности достаточно было бы для решения множества аналитических и препаративных задач. Однако главный недостаток крупнозернистых сорбентов - большая длина пути диффузии внутри зерен. Поэтому потенциальная эффективность таких колонок если и реализуется, то лишь при малых линейных скоростях подвижной фазы. В классической колоночной хроматографии используются разнообразные по химической природе типы сорбентов, но лишь некоторые из них оказались пригодными в качестве основы для разработки материалов ВЭЖХ. Наиболее популярен из них силикагель. Другие типы материалов (окись алюминия, углеродные сорбенты) в течение последних десятилетий используются все реже. Современные материалы для ВЭЖХ имеют параметры, оптимизированные с точки зрения кинетики процесса. Их свойства и методы получения детально рассмотрены в специальной литературе, поэтому здесь мы ограничиваемся лишь той информацией, которая нужна хроматографисту-практику в первую очередь.

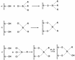
Большую популярность с 1971 г. приобрели химически модифицированные силикагели. Принцип их получения чаще всего заключается в обработке поверхности силикагеля органилгалогенсиланами (см. рис.1).

В зависимости от природы органического радикала R могут быть получены разные сорбенты. Условно химически модифицированные силикагели можно отнести к одной из двух групп - сорбентам общего назначения либо сверхселективным.

Рис. 1. Схема получения химически модифицированных силикагелей с помощью а) моно-, б) ди- , в) трихлорсиланов

В качестве органических радикалов чаще всего используют следующие:

СН3 - (C1) - метилсиликагель, применяется в обращенно-фазовом режиме обычно для разделения высокомолекулярных веществ;

- (CH2)3NH2 - (NH2, аминосиликагель) - используется для обращенно- и нормально-фазовой хроматографии. В водных подвижных фазах сорбент может, найти применение как слабый анионообменник для разделения кислот;

часто используется для хроматографии сахаров в водно-органических системах. Следует избегать использования сорбатов, содержащих альдегидные или кетогруппы, которые могут образовывать с аминогруппами сорбата шиффовы основания;

При выборе неподвижной фазы для разделения той или иной смеси необходимо исходить в первую очередь из свойств разделяемых соединений. Полярность разделяемых веществ непосредственно сказывается на их растворимости в растворителях различных классов, поэтому она служит первым критерием выбора. Одновременно следует иметь в виду, что часто возможно решение одной и той же задачи на сорбентах различных типов и что сорбционные свойства материала иногда могут радикально изменяться в зависимости от характера подвижной фазы. Одна из возможных схем выбора представлена на рис. 2.

Наименее полярные органические соединения - углеводороды, их галогензамещенные производные, а также кислородсодержащие соединения с большими алифатическими радикалами, как правило, хорошо растворимы в гексане. Вещества этой группы, довольно слабо удерживаются силикагелем, и для их хроматографии потребовались бы очень малополярные подвижные фазы. Однако силикагель медленно уравновешивается такими растворителями, и получить достаточно стабильные величины удерживания непросто. Потому для сорбатов этого типа можно рекомендовать обращено-фазовую хроматографию. В качестве подвижной фазы необходимо брать растворы, содержащие 0 - - 30% воды в ацетонитриле или метаноле, а для наименее полярных сорбатов (например, триглицериды, высшие полиядерные ароматические углеводороды) - смеси ацетонитрила с хлороформом либо хлористым метиленом.

Рис. 2. Схема выбора неподвижной фазы для разделения низкомолекулярных органических соединений.

Органические соединения промежуточной полярности растворяются в сложных эфирах, спиртах, хлороформе. Эти вещества имеют в составе молекул функциональные группы, способные к довольно сильному взаимодействию с силанольными группами силикагеля, полярными функциональными группами химически модифицированных силикагелей. Подвижные фазы для хроматографии на этих сорбентах содержат 2-50 % полярного органического растворителя в смеси с менее полярными (углеводороды, галогенуглеводороды). Равновесие между силикагелем и такими растворами устанавливается быстро, и оно довольно устойчиво. Поэтому результаты хроматографирования обычно с легкостью воспроизводимы. Разделение на силикагеле более селективно по отношению к пространственной структуре сорбатов, в силу чего нормально-фазовая хроматография наиболее предпочтительна, если предстоит разделение изомеров.

Многие полярные органические соединения растворимы в воде, и потому для них обычно используют обращено-фазовую хроматографию. Подвижная фаза содержит 0-50 % органического растворителя (метанол, ацетонитрил) в воде. Соединения выходят из колонки в порядке убывания полярности. Если сорбаты ионизированы в водных растворах, с целью улучшения формы пика и воспроизводимости результатов в подвижную фазу добавляют соли, кислоты, буферные растворы для поддержания необходимой ионной силы и рН.

Применение обращено-фазных сорбентов в ВЭЖХ

Одна из причин, способствующих быстрому росту применения обращёно-фазных сорбентов в ВЭЖХ, - это их способность четко разделять серии гомологов в порядке возрастания их молекулярной массы, делающая их в этом чем-то сходными с популярными в ГЖХ полиметилсилоксановыми фазами. При этом гомологи могут, в отличие от разделенных методами адсорбционной или нормально-фазной хроматографии, не иметь функциональных групп - обращёно-фазный сорбент может так же четко разделить гексан и гептан, бензол и толуол. Это вовлекает в область анализа методом ВЭЖХ такие важные объекты, как углеводороды нефти, продукты нефтепереработки. Если нужно разделить вещества неполярные или малополярные, практически любой обращёно-фазный сорбент может при относительно простом подборе растворителя обеспечить почти идентичное разделение. Наряду с неполярными привитыми фазами, выпускаемыми специально для обращёно-фазной хроматографии, в обращёно-фазном варианте часто используют нитрильную и аминную привитые фазы, а иногда и диольную. В этом случае они работают и разделяют вещества в основном по обращено-фазному механизму, как имеющие короткий привитой алкилсилан, а поляризованные группы или не участвуют в разделении, или играют второстепенную роль, несколько меняя селективность для ряда веществ определенной химической структуры. В качестве растворителей спирты используют редко, так как их вязкость большая и при работе возникает слишком большое давление, а эффективность падает вследствие затруднений диффузий в подвижной фазе. Тетрагидрофуран также используется значительно реже, во-первых, из-за стабильности при хранении, во-вторых, из-за трудности очистки перегонкой. Ацетонитрил имеет ряд преимуществ перед метанолом. При хорошей очистке он лучше пропускает в ближнем УФ диапазоне и позволяет работать в смеси вода - ацетонитрил при 200 и даже 190 нм. Он обычно обладает лучшими растворяющими свойствами для проб, чем метанол. При использовании смесей метанол - вода вязкость такой смеси не является аддитивной величиной и при 250С меняется от 0,89 и 0,57 МПа*с до 1,4. Большая вязкость смесей метанол - вода по сравнениями со смесями ацетонитрил - вода затрудняет использование колонок, заполненных частицами сорбента размеров 3 и 5 мкм, при использовании водно-метанольных смесей.

. Растворители

Общая характеристика

Определенные требования к растворителям предъявляет используемый метод детектирования. При применении детекторов, основанных на поглощении света, подвижная фаза должна быть прозрачной в избранной спектральной области. Набор растворителей, прозрачных для УФ-света вплоть до 190-220 нм, довольно велик. Однако в каждом конкретном случае этот показатель определяется не столько физическими свойствами основного вещества, сколько содержанием УФ-поглощающих примесей. Поскольку содержание таких примесей часто не нормируется даже для растворителей квалификации «химически чистый», рекомендуется применять растворители специальных квалификаций - «для жидкостной хроматографии» или «для спектроскопии». При отсутствии готовых растворителей необходимого качества их следует тщательно очистить в лаборатории с помощью подходящих методов.

Особая шкала элюируюшей силы предложена для обращено-фазовой хроматографии

Она основана на том, что для этого режима характерна зависимость

 (25)

где k¢w - коэффициент емкости, если элюентом является чистая вода;

ФВ - объемная доля органического растворителя в подвижной фазе;- коэффициент, характеризующий элюирующую силу органического  растворителя.

Набор значений S для некоторых растворителей, применяемых в обращено-фазовой хроматографии, приведен в табл. 1. Здесь же для сопоставления указана полярность P¢ по Снайдеру для тех же веществ.

Таблица 1

Элюирующая сила (параметры S и P¢) растворителей, используемых в обращено-фазовой хроматографии

Растворитель

S

Вода Метанол Ацетонитрил Этанол Ацетон Диоксан Пропанол-2 Тетрагидрофуран

0,0 3,0 3,1 3,6 3,4 3,5 4,2 4,4

10,2 5,1 5,8 4,3 5,1 4,8 3,9 4,0


Эти данные в целом отражают сравнительное влияние растворителй на скорость перемещения зон в обращено-фазовой хроматографии. Следует, однако, с осторожностью относиться к абсолютным величинам S, так как они неодинаковы для различных сорбатов и, кроме того могут зависеть от концентрации органического растворителя.

Сравнение величин S и P¢, приведенных в табл. 1, показывает, что они аналогично демонстрируют лишь общую картину, в отношении же конкретных растворителей нетрудно заметить противоречия. В то же время наблюдаемая линейная зависимость логарифма коэффициента емкости от объемной доли органического растворителя в элюенте в значительной степени облегчает выбор состава подвижной фазы с оптимальной элюирующей силой.

жидкостный хроматография сорбент хелат

5. Координационно-насыщенные хелаты

В условиях обращено-фазовой хроматографии различия в поведении координационно-насыщенных хелатов проявляется не столь заметно. Специфические взаимодействия всех этих хелатов, благодаря которым и может проявиться природа металла, реализуется здесь в основном за счет образования водородных связей с компонентами подвижной фазы. Именно по этому природа органического растворителя сильно влияет не только на абсолютное, но и на относительное удерживание хелатов по обращено-фазному механизму. Изменяя природу и состав элюента можно изменить величину удерживания и селективность разделения в большей степени, чем при изменении природы сорбента.

6. Закономерности влияния строения лиганда на поведение хелатов в условиях обращено-фазной хроматографии

Анализ литературных данных по влиянию строения лиганда на удерживание хелатов по обращено-фазному варианту (кстати, куда менее представительных) показывает, что здесь на первый план начинает выступать гидрофобная природа комплексов, ее изменение с изменением структуры лиганда при введении соответствующих заместителей. С ростом размера гидрофобной части молекулы хелата растет площадь контакта с углеводородными цепями химически модифицированного силикагеля и увеличивается удерживание из полярных элюентов. кроме того, в случае адсорбции хелатов как соединений полярной природы в общем потенциале межмолекулярных взаимодействий в хроматографической системе значительной является доля специфических межмолекулярных взаимодействий с полярным элюентом. через влияние на величину этих взаимодействий природа заместителей(главным образом их стерические и особенно индукционные эффекты) может сказываться на адсорбционной способности хелатов.

В результате изучения зависимости времен удерживания кетоиминатов меди от строения реагента получен следующий порядок элюирования комплексов соответствующий увеличению размера их молекул. Причем если время удерживания N,N-триметиленбис (ацетилацетонимината) с тремя метиленовыми группами в диаминовом мостике лишь немного больше, чем у N,N-этиленбис (ацетилацетонимината),то N,N-этиленбис (бензоилацетониминат) меди уже значительно удерживается на октадецилсиланизированном силикагеле, что объясняется большим сродством бензольного кольца к гидрофобной поверхности сорбента.

Введение метильных групп в диаминовый мостик лиганда увеличивает неспецифическую адсорбцию кетоиминатов, и закономерно возрастает их удерживание на колонках с силанизированным силикагелем, однако следует напомнить, что определяющими взаимодействиями хелатов в условиях обращеннофазной хромотографии являются не слабые неспецифические взаимодействия с неподвижной фазой, а специфические взаимодействия в полярной подвижной фазе.

Можно отметить, что наибольшим сродством к гидрофобизированной поверхности неподвижной фазы обладают, как это следовало ожидать, хелаты с более гидрофобными заместителями (фенильными, метилфенильными, нафтильными), которые одновременно наименее склонны к специфическому взаимодействию с подвижной фазой, за счет к большой способности к неспецифической адсорбции октаэтилпорофинатмеди имеет меньшую подвижность, чем этиопорфинат.

Список используемой литературы:

1. «Практическая ВЭЖХ», В.Л. Стыскин, Л.Б. Ициксон, Е.В. Брауде,М.:Химия, 1986.

2.      «Введение в микромасштабную ВЭЖХ», ред. Д.Исин

Похожие работы на - Высокоэффективная жидкостная хроматография

 

Не нашли материал для своей работы?
Поможем написать уникальную работу
Без плагиата!
Без нейросетей!