Технико-экономическое обоснование экономии энергоресурсов на предприятии (на примере ОАО 'Гомельский химический завод')
Введение
экономия энергоресурс энергетическая
служба
В данной курсовой работе рассматривается
разработка и технико-экономическое обоснование экономии энергоресурсов на
предприятии (на примере ОАО «Гомельский химический завод»). На современном
этапе развития экономики проблема энергоресурсов является основной.
Возрастающая стоимость энергоресурсов привела к необходимости повышения
эффективности их использования. Быстрый рост тарифов на электроэнергию, газ,
тепло, воду в последние годы особенно заметен и можно, с большой вероятностью,
предположить, что тенденция сохранится. Рост тарифов обусловлен в основном
увеличением стоимости энергоносителей, износом генерирующих источников и
транспортных коммуникаций энергоносителей.
Поэтому осознание необходимости эффективной
экономии энергоресурсов - обязательный фактор для региона, административного
образования, предприятия. Предприятия должны ориентироваться в основном на
разработку и выпуск приборов и автоматических систем учета энергоносителей,
различных типов генераторов энергоносителей, разработку энергосберегающих
технологий и оборудования.
Объектом исследования по указанной теме было
выбрано ОАО «Гомельский химический завод» - одно из крупнейших предприятий
Республики Беларусь, выпускающее минеральные и фосфорные удобрения, серные
кислоты, химические продукты для сельского хозяйства и промышленности. Данное
предприятие представляет интерес для исследования, так как является одним из
крупнейших в своей отрасли.
Предметом исследования являются существующие
производственные технологии потребления энергоресурсов на предприятии.
Целью исследования является внедрение
ресурсосберегающих технологий или модернизации существующих, доказав их
целесообразность и эффективность.
В процессе работы над курсовой работой
необходимо рассмотреть следующие задачи:
) рассмотреть теоретические аспекты деятельности
энергетического хозяйства предприятия;
) проанализировать организационную и
производственную структуру управления предприятием;
) рассмотреть энергоресурсы, используемые на
предприятии. Исследовать структуру энергомеханического управления, которое
занимается вопросами экономии энергоресурсов на предприятии;
) после проведения анализа потребления
топливно-энергетических ресурсов предложить мероприятия экономии
энергоресурсов.
Источниками литературы для данной курсовой
работы являются годовой отчёт предприятия за 2006-2008 гг.; бизнес план
предприятия; методические указания; справочное пособие по эксплуатации и
повышению экономичности в воздушных компрессорных установках; техническая
документация предлагаемого для внедрения оборудования. А также при написании
курсового исследования использовались издания периодической печати, научные
диссертации, и Интернет-ресурсы. Таким образом, тема данного курсового
исследования широко освещена как в отечественной, так и в зарубежной
литературе.
Глава 1. Теоретические аспекты
работы энергетических служб, методы организации их деятельности и общие
направления повышения эффективности
1.1 Роль, задачи и структура
энергетического хозяйства предприятий
Современные предприятия машиностроения, а также
радиоэлектронной промышленности являются крупнейшими потребителями энергии и
энергоносителей, в частности электроэнергии, топлива, пара, сжатого воздуха,
воды и т. д. Годовые затраты на потребляемую энергию на предприятиях весьма
значительны, а их доля в себестоимости продукции в настоящее время достигает
25-30%.
Энергоснабжение промышленного предприятия имеет
три важные особенности:
. Невозможность выработки энергии
"впрок" ("на склад"), что порождает необходимость
потребления этой энергии одновременно с ее производством.
. Неравномерность потребления предприятиями
энергии в течение суток и в зависимости от времени года. Режим производства
энергии в каждый отрезок времени зависит от режима ее потребления. Потребление
энергии в производстве неравномерно по часам суток, дням недели, месяцам и
сезонам года. Поскольку изменяется во времени потребность в энергии (спрос),
соответственно, должно изменяться ее предложение (производство, закупка, отбор
из внешней сети энергоснабжения).
. Недопустимость перебоев в энергопитании
технологического оборудования. Подобные сбои могут привести к дезорганизации
производственного процесса, резкому снижению объемов и качества выпускаемой
продукции, к авариям, а то и к полной остановке производства [3]
По характеру использования потребляемая энергия
подразделяется на силовую, технологическую и производственно-бытовую. Силовая
энергия приводит в движение технологическое оборудование, подъемно-транспортные
средства; технологическая - служит для изменения свойств и состояния материалов
(плавление, термообработка и т. д.); производственно-бытовая - расходуется на
освещение, вентиляцию, отопление и другие цели.
Для обеспечения предприятий
указанными видами энергии, в их производственной структуре выделяются
специализированные подразделения, составляющие энергетическое хозяйство
предприятия. Основными задачами энергетического хозяйства предприятия являются:
1.
своевременное
и бесперебойное обеспечение предприятия, его подразделений и отдельных рабочих
мест всеми видами необходимых энергоносителей с соблюдением установленных для
них параметров (напряжения, давления, температуры и т.д.);
2.
организация
рационального использования энергетического оборудования, его своевременный
качественный ремонт и техническое обслуживание;
3.
разработка
и реализация мероприятий по повышению эффективности и экономности использования
в деятельности предприятия различных видов энергоносителей.
Для осуществления перечисленных задач, а также
для разработки и внедрения мероприятий по экономии всех видов энергии на
предприятиях создаются энергетические хозяйства, структура которых зависит от
ряда факторов: типа производства, объема выпуска продукции, энергоемкости
продукции, развития кооперации с другими предприятиями и т. д.
В общем случае в состав энергохозяйства
промышленного предприятия входят многочисленные приемники энергии, цеховые и
заводские сети, распределительные устройства, преобразовательные и генерирующие
установки.
В технологическом отношении
энергохозяйство делится на генерирующую часть (электростанции, котельные,
газогенераторные и компрессорные установки, насосные установки и т.д.);
передающую и распределительную часть (сети, распределительные устройства и
трансформаторные подстанции); потребляющую часть (энергоприёмники основного и
вспомогательного производства и непроизводственные потребители).
Процесс производства,
распределения и потребления энергии является единым энергетическим процессом, в
котором все элементы взаимосвязаны. Ввиду этого, основной особенностью работы
энергохозяйства предприятия является совпадение во времени и соразмерность по
объему процессов производства и потребления энергии. В связи с этим, основным
фактором, определяющим режим работы энергохозяйства является режим потребления
энергоносителей различными подразделениями предприятия. В свою очередь, такой
режим обусловливается комплексом факторов, основными из которых являются:
a)
объемы
выпускаемой предприятием продукции;
b)
конструктивные
особенности выпускаемой продукции и характер технологических процессов ее
изготовления;
c)
характер
связи энергохозяйства предприятия с региональной энергетической системой.
В зависимости от последнего
фактора, на промышленных предприятиях могут применяться три основных схемы
энергообеспечения:
1. Комплексное
внешнее энергообеспечение - предприятие отказывается от содержания
собственной генерирующей базы и все необходимые виды энергоносителей получает
от сторонних поставщиков.
2. Комплексное
внутреннее энергообеспечение - все виды используемых в производстве
энергоносителей предприятие генерирует самостоятельно. Данная форма
энергообеспечения характерна для очень крупных предприятий и применяется, как
правило, в начальный период развития новых промышленных районов, когда
отсутствует или недостаточно развита региональная энергетическая база.
3. Комбинированное
энергоснабжение - является основным и наиболее
рациональным вариантом для большинства промышленных предприятий. При
использовании данной схемы предприятие закупает у сторонних поставщиков только
первичные энергоносители (газ, вода, электроэнергия), а вторичные генерирует
самостоятельно. [3]
В организационном отношении,
энергохозяйство промышленного предприятия делится на технический и
управленческий блоки.
В свою очередь, технический блок
подразделяется на общезаводскую и внутрицеховую части. К общезаводскому уровню
относятся генерирующие, преобразовательные установки и распределительные сети
общезаводского значения. Эксплуатация и обслуживание таких установок и сетей
осуществляется специализированными энергетическими цехами предприятия.
Внутрицеховая часть энергохозяйства включает в себя все первичные
энергоприемники, внутрицеховые распределительные сети, а также цеховые
преобразовательные установки и установки для использования вторичных
энергоресурсов. Работа данных устройств обеспечивается силами цеховых
энергетических служб.
Управление работой
энергохозяйства осуществляется специальными подразделениями, которые, в
зависимости от масштабов предприятия могут быть представлены в форме:
·
управления
главного энергетика (УГЭ) - на крупных предприятиях;
·
отдела
главного энергетика (ОГЭ) - на средних предприятиях;
·
энергомеханического
отделом, непосредственно возглавляемого главным механиком - на мелких
предприятиях.
Общее руководство работой
данных служб осуществляет главный энергетик, находящийся в подчинении главного
механика или главного инженера предприятия.
В составе ОГЭ создаются
следующие функциональные подразделения:
бюро ППР;
техническое бюро;
планово-производственное бюро;
бюро энергоиспользования.
Бюро ППР
планирует, контролирует и учитывает выполнение всех видов ремонтных работ
энергетического оборудования, инспектирует правильность эксплуатации этого
оборудования; ведет паспортизацию и учет всех видов энергетического оборудования;
устанавливает номенклатуру, сроки службы, нормы расхода и лимиты на запасные
части и покупные материалы; планирует изготовление или закупку материальных
ценностей для ремонта.
Техническое бюро
осуществляет всю техническую подготовку производства системы ППР.
Планово-производственное
бюро
осуществляет планирование потребности предприятия в различных видах энергии и
энергоресурсов. Планирование сводится к составлению энергетических балансов,
которые подразделяются на плановые и отчетные. Плановый энергобаланс состоит в
обосновании потребности предприятия в энергии и энергоресурсах. Отчетный
энергобаланс предназначен для контроля за фактическим энергопотреблением, для
анализа использования энергии, а также для оценки качества работы энергоцехов.
Основой для составления плановых энергобалансов служат удельные нормы расхода
энергии, топлива и т. д., а также плановые задания по выпуску продукции
основного производства.
Функции
энергетической службы предприятия:
- разработка нормативов,
касающихся энергетической службы;
планирование потребности всех
видов энергии и энергоносителей, составление энергетического баланса
предприятия;
планирование ППР оборудования;
планирование потребности в
запчастях;
организация выработки
(обеспечения) предприятия всеми видами энергии;
оперативное планирование и
диспетчирование обеспечения предприятия всеми видами энергии;
организация ремонтных работ
оборудования;
разработка технической
документации для проведения монтажных, ремонтных работ оборудования и
энергетических коммуникаций (сетей);
организация обслуживания
энергетического оборудования, сетей, линий связи;
контроль за качеством ремонтных
работ;
организация монтажных,
пусконаладочных работ нового оборудования, демонтаж и утилизация списанного
оборудования по энергетической части;
надзор за правилами
эксплуатации оборудования;
контроль за расходами всех
видов энергии.
Таким образом, можно сделать
вывод о том, что для поддержания нормального хода производственного процесса на
каждом предприятии требуется организация устойчивого энергоснабжения. Эта
задача возложена на энергетическое хозяйство предприятия. Назначение
энергетического хозяйства предприятия - надежное и бесперебойное удовлетворение
в полном объеме потребностей производственных подразделений предприятия в
энергии необходимых параметров с минимальными затратами.
1.2 Планирование
и анализ энергоснабжения предприятия
Рациональная организация
энергетического хозяйства в определенной мере зависит от правильности
планирования своей производственно-хозяйственной деятельности, нормирования и
учета потребления энергоресурсов.
Энергоснабжение предприятия
имеет специфические особенности, которые заключаются в одновременности
производства и потребления энергии. Подача электроэнергии на предприятие на
каждый момент времени должна регулироваться объемом потребления. Недостаточно
полное ее использование ведет к неизбежным потерям, к недоиспользованию
мощности. При повышенном против графика потреблении возникают
"пиковые" нагрузки.
Определение потребности
предприятия в энергоресурсах и учет их расхода основываются на составлении
энергетических и топливных балансов. Балансовый метод планирования дает
возможность рассчитать потребность предприятия в энергии и топливе различных
видов исходя из объема производства на предприятии и прогрессивных норм
расхода, а также определить наиболее рациональные источники потребления этой
потребности за счет получения энергии со стороны и собственного производства ее
на предприятии.
Энергетические балансы
классифицируются по следующим признакам:
• назначению - перспективные,
текущие, отчетные;
• видам энергоносителя -
частные по отдельным видам энергоносителя (уголь, нефть, пар, газ, вода) и
общие по сумме всех видов топлива;
• характеру целевого
использования энергии (силового, технологического, производственно-хозяйственного
значения).
Перспективные балансы
составляются на длительный срок и используются при проектировании,
реконструкции производства и для развития энергохозяйства предприятия в целом.
Текущие плановые балансы
составляются на год с разбивкой по кварталам и являются основной формой
планирования и потребления энергии всех видов.
Главная задача разработки
планового баланса - обоснование плановой потребности предприятия в топливе и
энергии для выполнения производственной программы предприятия по выпуску
продукции - это расходная часть баланса. Обоснование наиболее рациональных
возможность рассчитать потребность предприятия в энергии и топливе различных
видов исходя из объема производства на предприятии и прогрессивных норм
расхода, а также способов покрытия этой потребности, получение энергии со
стороны и на собственных генерирующих установках - приходная часть баланса.
Отчетные (фактические) балансы
предназначены для контроля за потреблением энергоносителей и выполнением
плановых балансов, а также служат основным материалом для анализа использования
носителей, оценки работы в области рационализации энергохозяйства и экономии
(перерасхода) топлива и энергии.
Основным методом определения
норм расхода является расчетно-аналитический, позволяющий рассчитать плановую
норму с учетом изменений в режиме работы, параметров технологических процессов
и других факторов, влияющих на величину удельного расхода.
Плановая потребность
предприятия в электроэнергии (общая) определяется по формуле:
(1.1)
где Нр э
- плановая норма расхода электроэнергии на единицу продукции, кВт- ч;
Nпл
- плановый объем выпуска продукции в натуральном (стоимостном) выражении, шт.
(руб.);
Рэл всп -
расход энергии на вспомогательные нужды (освещение, вентиляцию, отопление и
т.д.), кВт • ч;
Pст
-
планируемый отпуск энергии на сторону, кВт/ч;
Рпот - планируемые
потери энергии в сетях, кВт /ч.
Плановая потребность энергии по
цехам определяется с помощью удельных норм расхода двигательной и технологической
энергии на единицу продукции, а также объема производства в натуральном или
других измерителях.
Необходимое количество
двигательной (силовой) электроэнергии для производственных целей зависит от
мощности установленного оборудования и определяется по формулам:
(1.2)
где Wу
- суммарная мощность установленного оборудования (электромоторов), кВт;
Fэф
- эффективный фонд времени работы оборудования (потребителей электроэнергии) за
плановый период (месяц, квартал, год), ч;
К3 - коэффициент
загрузки оборудования;
Ко - средний
коэффициент одновременной работы потребителей энергии.
(1.3)
Кс -
коэффициент полезного действия питающей электрической сети;
ηд
- коэффициент полезного действия установленных электромоторов.
cosφ
- коэффициент
мощности установленных электродвигателей; Км - коэффициент машинного
времени электроприемников (машинного времени работы оборудования).
Потребное количество
электроэнергии, идущей на освещение помещений, определяется по формулам:
где Ссв - число
светильников (лампочек) на участке, в цехе, на предприятии, шт.;
Рср - средняя
мощность одного светильника (лампочки), Вт; h
- норма
освещения 1м2 площади, Вт (25Вт/м2); S
- площадь освещаемого здания, м2.
Расход пара на производственные
цели определяется на основе удельных норм расхода соответствующего потребителя.
Например, на обогрев сушильных камер (на 1 т обогреваемых деталей)
периодического действия расходуется 100 кг/ч, для непрерывного действия
сушильных камер (конвейеров) -45-75 кг/ч.
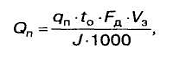
Расход пара на отопление здания
рассчитывается по формуле:
где qn - расход пара на 1 м3 здания
при разности наружной и внутренней температур в 1°С;
to
- разность наружной и внутренней температур отопительного периода, °С;
Fд
- время отопительного периода, ч;
V3
-
объем здания (по наружному обмеру), м3;
J
-
теплосодержание пара (540 ккал).
Расход топлива на
производственные нужды предприятия (термическая обработка металла, плавка
металла, сушка литейных форм и т. д.) определяется по формулам:
где 1,5 - коэффициент,
учитывающий потери сжатого воздуха в трубопроводах, в местах неплотного их
соединения; d- расход сжатого
воздуха при непрерывной работе воздухоприемника, м3/ч;
Си - коэффициент
использования воздухоприемника во времени; К3 - коэффициент
загрузки оборудования;т-число наименований воздухоприемников.
Объем воды для производственных
целей (ОВОД1 л) определяется по нормативам исходя из часового
расхода:
где qB
- часовой расход воды
на один станок, л.
где q
- норма расхода условного топлива на единицу выпускаемой
продукции; Кэ -
калорийный эквивалент применяемого вида топлива.
Расход топлива на отопление
производственных и административных зданий рассчитывается по формуле:
где qT
-
норма расхода топлива на 1 м3 здания при разности наружной и
внутренней температур в 1°С, ккал/ч; теплота сгорания условного топлива (7000
ккал/кг); коэффициент полезного действия котельной установки.
Основой организации первичного
учета энергии и энергоресурсов всех видов является организация
контрольно-измерительного хозяйства предприятия. Счетчики энергоресурсов должны
быть установлены на каждой единице энергетического оборудования. Данные учета
регистрируются в журналах или ведомостях. Основными направлениями
рационализации энергопотребления являются правильный выбор энергоносителей,
ликвидация прямых потерь, совершенствование технологии и организации
производства, ориентация на ресурсосберегающие технологии, бережное
использование энергии и вторичных энергоресурсов.
Таким образом,
топливно-энергетический баланс позволяет выяснить структуру энергопотребления
предприятия. Сопоставляя балансы за ряд лет, можно проследить изменения
пропорций производства и потребления энергии, результаты перехода от одних
энергоносителей к другим и, наконец, результаты общей рационализации
производства и потребления энергии. Сопоставление балансов родственных
предприятий одной отрасли позволяет оценить качество энергоиспользования и
вскрыть резервы энергетического хозяйства предприятия.
1.3 Основные
показатели эффективности энергетического хозяйства и общие пути
совершенствования его работы
Совокупность
технико-экономических показателей, характеризующих эффективность работы
энергетического хозяйства предприятия, может быть сведена в две группы:
1.
Показатели
эффективности производства энергоносителей:
·
удельный
расход первичных энергоносителей на производство единицы вторичных;
·
КПД
энергетических установок;
·
себестоимость
производства единицы различного вида энергоносителей;
·
доля
энергии, получаемой за счет вторичного использования энергоносителей и т.д.
2.
Показатели
эффективности использования энергоносителей:
·
уровень
энергоотдачи производства;
·
уровень
энерговооруженности труда;
·
доля
энергетических затрат в себестоимости готовой продукции;
·
удельный
расход энергоносителей на производство единицы продукции;
·
показатели
структуры энергопотребления отдельных цехов и предприятия в целом.
Основными направлениями
совершенствования организации энергетического хозяйства предприятия и повышения
эффективности его работы являются:
) разработка новых методов
производства и преобразования энергии;
) совершенствование
энергопроизводящего оборудованияи технологических процессов;
) развитие взаимозаменяемости
различных видов энергиии проводящих ее установок;
) создание новых и
совершенствование существующихсредств преобразования энергии;
) изучение закономерностей,
тенденций и пропорций развития энергетики предприятия как единого целого;
) формирование концепции
оптимального управленияэнергохозяйством;
) изучение комплексной проблемы
энергетики, включаявлияние ее на окружающую среду и развитие
научно-техни-ческого прогресса. [3]
В соответствии с разработанными
направлениями по совершенствованию энергетического хозяйства составляются
мероприятия, которые условно подразделяются на энергетические, технологические,
мероприятия по улучшению режима работы, общепроизводственные и организационные.
К энергетическим относятся такие
мероприятия, как замена энергоносителей одного другим (мазута, угля - газом и
др.), повышение экономичности выработки энергии, широкое использование
вторичных энергоресурсов, снижение потерь и т.д.
К технологическим мероприятиям
относятся широкое внедрение скоростных методов обработки металлов резанием,
нагрева заготовок, прогрессивных способов получения заготовок (точное литье,
штамповка, чеканка, высадка), более технологичных конструкций изделий, а также
снижение процента брака и повышение выхода годной продукции.
Мероприятия по улучшению режима
работы включают повышение загрузки оборудования, снижение холостых ходов и
простоев нагревательного оборудования, замена оборудования периодического
действия на оборудование непрерывного действия, механизация и автоматизация
тепловых технологических процессов и энергетических установок, централизация
управления, замена асинхронных двигателей на синхронные и т. д.
К общепроизводственным
мероприятиям относятся внедрение экономичных систем производственной вентиляции
и промышленного водоснабжения, замена ламп накаливания люминесцентными
источниками света, использование выделяющегося в производстве тепла для
отопления цехов (экономайзеры, рекуператоры, утилизаторы).
Организационные мероприятия -
это рациональная организация контрольно-измерительного хозяйства, внедрение
технического нормирования энергопотребления, четкая организация первичного
учета расхода энергоресурсов.
Широкое применение во всех
цехах предприятия надлежащей контрольно-измерительной аппаратуры способствует
установлению более обоснованных норм расхода и проведению более правильного
первичного учета.
Для первичного учета расхода
электроэнергии, газа, пара, сжатого воздуха, воды и других энергоносителей
следует устанавливать приборы (счетчики, паромеры, водомеры и т. д.) так, чтобы
можно было получать фактические удельные величины расхода, соответствующие
системе планирования норм энергопотребления, принятой на заводе. Энергетический
учет должен быть оперативным и достоверным. Очень важно наряду с учетом расхода
энергоресурсов учитывать выход вторичных энергоресурсов с помощью приборов или
расчетным путем.
Фактические данные о расходе
энергии различных видов, получаемые первичным учетом, используются, во-первых,
для составления отчетных энергетических балансов по энергии всех видов в
абсолютных величинах; во-вторых, для определения фактических удельных
показателей расхода энергии всех видов; в-третьих, для расчета
технико-экономических показателей энергетического хозяйства предприятия.
Исходя из материалов Главы 1,
можно сделать вывод о том, что энергетическое хозяйство предприятий -
совокупность установок, служащих для преобразования и передачи энергии, и
соответствующих служб, обеспечивающих бесперебойное снабжение предприятия всеми
видами энергии и энергоносителей (электроэнергией, топливом, паром, газом и т.
д.) установленных параметров и при наименьших затратах. Потребности
промышленного предприятия в энергии и топливе рассчитываются на основе
составления энергобаланса предприятия и топливных балансов. Важнейшая задача
организации рационального потребления энергии на промышленном предприятии -
борьба за экономию топлива и энергии. Пути экономии энергии: совершенствование
технологии и организации производства, интенсификация производственных
процессов, установление наиболее целесообразных режимов работ и прогрессивных
норм расхода.
Глава 2. Анализ организации и
результативности деятельности энергетического хозяйства предприятия
.1 Общая характеристика деятельности
ОАО «Гомельский химический завод»
ОАО «Гомельский химический завод» относится к
химической отрасли, входит в состав Белорусского государственного концерна по
нефти и химии и является монопольным производителем фосфорных минеральных
удобрений в Республике Беларусь.
В 1960 году Государственным комитетом по химии
при Совете Министров СССР было утверждено строительство завода фосфорных
минеральных удобрений и обесфторенных фосфатов в г. Гомеле. Возводить
предприятие начали в 1963 году. 27 декабря 1965 года пущена первая очередь
завода, состоящая из цеха по производству серной кислоты, центральной заводской
лаборатории и вспомогательных подразделений. За короткий срок были введены
мощности по производству двойного гранулированного суперфосфата, экстракционной
фосфорной кислоты, цех фтористых солей, нефелинового антипирена. В 1970 году
досрочно введены мощности по выпуску сложно-смешанных концентрированных
удобрений. В 1974 году пущен комплекс цехов - гранулированного аммофоса,
фосфорной кислоты (на отечественном оборудовании) и фтористых солей. С 1998
года налажен выпуск средств защиты растений. С 2000 года в цехе
гранулированного аммофоса (ЦГА) выпускаются NPK-удобрения.
июля 2000 года на основании приказа концерна
" Белнефтехим" Гомельский химический завод переименован в
Республиканское унитарное предприятие "Гомельский химический завод".
В 2003 году РУП "Гомельский химический завод" переименован в открытое
акционерное общество "Гомельский химический завод".
Место нахождения завода: 246026, Республика
Беларусь, г. Гомель, ул. Химзаводская, 5.
Цель создания завода - удовлетворение
потребностей сельского хозяйства в минеральных удобрениях, в средствах защиты
для борьбы с заболеваниями растений, а также удовлетворение потребностей
промышленности в криолите и аэросиле для производства стекла, керамических
изделий, красок и лаков, чистящих средств бытовой химии. Также целью создания
предприятия является осуществление внешнеэкономической деятельности,
осуществление закупочной деятельности и производство продукции общественного
питания и реализация на основе полученной прибыли социальных и экономических
интересов членов трудового коллектива и интересов имущества завода.
В состав предприятия входят производства: серной
кислоты, фосфорной кислоты, минеральных удобрений, фтористых солей, сульфита
натрия, химических продуктов, объекты социальной инфраструктуры,
санаторий-профилакторий, филиал «Морозовичи - Агро».
Организационная структура управления на ОАО
«Гомельский химический завод» является типовой для большинства предприятий -
линейно-функциональная.
На предприятии ОАО «Гомельский химический завод»
постоянно проводится работа по совершенствованию технического уровня и качества
выпускаемой продукции, которая носит комплексный характер и включает следующие
направления:
совершенствование системы управления качеством;
обеспечение высокого качества изготовления и
испытания продукции в производстве;
ОАО «Гомельский химический завод» работает
сегодня согласно программе развития на 2006 - 2010 годы. Она представляет собой
комплекс мероприятий по внедрению модернизированных и новых производств,
оснащенных современными средствами улавливания загрязняющих веществ,
выбрасываемых в атмосферный воздух, очистки сточных вод и утилизации отходов
производства.
В дальнейшем предприятием определен однозначный
курс на продолжение реконструкции производства до уровня обеспечения
внутриреспубликанской потребности и сохранения задекларированных объемов на
внешних рынках. Для достижения поставленных задач, предприятие намерено
ускоренно наращивать объемы капитальных вложений в основные производственные
цеха и довести общий уровень производства до требований мирового рынка.
Предприятие является поставщиком своей продукции
на российский рынок, рынок стран СНГ, Восточной Европы, стран Прибалтики.
Основными странами-импортерами являются: Украина, Литва, Латвия, Эстония,
Румыния, Чехия, Молдова, Венгрия, Польша, Болгария и др. Сбытовая политика
общества строится в направлении одновременного развития существующего рынка и
поиска новых рынков сбыта. Так, в 2009 году новыми рынками сбыта для предприятия
стали такие страны как: Грузия, Италия, Австрия, Германия, Сербия.
Параллельно с развитием предприятия заводчане
постоянно работают над повышением качества выпускаемой продукции, ежегодно
разрабатываются мероприятия по улучшению ее потребительских свойств. Так, в
2006 году сертифицирована система менеджмента качества в соответствии с СТБ ИСО
9001-2001 в производстве сульфита натрия безводного и удобрений
азотно-фосфорно-калийных комплексных, в ближайшее время планируется повторно
сертифицировать систему менеджмента качества в Национальной системе
подтверждения соответствия.
В 2008 году ОАО «Гомельский химический завод»
сертифицировал систему менеджмента качества производства удобрений АФК на
соответствие ISO 9001, систему менеджмента охраны труда на соответствие OHSAS
18001, систему управления окружающей средой на соответствие ISO 14001.
В 2009 году область распространения СМК была
расширена на производство всех минеральных удобрений.
С момента основания и по сегодняшний день завод
непрерывно совершенствует технологии производства, внося значительный вклад в
развитие нефтехимической промышленности страны.
Не остаются в стороне работники завода и от
жизни общественной, повышая тем самым престиж предприятия. Завод постоянно
принимает участие в конкурсе «Лучшие товары Республики Беларусь». В 2008 году
ОАО «Гомельский химический завод» стало лауреатом этого конкурса.
2.1.1 Характеристика выпускаемой
продукции
В процессе осуществления своей деятельности ОАО
«Гомельский химический завод» несет определенные затраты и получает доходы.
Положительным финансовым результатом работы предприятия является получение
прибыли.
Основную часть прибыли ОАО «Гомельский
химический завод» получает главным образом от реализации готовой продукции.
Прибыль от реализации зависит от объема реализации, от структуры продукции,
себестоимости и средневзвешенной цены реализации продукции.
ОАО «Гомельский химический завод» выпускает
более 20 видов продукции. До 80% продукции от всего объёма производства
поставляется на внутренний рынок предприятиям сельского хозяйства и
промышленности, оставшаяся часть продукции экспортируется в основном на рынки
соседних стран: Украины, Польши, России и стран Балтии.
Анализ объема производства продукции начинается
с оценки его динамики, расчета базисных и цепных темпов роста и прироста.
Перечень выпускаемой продукции, её динамика, представлен в Таблице 2.1.
Таблица 2.1. Перечень и объём выпускаемой
продукции.
|
Наименование
продукции
|
Единица
измерения
|
Объём
производства
|
Абсолютный
прирост
|
Темп
роста, %
|
|
|
2006
|
2007
|
2008
|
07/06
|
08/07
|
07/06
|
08/07
|
|
Серная
кислота
|
т.
|
415012
|
421745
|
475540
|
6733
|
53795
|
101,6
|
112,8
|
|
Фосфорная
кислота
|
т.
|
95027
|
83190
|
107239
|
-11837
|
24049
|
87,5
|
128,9
|
|
а)
аммонизирован- ный суперфосфат б) аммофос в) азотно-фосфорно-калийные
удобрения
|
т.
т. т.
|
78694
41196 33100
|
84635
44386 28180
|
87805
59636 27532
|
5941
3190 -4920
|
3170
15250 -648
|
107,5
107,7 85,1
|
103,7
134,3 97,7
|
|
Фтористый
алюминий
|
т.
|
3508
|
3152
|
3317
|
-356
|
165
|
89,8
|
105,2
|
|
Криолит
|
т.
|
1211
|
1028
|
947
|
-183
|
-81
|
84,8
|
92,1
|
|
Аэросил
|
т.
|
201
|
95
|
154
|
-106
|
59
|
47,2
|
162,1
|
|
Электролит
|
т.
|
258
|
547
|
429
|
289
|
-118
|
212,2
|
78,4
|
|
Азофос
|
т.
|
116
|
26
|
19
|
-90
|
-7
|
22,4
|
73
|
|
Гербицид
«Раундап»
|
л.
|
129944
|
1397454
|
188189
|
1267510
|
209265
|
107,5
|
13,4
|
|
Кислород
газообразный
|
бал.
|
63228
|
58782
|
62875
|
-4446
|
4093
|
92,9
|
106,9
|
|
Комплексная
кормовая добавка
|
т.
|
1565
|
1555
|
1700
|
-10
|
145
|
99,3
|
109,3
|
|
Литье
чугунное
|
т
|
24
|
19
|
23
|
-5
|
4
|
79,1
|
121
|
|
Жидкие
комплексные удобрения
|
т.
|
-
|
56
|
7
|
-
|
-49
|
-
|
1,25
|
|
Преобразователь
ржавчины
|
т
|
4
|
15
|
3
|
11
|
-12
|
3,75
|
366
|
На основании приведенной таблицы можно сделать вывод,
что по большинству видов выпускаемой продукции предприятие увеличило объёмы
выпуска, вследствие чего соответственно увеличилась и выручка от реализации
продукции. Однако, так же видна тенденция к снижению объемов выпуска продукции
по некоторым видам. Это обусловлено снижением спроса на данный вид товаров и
увеличением затрат на производство и сбыт этой продукции.
На Рисунке 2.1. представлен удельный вес каждого
вида выпускаемой продукции в общем объёме производимых товаров на предприятии.
Рис. 2.1. Удельный вес каждого вида продукции в
общем объёме производства.
Как видно из рисунка, основными видами продукции
завода являются серная кислота, фосфорная кислота, гербицид «Раундап»,
азотно-фосфорные удобрения, аммофос, аммонизированный суперфосфат. Объём
производства остальных видов продукции является незначительным в сравнении с
другими.
2.1.2 Производственная и
организационная структура предприятия
Основным структурным подразделением ОАО
«Гомельский химический завод» является цех. Цех - это
организационно-обособленное подразделение предприятия, состоящее из ряда
производственных участков и обслуживающих звеньев.
В зависимости от перерабатываемого сырья,
характера производственных процессов различают основные, вспомогательные и
обслуживающие цехи.
К цехам основного производства относятся цехи, в
которых выполняются основные процессы производства, или их часть, то есть, они
непосредственно связаны с изготовлением основной продукции предприятия и
предназначены для выработки продукции, определяющей назначение предприятия.
Вспомогательные цеха - это цеха, которые
способствуют выпуску основной продукции, создавая условия для нормальной работы
основных цехов: оснащают их инструментом и приспособлениями, обеспечивают запасными
частями для ремонта оборудования и проводят плановые ремонты, обеспечивают
энергетическими ресурсами.
Обслуживающие хозяйства предприятия продукции не
производят, а выполняют работы по предоставлению услуг основным и
вспомогательным цехам.
Производственная структура ОАО «Гомельский
химический завод» представлена в Таблице 2.2.
Таблица 2.2. Производственная структура ОАО
«Гомельский химический завод»
|
Подразделения
|
Режим
работы с указанием количества смен
|
Число
работников
|
|
|
служащие
|
рабочие
|
|
ОСНОВНЫЕ
|
|
|
|
|
Цех
серной кислоты
|
по
12 ч.- 2 сменный
|
4
|
87
|
|
по
8 ч. - 1 сменный
|
13
|
38
|
|
Цех
фосфорной кислоты
|
по
12 ч.- 2 сменный
|
12
|
|
по
8 ч. - 1 сменный
|
19
|
67
|
|
Цех
двойного суперфосфата
|
по
12 ч.- 2 сменный
|
4
|
79
|
|
по
8 ч. - 1 сменный
|
13
|
38
|
|
Цех
сложно-смешанных минеральных удобрений
|
по
12 ч.- 2 сменный
|
4
|
74
|
|
по
8 ч. - 1 сменный
|
10
|
28
|
|
Цех
гранулированного аммофоса
|
по
12 ч.- 2 сменный
|
4
|
69
|
|
по
8 ч. - 1 сменный
|
9
|
17
|
|
Цех
фтористого алюминия и криолита
|
по
12 ч.- 2 сменный
|
5
|
45
|
|
по
8 ч. - 1 сменный
|
4
|
50
|
|
Цех
сульфита натрия
|
по
12 ч.- 2 сменный
|
4
|
50
|
|
по
8 ч. - 1 сменный
|
10
|
23
|
|
ИТОГО:
|
117
|
728
|
|
ВСПОМОГАТЕЛЬНЫЕ
|
|
|
|
|
Ремонтно-механический
цех
|
по
8 ч. - 1 сменный
|
15
|
81
|
|
Централизованный
цех по ремонту технологического оборудования
|
по
12 ч.- 2 сменный
|
4
|
44
|
|
по
8 ч. - 1 сменный
|
24
|
83
|
|
Цех
контрольно-измерительных приборов и автоматики
|
по
12 ч.- 2 сменный
|
0
|
15
|
|
|
по
8 ч. - 1 сменный
|
28
|
15
|
|
Цех
пароводоканализации
|
по
12 ч.- 2 сменный
|
4
|
87
|
|
по
8 ч. - 1 сменный
|
16
|
40
|
|
Железнодорожный
цех
|
по
12 ч.- 2 сменный
|
8
|
76
|
|
|
по
8 ч. - 1 сменный
|
11
|
41
|
|
Автотранспортный
цех
|
по
12 ч.- 2 сменный
|
0
|
49
|
|
|
по
8 ч. - 1 сменный
|
10
|
70
|
|
Центральная
заводская лаборатория
|
по
8 ч. - 1 сменный
|
14
|
35
|
|
Централизированный
отдел технического контроля
|
по
12 ч.- 2 сменный
|
0
|
76
|
|
по
8 ч. - 1 сменный
|
8
|
9
|
|
Ремонтно-строительный
цех
|
по
8 ч. - 1 сменный
|
10
|
61
|
|
Цех
электроснабжения и ремонта электрооборудования цехов
|
по
12 ч.- 2 сменный
|
4
|
16
|
|
по
8 ч. - 1 сменный
|
23
|
150
|
|
|
ИТОГО:
|
179
|
968
|
|
АДМИНИСТРАЦИЯ
|
|
|
|
|
Заводоуправление
|
по
12 ч.- 2 сменный
|
8
|
0
|
|
по
8 ч. - 1 сменный
|
210
|
28
|
|
Отдел
автоматизированной системы управления предприятием
|
по
8 ч. - 1 сменный
|
17
|
0
|
|
Проектно-конструкторский
отдел
|
по
8 ч. - 1 сменный
|
24
|
0
|
|
ИТОГО:
|
259
|
28
|
|
НЕПРОМЫШЛЕННАЯ
ГРУППА
|
|
|
|
|
Жилищно-ремонтно-эксплуатационный
участок
|
по
12 ч.- 2 сменный
|
0
|
8
|
|
по
8 ч. - 1 сменный
|
14
|
23
|
|
Лечебно-профилактический
участок
|
по
12 ч.- 2 сменный
|
4
|
0
|
|
по
8 ч. - 1 сменный
|
23
|
5
|
|
Комбинат
общественного питания
|
по
12 ч.- 2 сменный
|
0
|
8
|
|
по
8 ч. - 1 сменный
|
17
|
45
|
|
Неспециализированный
магазин
|
по
8 ч. - 1 сменный
|
3
|
4
|
|
Оздоровительный
центр «Химик»
|
по
12 ч.- 2 сменный
|
0
|
4
|
|
по
8 ч. - 1 сменный
|
2
|
1
|
|
ИТОГО:
|
63
|
102
|
|
|
ВСЕГО:
|
618
|
1826
|
Организационная структура предприятия
представлена в Приложении 1.
2.1.3 Структура персонала ОАО
«Гомельский химический завод»
Рациональное использование кадров предприятия
является непременным условием, обеспечивающим бесперебойность производственного
процесса и успешное выполнение производственной программы. Анализ
обеспеченности предприятия трудовыми ресурсами предполагает, прежде всего,
изучение укомплектованности предприятия необходимыми кадрами, соответствующих
специальностей и квалификации.
Состав, структура и динамика кадров на ОАО
«Гомельский химический завод» представлена в Таблице 2.3.
Таблица 2.3. Состав, структура и динамика кадров
на ОАО «Гомельский химический завод»
|
Категории
работников
|
Численность
работников, чел.
|
Темп
прироста
|
Темп
роста, %
|
|
2006
|
2007
|
2008
|
07/06
|
08/07
|
07/06
|
08/07
|
|
1.
Промышленно-производственный персонал 2. Непромышленный персонал
|
2263
162
|
2251
160
|
2279
165
|
-12
-2
|
28
5
|
99,4
98,7
|
101,2
103,1
|
На основании данной таблицы можно сделать вывод
о том, что за последний отчетный год на предприятии увеличилась численность
работников как промышленно-производственного персонала, так и непромышленного,
вследствие увеличения объемов выпуска основных видов продукции, для чего
необходимо привлечение дополнительных трудовых сил.
Существует следующая классификация персонала:
Рабочие - непосредственно занятые в процессе
производства материальных ценностей, а также ремонтом, перемещением грузов,
перевозкой пассажиров, предоставление услуг.
Служащие, или управленческий персонал -
осуществляют свою трудовую деятельность в процессе управления производством с
преобладающей долей умственного труда. Они заняты переработкой информации с
использованием технических средств управления.
Руководители - это работники, которые занимают
должность руководителей предприятий и их структурных подразделений.
В Таблице 2.4. отображены данные о численности
сотрудников на предприятии по категориям.
Таблица 2.4. Динамика численности персонала по
категориям.
|
Наименование
|
Количество
человек
|
Темп
прироста
|
Темп
роста, %
|
|
2006
|
2007
|
2008
|
07/06
|
08/07
|
07/06
|
08/07
|
|
Руководители
|
311
|
311
|
313
|
0
|
2
|
100
|
100,6
|
|
ИТР
|
289
|
295
|
311
|
6
|
16
|
102
|
105,4
|
|
Рабочие
|
1958
|
1861
|
1831
|
-97
|
-30
|
95
|
98,3
|
|
Служащие
|
18
|
12
|
52
|
-6
|
40
|
66,6
|
433
|
|
ИТОГО:
|
2581
|
2497
|
2507
|
-84
|
10
|
96,7
|
100,4
|
Данные Таблицы 2.4. свидетельствуют, что по
сравнению с 2006 годом, в 2007 году численность персонала завода сократилась на
84 человека, а уже в 2008 увеличилась на 10 человек. Это объясняется
увеличением объёмов выпуска продукции в 2008 году, вследствие чего происходил
набор персонала по некоторым специальностям. Также прослеживается тенденция к
сокращению численности рабочего персонала, что вызвано сокращением на
предприятии штатных рабочих единиц.
Одним из важнейших направлений анализа
качественного состава кадров является анализ профессионального и
квалификационного уровня. При анализе квалификационного состава на первом этапе
делают обобщающую оценку квалификационного состава рабочих в разрезе основного
и вспомогательного производства. Квалификационный состав рабочих ОАО
«Гомельский Химический завод» на начало и конец 2008 года представлен в Таблице
2.5.
Таблица 2.5. Квалификационный состав рабочих ОАО
«Гомельский химический завод» в 2008 году.
|
Разряды
|
На
начало года
|
На
конец года
|
|
1
2 3 4 5 6 7 8
|
119
101 110 467 606 377 30 51
|
120
110 115 460 590 385 30 21
|
|
ИТОГО:
|
1861
|
1831
|
Рассчитаем средний разряд рабочих на начало и
конец отчетного года:
Рнач.= 8429 / 1861 = 4, 45; Ркон.= 8163 / 1831 =
4, 52
Как видно из данных таблицы 2.5. и расчетов
средних показателей на начало года средний разряд рабочих составлял 4,45. На
конец года он был равен 4,52. Таким образом, за отчетный период
квалификационный уровень рабочих улучшился, о чем свидетельствует увеличение
среднего тарифного разряда на 0,07 (4,52-4,45). Данное увеличение обусловлено,
в основном, снижением количества рабочих к концу года.
2.1.4 Основные технико-экономические
показатели, характеризующие хозяйственную деятельность ОАО «Гомельский
химический завод»
Динамика основных технико-экономических
показателей, характеризующих деятельность ОАО «Гомельский химический завод» за
период 2006-2008 годов, представлена в таблице 2.6.
Таблица 2.6. Динамика основных
технико-экономических показателей, характеризующих деятельность ОАО «Гомельский
химический завод»
|
Показатели
|
Едини-ца
измере-ния
|
Значения
по годам
|
Абсолютный
прирост
|
Темп
роста, %
|
|
|
2006
|
2007
|
2008
|
07/06
|
08/07
|
07/06
|
08/07
|
|
1.
Выручка от реализации продукции, работ, услуг (за минусом налогов и иных
обязательных платежей, включаемых в выручку)
|
Млн.р.
|
129750
|
175258
|
215209
|
45508
|
39951
|
135
|
122,7
|
|
2.
Себестоимость реализованных товаров, продукции, работ и услуг, включая
управленческие расходы, и расходы на реализацию
|
Млн.р.
|
119324
|
166597
|
195647
|
47273
|
29050
|
139,5
|
117,4
|
|
3.
Объём производства продукции
|
Т.
|
737737
|
732768
|
832586
|
-4969
|
99818
|
99,3
|
113,6
|
|
4.Среднесписочная
численность производственного персонала
|
Ч.
|
2263
|
2251
|
2279
|
-12
|
28
|
99,4
|
101,2
|
|
5.
Фонд заработной платы производственного персонала с начислениями
|
Млн.р.
|
2581
|
2479
|
2507
|
-102
|
28
|
96
|
101,2
|
|
6.
Среднегодовая стоимость основных производственных средств
|
Млн.р.
|
145331
|
182465
|
203313
|
37134
|
20848
|
125,6
|
111,4
|
|
7.Прибыль
(убыток) от операционных доходов и расходов
|
Млн.р.
|
-1655
|
-653
|
-2057
|
1002
|
-1404
|
39,4
|
167
|
|
8.Прибыль
(убыток) от внереализованных доходов и расходов
|
Млн.р.
|
-2594
|
-12
|
-1446
|
2582
|
-1434
|
0,04
|
20,5
|
|
9.Прибыль
до вычета налогов
|
Млн.р.
|
10578
|
18388
|
2168
|
7810
|
125,7
|
173,8
|
|
10.
Чистая прибыль (убыток)
|
Млн.р.
|
7086
|
6130
|
12327
|
-956
|
6197
|
86,5
|
201
|
|
11.
Чистые активы (общая стоимость имущества за вычетом долгосрочных и
краткосрочных обязательств)
|
Млн.р.
|
82000
|
83292
|
83453
|
1292
|
161
|
101,5
|
100,1
|
|
12.
Рентабельность по чистой прибыли.
|
%
|
5,4
|
3,5
|
5,7
|
-1,9
|
0,3
|
64,8
|
162,8
|
|
13.
Дебиторская задолженность
|
Млн.р.
|
3250
|
4335
|
8140
|
1085
|
3805
|
133,3
|
187,7
|
|
14.
Кредиторская задолженность
|
Млн.р.
|
6660
|
7665
|
19499
|
1005
|
11834
|
115,1
|
254,3
|
|
14.
Затраты на сырье и материалы
|
Млн.р
|
6172
|
8400
|
13324
|
2228
|
4924
|
136,1
|
158,6
|
|
15.
Общая материалоотдача
|
Млн.р.
|
119,5
|
87,2
|
62,48
|
-32
|
-24,72
|
72,9
|
71,6
|
Положительным моментом в хозяйственной
деятельности предприятия является расширение производственной деятельности, о
чём свидетельствует рост объёма производства в 2008 году по сравнению с 2007 на
113,6%
Прибыль предприятия уменьшилась на 86,5% в 2007
году по сравнению с 2006 и увеличилась более чем в 2 раза по сравнению с 2008.
Данные изменения говорят о не совсем стабильном развитии предприятия и
колебаниях в объёмах производства продукции.
Так же можно отметить, что за счет уменьшения и
увеличения чистой прибыли в 2007 и 2008 годах соответственно, уменьшалась и
увеличивалась и рентабельность предприятия.
Темп роста материальных затрат в 2007 году по
сравнению с 2008 составил 158,6%, а по сравнению с 2006 - 136,1% и на 59,6% и
22,5%, соответственно, превысил темпы роста объёма производства, что привело к
снижению материалоотдачи.
Заметно, что значительно возрастает кредиторская
задолженность предприятия за отчетный период. Это вызвано прежде всего
необходимостью в дополнительных финансовых ресурсах за счет увеличения
материальных затрат на производство.
Таким образом, значения технико-экономических
показателей и анализ финансового состояния предприятия ОАО «Гомельский
химический завод» за период с 2006г. по 2008г. свидетельствуют о стабильной и
эффективной работе предприятия, которое несет определенные убытки и получает
прибыль.
2.2 Характеристика деятельности
энергетического хозяйства предприятия
2.2.1 Основные функции, задачи и
характеристика подразделений энергетического хозяйства предприятия
Цель управления потреблением энергии на
предприятии заключается в том, чтобы обеспечить наименьший расход энергии при
поддержании качества продукции на уровне, соответствующем требованиям рынка, а
также в создании безопасных и удобных условий труда персонала.
В функции главного энергетика завода входит
определение задач, которые нужно решить для достижения этой цели, а также
планирование, организация, руководство и выполнение мероприятий, намеченных для
решения этих задач, при постоянном контроле результатов работы.
Основными задачами энергетической службы
являются:
§ организация бесперебойного снабжения завода
энергоресурсами требуемых параметров;
§ организация надежной и безопасной работы
энергетического хозяйства предприятия (стационарных электростанций,
распределительных и трансформаторных подстанций, внутризаводских воздушных и
кабельных электрических сетей, внутризаводских сетей природного газа,
парокотельных и бойлерных установок, устройств сбора и возврата конденсата,
общезаводских водозаборных сооружений и установок для снабжения предприятия
теплом, паром, водой, сжатым воздухом);
§ организация и осуществление единой технической
политики в вопросах ремонта и эксплуатации энергетического хозяйства
предприятия, а также технического надзора и методического руководства
деятельностью энергетического и технологического персонала;
§ обеспечение рационального расходования
природного газа, котельно-печного топлива, тепловой и электрической энергии;
§ организация нормирования топливно-энергетических
ресурсов;
§ обеспечение выполнения директивных материалов по
вопросам организации, эксплуатации и ремонта энергетического хозяйства.
В состав энергетической службы ОАО «Гомельский
химический завод» входят: отдел главного энергетика (ОГЭ), централизованный цех
электроснабжения и ремонта электрооборудования (ЦЦЭР), цех пароводоканализации
(ПВК).
Организационная структура энергетического
хозяйства предприятия представлена в Приложении 2.
В Таблице 2.7. представлен перечень
подразделений энергетического хозяйства, их структура, а также количество
штатных единиц.
Таблица 2.7. Характеристика подразделений
энергетического хозяйства предприятия.
|
Наименование
структурных подразделений и должностей
|
Количество
штатных единиц
|
|
Отдел
главного энергетика
|
|
|
1.
Главный энергетик
|
1
|
|
2.
Заместитель главного энергетика
|
1
|
|
3.
Ведущий инженер-энергетик
|
2
|
|
4.
Инженер-энергетик II
|
2
|
|
5.
Инженер-энергетик
|
1
|
|
ИТОГО:
|
7
|
|
Участок
по обслуживанию электрооборудования цехов минеральных солей и удобрений
|
|
|
1.
Начальник участка 2. Мастер 3. Бригада №1 4. Бригада №2
|
1
4 4 8
|
|
ИТОГО:
|
17
|
|
Электротехническая
лаборатория
|
|
|
1.
Начальник лаборатории 2. Ведущий инженер по ремонту 3. Ведущий инженер по
ремонту I категории
Бригада № 1
|
1
1 2 8
|
|
ИТОГО:
|
12
|
|
Участок
по ремонту электрооборудования цехов минеральных кислот и удобрений
|
|
|
1.
Начальник участка 2. Старший мастер по ремонту электрооборудования 3. Мастер
по ремонту электрооборудования 4. Мастер по ремонту (обмоток и изоляции
электрооборудования) 5. Бригада №1
|
1
1 1 1 9
|
|
ИТОГО:
|
13
|
|
Участок
по ремонту и обслуживанию электрооборудования цехов сульфита натрия и
фтористого алюминия
|
|
|
1.
Энергетик цеха 2. Старший мастер по ремонту электрооборудования 3. Мастер по
ремонту электрооборудования Бригада № 1 Бригада№2
|
1
1 1 6 19
|
|
ИТОГО:
|
28
|
|
Участок
по ремонту и обслуживанию электрооборудования цеха фосфорной кислоты
|
|
|
1.Энергетик
цеха 2. Мастер по ремонту оборудования Бригада№1 Бригада №2
|
1
1 10 7
|
|
ИТОГО:
|
19
|
|
Участок
по ремонту и обслуживанию цеха пароводоканализации
|
|
|
1.Энергетик
цеха 2. Мастер по ремонту оборудования Бригада № 1
|
1
1 11
|
|
ИТОГО:
|
13
|
|
Участок
связи
|
|
|
1.
Начальник участка 2. Старший мастер Бригада №1 Бригада № 2
|
1
1 10 8
|
|
ИТОГО:
|
20
|
|
ВСЕГО:
|
129
|
Как видно из Таблицы 2.7., численность
персонала, занятого в энергетическом хозяйстве завода, составляет 129 человек.
Из них ИТР должности - 29 человек, рабочие - 100 человек.
2.2.2 Характеристика деятельности
энергетического хозяйства
Современные промышленные предприятия являются
крупными потребителями различных видов энергоносителей, общая номенклатура
которых может включать более десятка наименований, а доля затрат на их
приобретение и выработку в общей себестоимости конечной продукции - достигать
25 % и более.
Динамика потребляемых энергоресурсов на ОАО «Гомельский
химический завод» представлена в Таблице 2.8.
Таблица 2.8. Динамика потребляемых
энергоресурсов.
|
Вид
энергоресурса
|
Единица
измерения
|
Годовое
потребление
|
Темп
прироста
|
Темп
роста, %
|
|
|
2006
|
2007
|
2008
|
07/06
|
08/07
|
07/06
|
08/07
|
|
топливо
|
т.у.т.
|
29484
|
26536
|
28206
|
-2948
|
1670
|
90
|
106,3
|
|
теплоэнергия
|
Гкал
|
327639
|
285212
|
319044
|
-42427
|
33832
|
87
|
111,8
|
|
электроэнергия
|
Тыс.кВт/ч
|
132791
|
125497
|
140691
|
-7294
|
15194
|
94,5
|
105,9
|
|
сжатый
воздух
|
м3
|
189801513
|
190864915
|
207037199
|
1063402
|
16172284
|
100,5
|
108,5
|
|
оборотная
вода
|
м3
|
63222622
|
67648966
|
85128550
|
4426344
|
17479584
|
107
|
125,8
|
|
речная
вода
|
м3
|
3932401
|
2993439
|
3039584
|
-938962
|
46145
|
76,1
|
101,5
|
|
артезианская
вода
|
м3
|
478979
|
479913
|
509385
|
934
|
29472
|
100,1
|
106,1
|
Из Таблицы 2.8. видно, что за отчетный период
произошло увеличение количества потребляемых энергоресурсов почти по всем
видам. В основном увеличение потребления энергоресурсов увеличивалось на
производственные и технологические нужды, что обусловлено увеличением объемов
выпускаемой продукции.
Удельный вес каждого вида энергоресурсов в общем
объеме всех потребляемых энергоресурсов представлен на Рисунке 2.3. (Данные за
2008 год)
Рисунок 2.3. Удельный вес потребляемых
энергоресурсов.
Из Рисунка 2.3. видно, что наибольший процент
потребления приходится на сжатый воздух, оборотную воду, речную воду. Процент
остальных видов энергоносителей незначителен в сравнении с другими, это
обусловлено тем, что на выработку, например, электроэнергии на собственной
подстанции необходим сжатый воздух, это и обуславливает его высокую
необходимость и потребление.
Очевидно, что, используя энергоресурсы,
предприятие несет определенные затраты. Динамика затрат на потребление основных
видов энергоресурсов представлена в таблице 2.9.
Таблица 2.9. Динамика затрат на потребление
основных видов энергоресурсов.
|
Вид
энергоресурса
|
Единица
измерения
|
Годовые
затраты
|
Абсолютный
прирост
|
Темп
роста, %
|
|
|
2006
|
2007
|
2008
|
07/06
|
08/07
|
07/06
|
08/07
|
|
топливо
|
Млн.руб.
|
1263
|
1113
|
1182
|
-73
|
69
|
88,1
|
106,2
|
|
теплоэнергия
|
Млн.руб.
|
61,5
|
53,6
|
59,9
|
-7,9
|
6,3
|
87,1
|
111,7
|
|
электроэнергия
сжатый воздух
|
Млн.руб.
Млн.руб.
|
43,8
702
|
41,4
705
|
46,4
766
|
-2,4
3
|
5
61
|
94,5
100,4
|
112
108,6
|
|
оборотная
вода
|
Млн.руб.
|
44,8
|
47,7
|
53,4
|
2,9
|
5,7
|
106,4
|
111,9
|
|
речная
вода
|
Млн.руб.
|
40,8
|
36,9
|
38,6
|
-3,9
|
1,7
|
90,4
|
104,6
|
На основании данной таблицы можно сделать вывод
о том, что в связи с увеличением объемов потребления энергоресурсов,
увеличивались и затраты на их приобретение. Вследствие увеличения затрат на
энергоресурсы увеличивалась и себестоимость производимой продукции.
На Рисунках 2.4.,2.5.,2.6., показан удельный вес
электроэнергии, тепла и топлива соответственно, полученных от энергосистемы и
полученных от собственных источников (котельных, мини-ТЭЦ, утилизационных
установок).
Рис. 2.4. Приход электроэнергии Рис.2.5. Приход
тепла Рис. 2.6. Приход топлива
Как видно из данных Рисунков, предприятие
обеспечивает себя самостоятельно электроэнергией на 38%, теплом на 99 %.
Топливо предприятие на 100% закупает от сторонних организаций.
2.3 Факторный анализ
эффективности деятельности энергетического хозяйства предприятия.
.3.1 Факторный анализ для
детерминированных факторных зависимостей
Чтобы определить неиспользованные резервы
увеличения объема выпуска электроэнергии, полученной от собственных источников
(паровых турбин), необходимо провести факторный анализ этого показателя. Объем
производства собственной электроэнергии (V)
зависит от количества котлов, необходимых для производства пара (N),
от объема пара, необходимого для производства электроэнергии (P),
от суммарной мощности паровых турбин П-6-35/5М (M),
от количества отработанных дней в году одной турбиной (Д), коэффициента
полезного действия электродвигателя турбины (КПД).
Детерминированная модель факторной системы
объема производства собственной электроэнергии имеет следующий вид:
V = N
* P * M
* Д * КПД
Расчет влияния этих факторов на объем
производства собственной электроэнергии можно выполнить с помощью одного из
приемов детерминированного факторного анализа. Исходные данные для анализа
представлены в Таблице 2.10.
Таблица 2.10. Исходные данные для
детерминированного факторного анализа.
|
Показатель
|
2007
год
|
2008
год
|
Отклонение
(08/07)
|
|
Количество
котлов, шт. Объём производства пара котлом, т/ч. Мощность паровой турбины,
мВт/ч Количество отработанных дней одной турбиной в среднем за год, д. КПД
электромоторов турбины, %
|
1
80 5,5 354 73
|
1
76 6 350 78
|
-
-4 0,5 -4 5
|
На основе исходных данных расчет сделаем
способом абсолютных единиц:
∆ VN
= ( N 08 - N
07) * P 07 * M
07 * Д 07 * КПД 07 = (1-1) * 76 * 6 * 354 * 78 = 0
∆ VP
= N 07 * (P
08 - P 07) * M
07 * Д 07 * КПД 07 = 1 * (76 - 80) * 6 * 354 * 78 = - 66368
∆ VM
= N 07 * P
07 * (M 08 - M
07) * Д 07 * КПД 07 = 1 * 76 * ( 6 - 5,5) * 354 * 78 = 104925
∆ VД
= N 07 * P
07 * M 07 * (Д 08 - Д 07)
* КПД 07 = 1 * 76 * 6 * (350 - 354) * 78 = - 1422
∆ V
КПД = N 07 * P
07 * M 07 * Д 07 * ( КПД
08 - КПД 07) = 1 * 76 * 6 * 354 * (78 - 73) = 80712
Таким образом, неиспользованными резервами
увеличения объема производства собственной электроэнергии на предприятии
являются:
) производительность работы котла,
вырабатывающего пар для поступления его на турбину. В сравнении с 2007 годом, в
2008 году объем производства котлом пара снизился с 80 т/ч до 76 т/ч,
вследствие этого уменьшился объем выпуска электроэнергии на 66 тыс.кВт/ч.
) количество отработанных дней в среднем
турбиной за год. Этот показатель снизился по сравнению с 2007 годом на 4 дня,
вследствие чего уменьшилась выработка электроэнергии на 1,4 тыс.кВт/ч и
наблюдались простои оборудования.
Общая сумма неиспользованных резервов увеличения
объема электроэнергии, получаемой от собственных паровых турбин, составила 67,4
тыс.кВт/ч . Это свидетельствует о том, что имеющиеся котлы для производства
пара используются недостаточно полно.
2.3.2 Факторный анализ для
стохастических факторных зависимостей с помощью метода регрессионного
моделирования
Для оценки факторов, влияющих на фондоотдачу
оборудования электротехнической лаборатории, построим следующую Таблицу 2.11.
Таблица 2.11. Исходные данные для анализа
факторов фондоотдачи оборудования электротехнической лаборатории предприятия.
|
Годы
|
Фондоотдача
|
Коэффициент
сменности
|
Степень
изношенности оборудования
|
Внутрисменные
потери рабочего времени, %
|
|
2006
|
0,77
|
0,85
|
0,69
|
15
|
|
2007
|
0,77
|
0,84
|
0,66
|
14
|
|
2008
|
0,84
|
0,87
|
0,74
|
16
|
Непосредственную оценку факторного влияния на
уровень фондоотдачи оборудования электротехнического оборудования предприятия
осуществим с помощью функции Регрессия программы Microsoft
Excel. Полученная
регрессионная статистика отражена в Таблице 2.12.
Таблица 2.12. Результаты регрессионного анализа
факторов фондоотдачи электротехнического оборудования предприятия.
|
Показатели
регрессионной статистики
|
Параметры
влияния фактора 3
|
Параметры
влияния фактора 2
|
Параметры
влияния фактора 1
|
|
Эластичность
влияния
|
-
0,023454681
|
-0,
256345678
|
1,
319058755
|
0,
00587960
|
0,
21097576
|
0,
24356821
|
|
Коэффициент
детерминации
|
0,
976589654
|
0,
035876945
|
#Н/Д
|
|
Фактическое
значение F-статистики
|
15,
98673556
|
5,
879456
|
#Н/Д
|
|
Регрессионная
сумма квадратов
|
0,094445734
|
0,008934563
|
#Н/Д
|
Из Таблицы 2.12. видно, что на динамику
фондоотдачи электротехнического оборудования предприятия наиболее сильное
влияние оказывают факторы, связанные с режимом работы соответствующих
подразделений, в частности, коэффициент сменности и уровень внутрисменных
потерь рабочего времени. Изношенность же оборудования существенного влияния на
уровень его отдачи не оказывает.
Таким образом, обобщая результаты проведенного
факторного анализа, можно выделить наиболее приоритетные направления
совершенствования системы управления качеством продукции предприятия:
1. Повышение уровня технической
оснащенности энергетических служб за счет внедрения нового электротехнического
оборудования.
2. Обновление парка основного
технологического оборудования производственных подразделений.
В заключение данной главы, можно сделать вывод о
том, что проведенный анализ деятельности ОАО «Гомельский химический завод»
свидетельствует о стабильной и эффективной работе предприятия, которое несет
определенные убытки и получает прибыль. Что касается деятельности
энергетического хозяйства, то предприятие за последний отчетный год увеличило
потребление по всем видам энергоресурсов, что, соответственно, привело к
увеличению и затрат на эти энергоресурсы. Данный факт связан, прежде всего, с
увеличением объемов производства продукции предприятия, вследствие чего
возрастало количество топлива, сжатого воздуха и электроэнергии на производственное
потребление. Для экономии энергоресурсов предприятию необходимо внедрять
энергосберегающие мероприятия. Примеры некоторых мероприятий изложены в Главе
3.
Глава 3. Анализ возможностей
оптимизации деятельности энергетических служб предприятия
.1 Разработка проекта
децентрализации компрессорной станции
Компрессорная станция - это
стационарная или подвижная установка, предназначенная для получения сжатых
газов
<#"520655.files/image016.gif">) поступает во все
основные цеха завода.
Снабжение ОАО «Гомельский химический завод»
сжатым воздухом осуществляется от собственной компрессорной станции, которая
расположена на 1 этаже цеха пароводоканализации, в которой установлены:
§ 4 компрессора типа 2ВМ4-24/9С,
производительностью 24 м3/мин, каждый. Компрессоры приводятся в
действие от асинхронных электродвигателей напряжением 0,4 кВ, мощностью 160
кВт.
§ 5 компрессоров типа ЗГП-20/8,
производительностью по 20 м3/мин.
Приборов учета выработанного воздуха на
компрессорной станции нет, на многое потребляемое оборудование нет данных по
потреблению сжатого воздуха. Поэтому нет обоснованной технологической расчетной
потребности по всей площадке. Сети сжатого воздуха по площадке разветвленные и
длинные, давно в эксплуатации. В таких сетях имеют место большие потери сжатого
воздуха. Об этом говорят следующие факты:
) анализ работы компрессорной в ночных сменах
позволяет предположить наличие значительных утечек в сетях.
) компрессоры в эксплуатации по 25 - 30 лет, уже
выработали свой мотороресурс.
) сушка сжатого воздуха для использования в
производстве осуществляется установками А1000У-02, мощностью Рн = 75 кВт.
Потребление электроэнергии этими установками является нерациональным, т.к.
необходимое для производства качество сжатого воздуха можно получить на
недорогих современных масловлагоотделителях, не потребляя энергию.
Характеристика действующего компрессорного
оборудования представлена в Таблице 3.1.
Таблица 3.1. Характеристика параметров
действующего компрессорного оборудования.
|
Наименование
оборудования
|
Количество.
|
Установлен-ная
мощность, кВт
|
Коэффциент
спроса, Кс
|
Количество
часов в сутки
|
Количество
суток
|
Годовой
расход, тыс, кВт.ч
|
|
1
|
2
|
3
|
4
|
5
|
6
|
7
|
|
Компрессор
|
1
|
120
|
0,7
|
16
|
253
|
106,
6
|
|
Отопительный
период:
|
-
|
-
|
-
|
-
|
-
|
-
|
|
Насос
(насосная)
|
1
|
22
|
0,7
|
24
|
202
|
45
|
|
Насос
(компрессорная)
|
1
|
22
|
0,7
|
24
|
202
|
55
|
|
Летний
и переход. периоды:
|
-
|
-
|
-
|
-
|
-
|
-
|
|
Насос
(насосная)
|
1
|
22
|
0,7
|
24
|
116
|
13
|
|
Насос
(компрессорная)
|
1
|
22
|
0,7
|
24
|
116
|
13
|
|
Вентилятор
(градирня)
|
1
|
8
|
0,7
|
8
|
60
|
6
|
|
ИТОГО:
|
-
|
216
|
4,2
|
-
|
-
|
238,
6
|
Предлагается разделение компрессорной станции с
целью снижения потерь сжатого воздуха в сетях и оборудовании и снижения
потребления электроэнергии.
Для этого предполагается установить
компрессорное оборудование раздельно на Головном производстве (цех серной
кислоты СКЦ-2) и в цехе двойного суперфосфата (ЦДС).
На заводе имеется система оборотного
водоснабжения. Оборотная вода используется только в компрессорной станции. При
децентрализации компрессорной станции отпадает надобность в системе оборотного
водоснабжения.
Предлагается установка двух новых компрессоров в
помещении химического склада, для обеспечения сжатым воздухом потребителей цеха
ЦДС. Судя по потреблению сжатого воздуха цехом ЦДС, производительности этих
компрессоров будет достаточно для обеспечения потребителей при условии, что в
работе будут оба компрессора. Необходим третий компрессор для резерва.
При работе в среднем 3-х компрессоров ежедневно
в две смены, среднее время работы одного компрессора составит:
Тк = 11 366 : 3 : 253 = 14,2 ч./сут.,
где: 11 366 - суммарное время работы
компрессоров, ч.
Определим производительность компрессорного
оборудования для цеха ЦДС.
Потребность в сжатом воздухе цеха ЦДС в 2008
году составила 207037199 м3.
Определим производительность компрессорного
оборудования:
,
где: 0,25 (25%) - уменьшение расхода сжатого
воздуха при децентрализации компрессорной станции.
Следовательно, производительность новых
закупаемых компрессоров должна быть больше 52, 2 м3/мин.
На рынке республики представлен ряд фирм,
предлагающих компрессорное оборудование. Можно порекомендовать компрессорное
оборудование изготовителей с мировым именем, как наиболее надежную технику:
§ винтовые компрессоры серии GA VSD, фирмы Atlas
Сорсо;
§ винтовые компрессоры Monsun, немецкой фирмы
BLITZ.
Произведем сравнительный анализ воздушных,
винтовых компрессоров одинаковой производительности 55-56 м3/мин: фирмы Atlas
Сорсо модель GA 30 и BLITZ модель Monsun 37.
Расчетные данные сравнительного анализа
приведены в Таблице 3.2.
Таблица 3.2. Характеристика оборудования.
|
Произво-дитель
|
Модель
|
Макс.
Давление, бар
|
Произво-дительность
м3/мин
|
Мощность
двигателя, кВт
|
Время
работы
|
Ки
|
Расход
Эл. энергии тыс. кВт.ч
|
|
|
|
|
|
часы
|
сутки/год
|
|
|
|
Atlas
Copco
|
GA
30
|
5.5
|
55,8
|
10
|
16
|
255
|
0.7
|
85.7
|
|
BLITZ
|
Monsun
37
|
7.5
|
56,
0
|
8
|
16
|
255
|
0.7
|
105.7
|
|
Модель
|
Стоимость
компрессора
|
Разность
в цене компрессоров ,млн. р.
|
Стои-мость
потреблённой эл. энергии, млн. р.
|
Эксплуата-
ционные рвсходы, млн. р./год
|
Итого
расходы, млн. р./год
|
Разность
в расходах , млн. р./год
|
Отношение
,
год
|
|
у..е
|
млн.р.
|
|
|
|
|
|
|
|
GA
30
|
16800
|
49,2
|
4,89
|
13,7
|
0,4
|
14,7
|
0
|
1,4
|
|
Monsun
37
|
15130
|
44,3
|
0
|
16,9
|
0,8
|
17,7
|
3,6
|
|
По результатам сравнительного анализа можно сделать
вывод, что предпочтительнее компрессор фирмы Atlas Сорсо. Хотя первоначальная
стоимость самого оборудования выше, чем у BLITZ, но, учитывая меньшее
потребление электроэнергии и меньшие эксплуатационные расходы, уже через 1,4
года суммарные расходы (в денежном выражении) на выработку сжатого воздуха у
компрессоров фирмы Atlas Сорсо окажутся меньше, чем у компрессоров BLITZ.
Кроме того, по проекту осуществляется замена 9
компрессоров меньшей производительности на 3 компрессора с большей
производительностью. 9 действующих компрессоров обслуживают 3 работника,
следовательно при внедрении 3 новых компрессоров сократится число работников на
2 человека, а соответственно снизятся и затраты на оплату труда.
Рассчитаем сумму капитальных вложений в
мероприятие:
стоимость оборудования определяется согласно
договорным ценам. В нашем случае компрессорное оборудование фирмы Atlas Copco
стоит 49,2 млн. руб.
стоимость проектных работ - до 10% от стоимости
строительно-монтажных работ. В нашем случае это 1 230 000 руб.;
стоимость строительно-монтажных работ - 25-30%
от стоимости оборудования. В нашем случае это 12 300 000 руб.;
стоимость пусконаладочных работ - 3-5% от
стоимости оборудования. В нашем случае это 2 460 000 руб.
Капиталовложения в мероприятие рассчитываются по
формуле:
Кв = Соб + Ссмр + Спр + Спнр , (3.1)
где: Соб - стоимость оборудования,
Ссмр - стоимость строительно-монтажных работ,
Спр - стоимость проектных работ,
Спнр - стоимость пуско-наладочных работ.
Кв = 49 200 000 + 12 300 000 + 1 230 000 + 2 460
000 = 65 190 000 руб.
Таким образом, капиталовложения в мероприятие
составят 65 190 000 руб.
Для осуществления данного мероприятия необходимо
определить источники финансирования, которые отображены в Таблице 3.3.
Таблица 3.3. Источники финансирования проекта,
руб.
|
Наименование
источников
|
Всего
по проекту
|
|
Собственные
средства - всего: Заёмные и привлеченные средства- всего: в том числе, 2.1.
кредит коммерческого банка
|
65 190 000 0 0
|
|
Всего
по источникам финансирования (1+2) Из общего объема финансирования : доля
собственных средств доля заемных и привлеченных средств
|
65 190 000 100 % 0 %
|
Таким образом, данный проект мы будем
финансировать за счет собственных средств - прибыли, которая составляет 12 327
млн. руб.
Ставка дисконтирования (за счёт собственных
средств) 10, 5 %
Далее рассчитаем экономию электроэнергии от
внедрения мероприятия.
Таблица 3.4. Расчёт экономии электроэнергии от
замены компрессоров.
|
Оборудование
|
Эффективный
фонд работы оборудования, ч
|
Мощность
оборудования, кВт.
|
Количество
единиц оборудования, шт.
|
Расход
электроэнергии, кВт/ч.
|
|
Действующее
|
3788
|
7
|
9
|
238644
|
|
Внедряемое
|
3788
|
10
|
3
|
113640
|
Таким образом, экономия электроэнергии при
замене компрессоров составит:
кВт/ч - 113640 кВт/ч = 125004 кВт/ч
Стоимость 1 кВт/ч составляет 330 рублей.
Рассчитаем годовую экономию на электроэнергию в
рублях:
кВт/ч * 330 руб. = 41 626 332 рубля.
Далее рассчитаем снижение затрат на оплату
труда, вызванных сокращением численности работников вследствие замены 9 единиц
оборудования на 3 единицы.
Средняя заработная плата одного рабочего на ОАО
«Гомельский химический завод» составляет 650 000 рублей.
Так как реализация проекта предполагает
сокращение работников на 2 человека, то следовательно снижаются и затраты на
оплату труда: 650 000 * 2 = 1 300 000 рублей в месяц и 15 600 000 рублей в год.
Таким образом, общая экономия при реализации
инвестиционного проекта за год составит:
626 332 руб. + 15 600 000 руб. = 57 226 332 руб.
Для определения эффективности данного
мероприятия рассчитаем чистый дисконтированный доход, который позволит
определить целесообразность данного мероприятия.
Для определения чистого дисконтированного дохода
используется формула:
ЧДД = - К + ∑ Pt
* dt,
(3.2.)
где: К- величина осуществляемых
капиталовложений,
Pt - ежегодная
величина дохода, получаемая в результате реализации инвестиционного проекта,
dt- дисконтный
множитель (коэффициент дисконтирования).
Таблица 3.5. Определение величины чистого
дисконтированного дохода.
|
Год
(t)
|
Вложе-ния,
руб.
|
Чистый
доход
|
Поток
налич-ности
|
Норма
дисконтирования, i
|
Коэфф-нт
дисконтирования
|
Дисконтирова-нная
стоимо-сть
|
Накопленная
дисконтир.стоимость
|
Чистый
дисконтированный доход
|
|
А
|
1
|
2
|
3
|
4
|
K=1/(1+i)*t
|
6
|
7
|
8
|
|
0 1 2 3
|
65190000 - - -
|
- 57226332 57226332 57226332
|
65190000 57226332 57226332 57226332
|
0,105 0,105
0,105 0,105
|
1
0,90
0,82 0,75
|
-
51503698,8 46925592,24
42919749
|
-
51503698,8 98429291,04 141349040,04
|
-65190000
-13686301,2 33239291,04 76159040,04
|
Как видно из таблицы, чистая дисконтированная
стоимость инвестиций равна 76 159 040 рублей.
Если чистая текущая стоимость проекта (NPV)
положительная, то это означает, что реализация такого проекта может считаться
приемлемой. Очевидно, что в нашем случае NPV>0.
На основе данной таблицы можно рассчитать
следующие показатели проекта:
1) динамический срок окупаемости :
Тд.ок. = t
- ЧДДt
/ ЧДДt+1
- ЧДД t
(3.3.)
t
< Тд.ок. < t
+ 1
В интервале t,
t + 1 ЧДД меняет
свой знак, т.е. t - последний
год горизонта расчета, в котором ЧДД t
< 0 , ЧДД t+1 > 0.
Таким образом, динамический срок окупаемости
равен:
Тд.ок.= 1- (-13686301,2 /
(33239291,04 - (-13686301,2))) = 1, 3 года
2) рассчитаем индекс доходности:
ИД = (76169040,04 + 141349040,04) / 141349040,04
= 1, 5
ИД > 1, что свидетельствует о целесообразности
вложения средств в данный проект.
Исходя из проведенных расчётов, можно сделать
вывод, что введение данного мероприятия целесообразно. Срок окупаемости проекта
составит 1, 3 года. Индекс доходности составит 1, 5.
Таким образом, затраты на установку новых
компрессоров окупятся за полтора года своей службы. Реализация данного проекта
экономически обоснованна, она позволяет сэкономить 57 226 332 рублей. Также
значительно увеличится производственная мощность оборудования, увеличится объем
производства, уменьшатся простои оборудования и почти через 1,3 года данное
мероприятие начнет приносить прибыль.
.2 Разработка проекта применения
энергосберегающих светильников
Одним из характерных и важных направлений
развития средств освещения, является постоянно расширяющийся ассортимент
источников света.
Световые приборы и световой дизайн во все
времена являлись элементами престижа, поэтому продвижение энергосберегающего
освещения возможно только тогда, когда освещение станет более качественным, а
осветительные приборы - более привлекательными. Поэтому, при внедрении
энергоэффективного освещения, необходимо, наряду с экономией энергии, повышать
уровни освещенности, равномерность освещенности, снижать блескость источников
света и удовлетворять прочим качественным показателям освещения. Новые
поколения люминесцентных ламп (ЛЛ) и компактных люминесцентных ламп (КЛЛ)
обеспечивают разработку новых конструкций светильников с высокой
светотехнической эффективностью, низким уровнем энергопотребления и улучшенным
дизайном. [9]
В настоящее время широкое применение получили
энергосберегающие светильники отечественных производителей:
· ГП ММЗ им, С.И.Вавилова, типа ЛСП
10-2 х 36, ЛСП 10-2 х 58, ЛСП 10-2 x 36, ЛСП 10-58;
· ООО «Электрет», типа ЛПП 20-58-101;
· ОАО «Ритм», типа ЛЕЮ 01-2 х 36, ЛЕЮ
01-1 х 36 ЛПО 01-2 х 18,
и др., которые позволяют широко решать вопросы
энергосбережения на промышленных предприятиях. Они предназначены для общего и
локального освещения рабочих зон помещений с различными условиями среды. Качественное
освещение рабочих зон достигается за счет возможности подвесить светильники на
любой высоте, в том числе непосредственно над рабочим местом.
На предприятии ОАО «Гомельский химический завод»
83% работ по освещению производственных и вспомогательных цехов приходится на
лампы накаливания и ртутные лампы дневного света. Такие виды ламп достаточно
нерациональны в использовании на производстве: хотя эти лампы относительно
дешевые, однако они имеют плохую световую отдачу: (10-15 лм/Вт: только около 5%
от используемой энергии преобразуется в свет) и небольшой средний срок службы:
около 1.000 рабочих часов.
Целью настоящего проекта является расчёт
экономии денежных средств при внедрении энергосберегающих люминесцентных
светильников с электронным пускорегулирующим аппаратом в основных цехах завода
вместо существующих устарелых и неэкономичных ламп накаливания.
Люминесцентные лампы предусмотрены в первую
очередь для рабочих зон с длительным временем их работы при включении. Их
светоотдача приблизительно в 8 раз больше, чем у стандартных ламп накаливания и
они служат в 10 раз дольше, чем те же стандартные лампы накаливания.
Рисунок 3.1.Световая отдача современных классов
ламп.
Из Рисунка 3.1. видно, что световая отдача
люминесцентных ламп в разы выше, чем световая отдача ламп накаливания и ртутных
ламп. Следовательно, применение люминесцентных ламп более выгодно как с
технической, так и с экономической точки зрения.
На Рисунке 3.2. показаны преимущества
энергосберегающей люминесцентной лампы в сравнении с лампой накаливания,
применяемой для освещения цехов ОАО «Гомельский химический завод»:
Рисунок 3.2. Сравнительная характеристика
компактной люминесцентной лампы и лампы накаливания.
Для работы люминесцентных ламп требуются
приборы, способные ограничивать ток - так называемые пускорегулирующие
аппараты. Эти пускорегулирующие аппараты в принципе обуславливают энергопотери,
степень которых в зависимости от конструкции аппарата может быть различной.
Стандартный пускорегулирующий аппарат, например, для 18-ваттной люминесцентной
лампы потребляет дополнительную мощность потерь 8 ватт, т.е. общая потребляемая
мощность составляет 26 ватт. Энергосбережение возможно при использовании
электронных пускорегулирующих аппаратов. Они используются для режима работы
люминесцентных ламп с высокой частотой 20 и 40 кГц. Светоотдача лампы
увеличивается на 7-10%, а потребление мощности при приблизительно одинаковой
электроэнергии, расходуемой на освещение, уменьшается с 18 ватт до 16 ватт. При
мощности потерь пускорегулирующего аппарата 2 ватта потребляется в сумме только
18 ватт. Это и составляет приблизительно 30% по сравнению со случаем
использования стандартных пускорегулирующих приборов, что видно из Рисунка 3.3.:
Рисунок 3.3. Сравнение мощности люминесцентных
ламп с пускорегулирующим аппаратом.
Рассчитаем сумму затрат на мероприятие по
формуле:
Зтек = Р * N, (3.4.)
где:
-
средняя цена люминесцентной лампы с учётом монтажа;
N - количество
внедряемых люминесцентных ламп.
Зтек = 15 тыс. руб. * 550 шт = 8, 25
млн. руб.
Также в затраты на мероприятие входит стоимость
электронного пускорегулирующего аппарата, стоимость которого в среднем
составляет 25 000 рублей. Пускорегулирующий аппарат необходим для каждой
люминесцентной лампы, поэтому их количество также должно быть равно количеству
ламп, т.е. 550 шт. Рассчитаем затраты на пускорегулирующие аппараты:
З = 20 000 тыс.руб. * 550 шт. = 11 000 000 руб.
Таким образом, затраты на реализацию проекта по
внедрению энергосберегающих ламп составят:
250 000 руб. + 11 000 000 руб. = 19 250 000 руб.
Для осуществления данного мероприятия необходимо
определить источники финансирования, которые отображены в Таблице 3.3.
Таблица 3.3. Источники финансирования проекта,
руб.
|
Наименование
источников
|
Всего
по проекту
|
|
Собственные
средства - всего: Заёмные и привлеченные средства- всего: в том числе, 2.1.
кредит коммерческого банка
|
19
250
000 0 0
|
|
Всего
по источникам финансирования (1+2) Из общего объема финансирования : доля
собственных средств доля заемных и привлеченных средств
|
19
250
000 100
% 0 %
|
Таким образом, данный проект мы будем
финансировать за счет собственных средств - прибыли, которая составляет 12 327
млн. руб.
Ставка дисконтирования (за счёт собственных
средств) 10, 5 %
Далее рассчитаем экономию электроэнергии от
внедрения мероприятия.
Таблица 3.4. Расчёт экономии электроэнергии от
внедрения энергосберегающих ламп.
|
Лампы
|
Эффективный
фонд работы ламп, ч
|
Мощность
ламп, кВт.
|
Количество
ламп, шт.
|
Расход
электроэнергии, тыс.кВт/ч.
|
|
Действующие
|
1095
|
100
|
550
|
60,22
|
|
Внедряемые
|
1095
|
20
|
550
|
12,04
|
Таким образом, экономия электроэнергии при
замене ламп составит:
,22 тыс. кВт/ч - 12,04 тыс. кВт/ч = 48,18
тыс.кВт/ч
Стоимость 1 кВт/ч составляет 330 рублей.
Рассчитаем годовую экономию на электроэнергию в
рублях:
,18 тыс. кВт/ч * 330 руб. = 15 899 400 рублей.
Таким образом, годовая экономия на электроэнергию
в рублях при внедрении энергосберегающих светильников составит 15 899 400
рублей.
Для определения эффективности данного
мероприятия рассчитаем чистый дисконтированный доход, который позволит
определить целесообразность данного мероприятия.
ЧДД = - К + ∑ Pt
* dt,
(3.2.)
где: К- величина осуществляемых
капиталовложений,
Pt - ежегодная
величина дохода, получаемая в результате реализации инвестиционного проекта,
dt- дисконтный
множитель (коэффициент дисконтирования).
Таблица 3.5. Определение величины чистого
дисконтированного дохода.
|
Год
(t)
|
Вложения,
руб.
|
Чистый
доход
|
Поток
налич-ности
|
Норма
дисконтирования, i
|
Коэфф-нт
дисконтирования
|
Дисконтирова-нная
стоимо-сть
|
Накопленная
дисконтир.стоимость
|
Чистый
дисконтированный доход
|
|
А
|
1
|
2
|
3
|
4
|
K=1/(1+i)*t
|
6
|
7
|
8
|
|
0 1 2 3
|
19250000
- - -
|
-15899400 15899400
15899400
|
19250000
15899400 15899400 15899400
|
0,105 0,105
0,105 0,105
|
1
0,90 0,82 0,75
|
-
14309460 13037508 11924550
|
-
14309460 27346968 39271518
|
-19250000
- 4940540 8096968 20021518
|
Как видно из таблицы, чистая дисконтированная
стоимость инвестиций равна 20 021 518 рублей.
Если чистая текущая стоимость проекта (NPV)
положительная, то это означает, что реализация такого проекта может считаться
приемлемой. Очевидно, что в нашем случае NPV>0.
На основе данной таблицы можно рассчитать
следующие показатели проекта:
3) динамический срок окупаемости :
Тд.ок. = t
- ЧДДt
/ ЧДДt+1
- ЧДД t
(3.3.)
t
< Тд.ок. < t
+ 1
В интервале t,
t + 1 ЧДД меняет
свой знак, т.е. t - последний
год горизонта расчета, в котором ЧДД t
< 0 , ЧДД t+1 > 0.
Таким образом, динамический срок окупаемости
равен:
Тд.ок.= 1- (-4940540 / (8096968 -
(-4940540))) = 1, 4 года
4) рассчитаем индекс доходности:
ИД = (20021518 + 39271518) / 39271518 = 1, 5
ИД > 1, что свидетельствует о
целесообразности вложения средств в данный проект.
Исходя из проведенных расчётов, можно сделать
вывод, что введение данного мероприятия целесообразно. Срок окупаемости проекта
составит 1, 4 года. Индекс доходности составит 1, 5.
Таким образом, затраты на установку новых ламп
окупятся за 1, 7 года своей службы. Реализация данного проекта экономически
обоснованна, она позволяет сэкономить 15 899 400 рублей, и почти через 1, 4
года внедряемое мероприятие начнет приносить прибыль.
В данной главе с целью экономии энергоресурсов
было предложено 2 мероприятия:
А) разработка проекта децентрализации
компрессорной станции.
В данном проекте предлагается:
Установить компрессорное оборудование раздельно
в цехе СКЦ-2 и цехе ЦДС, закупив 3 новых компрессорных оборудования. Судя
потреблению сжатого воздуха цехов ЦДС и СКЦ-2, производительности этих
компрессоров будет достаточно для обеспечения потребителей при условии, что в
работе будут оба компрессора. Необходим третий компрессор, для резерва.
Годовая экономия в денежном выражении от
внедрения данного мероприятия составит 57 226 332 рублей. Срок окупаемости
составит 1, 3 лет.
Б) разработка проекта применения
энергосберегающих светильников.
Целью этого проекта является расчёт экономии
денежных средств при внедрении энергосберегающих светильников в
производственных цехах завода вместо существующих устарелых светильников.
Годовая экономия в денежном выражении от
внедрения данного мероприятия составит 15 899 400 руб. Срок окупаемости
составит 1, 4 лет.
Таким образом, общая годовая экономия в денежном
выражении от внедрения двух предложенных мероприятий может составить 73 125 732
рублей.
Заключение
Данная курсовая работа посвящена актуальной на
современном этапе теме - экономии энергоресурсов. В настоящее время, в условиях
развивающейся экономики, проблема энергоресурсов является основной.
Возрастающая стоимость энергоресурсов привела к необходимости повышения
эффективности их использования. Быстрый рост тарифов на электроэнергию, газ,
тепло, воду в последние годы особенно заметен и можно, с большой вероятностью,
предположить, что тенденция сохраняется.
Целью данного дипломного проекта являлась
разработка и технико-экономическое обоснование мероприятий экономии
энергоресурсов. В качестве объекта исследования было выбрано ОАО «Гомельский
химический завод».
Данная цель была достигнута путём разработки
двух предложений: разработки проекта применения децентрализации компрессорной
станции и разработки проекта применения энергосберегающих светильников.
В теоретической части курсового исследования
было рассмотрены понятия энергетического хозяйства предприятия, его основные
задачи, цели, структура. Также был представлен пример составления
энергетических балансов, были представлены основные показатели, характеризующие
деятельность энергетических служб предприятия.
В аналитической части курсового исследования был
проведен анализ производственной структуры предприятия, анализ численности и
структуры персонала, динамики выпускаемой продукции, а также был дан анализ
технико-экономических показателей деятельности предприятия. Подробно
рассмотрена и проанализирована деятельность энергетических служб завода, был
произведен факторный анализ.
С целью экономии энергоресурсов было предложено
два мероприятия:
А) разработка проекта децентрализации
компрессорной станции.
В данном проекте предлагается:
Установить компрессорное оборудование раздельно
в цехе СКЦ-2 и цехе ЦДС, закупив 3 новых компрессорных оборудования. Судя потреблению
сжатого воздуха цехов ЦДС и СКЦ-2, производительности этих компрессоров будет
достаточно для обеспечения потребителей при условии, что в работе будут оба
компрессора. Необходим третий компрессор, для резерва.
Годовая экономия в денежном выражении от
внедрения данного мероприятия составит 57 226 332 рублей. Срок окупаемости
составит 1, 3 лет.
Б) разработка проекта применения
энергосберегающих светильников.
Целью этого проекта является расчёт экономии
денежных средств при внедрении энергосберегающих светильников в
производственных цехах завода вместо существующих устарелых светильников.
Годовая экономия в денежном выражении от
внедрения данного мероприятия составит 15 899 400 руб. Срок окупаемости
составит 1, 4 лет.
Общая годовая экономия в денежном выражении от
внедрения двух предложенных мероприятий может составить 73 125 732 рублей,
следовательно внедрение данных мероприятий является экономически выгодным.
Таким образом, с учётом вышеперечисленного,
задачи, поставленные в данной курсовой работе, решены, цель работы достигнута.
Список литературы
1. Андрюшенко
А.И. Компрессорные установки и их использование. - М.: Высш. школа, 2003.
. Априжевский
А.А. Энергосбережение и энергетический менеджмент: Учебное пособие. Минск:
Высш. Шк., 2005.
3. Карпенко
Е.М., Комков С.Ю. Производственный менеджмент. Учебное пособие. Гомель, 2010.
. Карпенко
Е.М., Драгун Н.П., Деньгуб Е.В. Планирование на предприятии: бизнес
планирование. Учебное пособие. Гомель, 2010.
. Карпенко
Е.М. Организация производства на предприятии. Учебное пособие. Гомель, 2005.
. Савицкая
Г.В. Анализ хозяйственной деятельности предприятия. Минск, 1997.
7. Самойлов
М.В. [и др.]. Основы энергосбережения: Учеб. пособие. 2-е изд. Минск, 2002.
. Таганович
Н.Ю. Совершенствование структуры топливно-энергетического баланса страны в
условиях роста цен на энергоресурсы // Экономика, финансы, управление. 2007 №
1. С.11-16.
. Тарасов
У. П. Эксплуатация и повышение экономичности воздушных компрессорных установок.
- М.: Энергия, 2007.
. Федоров
А.А., Основы электроснабжения промышленных предприятий.- Москва:
Энергоатомиздат, 2004.
. Шенец
Л.К., Переход к новым энергоэффективным технологиям // Наука и инновации. 2006
№ 11. С - 9 -11.
. Шилова
Н.А. Естественное и искусственное освещение. Минск, 2008.