Бинарное дерево

  • Вид работы:
    Контрольная работа
  • Предмет:
    Информационное обеспечение, программирование
  • Язык:
    Русский
    ,
    Формат файла:
    MS Word
    56,89 kb
  • Опубликовано:
    2011-12-14
Вы можете узнать стоимость помощи в написании студенческой работы.
Помощь в написании работы, которую точно примут!

Бинарное дерево

Министерство образования Республики Беларусь

Учреждение образования

Белорусский государственный университет информатики и радиоэлектроники

Факультет непрерывного и дистанционного обучения

Кафедра программного обеспечения информационных технологий






Контрольная работа

Бинарные деревья












Минск - 2011

Введение

Цель работы:

) Изучить нелинейные динамические структуры данных в виде бинарного дерева.

) Научиться решать прикладные задачи с помощью структуры данных бинарное дерево.

Построить дерево двоичного поиска, вывести его на экран компьютера любым способом (графически, вложенными скобками или отступами)

Текст программы размещен в приложении.

бинарный дерево компьютер программа

Построение дерева

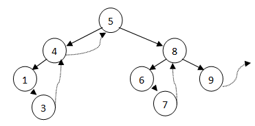
Построение дерева состоит в последовательном вводе простых чисел из массива в следующей последовательности: 5, 4, 8, 6, 1, 7, 3, 9. Дерево строится, начиная с корня. Алгоритм построения:

Если узел пустой, то число помещается в него.

Если же он непустой, то входное число сравнивается с числом узла. В случае, если он больше, то он рекурсивно переносится в правое поддерево; если же меньше - в левое.

Таким образом, мы получим бинарное дерево поиска (рис. 1).

Рисунок 1 - Построенное бинарное дерево

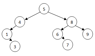
В представлении дерева применялись отступы. Перед представлением необходимо определить высоту дерева. Высота дерева определяется как максимальный путь ее прохождения сверху-вниз. В данном случае высота дерева (переменная h) равна 4.

Представление дерева строится на двух массивах и на цикле, начиная со значения высоты дерева до 1. При данной итерации из одного массива в выходную строку с установленными отступами при помощи функции sc(s), где s - число, определяемое значением итерации (уровнем дерева) в зависимости от местоположения узла (листа) в дереве, выносятся узлы (листья) дерева одного уровня. При этом потомки этих узлов заносятся в другой массив (т.е. в массив помещаются узлы и листья следующего уровня по итерации). Первоначально в один массив заносится корень дерева, а его потомки в другой массив. Если у узла нет потомка, в массив заносится цифра 0 (либо два нуля, если это лист). Если же вместо узла - 0, то здесь проверяется последний ли уровень дерева. В случае отрицательного ответа - в массив помещаются два нуля. Это необходимо, чтобы корректно рассчитать количество отступов на данном уровне дерева, в частности между листьями 3 и 7. В конечном счете, получаем представление дерева, показанное на рис. 2

Рисунок 2 - Представление дерева

Реализовать три обхода дерева: сверху-вниз, слева-направо и снизу- вверх. Вывести обходы на экран компьютера. Рекурсивные алгоритмы прохождения бинарного дерева по каждому из способов обходов включают 3 одинаковых процедуры, где нужно пройти корень поддерева, левое поддерево текущего корня и правое поддерево текущего корня. Направление обхода однозначно определяет последовательность выполнения указанных процедур.Сверху-вниз. Прямой порядок прохождения означает обход в направлении сверху-вниз, когда после посещения очередного разветвления продолжается прохождение вглубь дерева, пока не пройдены все потомки достигнутого узла. По этой причине прямой порядок прохождения часто называют нисходящим, или прохождением в глубину.

Рисунок 3 - Обход сверху-вниз

Слева-направо. При симметричном порядке дерево проходится слева-направо, порождая лексиграфически упорядоченную последовательность ключей узлов. Симметричность порядка выражается в том, что если бинарное дерево отразить относительно вертикальной оси, поменяв местами левые и правые узлы, то симметричный порядок прохождения заменится на противоположный лексиграфический.

Рисунок 4 - Обход слева-направо

Снизу-вверх. Если применяется концевой порядок прохождения, то получается обход дерева снизу-вверх, когда в момент посещения любого узла все его потомки уже пройдены, а корень дерева проходится последним. Из-за этой особенности обхода, концевой порядок часто называют восходящим или обратным относительно прямого.

Рисунок 5 - Обход снизу-вверх

Выполнить симметричноправую прошивку дерева.

Под прошивкой дерева понимается замена по определенному правилу пустых указателей на сыновей указателями на последующие узлы, соответствующие обходу. Симметричноправая прошивка подразумевает обход слева-направо.

Рисунок 6 - Симметричноправая прошивка дерева

Процедура прошивки, в которой осуществляется обход, проводит поиск листьев и узлов, для которых требуется прошивка (в частности это листья 3, 7, 9 и узел 4). Когда этот лист или узел обнаруживается, инициализируется дополнительная процедура, которая таким же обходом находит узел, к которому прошивается лист или узел, найденный первичной процедурой (3, 7, 9 и 4). Такими узлами являются 4, 5 и 8.

Выводы:

в ходе выполнения работы были изучены нелинейные динамические структуры данных в виде бинарного дерева;

была решена задача, связанная со структурой данных - бинарное дерево (создание, представление, обходы и прошивка дерева).

Приложение

bin_tree;n = 8;pnode = ^node;

  node = record

  v : integer;

  right, left : pnode;

  lf, rf : boolean;

  end;root : pnode;

 st : boolean; {флажок для определения прошито ли дерево}

 v : integer;

 right, left : pnode;

 j, h, i, answ, answ2 : integer;m : array[1..n] of integer = (5,4,8,6,1,7,3,9);

{------------ create of tree -------------}Insert(var root: pnode; X: integer);

    {Дополнительная процедура, создающая и инициирующая новый узел}

    procedure CreateNode(var p : pnode; n : integer);

    begin

     new(p);

     p^.v := n;

     p^.left := nil;

     p^.right := nil;

    end;

if root = nil then

 CreateNode(root, X) {создаем новый узел дерева}

else

  with root^ do

    begin

     if v < X then

      Insert(right, X)

       if v > X then

        Insert(left, X)

       else

     {Действия, производимые в случае повторного внесения

     элементов в дерево}

          begin

          writeln('Такой элемент уже есть');

          exit;

          end;

    end;

;

{--------- View of tree --------------------}ViewTree(root : pnode);mas1, mas2 : array[1..8] of integer;

 q, m1, m2 : integer;

 Sch, Chl, Chr : pnode;

 {функция для определения количества отступов}

 function sc(s : integer) : integer;

 var c, c1, w : integer;

 begin

  c := 0;

  sc := 0;

  s := s-1;

  if s = 0 then

   exit;

  for w := 1 to s do

    begin

    c1 := 1+2*c;

    c := c1;

    end;

  sc := c1;

 end;

 {поиск узла или листа дерева по значению v}

 procedure Search(root : pnode; s : integer);

 begin

  if root^.v = s then

    begin

    Sch := root;

    exit;

    end;

  if root = nil then

   exit

  else

   begin

    Search(root^.right, s);

    Search(root^.left, s);

   end;

 end;

 {занесение потомков узлов дерева одного уровня во 2-ой массив}

 procedure ToMas2;

 begin

  if Sch^.left <> nil then

     begin

     Chl := Sch^.left;

     m2 := m2+1;

     mas2[m2] := Chl^.v;

     end

  else

    begin

    m2 := m2+1;

    mas2[m2] := 0;

    end;

  if Sch^.right <> nil then

     begin

     Chr := Sch^.right;

     m2 := m2+1;

     mas2[m2] := Chr^.v;

     end

  else

     begin

     m2 := m2+1;

     mas2[m2] := 0;

 end;

 {занесение потомков узлов дерева следующего уровня в первый массив}

 procedure ToMas1;

 begin

  if Sch^.left <> nil then

     begin

     Chl := Sch^.left;

     m1 := m1+1;

     mas1[m1] := Chl^.v;

     end

  else

    begin

    m1 := m1+1;

    mas1[m1] := 0;

    end;

  if Sch^.right <> nil then

     begin

     Chr := Sch^.right;

     m1 := m1+1;

     mas1[m1] := Chr^.v;

     end

  else

     begin

     m1 := m1+1;

     mas1[m1] := 0;

     end;

 end;

 {если уровень дерева не является последним - заносим 2 нуля в первый массив}

 procedure NilToMas1;

 begin

  if i > 1 then

    begin

    m1 := m1+1;

    mas1[m1] := 0; {первый ноль}

    m1 := m1+1;

    mas1[m1] := 0; {второй ноль}

    end;

 end;

 {если уровень не последний - заносим нули во второй массив}

 procedure NilToMas2;

 begin

  if i > 1 then

    begin

    m2 := m2+1;

    mas2[m2] := 0;

    m2 := m2+1;

    mas2[m2] := 0;

    end;

 end;

mas1[1] := root^.v;

m1 := 1;

m2 := 0;

for i := h downto 1 do

   begin

   writeln;

   {отображаем первый элемент уровня}

   if mas1[1] = 0 then

     begin

     NilToMas2;

     write('':(sc(i)+1));

     end

   else

     begin

      write('':sc(i), mas1[1]);

      Search(root, mas1[1]);

      ToMas2;

     end;

   {отображаем остальные элементы, если уровень дерева не содержит корень}

   if m1 > 1 then

     begin

        if mas1[q] = 0 then

         begin

          NilToMas2;

          write('':(sc(i+1)+1));

         end

        else

         begin

          write('':sc(i+1), mas1[q]);

          Search(root, mas1[q]);

          ToMas2;

         end;

     end;

   m1 := 0;

   {на следующий уровень}

   if i = 1 then

     break

   else

     i := i-1;

   writeln;

   if mas2[1] = 0 then

     begin

     NilToMas1;

     write('':(sc(i)+1));

     end

   else

     begin

      write('':sc(i), mas2[1]);

      Search(root, mas2[1]);

      ToMas1;

     end;

     for q := 2 to m2 do

       begin

        if mas2[q] = 0 then

         begin

          NilToMas1;

          write('':(sc(i+1)+1));

         end

        else

         begin

          write('':sc(i+1), mas2[q]);

          Search(root, mas2[q]);

          ToMas1;

         end;

       end;

   m2 := 0;

   {на следующий уровень}

   end;;

{------------- Прямой порядок прохождения -------------}PrintDown(level : integer; root : pnode);

{в этом обходе заодно рассчитаем высоту дерева h для его представления}

if root = nil then

 exit;

with root^ do

  begin

   {для прошивки дерева устанавливаем флажки}

   if right = nil then

    rf := false;

   lf := false;

   {определяем высоту дерева}

   if (left = nil) and (right = nil) then

    begin

     j := j+1;

     if h < j then

     {высотой дерева является его максимальный путь прохождения}

      h := j;

     j := 0;

    end;

   writeln('':2*level, v);

   j := j+1;

   PrintDown(level+1, left);

   PrintDown(level+1, right)

{--------------- Симметричный порядок прохождения -------}PrintLex(level : integer; root : pnode);

if root = nil then

 exit;

with root^ do

  begin

   PrintLex(level+1, left);

   writeln('':2*level, v);

   PrintLex(level+1, right);

  end;

{----------- Концевой порядок прохождения ----------}PrintUp(level : integer; root : pnode);

if root = nil then

 exit;

with root^ do

  begin

   PrintUp(level+1, left);

   PrintUp(level+1, right);

   writeln('':2*level, v);

  end;

{------------ прошивка ------------------------------}Threading(x : pnode);p : pnode;

 stop : boolean;

    {устанавливаем указатель}

    procedure rightPointer(y : pnode; i : integer);

    begin

     if stop = true then

      exit;

     j := j+1; {подсчитываем число рекурсий}

     if y = nil then

      exit;

     with y^ do

       begin

        rightPointer(left, i);

        if (j > i) and (rf = true) then

         begin

          j := 0;

          writeln('Прошиваем ', x^.v, ' элемент с ', v);

          x^.right := y;

          {сворачиваем рекурсию}

          stop := true;

          {помечаем, что узел или лист прошит}

          x^.lf := true;

          exit;

         end;

        if lf = true then

         exit;

        rightPointer(right, i);

       end

    end;

i := i+1; {подсчитываем число рекурсий}

if x = nil then

 exit;

with x^ do

  begin

   rf := true;   {помечаем, что узел или лист посещался}

   Threading(left);

   if (rf = true) and (right = nil) then

   {если узел не прошит}

    begin

     stop := false;

     {прошиваем его}

     rightPointer(root, i);

    end;

   if (left = nil) and (right = nil) then

   {прошиваем лист}

    begin

     stop := false;

     rightPointer(root, i);

    end;

   writeln(' ',v);

   if lf = true then {если узел или лист прошит}

    exit;     {выходим}

  end;;

{------------- формирование дерева ---------------}Cycle;i := 1 to n do

  Insert(root, m[i]);;

{----------------------------------------------------}

Cycle;

{определим высоту дерева обходом сверху-вниз}

PrintDown(1, root);

writeln('Выберите действие');

while true do

   begin

   writeln('1 - провести обход, 2 - отобразить дерево, 3 - выполнить прошивку, 4 - выход');

   readln(answ);

   case answ of

      1 :

      begin

      if st = true then

        writeln('Обход невозможен - дерево прошито')

      else

        begin

         writeln('Выберите обход: 1 - сверху-вниз, 2 - слева-направо, 3 - снизу-вверх');

         readln(answ2);

         case answ2 of

           1 :

           begin

            writeln('Обход сверху-вниз:');

            PrintDown(1, root);

           end;

           2 :

           begin

            writeln('Обход слева-направо:');

            PrintLex(1, root);

           end;

           3 :

           begin

            writeln('Обход снизу-вверх:');

            PrintUp(1, root);

           end;

         end;

        end;

      end;

      2 :

      if st = true then

       writeln('Дерево прошито - его представление невозможно')

      else

        begin

        writeln('Представление дерева:');

        {вызоваем процедуру представления дерева}

        ViewTree(root);

        end;

      3 :

      begin

      if st = true then

        writeln('Дерево уже прошито')

      else

        begin

         writeln('Прошивка:');

         i := 0;

         j := 0;

         Threading(root);

         st := true;

        end;

      end;

      4 : exit;

   end;

   writeln;

   end;.

Похожие работы на - Бинарное дерево

 

Не нашли материал для своей работы?
Поможем написать уникальную работу
Без плагиата!
Без нейросетей!