Исследование преобразования и передачи сигналов
Министерство транспорта и
коммуникации Республики Беларусь
Департамент по авиации
Минский государственный
высший авиационный колледж
Кафедра РЭО
Курсовая работа
по дисциплине
«Радиотехнические цепи и сигналы»
На тему:
«Анализ преобразования и
передачи сигналов»
Выполнил:
Курсант 3-го курса гр. Р-109
Скорбо Вадим Николаевич
Проверил:
Крескиян Сергей Викторович
Минск - 2010г.
Содержание
Введение
1. Находим
реакции цепи операционным методом
2. Нахождение
реакции цепи методом интеграла Дюамеля
3. Нахождение
реакции цепи методом частотных характеристик
Список
используемых источников
Введение
В результате
выполнения курсовой работы необходимо:
. Глубоко изучить
физические процессы в линейных цепях в переходном и установившемся режимах;
. Приобрести
навыки применения основных методов анализа, преобразования сигналов линейными
цепями;
. При инженерных
расчетах применять дискретное преобразование Фурье и алгоритма быстрого
преобразования Фурье.
Задача анализа
формулируется следующим образом: известны схема исследуемой цепи и входной
сигнал u1(t), требуется определить выходной сигнал u2(t)
и проанализировать зависимость его формы от параметров цепи.
Задачу анализа
необходимо решить несколькими методами: операционным методом, методом интеграла
Дюамеля и частотным методом.
Дано:
R = 360 Ом; C = 0,042 мкФ;
= 10 В;
= 4 В;
16 мкс;
Изменяемый
параметр R.
1. Входной сигнал

2. Схема линейной цепи.

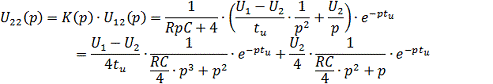
1. Находим реакции цепи операционным методом
. Входной сигнал представим в виде суммы двух простейших:
. Найдем изображения входного сигнала по таблице
преобразований Лапласа и используем теорему запаздывания:
(1)
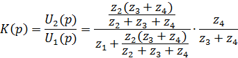
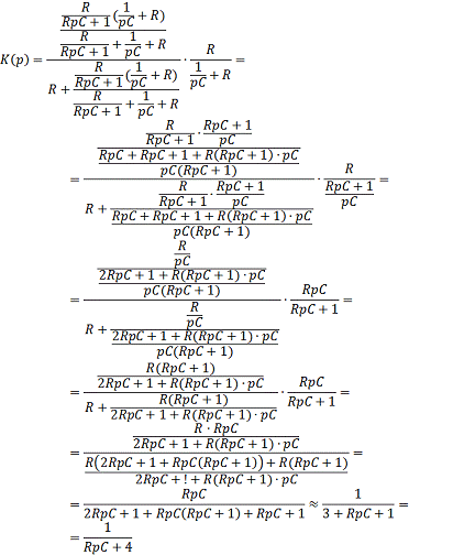
. Передаточную функцию цепи можно найти через операционные
сопротивления ветвей с помощью законов Ома и Кирхгофа в операционной форме:
где 
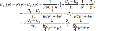
. Найдем изображение выходных сигналов, умножив их на передаточную
функцию цепи:
.Выходной сигнал
можно найти по таблице преобразований Лапласа как сумму частных
реакций:
. Построение временных характеристик выходного сигнала, проведем с
шагом
для трех значений изменяемого параметра
С.
|
t
|
U (C=0,042)
|
U (C=0,084)
|
U (C=0,021)
|
|
0
|
0
|
0
|
0
|
|
0,5
|
-0,126868
|
-0,0655144
|
-0,2381369
|
|
1
|
-0,2438248
|
-0,1298359
|
-0,4318152
|
|
1,5
|
-0,3520985
|
-0,1930409
|
-0,5913692
|
|
2
|
-0,4527649
|
-0,2552008
|
-0,724731
|
|
2,5
|
-0,5467666
|
-0,3163824
|
-0,8379892
|
|
3
|
-0,6349292
|
-0,3766485
|
-0,9358166
|
|
3,5
|
-0,7179763
|
-0,4360576
|
-1,0218002
|
|
4
|
-0,7965417
|
-0,4946645
|
-1,098693
|
|
4,5
|
-0,8711807
|
-0,5525206
|
-1,1686082
|
|
5
|
-0,9423796
|
-0,609674
|
-1,2331678
|
|
5,5
|
-1,0105649
|
-0,6661695
|
-1,2936166
|
|
6
|
-1,0761098
|
-0,7220494
|
-1,3509101
|
|
6,5
|
-1,1393415
|
-0,777353
|
-1,4057819
|
|
7
|
-1,2005466
|
-0,8321171
|
-1,4587949
|
|
7,5
|
-1,2599762
|
-0,8863764
|
-1,5103811
|
|
8
|
-1,3178503
|
-0,9401631
|
-1,5608721
|
|
8,5
|
-1,3743616
|
-0,9935074
|
-1,6105227
|
|
9
|
-1,4296789
|
-1,0464377
|
-1,659528
|
|
9,5
|
-1,4839503
|
-1,0989805
|
-1,7080382
|
|
10
|
-1,5373052
|
-1,1511606
|
-1,7561682
|
|
10,5
|
-1,5898573
|
-1,2030012
|
-1,8040066
|
|
11
|
-1,641706
|
-1,2545239
|
-1,851621
|
|
11,5
|
-1,6929384
|
-1,3057493
|
-1,8990635
|
|
12
|
-1,743631
|
-1,3566962
|
-1,9463741
|
|
12,5
|
-1,7938505
|
-1,4073825
|
-1,9935835
|
|
13
|
-1,8436557
|
-1,4578249
|
-2,0407151
|
|
13,5
|
-1,8930978
|
-1,508039
|
-2,0877871
|
|
14
|
-1,9422219
|
-1,5580394
|
-2,1348133
|
|
14,5
|
-1,9910673
|
-1,6078398
|
-2,1818043
|
|
15
|
-2,0396685
|
-1,6574529
|
-2,2287684
|
|
15,5
|
-2,0880559
|
-1,7068909
|
-2,2757118
|
|
16
|
-2,1362559
|
-1,7561648
|
-2,3226392
|
|
16,5
|
-1,8715736
|
-1,6437739
|
-1,7827442
|
|
17
|
-1,6396855
|
-1,5385758
|
-1,3683472
|
|
17,5
|
-1,4365283
|
-1,4401102
|
-1,0502764
|
|
18
|
-1,2585424
|
-1,3479462
|
-0,8061408
|
|
18,5
|
-1,1026089
|
-1,2616804
|
-0,6187542
|
|
19
|
-0,9659955
|
-1,1809355
|
-0,4749254
|
|
19,5
|
-0,8463086
|
-1,1053581
|
-0,3645295
|
|
20
|
-0,7414509
|
-1,0346175
|
-0,279795
|
|
20,5
|
-0,6495851
|
-0,9684042
|
-0,214757
|
|
21
|
-0,5691014
|
-0,9064283
|
-0,1648369
|
|
21,5
|
-0,4985897
|
-0,8484188
|
-0,1265208
|
|
22
|
-0,4368144
|
-0,7941218
|
-0,0971112
|
|
22,5
|
-0,3826931
|
-0,7432996
|
-0,0745378
|
|
23
|
-0,3352774
|
-0,69573
|
-0,0572115
|
|
23,5
|
-0,2937365
|
-0,6512048
|
-0,0439128
|
|
24
|
-0,2573425
|
-0,609529
|
-0,0337053
|
|
24,5
|
-0,2254577
|
-0,5705204
|
-0,0258705
|
|
25
|
-0,1975235
|
-0,5340083
|
-0,019857
|
|
25,5
|
-0,1730503
|
-0,4998329
|
-0,0152412
|
|
26
|
-0,1516094
|
-0,4678446
|
-0,0116984
|
|
26,5
|
-0,132825
|
-0,4379036
|
-0,0089791
|
|
27
|
-0,1163679
|
-0,4098787
|
-0,0068919
|
|
27,5
|
-0,1019499
|
-0,3836473
|
-0,0052899
|
|
28
|
-0,0893183
|
-0,3590947
|
-0,0040603
|
|
28,5
|
-0,0782518
|
-0,3361134
|
-0,0031165
|
|
29
|
-0,0685564
|
-0,3146028
|
-0,0023921
|
|
29,5
|
-0,0600622
|
-0,2944689
|
-0,001836
|
|
30
|
-0,0526205
|
-0,2756235
|
-0,0014092
|
Рис.1 - Временные диаграммы выходного сигнала
2. Нахождение реакции цепи методом интеграла
Дюамеля
1. Входной сигнал
, при анализе цепи этим методом, удобно представить суммой простых
сигналов:
преобразование передача сигнал линейная цепь
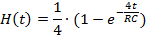
2. Для определения временной характеристики цепи следует
воспользоваться передаточной функцией цепи
:
Используя обратное преобразование Лапласа получим H(t):
. Построение временных характеристик проведем с шагом 
мкс для 3-х значений изменяемого параметра C:
|
t, мкс
|
h(t) (C=0,041)
|
h(t) (C=0,041)
|
h(t) (C=0,041)
|
|
0
|
0
|
0
|
0
|
|
1
|
0,058112233
|
0,03097502
|
0,10271634
|
|
2
|
0,10271634
|
0,058112233
|
0,163230094
|
|
3
|
0,136952269
|
0,081887143
|
0,198880842
|
|
4
|
0,163230094
|
0,10271634
|
0,219883933
|
|
5
|
0,183399666
|
0,120964797
|
0,232257582
|
|
6
|
0,198880842
|
0,136952269
|
0,239547327
|
|
7
|
0,210763436
|
0,243841968
|
|
8
|
0,219883933
|
0,163230094
|
0,24637209
|
|
9
|
0,226884381
|
0,173980892
|
0,247862673
|
|
10
|
0,232257582
|
0,183399666
|
0,248740826
|
|
11
|
0,236381788
|
0,191651453
|
0,249258177
|
|
12
|
0,239547327
|
0,198880842
|
0,249562967
|
|
13
|
0,24197704
|
0,20521451
|
0,249742528
|
|
14
|
0,243841968
|
0,210763436
|
0,249848315
|
|
15
|
0,245273396
|
0,21562485
|
0,249910637
|
|
16
|
0,24637209
|
0,219883933
|
0,249947353
|
|
17
|
0,247215394
|
0,223615317
|
0,249968984
|
|
18
|
0,247862673
|
0,226884381
|
0,249981727
|
|
19
|
0,248359492
|
0,229748408
|
0,249989235
|
|
20
|
0,248740826
|
0,232257582
|
0,249993658
|
Рис.2 - Временные диаграммы переходной характеристики
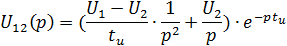
. Выходной сигнал найдем с помощью формулы интеграла Дюамеля:
;
;
;
.
. Расчет и построение временных диаграмм такое же, как в пункте
(6) задания 1.

Рис.3 - Временные диаграммы выходного сигнала
3. Нахождение реакции цепи методом частотных
характеристик
1. Спектральная функция
входного сигнала
может быть найдена при использовании известных свойств и
преобразований Фурье, а также спектральных функций типовых сигналов.
Данный сигнал представим как сумму двух треугольных импульсов и
найдем его спектр:
где
. После этого АЧС цепи представим как модуль функции:
3. ФЧС представим как аргумент:
|
w
|
Su1(w)
|
Фu1(w)
|
|
0
|
387,232
|
0
|
|
0,2
|
359,824
|
0,050626
|
|
0,4
|
126,5359
|
-1,47055
|
|
0,6
|
38,59134
|
0,147934
|
|
0,8
|
1,915315
|
-1,37791
|
|
1
|
16,30202
|
0,234488
|
|
1,2
|
15,34694
|
-1,2985
|
|
1,4
|
7,382753
|
0,306063
|
|
1,6
|
1,081054
|
-1,23511
|
|
1,8
|
6,03694
|
0,36119
|
|
2
|
6,334984
|
-1,18809
|
|
2,2
|
3,219621
|
0,400414
|
|
2,4
|
0,83908
|
-1,15625
|
|
2,6
|
3,533631
|
0,425356
|
|
2,8
|
3,750515
|
-1,13771
|
|
3
|
1,862564
|
0,438003
|
Рис. 4 - Амплитудно-частотный спектр
Рис. 5 - Фазо-частотный спектр
4. Комплексная частотная характеристика цепи находиться с помощью
известной передаточной функции
с заменой 

;
. После этого АЧХ цепи как модуль комплексного коэффициента
передачи:
;
А ФЧХ как аргумент:
;
|
w
|
k(w)
|
Ф(w)
|
|
0
|
0,25
|
0
|
|
0,2
|
0,199424
|
-0,64733
|
|
0,4
|
0,13791
|
-0,98647
|
|
0,6
|
0,10086
|
-1,15552
|
|
0,8
|
0,078492
|
-1,25143
|
|
1
|
0,063938
|
-1,31217
|
|
1,2
|
0,053822
|
-1,35381
|
|
1,4
|
0,04642
|
-1,38403
|
|
1,6
|
0,040782
|
-1,40693
|
|
1,8
|
0,036353
|
-1,42487
|
|
2
|
0,032783
|
-1,43928
|
|
2,2
|
0,029848
|
-1,45112
|
|
2,4
|
0,027391
|
-1,46101
|
|
2,6
|
0,025307
|
-1,4694
|
|
2,8
|
0,023516
|
-1,47659
|
|
3
|
0,021961
|
-1,48284
|
Рис.5 - Амплитудно-частотная характеристика
Рис.6 - Фазо-частотная характеристика
6. Аналитическое выражение для спектральной функции
выходного сигнала
определяется КЧХ и спектральной функцией
входного сигнала:
;
Подставим значения спектральной функции в программу ЭВМ, получим
значения выходного сигнала:
|
w
|
S (С=0,042)
|
Ф (С=0,042)
|
S (С=0,084)
|
Ф (С=0,084)
|
S (С=0,021)
|
Ф (С=0,021)
|
|
0
|
96,808
|
0
|
96,808
|
0
|
96,808
|
0
|
|
0,2
|
71,75754
|
-0,5967
|
49,62333
|
-0,93584
|
84,1452
|
-0,31077
|
|
0,4
|
17,45057
|
-2,45702
|
9,932057
|
-2,72198
|
25,2343
|
-2,11788
|
|
0,6
|
3,892323
|
-1,00759
|
2,077063
|
-1,20588
|
6,381117
|
-0,70018
|
|
0,8
|
0,150337
|
-2,62934
|
0,07811
|
-2,78484
|
0,264141
|
-2,36438
|
|
1
|
1,042319
|
-1,07768
|
0,534429
|
-1,20479
|
1,906
|
-0,84965
|
|
1,2
|
0,826003
|
-2,65231
|
0,420368
|
-2,75951
|
1,547892
|
-2,45402
|
|
1,4
|
0,342707
|
-1,07797
|
0,173613
|
-1,17053
|
0,652495
|
-0,9034
|
|
1,6
|
0,044088
|
-2,64204
|
0,022268
|
-2,72342
|
0,084854
|
-2,48654
|
|
1,8
|
0,219461
|
-1,06368
|
0,110609
|
-1,13625
|
0,425622
|
-0,92371
|
|
2
|
0,20768
|
-2,62737
|
0,104515
|
-2,69284
|
0,405046
|
-2,50026
|
|
2,2
|
0,096099
|
-1,05071
|
0,048307
|
-1,11033
|
0,188213
|
-0,93437
|
|
2,4
|
0,022983
|
-2,61726
|
0,011544
|
-2,67199
|
0,045161
|
-2,51006
|
|
2,6
|
0,089426
|
-1,04404
|
0,044884
|
-1,09461
|
0,176162
|
-0,94468
|
|
2,8
|
0,088197
|
-2,6143
|
0,044245
|
-2,6613
|
0,174099
|
-2,52174
|
|
3
|
0,040904
|
-1,04484
|
0,020511
|
-1,08873
|
0,080876
|
-0,95822
|
|
-0,2
|
71,75754
|
-0,5967
|
49,62333
|
-0,93584
|
84,1452
|
-0,31077
|
|
-0,4
|
17,45057
|
-2,45702
|
9,932057
|
-2,72198
|
25,2343
|
-2,11788
|
|
-0,6
|
3,892323
|
-1,00759
|
2,077063
|
-1,20588
|
6,381117
|
-0,70018
|
|
-0,8
|
0,150337
|
-2,62934
|
0,07811
|
-2,78484
|
0,264141
|
-2,36438
|
|
-1
|
1,042319
|
-1,07768
|
0,534429
|
-1,20479
|
1,906
|
-0,84965
|
0,826003
|
-2,65231
|
0,420368
|
-2,75951
|
1,547892
|
-2,45402
|
|
-1,4
|
0,342707
|
-1,07797
|
0,173613
|
-1,17053
|
0,652495
|
-0,9034
|
|
-1,6
|
0,044088
|
-2,64204
|
0,022268
|
-2,72342
|
0,084854
|
-2,48654
|
|
-1,8
|
0,219461
|
-1,06368
|
0,110609
|
-1,13625
|
0,425622
|
-0,92371
|
|
-2
|
0,20768
|
-2,62737
|
0,104515
|
-2,69284
|
0,405046
|
-2,50026
|
|
-2,2
|
0,096099
|
-1,05071
|
0,048307
|
-1,11033
|
0,188213
|
-0,93437
|
|
-2,4
|
0,022983
|
-2,61726
|
0,011544
|
-2,67199
|
0,045161
|
-2,51006
|
|
-2,6
|
0,089426
|
-1,04404
|
0,044884
|
-1,09461
|
0,176162
|
-0,94468
|
|
-2,8
|
0,088197
|
-2,6143
|
0,044245
|
-2,6613
|
0,174099
|
-2,52174
|
|
-3
|
0,040904
|
-1,04484
|
0,020511
|
-1,08873
|
0,080876
|
-0,95822
|
Рис.7 - Амплитудно-частотная характеристика
Рис.8 - Фазо-частотная характеристика
Рис.9 - Временные диаграммы выходного сигнала
Список используемых источников
1. Методическое
пособие «Анализ преобразования и передачи сигналов в аналоговых и дискретных
цепях»/ Составитель Крескиян С.В. - Мн.: МГВАК, 2009.
2. Гоноровский
И.С. Радиотехнические цепи и сигналы. - М.: Радио и связь, 1986.
3. Баскаков
С.И. Радиотехнические цепи и сигналы. - М.: Высшая школа, 2000.