Исследование системы передачи дискретных сообщений
Оглавление
Рецензия
Задание на курсовую работу
Выбор варианта
Структурная схема система передачи
Исследование тракта кодер - декодер
источника
Исследование тракта кодер - декодер
канала
Исследование тракта модулятор -
демодулятор
Демонстрация работы системы
Выводы по работе
Литература
Задание на курсовую работу
1. Структурная схема системы
передачи
Составить обобщённую структурную схему передачи
дискретных сообщений, включающую в себя источник сообщений, кодер источника,
кодер канала, модулятор, канал связи, демодулятор, декодер канала, декодер
источника и получателя сообщений. Дать краткую характеристику каждого из блоков
схемы: цель и сущность преобразований сигнала в данном блоке.
2. Исследование тракта
кодер-декодер источника
Источник сообщений на передающей стороне
представляет собой дискретный источник без памяти с алфавитом из 16 символов.
Вероятности выдачи каждого символа источником и скорость выдачи символов
известны.
Для заданного источника необходимо:
· Найти энтропию, избыточность и производительность
источника.
· Полагая, что производится
примитивное двоичное кодирование символов источника, найти минимально
необходимое число разрядов кодового слова. Найти среднее количество двоичных
символов, приходящееся на один символ источника.
· Полагая, что производится экономное
кодирование символов источника двоичным кодом, построить кодовое дерево для
кода Хаффмана, записать кодовые комбинации для представления всех 16 символов
источника, найти число разрядов каждой полученной комбинации. Найти среднее
количество двоичных символов, приходящееся на один символ источника, сравнить
полученное значение со случаем примитивного кодирования и с энтропией
источника. Сделать вывод об эффективности и целесообразности использования
экономного кодирования.
· Рассчитать вероятности двоичных
символов и среднюю скорость выдачи двоичных символов на выходе кодера
источника.
· Описать процедуру кодирования и
декодирования символов экономным кодированием. Пояснить, как влияет наличие
ошибок в кодированных символах на качество работы декодера.
. Исследование тракта кодер-декодер
канала
Полагая, что для канального кодирования выбран
код Хемминга (7,4), выполнить следующее:
· Описать процедуру кодирования символов
помехоустойчивым кодом.
· Определить избыточность и скорость
кода, среднее число кодированных бит, приходящееся на один символ источника,
среднюю битовую скорость на выходе кодера.
· Определить обнаруживающую и
исправляющую способность кода.
· Описать процедуру декодирования в
режимах обнаружения и исправления ошибок.
· Полагая, что декодер работает в
режиме исправления ошибок, найти вероятность ошибки на блок (кодовую комбинацию
из 7 бит) и вероятность ошибки на бит на выходе декодера. Сделать вывод об
эффективности исправления ошибок, указать, за счёт чего она достигается.
· Полагая, что декодер работает в
режиме обнаружения ошибок, найти вероятность ошибки на блок и вероятность
ошибки на бит на выходе декодера. Рассчитать среднее число перезапросов на
блок. Сравнить полученный результат с результатом в режиме исправления ошибок,
сделать вывод об эффективности обнаружения, указать, за счёт чего она
достигается.
4. Исследование тракта
модулятор-демодулятор
Необходимо выполнить следующее:
· Для заданного вида модуляции и рассчитанной
средней скорости выдачи двоичных символов на выходе кодера канала определить
скорость модуляции, тактовый интервал передачи одного бита и минимально
необходимую полосу пропускания канала. Записать аналитическое выражение
модулированного сигнала. При этом частоту несущего колебания принять в 100 раз
большей скорости модуляции.
· Записать аналитическое выражение,
связывающее сигналы на входе и выходе заданного канала.
· Выбрать способ приёма сигнала с
учётом информации о фазовом сдвиге сигнала в канале. Записать решающее правило
и алгоритм работы демодулятора по критерию минимума средней вероятности ошибки,
изобразить соответствующую структурную схему.
· По заданным коэффициенту передачи
канала, спектральной плотности мощности шума и максимально допустимой
вероятности ошибки на выходе демодулятора, найти минимально необходимую
мощность сигнала на приёмной и передающей стороне. Рассчитать среднюю мощность
передаваемого сигнала на приёме.
· Определить пропускную способность
непрерывного канала связи, сравнить полученную величину со средней скоростью
выдачи информации на выходе помехоустойчивого кодера, сделать выводы.
· Определить, как изменится
вероятность ошибки на выходе демодулятора при использовании других видов
модуляции при сохранении пиковой мощности сигнала;
Указать, потребуется ли увеличение (уменьшение)
минимально необходимой полосы пропускания канала. Сделать вывод об
эффективности заданного вида модуляции.
5. Демонстрация работы системы
передачи
Продемонстрировать работу всех блоков схемы
системы передачи на примере заданной последовательности символов на выходе
источника. Для этого:
· Выбрать передаваемый текст в соответствии с
номером варианта.
· Используя результаты п. 2,
закодировать выбранный текст экономным кодом.
· Используя результаты п. 3,
закодировать полученную последовательность бит помехоустойчивым кодом,
предварительно разбив её на блоки по k
бит (если в последнем блоке бит «не хватило» - заполнить недостающие разряды
нулями).
· Используя результаты п. 4,
изобразить временные и спектральные диаграммы сигнала на входе и выходе
модулятора, при этом предположить, что передаваемая последовательность
кодированных бит на входе модулятора представлена двухполярным сигналом.
· Полагая, что при демодуляции
произошло 3 ошибки, записать кодовую последовательность на выходе демодулятора
(номера ошибочных разрядов выбираются в соответствии с вариантом).
· Полагая, что декодер работает в
режиме исправления ошибок, декодировать полученную последовательность. Указать,
все ли ошибки были исправлены.
· Восстановить текст сообщения,
используя кодовую таблицу из п. 2. Сравнить полученный результат с исходным.
Выбор варианта (а=8, b=0,
c=9,
d=1).
дискретное сообщение декодер канал
1. Выбор алгоритма кодирования источника.
,
при
выбираем код Хаффмана.
2. Расчёт вероятностей символов на выходе
источника сообщений (таблица 1).
Таблица 1.
|
i
|
Символ
Вероятность
|
|
|
0
|
а
|
|
|
1
|
б
|
|
|
2
|
в
|
|
|
3
|
г
|
|
|
4
|
д
|
|
|
5
|
е
|
|
|
6
|
з
|
|
|
7
|
и
|
|
|
8
|
к
|
|
|
9
|
л
|
|
|
10
|
м
|
|
|
11
|
н
|
|
|
12
|
о
|
|
|
13
|
п
|
|
|
14
|
р
|
|
|
15
|
с
|
|
Сумма вероятностей равна 1.
3. Расчёт скорости выдачи символов
источником.
[Симв/с].
4. Выбор вида модуляции.
,
при
выбираем ФМ.
5. Выбор вида канала.
,
при
выбираем гауссовский канал.
6. Расчёт коэффициента передачи канала.
.
7. Расчёт спектральной плотности мощности
шума.
[
].
8. Расчёт максимально допустимой
вероятности ошибки на выходе демодулятора.
.
9. Выбор текста передаваемого сообщения.
Текст сообщения состоит из 8
символов источника
. Здесь
- символ,
имеющий наибольшую вероятность;
- символ, имеющий следующую величину
вероятности после символа
;
- символ,
имеющий следующую величину вероятности после символа
.
10. Выбор номеров ошибочных разрядов.
Ошибочные разряды: 3,10,11.
1. Структурная
схема системы передачи
Составим обобщенную структурную схему системы
передачи дискретных сообщений, включающую в себя источник сообщений, кодер
источника, кодер канала, модулятор, канал связи, демодулятор,
декодер канала, декодер источника и получателя сообщений.
Дадим краткую характеристику каждого из блоков.
Источник (передатчик) и получатель
(приёмник) служат для обмена некоторой информацией. В одном
случае отправителем и получателем информации служит человек, в другом случае
это может быть компьютер (так называемая телеметрия). При
передаче сообщения, сигнал поступает на кодирующее устройство (кодер),
в котором происходит преобразование последовательности элементов сообщения в
некоторую последовательность кодовых символов. Далее закодированный сигнал
проходит через модулятор, в котором первичный (НЧ) сигнал
преобразуется во вторичный (ВЧ) сигнал, пригодный для передачи по каналу связи на
большие расстояния. Линия связи - это среда, используемая для
передачи модулированного сигнала от передатчика к приёмнику. Такой средой
служат: ( провод, волновод, эфир). После прохождения по линии связи, сигнал
поступает на приемник, в котором происходит обратный процесс. В демодуляторе
происходит преобразование принятого приёмником модулированного первичного (ВЧ)
сигнала во вторичный (НЧ) сигнал. Далее демодулированный сигнал проходит через
декодер, в котором восстанавливается закодированное сообщение.
Рис. 1. Структурная схема системы передачи
дискретных сообщений.
- передаваемое сообщение;
-
компонента первичного цифрового сигнала
, где l - номер
последовательно передаваемого символа, i - номер
позиции кода (
); u(t) - сигнал,
поступающий в линию связи; z(t) - принятое
колебание;
-
компонента восстановленной последовательности кодовых символов;
-
декодированное (восстановленное) сообщение.
Целью передачи сообщения является
доставка сообщения от источника сообщений на передаче до получателя
сообщений на приеме. В источнике сообщений (ИС) образуется исходное
сообщение. Оно поступает в кодер, а именно в кодер источника (КИ).
Кодер служит для преобразования первичного алфавита
, во
вторичный, из элементов
. С кодера
источника (КИ) сообщение поступает на кодер канала (КК). В кодере
канала (КК) сообщение преобразуется в кодовую комбинацию
. Это
делается для лучшего согласования источника с характером канала, упрощения
передачи и обработки сигналов, и в конечном счете для увеличения эффективности
передачи.
Далее каждый элемент кодовой
комбинации
в модуляторе
(Мод) преобразуется в элементарный сигнал
. Модуляция обеспечивает
преобразование спектра низкочастотного первичного сигнала
в область
частоты несущей, которую можно передать по данному каналу. Далее сигнал
поступает в канал связи (КС). Канал связи (КС) - совокупность средств, предназначенных
для передачи сигналов, имеющий вход и выход. Далее с КС сигнал поступает в демодулятор
(Дем). В место приёма демодулятор выдает оценку кодовых символов
.
Далее сигнал поступает на декодер
канала (ДК). Преобразуется в ДК, поступает на декодер источника
(ДИ). В ДИ восстанавливается исходное сообщение. На выходе декодера,
несмотря на ошибки в приёме сигналов, возникающих из-за действующих в КС
шумов, должна формироваться та же последовательность, которая поступала на вход
КК. Достигается это с помощью эффективных кодов, которые исправляют
ошибки, возникающие при передаче сообщения по КС. Декодер выдает оценку
сообщения
. Получатель
сообщения (ПС) восстанавливает сообщение по принятому сигналу и выдает нам
готовое передаваемое сообщение.
Исследование тракта
кодер - декодер источника.
Рис. 2. Схема источника
сообщений.
М
- размер
алфавита
источника;
- i-й символ,
передаваемый источником;
- вероятность выдачи i-го символа
источником.
1. Рассчитаем энтропию, избыточность,
производительность источника (M=16
-
число
символов в алфавите источника).
Энтропия источника
- предел
среднего количества информации, отнесённый к одному символу последовательности:
Избыточность источника:
Производительность источника
(энтропия в
единицу времени):
.
2. Производится примитивное двоичное
кодирование. Найдём
минимально необходимое число разрядов кодового слова и среднее количество
двоичных символов, приходящееся на один символ источника.
Минимально необходимое число разрядов
кодового слова
:
(символа).
Среднее количество двоичных символов
: для случая
примитивного кодирования среднее количество двоичных символов, приходящееся на
один символ источника,
будет равно
, т. е.
=
=4 (поскольку
все символы представляются комбинациями с одинаковым числом разрядов).
3. Производится экономное кодирование
двоичным (т=2) кодом Хаффмана. Построим кодовое дерево, запишем кодовые
комбинации для всех 16 символов источника, найдём число разрядов каждой
полученной комбинации (таблица 1).
Таблица 1.
|
Номер
i
|
Символ
|
Вероятность  Код  
|
|
|
|
|
|
|
0
|
А
|
0,279
|
11
|
2
|
0,558
|
0
|
2
|
|
1
|
В
|
0,232
|
01
|
2
|
0,464
|
1
|
1
|
|
2
|
М
|
0,166
|
101
|
3
|
0,498
|
1
|
2
|
|
3
|
И
|
0,150
|
100
|
3
|
0,45
|
2
|
1
|
|
4
|
Л
|
0,040
|
0011
|
4
|
0,16
|
2
|
2
|
|
5
|
К
|
0,039
|
0001
|
4
|
0,156
|
3
|
1
|
|
6
|
Р
|
0,025
|
00101
|
5
|
0,125
|
3
|
2
|
|
7
|
Д
|
0,018
|
00001
|
5
|
0,09
|
4
|
1
|
|
8
|
П
|
0,0165
|
001001
|
6
|
0,099
|
4
|
2
|
|
9
|
Б
|
0,010
|
000001
|
6
|
0,06
|
5
|
1
|
|
10
|
Г
|
0,009
|
0010001
|
7
|
0,063
|
5
|
2
|
|
11
|
О
|
0,006
|
0010000
|
7
|
0,042
|
6
|
1
|
|
12
|
Е
|
0,005
|
0000001
|
7
|
0,035
|
6
|
1
|
|
13
|
З
|
0,002
|
00000001
|
8
|
0,016
|
7
|
1
|
|
14
|
Н
|
0,0015
|
000000001
|
9
|
0,0135
|
8
|
1
|
|
15
|
С
|
0,001
|
000000000
|
9
|
0,009
|
9
|
0
|
Рисунок 3. Кодовое дерево.
Среднее количество двоичных символов,
приходящееся на один символ источника:

.
Избыточность на выходе кодера:
Где m=2.
Вывод: При
экономном кодирования среднее число двоичных символов, приходящееся на один
символ источника меньше, чем в примитивном кодировании, что говорит об
эффективности использования экономного кодирования. Так же из рассчитанной
избыточности при экономном кодировании мы заметили, что она меньше, чем в
примитивном кодировании. Примитивный равномерный код не может обеспечить
эффективного согласования источника с каналом связи.
4. Вероятности выдачи двоичных символов
на выходе кодера источника:
;
.
На каждый символ источника на входе,
кодер в среднем выдаёт
двоичных
кодовых символов на выходе. Следовательно, средняя скорость выдачи кодовых
символов на выходе кодера источника
будет в
раз больше
скорости выдачи символов источником сообщений (
.
[Симв/с].
5. Кодирование и декодирование.
При кодировании происходит процесс
преобразования элементов сообщения в соответствующие им кодовые символы.
Каждому элементу сообщения присваивается определённая совокупность кодовых
символов, которая называется кодовой комбинацией.
Рис. 3. Схема кодера.
На вход кодера поступает
последовательность информационных символов - информационная комбинация
, длинной к.
При кодировании каждая информационная комбинация заменяется соответствующей
кодовой комбинацией
длиной
.
При кодировании экономным
кодом Хаффмана, каждый символ источника заменяется соответствующей кодовой
комбинацией
длины
(в
соответствии с таблицей 2). Для однозначного декодирования, кодовые комбинации
экономного кода должны удовлетворять условию префиксности, которое состоит в
том, что ни одна кодовая комбинация не должна быть началом любой другой кодовой
комбинации. При декодировании из всей последовательности кодовых
символов выделяются кодовые комбинации экономного кода, каждая из которых на
выходе декодера заменяется соответствующим символом источника (то есть
происходит процедура обратная кодированию). В результате устранения
избыточности из сообщения, при возникновении одиночной ошибки в кодовом символе
приведёт к тому, что оставшаяся (следующая за ошибочным символом) часть
сообщения восстановится декодером неверно.
Исследование тракта
кодер-декодер канала
1. Для канального кодирования выбран
код Хемминга (7,4).
При помехоустойчивом кодировании в сообщение
целенаправленно вносится избыточность для обнаружения или исправления ошибок в
канале с помехами. Кодирование осуществляется следующим образом. К 4-м
информационным разрядам добавляются 3 проверочных, чтобы соблюдалось условие
линейной независимости. Таким образом, получается, что каждый из 7 символов
участвует хотя бы в одной проверке. Далее мы рассчитываем 3 проверочных разряда
по формулам, например:

.
Затем рассчитанные проверочные
разряды дописываются после 4 информационных.
Так делается со всеми
информационными разрядами и записывается готовая кодовая комбинация.
Определим избыточность кода:
Где n-общее число
разрядов кодовой комбинации, k-число информационных, а r-число
проверочных разрядов.
Определим скорость кода:
Найдем среднее число кодированных бит,
приходящееся на один символ источника:
Найдем среднюю битовую скорость на выходе кодера
канала:

бит/с
3. Определим
исправляющую и обнаруживающую способность кода.
Для начала определим исправляющую
способность кода.
Так как 
- нечётное, выбираем следующую
формулу:
Определим обнаруживающую способность
кода:
4. В режиме
исправления ошибки, декодер сначала вычисляет синдром, затем по таблице
синдромов обнаруживает ошибочный бит, затем инвентирует его.
В режиме обнаружения ошибки, декодер вычисляет
синдром, если в синдроме нет единиц, то кодовая комбинация является разрешенной
и декодер пропускает кодовую комбинацию, а если есть хотя бы одна единица, то
комбинация является запрещенной.
5. Найдем
вероятность ошибки на блок, полагая, что декодер работает в режиме исправления
ошибок:
Найдем вероятность ошибки на бит на выходе
декодера:
Вывод:
Из проделанных выше расчётов мы можем сделать вывод что вероятность того что
декодер исправит ошибку в каждом блоке велика, что говорит о том что велика
вероятность того что передаваемое сообщение придет без искажений.
6. Найдем
вероятность ошибки на блок, полагая, что декодер работает в режиме обнаружения
ошибок:
Рассчитаем среднее число перезапросов на блок:
Вывод:
Из проделанных выше расчётов видно, что очень велика вероятность того, что
декодер обнаружит все ошибки в каждом блоке. Следовательно, он их исправит и
сообщение придет без искажений.
1. Определим скорость
модуляции, тактовый интервал передачи одного бита и минимально необходимую
полосу пропускания канала. Запишем аналитическое выражение модулированного сигнала.
Поскольку мы используем двоичную модуляцию,
скорость модуляции будет равна скорости выдачи кодовых символов канальным
кодером. Тактовый интервал определяется как величина, обратная скорости
модуляции. Минимально необходимая полоса пропускания канала определяется в
соответствии с теоремой Найквиста.
Скорость модуляции:
[Двоичных символов/с].
Тактовый интервал передачи одного
двоичного символа:
[с].
Рассчитаем минимально необходимую полосу
пропускания канала:
В нашем случае при АМ, ФМ и ОФМ полоса частот
передаваемого сигнала увеличивается в два раза, следовательно, во столько же
раз увеличивается и минимально необходимая полоса пропускания канала.
В нашем случае при ФМ:
Найдем частоту несущего колебания:

Гц.
Запишем аналитическое выражение ФМ -
сигнала в общем виде:
Это эквивалентно:
Где 
Запишем выражения для сигналов,
соответствующих передаче 0 и 1:
│

│

2. Запишем аналитическое
выражение, связывающее сигналы на входе и выходе.
Учитывая, что у нас гауссовский
канал с неопределенной фазой то выражения примут вид:
, где
-сигнал на выходе,
- сигнал на входе,
-шум.
Найдем амплитуду
:
X находим из
таблицы:
X=3, 12
3 Когерентный
приём сигналов. Алгоритм работы демодулятора.
Все методы приёма, для реализации которых
необходимо точное априорное значение начальных фаз приходящих сигналов,
называют когерентным. То есть, если фаза сигнала известна,
то приём сигнала будет когерентным.
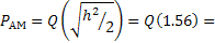
Алгоритм работы демодулятора:
Рисунок 4 - Оптимальный демодулятор
при точно известных сигналах.
Здесь блоки «
» -
перемножители; «
» -
генераторы опорных сигналов
; «
» - интеграторы; «-» - вычитающие
устройства; «РУ» - решающее устройство, определяющее в моменты времени, кратные
Т (при замыкании ключа), номер i - ветви с максимальным сигналом
(i=0,1). При
реализации данного вида алгоритма оптимального приёма дискретных сообщений
предполагается, что к началу обработки сигнала на данном тактовом интервале
схема очищена от переходного процесса.
На рисунке 3 показана структурная
схема приёмного устройства, работающего в соответствии с оптимальным решающим
правилом, минимизирующим среднюю вероятность ошибки символа р, которое
представляет собой правило максимума апостериорной вероятности:
Или
.
Для канала с АБГШ
.
Учитывая, что
и после
экономного кодирования
,
получим следующее правило:
(
).
Для сигналов с равной энергией (
):
.
Для ФМ-2
, поэтому
. Если это
неравенство больше нуля, то регистрируется «1», в противном случае «0».
Рисунок 5 - Структурная схема
демодулятора.
. Найдем минимально необходимую
мощность сигнала на приемной и передающей стороне:
Найдем среднюю мощность сигнала на
приеме:
Для ФМ: 
5. Определим
пропускную способность непрерывного канала связи:

бит/с
Вывод: Рассчитав
пропускную способность мы заметили, что она больше скорости модуляции, что
говорит о правильно проделанных расчетах, и о том, что сообщение будет
проходить через декодер без задержки.
6. Определим
вероятность ошибки на выходе демодулятора при использовании других видов
модуляции при сохранении пиковой мощности сигнала:

5.937

1.355

1.808
Вывод: Из
проделанных выше расчётов мы видим, что у АМ самая большая вероятность
появления ошибки. При ОФМ и ФМ самая маленькая вероятность появления ошибки,
это говорит о том, что самый эффективный вид модуляции - ОФМ и ФМ.
1. Демонстрация работы системы
передачи
2. Выберем
передаваемый текст в соответствии с номером варианта:
Аваамвав
3. Закодируем
данный текст при помощи кода Хаффмана: 11011111101011101.
4. Используя
результаты предыдущего пункта закодируем полученную последовательность бит
помехоустойчивым кодом, предварительно разбив ее на
бит.
При разбиении на блоки получим следующую
последовательность бит:
1101. 1111. 1010. 1110. 1000.
Получили:
11010001111111101001011101011000101
5. Изобразим
временные и спектральные диаграммы сигнала на входе и выходе модулятора.
Ограничимся 10 тактовыми интервалами передачи:
1101000111
Временные диаграммы на входе:
Временные диаграммы на выходе:
Спектральные диаграммы на входе:
Спектральные диаграммы на выходе:
5. Полагая,
что при демодуляции произошло 3 ошибки, запишем кодовую последовательность на
выходе демодулятора (номера ошибочных разрядов выберем в соответствии с
вариантом). В нашем случае это 3, 10, 11 бит:
11010001111111101001011101011000101
подчеркнуты ошибочные разряды.
Запишем кодовую комбинацию с учетом совершенных
ошибок(1 заменяем на 0 и наоборот):
11000001110011101001011101011000101
. Полагая,
что демодулятор работает в режиме исправления ошибок, декодируем полученную
комбинацию:
Таблица 2
|
Синдром
 Ошибочный бит
|
|
|
000
|
---
|
|
001
|
|
|
010
|
|
|
011
|
|
|
100
|
|
|
101
|
|
|
110
|
|
|
111
|
|
По таблице 2 видим, что декодер исправил 3 бит,
то есть ошибку.
По таблице 2 видим, что декодер не исправил
ошибку, а внёс дополнительную ошибку в 2 бит. Из трех ошибок была исправлена
только одна. Окончательно
запишем:
11000001110011101001011101011000101
. Так как мы
добавляли по 3 бита во время кодирования помехоустойчивым кодом - в полученной
комбинации, мы должны их отбросить:
11011100101011101000
Восстанавливаем текст сообщения:
11.01.11.00101.01.11.01.000
а в а р в а в
Вывод:
Полученный текст не соответствует передаваемому тексту, что характеризует
неэффективную работу декодера в режиме исправления ошибок.
Заключение
Процесс наложения низкочастотного сигнала на
высокочастотный называется модуляцией. Рассматривая различные виды модуляции,
можно выделить АМ, ЧМ, ОФМ и ФМ. Наиболее простая и дешевая модуляция - амплитудная,
однако она обладает самой низкой помехозащищенностью. Ее обычно применяют там,
где безошибочный приём не очень нужен. Далее следует частотная модуляция. Этот
вид модуляции обладает более повышенной помехоустойчивостью, но он и сложней в
реализации. И, наконец, вид модуляции - ФМ и ОФМ. Они обеспечивают наибольшую
помехозащищенность, однако, эти виды самые сложные в реализации. Модуляция
также обеспечивает наименьшие габариты антенны, минимальную мощность
передатчика, дает возможность введения многоканальной связи. Если говорить о
кодировании, то это позволяет автоматизировать процесс, повысить
помехоустойчивость, однако это может привести к нежелательным последствиям,
таких, как, например, расширение спектра.
В данной курсовой работе мы провели исследование
системы передачи дискретных сообщений .Для проверки правильности расчёта
требовалось найти пропускную способность канала, которая определяет предельные
возможности скорости передачи информации по каналу. Сравнивая пропускную
способность с производительностью источника сообщений, мы получили излишки
пропускной способности канала связи, которые можно использовать либо путем
ввода дополнительных корреспондентов, что выгодно с экономической точки зрения,
либо использовать дополнительные проверочные коды. Однако это приведёт к
усложнению аппаратуры, а также к денежным затратам, их дискретных сообщений.
Литература
1. Теория
электрической связи/ Зюко А. Г., Кловский Д.Д., Коржик В.И., Назаров М.В.//под
ред. Д.Д. Кловского - М.: Радио и связь, 1998.
2. Кловский
Д.Д. Теория передачи сигналов - М.: Радио и связь, 1973.
. Методическая
разработка к лабораторной работе №8 по дисциплине «Теория электрической связи»,
«Исследование линейных блочных кодов» (для студентов 3 курса специальностей
550400, 201800, 201100, 201000, 200900), каф. ТОРС, Самара, 2004.