Финансовое состояние предприятия и пути его улучшения (на примере ООО 'Ярославский печатный двор')
Дипломная
работа
Финансовое
состояние предприятия и пути его улучшения (на
примере ООО "Ярославский печатный двор")
ОГЛАВЛЕНИЕ
Введение
Глава 1. Теоретические основы анализа финансового состояния
организации
.1 Понятие финансового состояния организации и его основные
показатели
1.2 Задачи и информационная база анализа финансового
состояния предприятия
1.3 Методика анализа финансового состояния предприятия
Глава 2. Анализ финансового состояния ООО "Ярославский
печатный двор"
.1 Организационно-экономическая характеристика ООО
"Ярославский печатный двор"
2.2 Анализ имущественного состояния предприятия
2.3 Анализ финансовой устойчивости ООО "ЯПД"
2.4 Анализ платежеспособности, ликвидности ООО
"Ярославский печатный двор"
Глава 3. Основные направления улучшения финансового состояния
ООО "Ярославский печатный двор"
3.1
Снижение уровня дебиторской и кредиторской задолженности предприятия
3.2 Повышение ликвидности активов предприятия
Заключение
Список источников информации
ВВЕДЕНИЕ
В условиях рыночных отношений центр экономической деятельности
перемещается к основному звену всей экономики - предприятию. Именно здесь
производится нужная обществу продукция, оказываются необходимые услуги.
Значительная часть государственного бюджета формируется за счет финансовых
поступлений от предприятий и организаций.
Вступление в рыночные отношения коренным образом изменило условия
функционирования предприятий. Предприятия, для того чтобы выжить, должны
проявить инициативу, предприимчивость и бережливость с тем, чтобы повысить
эффективность производства и прибыльности. В противном случае они могут
оказаться на грани банкротства.
В рыночных условиях залогом выживаемости и основой стабильного положения
предприятия служит его финансовая устойчивость и получение прибыли. Данная
ситуация отражает такое состояние финансовых ресурсов, при котором предприятие,
свободно маневрируя денежными средствами, способно путем эффективного их
использования обеспечить бесперебойный процесс производства и реализации
продукции, а также по его расширению и обновлению.
Определение границ финансового состояния предприятий относится к числу
наиболее важных экономических проблем в условиях перехода к рынку, поскольку
если предприятие финансово устойчиво, платежеспособно, то оно имеет
преимущества перед другими предприятиями того же профиля в привлечении
инвестиций, в получении кредитов, в выборе поставщиков и подборе
квалифицированных кадров.
Кроме того, такое предприятие не вступает в конфликт с государством и
обществом по перечислению налогов и неналоговых платежей, по выплате заработной
платы, дивидендов, возврату кредитов и процентов по ним.
Финансовая устойчивость является отражением стабильного превышения
доходов над расходами, обеспечивает свободное маневрирование денежными средствами предприятия и путем эффективного их использования
способствует бесперебойному процессу производства и реализации продукции.
Поэтому финансовая устойчивость формируется в процессе всей
производственно-хозяйственной деятельности и является главным компонентом общей
устойчивости предприятия.
Таким образом, данная проблема является в современных условиях весьма
актуальной в нашей экономике.
Объектом изучения финансового является ООО "Ярославский печатный
двор".
Предметом исследования является совокупность финансово-экономических
отношений по поводу формирования финансового состояния предприятия.
Целью данной дипломной работы является анализ и оценка текущего
финансового состояния ООО "Ярославский печатный двор", и разработка
практических рекомендаций по его улучшению. В соответствии с поставленной целью
определены следующие задачи:
·
изучить
теоретические аспекты финансового состояния;
·
сформулировать
задачи и выявить информационную базу анализа финансового состояния предприятия
·
провести оценку
финансового состояния предприятия: анализ имущественного состояния предприятия,
финансовой устойчивости, платежеспособности, ликвидности и деловой активности
·
сформулировать
предложения по улучшению финансового состояния предприятия.
В ходе данного исследования использовались различные методы исследования:
анализа и синтеза, балансовый, экономико-статистический и др., позволившие
справиться с поставленными задачами.
Теоретической базой исследования стали работы известных ученых: М.И.
Баканова, В.В. Ковалева, О.В. Грищенко, И.С. Крылова, Н.П. Любушина, Г.В.
Савицкой, А.Д. Шеремета, Р.С. Сайфулина, а также материалы статистических
данных, учебная литература.
Практическая значимость работы состоит в том, что предложенные
мероприятия могут быть внедрены на предприятии, что будет способствовать
оптимизации системы финансового состояния.
Структура работы включает введение, три главы, заключение, список
источников и приложение.
В первой главе работы исследованы проблематика и теоретические аспекты
финансового состояния предприятия в рыночных условиях: дается понятие
финансового состояния и его основные показатели; определяются задачи и
информационная база анализа финансового состояния; изучается методика анализа
финансового состояния.
Во второй главе работы проведен анализ финансового состояния объекта
исследования. Для этого сначала дается организационно-экономическая
характеристика исследуемого предприятия; далее проводится анализ имущественного
состояния, финансовой устойчивости, платежеспособности, ликвидности и деловой
активности ООО "Ярославский печатный двор".
В третьей главе дипломной работы предложены мероприятия по улучшению
финансового состояния предприятия и оценивается влияние предложенных
мероприятий на финансовую устойчивость, ликвидность, платежеспособность и
деловую активность предприятия.
Выпускная квалификационная работа состоит из 3 глав и 7 приложений,
включающих 18 таблиц, 4 рисунка.
ГЛАВА 1. ТЕОРЕТИЧЕСКИЕ ОСНОВЫ ФИНАНСОВОГО СОСТОЯНИЯ ОРГАНИЗАЦИИ
1.1
Понятие финансового состояния организации и его основные показатели
В рыночных условиях залогом выживаемости и основой стабильного положения
предприятия служит его финансовое состояние. Финансовое состояние представляет
собой совокупность показателей, отражающих наличие и эффективность размещения и
использования финансовых ресурсов [33, с.98]. Оно отражает такое состояние
финансовых ресурсов, при котором предприятие, свободно маневрируя денежными
средствами, способно путем эффективного их использования обеспечить
бесперебойный процесс производства и реализации продукции, а также по его
расширению и обновлению.
Определение границ финансового состояния предприятий относится к числу
наиболее важных экономических проблем в условиях перехода к рынку, поскольку
недостаточная финансовая устойчивость может привести к отсутствию у предприятий
средств для развития производства, их неплатежеспособности и, в конечном счете,
к банкротству, а "избыточная" устойчивость будет препятствовать
развитию, отягощая затраты предприятия излишними запасами и резервами.
Во-первых, финансовое состояние понимается как характеристика размещения
средств предприятия и их динамика в процессе воспроизводства, отражающая также
способность предприятия к дальнейшему развитию.
Финансовое состояние, по мнению Маркарьяна Э.А - это совокупность
показателей, отражающих его способность погасить долговые обязательства.
Финансовая деятельность охватывает процессы формирования, движения и
обеспечения сохранности имущества предприятия, контроля за его использованием.
Финансовое состояние является результатом взаимодействия всех элементов системы
финансовых отношений предприятия.
А.Д. Шеремет и Р.С. Сайфулин отмечают, что "…финансовое состояние
предприятия характеризуется составом и размещением средств, структурой их
источников, скоростью оборота капитала, способностью предприятия погашать свои
обязательства в срок и в полном объеме, а также другими факторами" [38,
с.136].
Г.В. Савицкая трактует финансовое состояние предприятия как экономическую
категорию, отражающую состояние капитала в процессе его кругооборота и способность
субъекта хозяйствования к саморазвитию на фиксированный момент времени [35,
с.251].
В некоторых определениях особо подчеркивается планово-контрольный аспект.
М.И. Баканов, А.Д. Шеремет указывают: "Финансовое состояние предприятий
характеризует размещение и использование средств, меру пополнения собственных
средств за счет прибыли и других источников, если оно предусмотрены планом, а
также скорость оборота производственных фондов и особенно оборотных
средств".
Во-вторых, финансовое состояние рассматривается как составная часть
экономического потенциала предприятия, отражающая финансовые результаты его
деятельности [22, с.215].
В частности В.В. Ковалев полагает, что в основу анализа финансового
состояния "…заложено понятие экономического потенциала коммерческой
организации и его перманентные изменения с течением времени". Под
экономическим потенциалом понимается "…способность предприятия достигать
поставленные перед ним цели, используя имеющиеся у него материальные, трудовые
и финансовые ресурсы" [23, с.180].
Выделяются две стороны экономического потенциала: имущественное положение
и финансовое состояние.
Имущественное положение характеризуется величиной, составом и состоянием
активов, которыми владеет и распоряжается предприятие. Оно изменятся с течением
времени за счет различных факторов, главным из которых являются достигнутые за
истекший период финансовые результаты. Финансовое состояние определяется достигнутыми за отчетный период финансовыми
результатами, приведенными в отчете о прибылях и убытках, и, кроме того,
описывается некоторыми статьями баланса, а также соотношениями между ними.
При этом с позиции краткосрочной перспективы говорят о ликвидности и
платежеспособности предприятия, а в долгосрочном плане о его финансовой
устойчивости.
В-третьих, существует учетно-аналитический подход к определению
финансового состояния как совокупности показателей финансовой отчетности
предприятия.
Л.Т. Гиляровская под оценкой финансового состояния подразумевает часть
финансового анализа, характеризующуюся "…определенной совокупностью
показателей, отраженных в балансе по состоянию на определенную дату (начало и
конец квартала, полугодия, девяти месяцев, года) как остатки по конкретным
счетам или комплексу счетов бухгалтерского учета. Финансовое состояние организации
характеризует в самом общем виде изменения в размещении средств и источниках их
покрытия (собственных или заемных) на конец периода по сравнению с их
началом" [16, с.302].
В-четвертых, финансовое состояние понимают как характеристику
инвестиционной привлекательности предприятия, его конкурентоспособности на
финансовом рынке.
В частности, И.Т. Балабанов определяет финансовое состояние
хозяйствующего субъекта как характеристику его финансовой конкурентоспособности
(т.е. платежеспособности, кредитоспособности), использования финансовых
ресурсов и капитала, выполнения обязательств перед государством и другими
хозяйствующими субъектами [11, с.248].
В то же время, Любушин Н.П. подчеркивает, что финансовое состояние - это
способность организации финансировать свою деятельность. Оно характеризуется
обеспеченностью финансовыми ресурсами, необходимыми для нормального
функционирования, целесообразным их размещением и эффективным использованием,
финансовыми взаимоотношениями с другими юридическими
и физическими лицами, платеже- и кредитоспособностью, финансовой устойчивостью
[27, с.291].
Анализ финансового состояния предприятия позволяет получить показатели,
которые являются основой комплексного анализа. Устойчивое финансовое состояние
и хорошие финансовые результаты могут определять конкурентоспособность
предприятия. Финансовое положение предприятия является результатом управления
всей его финансово-хозяйственной деятельностью и определяет, таким образом, его
комплексную оценку.
Наиболее обобщенные и важные показатели оценки прибыльности - показатели
рентабельности хозяйственной деятельности. Общая рентабельность предприятия -
это отношение балансовой прибыли к активам. Рентабельность собственного
капитала - отношение чистой прибыли к величине собственного капитала. Рентабельность
активов - чистая прибыль предприятия на 1 руб. совокупных активов. С
рентабельностью капитала тесно связана его оборачиваемость, которая служит
одним из важнейших показателей, характеризующих интенсивность использования
средств предприятия и его деловую активность [34, с.563].
Одним из показателей, характеризующих финансовое положение предприятия,
является его платежеспособность, т.е. возможность наличными денежными ресурсами
своевременно погашать свои платежные обязательства [34, с.647].
Платежеспособность - моментная характеристика предприятия, отражающая
наличие свободных расчетных средств в объеме, достаточном для немедленного
погашения требований кредиторов, пролонгировать которые невозможно.
Оценка платежеспособности по балансу осуществляется на основе
характеристики ликвидности оборотных активов, которая определяется временем,
необходимым для превращения их в денежные средства. Чем меньше требуется
времени для инкассации данного актива, тем выше его ликвидность. Ликвидность
баланса - возможность субъекта хозяйствования обратить активы в наличность и погасить свои платежные обязательства, а точнее - это степень
покрытия долговых обязательств предприятия его активами, срок превращения
которых в денежную наличность соответствует сроку погашения платежных
обязательств. Она зависит от степени соответствия величины имеющихся платежных
средств величине краткосрочных долговых обязательств.
Ликвидность предприятия - это более общее понятие, чем ликвидность
баланса. Ликвидность баланса предполагает изыскание платежных средств только за
счет внутренних источников (реализации активов). Но предприятие может привлечь
заемные средства со стороны.
Понятия платежеспособности и ликвидности очень близки, но второе более
емкое. От степени ликвидности баланса и предприятия зависит его
платежеспособность. В то же время ликвидность характеризует как текущее
состояние расчетов, так и перспективу. Предприятие может быть платежеспособным
на отчетную дату, но иметь неблагоприятные возможности в будущем, и наоборот.
Взаимосвязь различных видов ликвидности и платежеспособности предприятия
представлена на схеме рис. 1.
Рисунок 1 - Взаимосвязь различных видов ликвидности и платежеспособности предприятия [34, с.649]
Анализ ликвидности баланса заключается в сравнении средств по активу,
сгруппированных по степени убывающей ликвидности, с краткосрочными
обязательствами по пассиву, которые группируются по степени срочности их
погашения. Взаимоувязка групп активов по степени ликвидности и пассивов по
степени срочности их погашения может быть проиллюстрирована схемой рис. 2.
Рисунок 2 - Взаимосвязь групп активов по степени ликвидности и пассивов
по степени срочности их погашения [26, с.114]
Итак,
платежеспособность предприятия - способность выполнять свои внешние
(краткосрочные и долгосрочные) обязательства, используя свои активы.
Коэффициент платежеспособности (
)
определяется соотношением:
. (1.1.1)
Коэффициент
измеряет финансовый риск, т.е. вероятность банкротства. Высокий коэффициент
платежеспособности отражает минимальный финансовый риск и хорошие
возможности для привлечения дополнительных средств со стороны. Коэффициент
абсолютной ликвидности (
) определяется отношением:
. (1.1.2)
К
наиболее ликвидным активам относят денежные средства и краткосрочные финансовые
вложения. Норматив данного коэффициента: 0,2, что означает, что 20% долга
предприятие может оплатить сразу.
Коэффициент
быстрой ликвидности (
) определяется отношением:
. (1.1.3)
Быстрореализуемые
активы - это сумма наиболее ликвидных активов и краткосрочной дебиторской
задолженности. Норматив данного коэффициента: 0,7-0,8.
Коэффициент
общей ликвидности (
) определяется отношением:
. (1.1.4)
Норматив
данного коэффициента: 2,0. Чем выше коэффициенты ликвидности, тем выше
платежеспособность фирмы. Коэффициент покрытия (
)
определяется отношением:
. (1.1.5)
Коэффициент
показывает, в какой мере краткосрочная задолженность предприятия покрывается
его оборотными активами. Выбор и использование тех или иных показателей
диктуется целями проводимого анализа. Следует отметить, что для определения
реального состояния дел предприятия необходим анализ его баланса и основных
показателей не менее чем за три года. Кроме того, для характеристики финансовой устойчивости
предприятия анализируют следующие коэффициенты:
.
Коэффициент финансовой независимости или доля собственного капитала в валюте
баланса. Норматив данного коэффициента: 0,5. Снижение собственного капитала в
динамике показывает ослабление возможностей предприятия в его развитии.
.
Коэффициент финансовой устойчивости или доля суммы собственного капитала и
долгосрочных обязательств в валюте баланса. Норматив данного коэффициента: 0,6.
.
Коэффициент концентрации привлеченного капитала или доля заемного капитала в
валюте баланса. Норматив данного коэффициента: 0,5. Увеличение размера заемного
капитала усиливает финансовую зависимость предприятия от кредиторов.
.
Коэффициент капитализации или соотношение заемных и собственных средств. Рост
этого коэффициент также означает усиление финансовой зависимости предприятия.
Норматив: 0,1.
.
Коэффициент маневренности собственного капитала или доля собственных оборотных
средств в собственном капитале. Собственные оборотные средства характеризуются
суммой собственного капитала без стоимости необоротных активов. Норматив: 0,6.
.
Коэффициент обеспечения текущих активов собственными источниками, показывающий
какая часть оборотных активов финансируется за счет оборотных средств.
Норматив: 0,1.
Большинство
организаций проходят стадии подъема и спада, а многие из них приближаются к
банкротству или становятся банкротами. По-разному определяются причины неудач и
различны их предвестники (рисунок 3).
Подъемы
и спады в деятельности предприятия следует рассматривать как взаимодействие
факторов, одни из которых являются внешними по отношению к нему - на них
предприятие не может влиять. Другие факторы - внутрение. Как правило, они
зависят от организации работы самого предприятия. Банкротство предприятия
является результатом совместного негативного действия и тех и других факторов, доля
"вклада" которых может быть различной. В развитых странах с
устойчивой политической и экономической системой к банкротству на 1/3 причастны
внешние факторы и на 2/3 - внутренние [40, с.269]. Умение предприятия
приспособиться к изменению технологических, экономических и социальных факторов
служит гарантией не только выживания, но и его процветания.
Рисунок
3 - Факторы, воздействующие на несостоятельность организации [40, с.268]
Итак,
мы рассмотрели определение финансового состояния с различных точек зрения
разных авторов. И из вышесказанного можно сделать вывод о том, что определение
границ финансового состояния предприятий относится к числу наиболее важных
экономических проблем в условиях перехода к рынку, поскольку если предприятие
финансово устойчиво и платежеспособно, то оно имеет преимущества перед другими
предприятиями того же профиля в привлечении инвестиций, в получении кредитов, в выборе
поставщиков и подборе квалифицированных кадров.
1.2
Задачи и информационная база анализа финансового состояния
Финансовое состояние можно определить как результат системы отношений,
возникающих в процессе кругооборота средств субъекта хозяйствования, а также
источников этих средств, характеризующий на определенную дату наличие различных
активов, размеры обязательств, способность субъекта хозяйствования
функционировать и развиваться в изменяющейся внешней среде, текущую и будущую
возможность удовлетворять требования кредиторов, а также его инвестиционную
привлекательность.
Главной целью анализа финансового состояния является оценка и
идентификация внутренних проблем предприятия для подготовки, обоснования и
принятия различных управленческих решений, в том числе в области развития,
выхода из кризиса, перехода к процедурам банкротства, покупки-продажи бизнеса
или пакета акций, привлечения инвестиций (заемных средств) [23, с.199].
В научной экономической литературе выделяют следующие основные группы
задач, необходимость решения которых обусловлена целью оценки финансового
состояния предприятия.
. Идентификация финансового положения.
. Выявление изменений финансового состояния во времени.
. Выявление основных факторов, вызвавших изменения в финансовом
состоянии.
. Своевременное выявление и устранение недостатков в финансовой деятельности
и поиск резервов улучшения финансового состояния предприятия и его
платежеспособности.
. Прогнозирование возможных финансовых результатов, экономической
рентабельности исходя из реальных условий хозяйственной деятельности и наличия
собственных и заемных ресурсов, разработка моделей финансового состояния при
разнообразных вариантах использования ресурсов.
6. Разработка конкретных мероприятий, направленных на более эффективное
использование финансовых ресурсов и укрепление финансового состояния предприятия.
Содержание оценки финансового состояния во многом определяется тем, кто
является пользователем информации, и какова сфера экономических интересов в
оценке различных сторон и аспектов финансовой деятельности предприятия.
Анализом финансового состояния занимаются не только руководители и
соответствующие службы предприятия, но и его учредители, инвесторы - с целью
изучения эффективности использования ресурсов; банки - для оценки условий
кредитования и определения степени риска; поставщики - для своевременного
получения платежей; налоговые инспекции - для выполнения плана поступления
средств в бюджет и т.д. В результате анализ делится на внутренний и внешний
[27, с.277].
Внутренний анализ проводится службами предприятия, его результаты
используются для планирования, контроля и прогнозирования финансового состояния
предприятия. Его цель - обеспечить планомерное поступление денежных средств и
разместить собственные и заемные средства таким образом, чтобы получить
максимальную прибыль и исключить банкротство.
Внешний анализ осуществляется инвесторами, поставщиками материальных и
финансовых ресурсов, контролирующими органами на основе публикуемой отчетности.
Его цель - установить возможность выгодного вложения средств, чтобы обеспечить
максимум прибыли и исключить потери.
Степень соответствия выводов, сделанных в ходе анализа финансового
состояния предприятия, реальности в значительной степени определяется качеством
информационного обеспечения анализа. Обязательным требованием к такому
обеспечению является наличие единой системы данных об имущественном и
финансовом положении организации, а также о результатах ее хозяйственной
деятельности. Такой системой служит бухгалтерская отчетность, составляемая на
основе данных бухгалтерского учета.
Федеральный закон "О бухгалтерском учете" [4] определяет одну
из основных задач бухгалтерского учета как формирование полной и достоверной
информации о деятельности организации и ее имущественном положении, необходимой
внутренним пользователям бухгалтерской отчетности - руководителям, учредителям,
участникам и собственникам имущества организации, а также внешним - инвесторам,
кредиторам и другим пользователям бухгалтерской отчетности.
Таким образом, отчетность является основным средством коммуникации,
обеспечивающим достоверное представление информации о финансовом состоянии
предприятия. Это определяет те требования, которые предъявляются к
бухгалтерскому учету и отчетности организации.
В соответствии с Положением по бухгалтерскому учету "Бухгалтерская
отчетность организации" (ПБУ 4/99) [5], бухгалтерская отчетность должна
давать достоверное и полное представление о финансовом положении организации,
финансовых результатах ее деятельности и изменениях в ее финансовом положении.
Под достоверностью какой-либо информации понимают максимально возможное
соответствие собираемых данных объективной реальности. Общими условиями
обеспечения достоверности являются полнота охвата наблюдаемого объекта, полнота
и точность регистрации данных по каждой единице наблюдения. Согласно ПБУ 4/99
достоверной и полной считается бухгалтерская отчетность, сформированная исходя
из правил, установленных нормативными актами по бухгалтерскому учету.
Требование нейтральности информации, содержащейся в бухгалтерской
отчетности, подчеркивает недопустимость одностороннего удовлетворения интересов
одних групп пользователей бухгалтерской отчетности перед другими. Чтобы данные об отдельном явлении можно было обобщать, они
должны быть сопоставимы друг с другом: собираться в одно и то же время и по
единой методике, выражаться в одних и тех же единицах измерения, иметь
одинаковый шаг наблюдений, охватывать одни и те же элементы, принадлежащие
неизменной совокупности. Кроме того, должна быть обеспечена сопоставимость с
прошлыми исследованиями, чтобы можно было понять, как изменяется явление. Все
эти общие требования к любой информационной системе, вытекающие из
необходимости ее анализа, в полной мере относятся и к бухгалтерской отчетности,
как к информационной базе финансового анализа. Анализ финансового состояния предприятия, основанный на его бухгалтерской
отчетности, может выполняться как управленческим персоналом данного
предприятия, так и любым внешним аналитиком. Внутренний
анализ проводится работниками предприятия. Информационная база такого анализа,
конечно же, не ограничивается только бухгалтерской отчетностью и может включать
также информацию из регистров бухгалтерского учета, разнообразные
статистические, оперативные и текущие производственные данные, то есть любую
информацию, циркулирующую внутри предприятия и полезную для принятия
управленческих решений. Соответственно расширяются и возможности анализа.
Поэтому в аспекте точности и достоверности прогнозов внешний финансовый анализ
значительно уступает внутреннему, который имеет под собой гораздо более широкую
и достоверную информационную базу.
Внешний финансовый анализ проводится аналитиками, являющимися
посторонними лицами для предприятия и имеющими прямой либо косвенный финансовый
интерес. Согласно ПБУ 4/99 пользователем бухгалтерской информации считается
юридическое или физическое лицо, заинтересованное в информации об организации.
Эти лица используют публикуемую информацию и не имеют доступа к внутренней
информационной базе предприятия. Внешний анализ
менее детализирован и более формализован. Он основывается исключительно на
публичной внешней отчетности предприятия. Согласно
Федеральному Закону "О бухгалтерском учете" и Приказу Минфина РФ от
12 ноября 1996г. №97 "О годовой бухгалтерской отчетности организаций"
в состав годовой бухгалтерской отчетности включаются:
) Бухгалтерский баланс - форма № 1;
) Отчет о прибылях и убытках - форма № 2;
) пояснения к бухгалтерскому балансу и отчету о прибылях и убытках:
Отчет о движении капитала - форма № 3;
Отчет о движении денежных средств - форма № 4;
Приложение к бухгалтерскому балансу - форма № 5;
Пояснительная записка.
Бухгалтерская отчетность является открытой для пользователей -
учредителей (участников), инвесторов, кредитных организаций, кредиторов,
покупателей, поставщиков и др. Организация должна обеспечить возможность для пользователей
ознакомиться с бухгалтерской отчетностью. Акционерные общества открытого типа,
банки и другие кредитные организации, страховые организации, биржи,
инвестиционные и иные фонды обязаны публиковать годовую бухгалтерскую
отчетность.
1.3 Методика анализа финансового состояния
Разные авторы предлагают разные методики, отражающие финансовое
состояние. В данное время всю литературу можно разделить на две группы: это
книги зарубежных авторов и книги, написанные на основе российского опыта. Гавриловой А.Н. и Поповым А.А. в книге "Финансы
организаций" [39, с.172] предлагается методика коэффициентного анализа в
оценке финансового состояния. Методика заключается в последовательном расчете и
анализе следующих коэффициентов (формулы
расчета коэффициентов приведены в параграфе 1.1.):
. Коэффициент финансовой независимости.
. Коэффициент финансовой устойчивости.
. Коэффициент концентрации привлеченного капитала.
. Коэффициент капитализации.
. Коэффициент маневренности собственного капитала.
. Коэффициент обеспечения текущих активов собственными источниками.
Оценка финансового состояния предприятия при помощи метода финансовых
коэффициентов позволяет сделать заключение о степени финансового благополучия
предприятия. Метод является ведущим в аналитических процедурах оценки
финансового состояния. Относительные показатели имеют следующие преимущества:
устраняется влияние размера бизнеса предприятия на итоговые показатели,
появляется возможность оценивать не только размер, но и эффективность
функционирования субъекта;
нивелируется влияние инфляционных процессов и курсов валют, поскольку
числитель и знаменатель выражены в одних единицах, становится возможным
проводить сравнения предприятия различных стран;
относительные показатели позволяют оценивать оптимальность структуры
активов, источников финансирования, а также их соотношение на различных
временных горизонтах.
Для показателей ликвидности и финансовой устойчивости существуют
диапазоны значений, рекомендуемые экспертами. Если показатели, полученные при
анализе, существенно отличаются от рекомендованных, то необходимо выяснить
причину этого.
Предлагаемая система показателей построена на основе адаптации зарубежных
подходов к российским условиям и является наиболее распространенной в
отечественной практике. Она охватывает основные группы финансовых коэффициентов, каждая из которых отражает
определенную сторону финансового состояния предприятия.
Важнейшей характеристикой финансового состояния предприятия является
стабильность его деятельности в свете долгосрочной перспективы. Она связана с
общей финансовой структурой предприятия, степенью его зависимости от
кредиторов. Финансовая устойчивость предприятия понимается как характеристика
риска несостоятельности предприятия, его способности, по крайней мере, не
ухудшать свое состояние в процессе деятельности.
В частности, Г.В. Савицкая под финансовой устойчивостью понимает
"…способность субъекта хозяйствования функционировать и развиваться,
сохранять равновесие своих активов и пассивов в изменяющейся внутренней и
внешней среде гарантирующее его постоянную платежеспособность и инвестиционную
привлекательность в границах допустимого уровня риска".
В.В. Ковалев рассматривает финансовую устойчивость в долгосрочном и
краткосрочном аспектах.
В долгосрочном аспекте финансовая устойчивость - "…стабильность
деятельности предприятия с позиции долгосрочной перспективы. Она связана,
прежде всего, с общей финансовой структурой предприятия, степенью его
зависимости от кредиторов и инвесторов" [23, с.233].
В краткосрочном аспекте, в зависимости от соотношений производственных
запасов собственных оборотных средств и нормальных источников формирования
запасов, выделяются следующие типы краткосрочной (текущей) финансовой
устойчивости [23, с.241]:
. Абсолютная краткосрочная финансовая устойчивость: величина собственных
оборотных средств превышает производственные запасы, т.е. предприятие не
зависит от внешних кредиторов. Такая ситуация на может рассматриваться как
идеальная, поскольку означает нежелание или неумение менеджеров использовать
внешние источники средств для финансирования основной деятельности.
. Нормальная краткосрочная финансовая устойчивость: для покрытия запасов
используются различные нормальные источники средств: собственные и
привлеченные.
. Неустойчивое текущее финансовое положение: предприятие для
финансирования части запасов вынуждено привлекать дополнительные источники
покрытия, не являющиеся нормальными, т.е. обоснованными.
. Критическое текущее финансовое положение: в условиях неустойчивого
текущего финансового положения предприятие имеет кредиты и займы, не погашенные
в срок, а также просроченную дебиторскую задолженность. В условиях рыночной
экономики при хроническом повторении ситуации предприятие должно быть объявлено
банкротом.
На сравнении соотношения производственных запасов собственных оборотных
средств и нормальных источников формирования запасов построена другая методика
анализа финансового состояния организации, подробно описанная в учебниках Э.А.
Маркарьяна, Н.Н. Селезневой и А.Ф. Ионовой. Для
характеристики источников средств для формирования запасов последовательно
рассчитывают три показателя, отражающие степень охвата разных видов источников
[28с.105]:
) Собственный оборотный капитал (Ес), определяемый по формуле:
. (1.3.1)
)
Собственный оборотный и долгосрочный заемный капитал (Ет) в виде суммы
собственного оборотного капитала (Ес) и долгосрочных кредитов и займов (Кт).
)
Все основные источники средств для формирования запасов (Ез) в виде суммы собственного
оборотного капитала (Ес), долгосрочных (Кд) и краткосрочных (Кк) кредитов и
займов.
Вычисление
трех показателей обеспеченности запасов источниками их формирования позволяет
классифицировать финансовые ситуации по степени их устойчивости.
Определение
показателей обеспеченности запасов источниками их формирования позволяет
классифицировать финансовые ситуации по степени устойчивости. При определении
типа финансовой ситуации используется трехмерный показатель (S),
принятый в экономической литературе [36, с.318]:
. (1.3.2)
Алгоритм определения показателя следующий:
(1.3.3)
Показатели по типам финансовой ситуации представлены в таблице 1.
Таблица 1. - Сводная таблица по типам финансовой ситуации
Учитывая многообразие показателей финансовой устойчивости, различие в
уровне их критических оценок и возникающие в связи с этим сложности в оценке
кредитоспособности предприятия, многие экономисты рекомендуют производить
интегральную оценку финансовой устойчивости на основе скорингового анализа,
методика которого была впервые предложена американским экономистом Д. Дюраном в
начале 40-х годов.
Сущность этой методики заключается в классификации предприятий по степени
риска, исходя из фактического уровня показателей финансовой устойчивости и
рейтинга каждого показателя, выраженного в баллах на основе экспертных оценок. Критерии отнесения предприятий к классам
по уровню платежеспособности представлены в таблице 18 Приложения 4.
Классификация предприятий по финансовому состоянию проводится по
следующей шкале:
I
класс - предприятия с хорошим запасом финансовой устойчивости, позволяющим быть
уверенным в возврате заемных средств (100 баллов и выше);
II
класс - предприятия с определенной степенью риска по долгам, но которые еще не
рассматриваются как рискованные (от 99 до 65 баллов);
III
класс - проблемные предприятия (от 64 до 35 баллов);
IV
класс - предприятия с высоким риском банкротства даже после принятия мер по
финансовому оздоровлению (от 34 до 6 баллов);
V класс
- предприятия высочайшего риска банкротства, практически несостоятельные (0
баллов).
В зарубежной практике анализ финансового состояния предприятия проводят
главным образом для оценки привлекательности компаний. В широком смысле слова,
финансовый анализ иностранных предприятий включает в себя определение уровня
риска и ожидаемой доходности, как отдельных финансовых активов, так и их групп
[30, с.215].
Результат финансового анализа - принятие решения инвестора об оптимальном
распределении средств инвестора между рынками акций, облигаций и денежных
инструментов отдельных компаний (фирм).
Анализ финансового отчета иностранных компаний можно рассматривать как
результат функционирования модели-фирмы - модели, созданной управляющими
компании, ее бухгалтерами. Во многих странах за рубежом общепринятые принципы
бухгалтерского учета (например, в США установленные Советом по стандартам
финансового учета) допускают некоторую свободу в вопросах учета.
Конечная цель фундаментального финансового анализа состоит в том, чтобы
определить текущую величину финансовых требований в отношении дохода фирмы
(включая требования держателей акций и облигаций). Для этого, прежде всего, необходимо спрогнозировать доход фирмы, а затем
возможное распределение дохода среди ее кредиторов с оценкой соответствующих
вероятностей.
Анализом и прогнозом финансового состояния предприятий за рубежом
занимаются специалисты - финансовые аналитики. Наряду с другими моментами, они
делают прогнозы и оценку объема валового общественного продукта, объема продаж
и уровня доходности в ряде отраслей, а также фирм.
В конечном счете, данные прогнозов превращаются в оценки ожидаемой
доходности определенных акций. Акции предприятий, для которых прогнозируется
доходность, превышающая оценки остальных инвесторов, могут быть включены в
"одобренный" список.
Таким образом, анализ финансовой отчетности может помочь аналитику понять
текущее положение компании, перспективы ее развития, привлекательность для
инвесторов; факторы, влияющие на положение компании, и само это влияние.
Будет проще определить фирмы, которым угрожает банкротство; с большей или
меньшей восприимчивостью к воздействию основных внешних факторов. Понимание
этих аспектов может обеспечить неплохую прибыль потенциальным инвесторам.
Таким образом, финансовое состояние предприятия может быть оценено
различными методами, в том числе с помощью абсолютных и относительных
показателей (коэффициентов). По результатам расчетов коэффициентов
финансово-экономической эффективности делается вывод об эффективности производства
и реализации продукции и о финансовом положении предприятия. На основе анализа
разрабатывается система мер по повышению, стабилизации или закреплению
финансово-экономической эффективности производства и реализации продукции.
ГЛАВА 2. ОЦЕНКА ФИНАНСОВОГО СОСТОЯНИЯ ПРЕДПРИЯТИЯ
.1 Организационно-экономическая характеристика ООО "Ярославский печатный двор"
Общество с ограниченной ответственностью "Ярославский печатный
двор" именуемое в дальнейшем "общество", учреждено на основании
Гражданского Кодекса РФ, Федерального закона "Об обществах с ограниченной
ответственностью", других норм законодательства РФ и руководствуется в
своей деятельности действующим законодательством и Уставом общества.
Полное фирменное наименование общества: Общество с ограниченной
ответственностью "Ярославский печатный двор". Сокращенное фирменное
наименование общества: ООО "ЯПД".
Общество считается созданным как юридическое лицо с момента его
государственной регистрации в порядке, предусмотренном действующим
законодательством о государственной регистрации юридических лиц. Общество
создано без ограничения срока его деятельности.
Место нахождения ООО "Ярославский печатный двор": Россия,
150000, Ярославская область, г. Ярославль, ул. Нахимсона, д. 17.
Общество имеет в собственности обособленное имущество, учитываемое на его
самостоятельном балансе. Общество вправе в установленном порядке открывать
счета на территории Российской Федерации и за ее пределами. Общество имеет
круглую печать со своим полным фирменным наименованием на русском языке и
указанием на место нахождения Общества. На
настоящий момент ООО "Ярославский печатный двор" не имеет филиалов и
представительств.
ООО "ЯПД" создано с целью осуществления предпринимательской
деятельности и получения в результате этой деятельности прибыли. Организация
осуществляет следующие виды деятельности:
1) выпуск различного рода полиграфической продукции;
) оказание услуг населению и организациям по ксерокопированию,
тиражированию печатных материалов;
) разработка дизайна печатной продукции, маркетирование и верстка;
) выпуск периодических полиграфических изданий;
) издательская деятельность;
) закупка и реализация товаров производственно-технического назначения,
товаров народного потребления и продуктов питания;
) оптовая и розничная торговля;
) организация и открытие магазинов и фирменных салонов, а также розничная
и оптовая торговля;
) сделки и операции с недвижимостью, включая куплю-продажу;
) торгово-посредническая деятельность при совершении торговых сделок на
товарных рынках, маркетинг;
) производство строительных материалов, конструкций;
) закупка и реализация черных и цветных металлов, металлопроката в
установленном действующим законодательством порядке;
) передача на основе лизинга принадлежащих предприятию фондов,
оборудования, готовой продукции на условиях договора;
) разработка новых технологий "ноу-хау" и их реализация;
) оказание складских услуг;
) участие в выставках, ярмарках, организация аукционов;
) туризм, в том числе международный;
) посредническая деятельность;
) установка компьютерных игр и их эксплуатация;
) комиссионная торговля;
) организация и эксплуатация объектов социально-культурного, спортивного,
оздоровительного и профилактического назначения;
) производство строительных материалов для населения, предприятий и организаций;
) строительные, ремонтно-строительные, монтажные работы;
) внешнеэкономическая деятельность;
) транспортные услуги, автосервис;
) производство всех видов швейных изделий.
ООО "Ярославский печатный двор" вправе осуществлять иные виды
деятельности, не запрещенные законодательством в целях получения прибыли.
Уставный капитал общества составляет - 10 000 рублей и составляется из
номинальной стоимости долей участников общества. Резервный фонд ООО
"ЯПД" создается из прибыли общества в размере 15% уставного капитала,
формируется путем обязательных ежегодных отчислений в размере 5% от чистой
прибыли и предназначен для покрытия убытков общества, а также на другие цели, и
согласно действующему законодательству.
Фирма имеет 3 отдела: бухгалтерско-аналитический,
производственно-технический и проектный. Численность работников предприятия на
1 января 2010г. - 187 человек.
В цехах предприятия работают пять высокопроизводительных печатных машин
ведущего мирового производителя Heidelberg, в том числе:
единственная в регионе восьмикрасочная печатная машина Heidelberg
Speedmaster 102 формата 72х102 cм, позволяющая выпускать многокрасочную (до 8
красок) продукцию или одновременно запечатывать две стороны листа полноцветом4
пятикрасочная печатная машина Heidelberg Speedmaster 72-5+L для печати
продукции с пантонными красками и одновременного лакирования вододисперсионным
лаком;
четырехкрасочная печатная машина Heidelberg Speedmaster 102V для
изготовления полноцветной продукции;
четырехкрасочная офсетная машина Heidelberg Speedmaster 74-4 для выпуска
качественной оперативной продукции с высокой скоростью приладок
двухкрасочная печатная машина Heidelberg MOZP.
Для изготовления офсетных печатных форм используется современный японский
комплекс Screen, работающий по технологии Computer-to-plate, то есть без
промежуточного вывода пленок.
Три резательные машины POLAR обеспечивают качественную и точную порезку
тиражей.
Девять фальцевальных машин разных форматов и конфигураций выдают до 1 000
000 фальцованных листов в сутки.
На двух линиях по производству брошюр на скрепке (ВШРА Muller Martini) мы
выпускаем до 200 000 экземпляров в сутки, в том числе и на евроскобе.
Имеется линия УФ лакирования облагораживает выпускаемую продукцию (выпуск
"глянцевых" журналов, выборочное УФ лакирование).
Налажен полный комплекс оборудования для ламинирования, вырубки, высечки,
сверления позволяет выполнять практически любую финишную обработку продукции из
бумаги и картона.
Динамика основных показателей деятельности ООО "Ярославский печатный
двор" представлена в таблице 2.
Таблица 2. - Основные показатели деятельности ООО "ЯПД" в
2007-2009гг.
|
№ п/п
|
Показатели
|
Годы
|
Изменение 2009г к 2007г.
|
|
|
2007
|
2008
|
2009
|
(+, -)
|
в %
|
|
|
1
|
Выручка от реализации,
тыс.руб.
|
126243
|
158837
|
165339
|
39096
|
130,97
|
|
2
|
Себестоимость реализованной
продукции, тыс.руб.
|
63333
|
9683
|
51289
|
-12044
|
80,98
|
|
3
|
Валовая прибыль, тыс.руб.
|
62910
|
149154
|
114050
|
51140
|
181,29
|
|
4
|
Прибыль от продаж, тыс.руб.
|
1815
|
4649
|
4229
|
2414
|
233,00
|
|
5
|
Чистая прибыль, тыс.руб.
|
4206
|
3287
|
4329
|
123
|
102,92
|
|
6
|
Рентабельность продаж, %
|
3,33
|
2,07
|
2,62
|
-0,71
|
78,59
|
|
7
|
Рентабельность продукции, %
|
1,46
|
3,02
|
2,62
|
1,17
|
179,95
|
За анализируемый период наблюдается тенденция роста выручки (на 30,97%) и
снижения себестоимости продукции на (19,02%). В результате валовая прибыль
возросла на 81,29%. Рост объемов выручки отчасти с инфляционными процессами,
происходящими в экономике страны, отчасти с увеличением объемов выполненных
работ предприятия. Прибыль от продаж за период 2007-2009гг. возросла в 2,33
раза, но в составе выручки она имеет небольшую долю, поэтому невысок уровень
рентабельности продукции, тем не менее, к 2009г. он вырос на 1,17 процентных
пункта. Рентабельность продаж, напротив, снизилась. Это связано с небольшим
приростом чистой прибыли за рассматриваемый период.
Организационная структура управления ООО "Ярославский печатный
двор" представлена на рисунке 4.
Рисунок 4 - Организационная структура управления ООО "Ярославский печатный двор"
Полиграфический
рынок продолжает развиваться очень интенсивно. Рост сектора рынка, который
занимает ООО
"Ярославский печатный двор", соответствует развитию производственных предприятий,
которым нужна рекламная продукция и упаковка. Рынок печати, в принципе, достаточно устойчив,
даже несмотря на возможные колебания и экономические потрясения в будущем. Вполне возможно, что со временем типографии
будут специализироваться и занимать узкую определенную нишу рынка. Пока такое
характерно для европейских компаний.
По данным Минпечати, полиграфией в России занимаются от 4,7 тыс. до 5,9
тыс. предприятий. В том числе более 1,2 тыс. государственных учреждений, из них
64 - федерального значения, 500-600 ведомственных типографий (принадлежащих
заводам, НИИ, вузам и т. п.) и 3,2-4,2 тыс. частных компаний. Число последних ежегодно
увеличивается на 100-300 единиц.
На сегодняшний момент конкурентами ООО "Ярославский печатный
двор" являются следующие предприятия:
. ООО "РУПАП", г.Москва.
. ООО "ПРОФИТ", Республика Удмуртия, г.Ижевск.
. ООО "СОЛЕАНС-ПРИНТ", г.Москва.
Типография "Ярославский Печатный двор" была основана в 2001
году. За этот сравнительно небольшой срок, она успела прочно закрепиться на
рынке полиграфии и стать одной из самых крупных частных типографий, которые
специализируются на полиграфической продукции.
Отличительными особенностями компании является выпуск качественной
полиграфической продукции в короткие сроки. Поэтому уделяется особое внимание
контролю за качеством исполнения заказов. С момента возникновения предприятие
непрерывно развивается, совершенствуется технология, осваиваются новые
процессы, приобретается новое оборудование.
2.2 Анализ имущественного состояния предприятия
Становление рыночных отношений предоставило предприятиям экономическую
самостоятельность, что предполагает необходимость в изучении финансовой
отчетности как своей, так и своих партнеров и конкурентов для оценки доходности
и платежеспособности. Финансовое состояние предприятия и его устойчивость в
значительной степени зависят от того, каким имуществом располагает предприятие,
в какие активы вложен капитал, и какой доход они ему приносят.
Сведения о размещении капитала, имеющегося в распоряжении предприятия,
содержатся в активе баланса. Каждому виду размещенного капитала соответствует
определенная статья баланса. По этим данным можно установить, какие изменения
произошли в активах предприятия, какую часть составляет недвижимость, а какую -
оборотные средства, в том числе в сфере производства и в сфере обращения.
Главным признаком группировки статей актива баланса считается степень их
ликвидности [34, с.527]. Под ликвидностью понимают возможность реализации
материальных и других ценностей и превращения их в денежные средства.
По степени ликвидности имущество предприятия можно разделить на четыре
группы:
первоклассные ликвидные средства (денежные средства и краткосрочные
финансовые вложения);
легкореализуемые активы (дебиторская задолженность, готовая продукция и
товары);
среднереализуемые активы (производственные запасы, МБП, незавершенное
производство, издержки обращения);
труднореализуемые или неликвидные активы (нематериальные активы, основные
средства и оборудование к установке, капитальные долгосрочные финансовые
вложения).
В процессе функционирования предприятия величина активов и их структура
претерпевают постоянные изменения. Наиболее общие представления об имевших
место, качественных изменениях в структуре средств их источников, можно
получить с помощью вертикального и горизонтального анализа отчетности.
Вертикальный анализ - это выражение статьи (показателя) через
определённое процентное соотношение к соответствующей базовой статье (по
базовому показателю). С помощью вертикального анализа выявляют основные
тенденции и изменения в деятельности предприятия. Структура актива баланса состоит из следующих показателей: имущество
предприятия; основные средства и прочие внеоборотные активы (в процентах ко
всем средствам); материальные оборотные активы (в процентах к оборотным
средствам); денежные средства и краткосрочные финансовые вложения (в процентах
к оборотным средствам). По этим показателям, прежде всего,
определяют тенденции изменения оборачиваемости всех средств имущества
предприятия его производственного потенциала. Горизонтальный анализ означает сопоставление статей баланса и исчисляемых
по ним показателей на начало и конец одного или нескольких отчётных периодов;
он помогает выявить отклонения, требующие дальнейшего изучения. При
горизонтальном анализе исчисляют абсолютные и относительные изменения
показателей. Сопоставление позволяет определить общее направление движения баланса. В обычных производственных условиях
увеличение итогов баланса оценивают положительное, а уменьшение - отрицательно. Устойчивость финансового положения предприятия в значительной
степени зависит от целесообразности и правильности вложения финансовых ресурсов
в активы. Активы динамичны по своей природе. По данным бухгалтерского баланса
ООО "Ярославский печатный двор" проанализируем состав и структуру
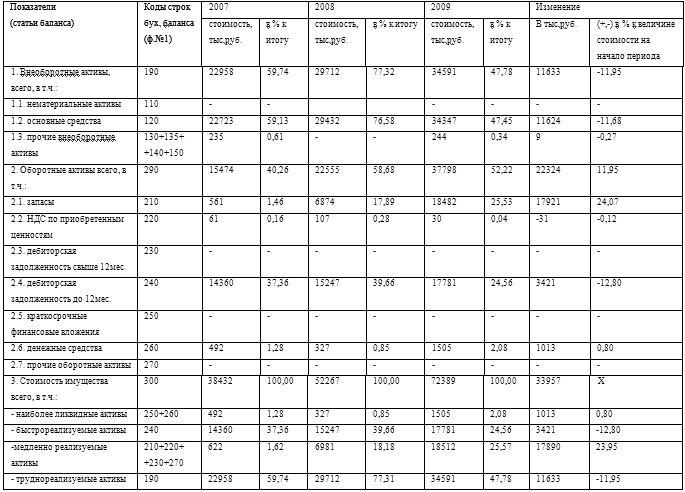
имущества предприятия в период 2007-2009гг. (см. таблицу 3.).
Таблица 3. - Анализ состава и структуры имущества ООО "ЯПД" в
2007-2009 гг.
Из приведенных данных видно, что за истекший период в ООО
"Ярославский печатный двор" произошло изменение структуры баланса.
Имущество предприятия увеличилось значительно: на сумму 33957 тыс.руб. или на
88,4% по сравнению с началом периода. Увеличение валюты баланса означает
расширение хозяйственного оборота ООО в рассматриваемый период и способствует
укреплению его платежеспособности.
Внеоборотные активы возросли на 11633 тыс.руб. или на 50,7% по сравнению
с началом периода. При этом величина основных средств выросла с 2007г. на 11624
тыс.руб. или на 51,16%, но их доля к концу 2009г. в структуре активов снизилась
до 47,45%. Увеличение стоимости основных средств свидетельствует о том, что хозяйство
расширяет свою деятельность. Доля внеоборотных активов в структуре баланса
также сократилась: с 59,74% в 2007г. до 47,78% в 2009г. К концу 2009г. возросла
величина оборотных активов: на 22324 тыс.руб. или в 2,44 раза. Рост оборотных
активов способствует расширению производства ООО "ЯПД".
При этом в стоимости активов резко возросла доля запасов: с 1,46% в
начале периода до 25,53% в конце периода. Тем не менее, несмотря на рост
абсолютной величины запасов, затоваривания не произошло, и не было перебоев в
снабжении, т.е. производство оставалось достаточно стабильным.
Наличие дебиторской задолженности свидетельствует о низкой
платежеспособности покупателей, т.е. не все покупатели могут заплатить за
поставленную продукцию. За рассматриваемый период дебиторская задолженность
увеличилась на 3421 тыс.руб. или на 23,82%. А доля дебиторской задолженности
снизилась с 37,36% в 2007г. до 24,56% к концу 2009г. Положительным является тот
факт, что в хозяйстве отсутствует дебиторская задолженность свыше 12мес.
Денежные средства, как наиболее ликвидные активы составляют к концу
2009г. долю в размере 2,08% в стоимости всего имущества. В течение
анализируемого периода они возросли в 3,1 раза, но в абсолютном выражении сумма
прироста денежных средств составила всего 1013 тыс.руб. Как следствие,
произошел рост наиболее ликвидных активов ООО "Ярославский печатный
двор" также на сумму 1013 тыс.руб., их доля в совокупных активах выросла
на 0,80%.
На 3421 тыс.руб. возросла стоимость быстрореализуемых активов, но их доля
в совокупных активах снизилась на 0,83%.
Доля медленнореализуемых активов в совокупных активах снизилась на 12,8%
и составляла к концу 2009г. 24,56% в активах ООО "Ярославский печатный
двор". Доля медленнореализуемых активов, напротив, возросла на 23,95% и к
концу 2009г. составляет уже 25,57%, а вместе с трудореализуемыми активами -
долю в размере 73,36%.
На основании всего вышеперечисленного можно сделать вывод о низкой
платежеспособности предприятия в целом на конец 2009г., доля ликвидных активов
в балансе низка, а труднореализуемых активов велика.
Таким образом, в целом по проведенному анализу можно сказать, что
произошел рост суммы активов предприятия. Положительно оценки заслуживает
увеличение в активе баланса денежных средств и основных средств.
Тревожным фактором является повышение дебиторской задолженности в активах
предприятия, т.е. долгов покупателей, старение дебиторских счетов. Это значит,
что либо предприятие проводит неразумную политику коммерческого кредита по
отношению к своим потребителям, либо сами потребители задерживают платежи.
Для оценки состояния ООО "Ярославский печатный двор"
проанализируем далее данные о запасах и затратах. Рассчитаем структуру запасов
и затрат предприятия за год и рассмотрим тенденцию изменения размера и состава
запасов и затрат за период 2007-2009г. Данные для анализа приведены в таблице 4
Таблица 4 - Анализ состава и структуры запасов и затрат за 2007-2009 гг.
|
Показатели (статьи баланса)
|
Код (строка баланса)
|
2007
|
2008
|
2009
|
Изменение (+,-)
|
|
|
стоимость, тыс.руб
|
. в %к итогу
|
стоимость, тыс.руб
|
. в %к итогу
|
стоимость, тыс.руб.
|
в %к итогу
|
стоимость, тыс.руб.
|
относительное в %
|
|
Запасы и затраты всего,
в.т.ч.:
|
210
|
561
|
100,00
|
6874
|
100,00
|
100,00
|
17921
|
Х
|
|
1. сырье, материалы и др.
аналогичные ценности
|
211
|
400
|
71,30
|
6738
|
86,7
|
17527
|
94,83
|
17127
|
23,53
|
|
2. животные на выращивании
и откорме
|
212
|
-
|
-
|
-
|
|
-
|
-
|
-
|
-
|
|
3. затраты в незавершенном
производстве
|
213
|
-
|
-
|
-
|
-
|
-
|
-
|
-
|
-
|
|
4. готовая продукция и
товары для перепродажи
|
214
|
107
|
19,07
|
107
|
19
|
955
|
5,17
|
848
|
-13,91
|
|
5. товары отгруженные
|
215
|
-
|
-
|
|
-
|
-
|
-
|
-
|
-
|
|
6. расходы будущих периодов
|
216
|
54
|
9,63
|
29
|
4,48
|
-
|
0,00
|
-54
|
-9,63
|
|
7. прочие запасы и затраты
|
217
|
-
|
|
-
|
-
|
-
|
-
|
-
|
-
|
Большое влияние на финансовое состояние предприятия и его
производственные результаты оказывает состояние запасов и затрат. В целях нормального хода производства и сбыта продукции запасы должны
быть оптимальными. Накопление больших запасов свидетельствует о спаде
активности предприятия. Большие сверхплановые запасы приводят к замораживанию
оборотного капитала, замедлению его оборачиваемости. Кроме того, увеличивается
налог на имущество, возникают проблемы с ликвидностью, увеличивается порча
сырья и материалов, растут складские расходы, что отрицательно влияет на
конечные результаты деятельности.
В то же время недостаток сырья и материалов, может привести к перебоям
процесса производства, к недогрузке мощностей, оборудования и техники, падению
объемов выпуска продукции, росту себестоимости, убыткам, что также отрицательно
сказывается на финансовом состоянии. Поэтому каждое предприятие должно
стремиться к тому, чтобы производство вовремя и в полном объеме обеспечивалось
всеми необходимыми ресурсами и в то же время, чтобы они не залеживались на
складах.
Можно видеть, что запасы и затраты в ООО "Ярославский печатный двор"
к концу 2009г. увеличились на 17921 тыс.руб. При этом наиболее значительный
рост имела стоимость сырья и материалов - на 17127 тыс.руб. Доля сырья и
материалов - наибольшая в структуре запасов выросла в структуре запасов и
затрат с 71,30% до 94,83%.
Как компенсация этому снизилась с 19,07% до 5,17% доля готовой продукции.
Готовая продукция занимает большой удельный вес в оборотных активах на многих
предприятиях, особенно в последнее время в связи с конкуренцией, потерей рынков
сбыта, низкой покупательной способностью субъектов хозяйствования и населения,
высокой себестоимостью продукции. Снижение остатков готовой продукции на
складах ООО "Ярославский печатный двор" приводит к более быстрому
обороту оборотного капитала, притоку денежной наличности, возможности
выплачивать по кредитам и процентам по ним, к снижению кредиторской
задолженности бюджету, работникам предприятия по оплате труда и т.д.
В условиях рыночной экономики резко повышается значимость финансовых
ресурсов, с помощью которых осуществляется формирование оптимальной структуры и
наращивания производственного потенциала предприятия, а также финансирование
текущей хозяйственной деятельности.
От того, каким капиталом располагает хозяйство, насколько оптимальна его
структура, насколько целесообразно он трансформируется в основные и оборотные
фонды, зависит финансовое благополучие предприятия и результаты его
деятельности. Поэтому анализ источников формирования капитала имеет
исключительно важное значение.
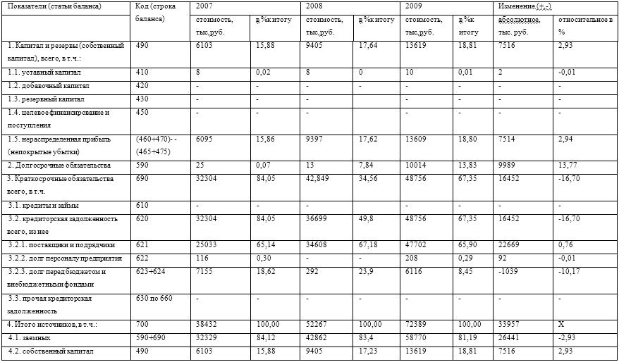
Для анализа состава и структуры источников формирования имущества ООО
"Ярославский печатный двор" рассчитаем структуру источников и
проанализируем ее изменение за период, рассмотрим изменения размера и состава
пассива баланса предприятия. Данные для анализа приведены в таблице 5
Таблица 5 - Анализ состава и структуры источников формирования имущества
ООО "ЯПД" за 2007-2009 гг.
Имущество предприятия формируется как за счет собственных (внутренних),
так и за счет заемных (внешних) источников.
Основным источником финансирования является собственный капитал. В его
состав входит уставный капитал, накопленный капитал (резервный и добавочный капиталы, фонд накопления, нераспределенная
прибыль) и прочие поступления. Заемный капитал -
это кредиты банков и финансовых компаний, займы, кредиторская задолженность,
лизинг, коммерческие бумаги и др. Он подразделяется на долгосрочный (более
года) и краткосрочный (до года). При
анализе структуры источников формирования имущества предприятия необходимо
учитывать особенности каждого вида составляющих капитала. Собственный капитал характеризуется простотой привлечения,
обеспечением более устойчивого финансового состояния и снижения риска
банкротства. Необходимость в собственном капитале обусловлена требованиями
самофинансирования хозяйства. Он является основой их самостоятельности и
независимости. Особенность собственного капитала состоит в том, что он
инвестируется на долгосрочной основе и подвергается наибольшему риску. Чем выше
его доля в общей сумме капитала и меньше доля заемных средств, тем выше буфер,
который защищает кредиторов от убытков, а, следовательно, меньше риск потери.
Однако нужно учитывать, что собственный капитал ограничен в размерах.
Кроме того, финансирование деятельности предприятия только за счет собственных
средств не всегда выгодно для него, особенно в тех случаях, когда производство
имеет сезонный характер. Тогда в отдельные периоды будут накапливаться большие
средства на счетах в банке, а в другие их будет недоставать. Также если цены на
финансовые ресурсы невысоки, а организация может обеспечить более высокий
уровень отдачи на вложенный капитал, чем платит за кредитные ресурсы, то,
привлекая заемные средства, оно может повысить рентабельность собственного
капитала. Как правило, предприятия берут кредит, чтобы усилить свои рыночные
позиции. В то же время, если средства
предприятия созданы в основном за счет краткосрочных обязательств, то его
финансовое положение будет неустойчивым, т.к.
с капиталами краткосрочного использования необходима постоянная оперативная работа,
направленная на контроль за своевременным их возвратом и привлечение в оборот
на непродолжительное время других капиталов. К недостаткам этого источника
финансирования следует отнести также сложность процедуры привлечения, высокую
зависимость ссудного процента от конъюнктуры финансового рынка и увеличение в
связи с этим риска снижения платежеспособности предприятия. От того, насколько оптимально соотношение собственного и
заемного капитала, во многом зависит финансовое положение предприятия. На анализируемом предприятии ООО "Ярославский печатный
двор" за период с 2007г. по 2009г. увеличилась сумма и собственного и
заемного капитала. В его структуре выросла доля собственных источников средств:
на 2,93% (с 15,88% в начале периода до 18,81% в конце), а заемных
соответственно снизилась (с 84,12% в конце 2007г. до 81,19% в конце 2009г.),
что свидетельствует о повышении степени финансовой независимости предприятия от
внешних инвесторов и кредиторов. При
этом в составе собственного капитала увеличился уставной капитал и, особенно,
сумма нераспределенной прибыли и ее доля в активах, что в результате привело к
росту собственного капитала на 7516 тыс.руб., что является положительной
тенденцией. За отчетный период сумма заемных
средств увеличилась на 26441 тыс.руб. или на 81,79%. Произошли существенные
изменения в структуре заемного капитала: доля долгосрочных обязательств
возросла на 13,77%, а доля краткосрочных обязательств снизилась на 16,70%: с
84,05% в начале периода до 67,35% в конце. Увеличение долгосрочных обязательств
свидетельствует о том, что ООО "Ярославский печатный двор" стремится
повысить устойчивость своего финансового положения. Далее проанализируем изменения коэффициента финансового
левериджа (плечо финансового рычага), который определяется как отношение
заемного капитала к собственному капиталу и
прямо пропорционально влияет на уровень финансового риска компании и
рентабельность собственного капитала. Обычно
для России за нормативное значение коэффициента финансового левериджа
принимается равное 1 (соотношение 50 на 50 процентов), но для разных отраслей,
разных по размеру, региону, коньюктуре рынков, традиции, рентабельности, сроку
существования и т.д. предприятий, нормативное значение может существенно
изменяться. Как правило, при низкой скорости оборота
капитала и низкой доли оборотных активов значение коэффициента финансового
левериджа небольшое. Изменение величины коэффициента
финансового левериджа (плеча финансового рычага) можно представить в виде
следующей пятифакторной модели (факторная модель предложена Савицкой Г.В.):
,
Где
- коэффициент финансового левериджа,
- доля
заемного капитала в общей сумме активов,
- доля
основного капитала в общей сумме активов,
- доля
оборотного капитала в основном капитале,
- доля
собственного оборотного капитала в оборотных активах,

- доля оборотного капитала в собственном капитале
(коэффициент маневренности собственного капитала).
Сумма основного капитала рассчитывается по формуле:
,
где
ДО - долгосрочные обязательства.
Проанализируем изменение значения коэффициента финансового левериджа ООО
"ЯПД" за 2009 год. Определим
значение и изменение коэффициента финансового левериджа за год.
.
.
Изменение
за год:
или
-10,7%.
Рассчитаем значения факторов определяющих величину коэффициента
финансового левериджа. Определим долю заемного капитала в
общей сумме активов (1 фактор):
.
.
Определим
долю основного капитала в общей сумме активов (2 фактор).
.
.
Определим,
сколько оборотного капитала приходится на рубль основного капитала (3 фактор).
.
.
Определим
долю собственного оборотного капитала в оборотных активах (4 фактор).
.
.
Определим
долю собственного оборотного капитала в собственном капитале (5 фактор).
.
.
Для
анализа влияния данных факторов на изменение коэффициента финансового левериджа
используем метод цепной подстановки.
.

.

.

.

.
.
Изменение
за счет 1 фактора:
.
Изменение
за счет 2 фактора:
.
Изменение
за счет 3 фактора:
.
Изменение
за счет 4 фактора:
.
Изменение
за счет 5 фактора:
.
Выполним
балансовую проверку:
.
Из
расчета видно, что коэффициент финансового левериджа уменьшился в основном за
счет увеличения доли основного капитала в общей сумме активов и изменения доли
оборотного капитала в собственном капитале, а увеличился за счет изменения доли
собственного оборотного капитала в оборотных активах и уменьшения доли
оборотного капитала в основном капитале.
Обобщая содержание параграфа можно сказать, что на данном предприятии за
рассматриваемый период произошел рост имущественного потенциала предприятия.
Чтобы говорить об эффективности данного потенциала, необходимо проанализировать
баланс ООО "Ярославский печатный двор" на ликвидность и
платежеспособность и выяснить, сможет ли предприятие погасить все свои краткосрочные обязательства без нарушений сроков погашения, и
имеет ли хозяйство достаточное количество денежных средств и их эквивалентов,
достаточных для расчетов по кредиторской задолженности, требующей немедленного
погашения.
.3 Анализ финансовой устойчивости
Стремясь решить конкретные вопросы и получить квалифицированную оценку
финансового положения, руководители предприятий все чаще начинают прибегать к
помощи финансового анализа, значение отвлеченных данных баланса или отчета о
финансовых результатах весьма невелико, если их рассматривать в отрыве друг от
друга. Поэтому для объективной оценки финансового положения необходимо перейти
к определенным ценностным соотношениям основных факторов - финансовым
показателям или коэффициентам.
Финансовые коэффициенты характеризуют пропорции между различными статьями
отчетности. Достоинствами финансовых коэффициентов являются простота расчетов и
элиминирования влияния инфляции [16, с.161].
Считается, что если уровень фактических финансовых коэффициентов хуже
базы сравнения, то это указывает на наиболее болезненные места в деятельности
предприятия, нуждающиеся в дополнительном анализе.
Результативность и экономическая целесообразность функционирования
предприятия могут оцениваться с помощью абсолютных и относительных показателей.
Абсолютные показатели позволяют проанализировать динамику различных
показателей прибыли за ряд лет. При этом следует отметить, что для получения
более объективных результатов следует рассчитывать данные показатели с учетом
инфляционных процессов.
Относительные показатели меньше подвержены влиянию инфляции т.к.
представляют собой различные соотношения прибыли и вложенного капитала, или прибыли и производственных затрат.
Рассчитаем и проанализируем абсолютные показатели финансовой устойчивости
ООО "Ярославский печатный двор". Данные для анализа приведены в
таблице 6.
финансовый дебиторский ликвидность платежеспособность
Таблица 6. - Абсолютные показатели финансовой устойчивости ООО
"Ярославский печатный двор" за 2007-2009 гг.
|
Показатели (статьи баланса)
|
Код (строка баланса)
|
2007, тыс.руб.
|
2008 тыс.руб.
|
2009, тыс.руб.
|
Изменение (+,-)
|
|
|
|
|
|
абсолютное, тыс. руб.
|
относительное в %
|
|
1. Собственный капитал и
прочие источники
|
490+640+ +650
|
6103
|
9405
|
13619
|
7516
|
223,15
|
|
2. Внеоборотные активы
|
190
|
22958
|
29712
|
34591
|
11633
|
150,67
|
|
3. Собственный оборотный
капитал (стр1-стр2)
|
|
-16855
|
-20307
|
-20972
|
-4117
|
124,43
|
|
4. Долгосрочные пассивы
|
590
|
25
|
13
|
10014
|
9989
|
400,6 р.
|
|
5. Собственные и
долгосрочные заемные источники оборотных средств (стр3+стр4)
|
|
-16830
|
-20294
|
-10958
|
5872
|
65,11
|
|
6. Краткосрочные кредиты и
займы
|
610
|
0
|
0
|
0
|
0
|
х
|
|
7. Общие источники
формирования запасов и затрат (стр5+стр6)
|
|
-16830
|
-20294
|
-10958
|
5872
|
65,11
|
|
8. Запасы и затраты
|
210
|
561
|
6874
|
18482
|
17921
|
32,9 р.
|
|
9. Излишек (+), недостаток
(-) собственных оборотных средств (стр3-стр8)
|
|
-17416
|
-27181
|
-39454
|
-22038
|
226,54
|
|
10. Излишек (+), недостаток
(-) собственных и долгосрочных заёмных источников (стр5-стр8)
|
|
-17391
|
-27168
|
-29440
|
-12049
|
169,28
|
|
11. Излишек (+), недостаток
(-) общих источников (стр7-стр8)
|
|
-17391
|
-17391
|
-29440
|
-12049
|
169,28
|
По полученным данным расчета абсолютных показателей финансовой
устойчивости можем видеть, что и на начало и на конец рассматриваемого периода
собственный капитал не превышает стоимости внеоборотных активов, несмотря на
рост стоимости собственного капитала и прочих источников в 2,23 раза.
Соответственно, стоимость собственных оборотных средств отрицательна и
имеющиеся на предприятии запасы и затраты не обеспечены собственными оборотными
средствами. Это свидетельствует о "плохом" балансе ООО
"Ярославский печатный двор" и на конец 2007г. и на конец 2009г. Величина долгосрочных пассивов возросла за рассматриваемый
период на 9989 тыс.руб. или в 401 раз. Но это не позволило предприятию иметь к
концу 2009г. положительную величину суммарной стоимости собственных и
долгосрочных заемных оборотных средств. Соответственно, эта величина не
позволяет обеспечить запасы и затраты, имеющиеся в хозяйстве к концу 2009г.,
имеется недостаток в размере 29440 тыс.руб.
Величина запасов и затрат к концу 2009г. не покрывается и суммарной
стоимостью собственных оборотных средств, долгосрочных и краткосрочных кредитов
и займов, т.к. предприятие не имело краткосрочных кредитов и займов в течение
анализируемого периода. Величина недостатка средств только возросла.
Таким образом, финансовая устойчивость ООО "ЯПД" снизилась к
концу 2009г.по сравнению с 2007г. Показателем
"хорошего" баланса является превышение стоимости собственного
капитала над внеоборотными активами и обеспеченность большей части запасов и
затрат собственным оборотным капиталом. Повышение
рентабельности деятельности ООО "Ярославский печатный двор",
получение высоких прибылей позволит улучшить рассчитанные финансовые
показатели. Это приведет к формированию резервного фонда, к общему росту
собственного капитала и к росту собственных оборотных средств. Это повысит
финансовую устойчивость ООО "ЯПД". Далее
рассчитаем относительные показатели финансовой устойчивости предприятия (см.
таблицу 7).
Таблица 7. - Относительные показатели финансовой устойчивости ООО
"ЯПД" за 2007-2009 гг.
|
Показатели (название
коэффициентов)
|
Способ расчёта с
использованием данных баланса (форма №1)
|
Норматив коэффициента
|
2007
|
2008
|
2009
|
Изменение (+,-)
|
|
1. Коэффициент финансовой
независимости (автономии)
|
0,50,160,180,190,03
|
|
|
|
|
|
|
2. Коэффициент финансовой
устойчивости
|
0,60,160,180,330,17
|
|
|
|
|
|
|
3. Коэффициент
маневренности собственного капитала
|
0,6-2,76-2,15-1,541,22
|
|
|
|
|
|
|
4. Коэффициент концентрации
привлеченного капитала
|
0,50,840,820,81-0,03
|
|
|
|
|
|
|
5. Коэффициент соотношения
заёмных и собственных средств
|
 5,304,564,32-0,98
|
|
|
|
|
|
|
6 .Коэффициент обеспечения
текущих активов собств. Источниками
|
0,1-1,09-0,9-0,550,53
|
|
|
|
|
|
|
7. Коэффициент обеспечения
запасов собственными средствами
|
0,6-0,8-30,04-2,95-1,1328,91
|
|
|
|
|
|
|
8. Коэффициент соотношения
текущих и внеоборотных активов
|
0,670,761,090,42
|
|
|
|
|
|
|
9. Коэффициент
долгосрочного привлечения капитала
|
0,0040,00140,4240,420
|
|
|
|
|
|
|
10. Индекс постоянного
актива
|
3,763,162,54-1,22
|
|
|
|
|
|
На основе полученных результатов можно сделать следующие выводы.
Коэффициент финансовой независимости, показывающий долю собственного капитала в
валюте баланса, вырос в период с 2007г. по 2009г. на 0,03 и достиг уровня 0,19,
что по-прежнему ниже нормативного значения. Это свидетельствует о недостаточном
усилении возможностей ООО "ЯПД" в его развитии.
Коэффициент финансовой устойчивости показывает, какую долю имеет величина
собственного капитала и долгосрочных обязательств в валюте баланса. Этот
коэффициент за рассматриваемый период вырос на 17%, но также не превысил
нормативное значение, что свидетельствует о незначительном усилении финансовой
устойчивости ООО "Ярославский печатный двор". Коэффициент маневренности собственного капитала показывает,
какая часть собственного капитала используется для финансирования текущей
деятельности, т.е. вложена в оборотные средства, а какая часть
капитализирована. Значение данного показателя может ощутимо варьировать в
зависимости от структуры капитала. Как было уже отмечено выше по результатам
расчета абсолютных показателей финансовой устойчивости, собственные оборотные
средства за весь рассматриваемый период имеют отрицательную величину, поэтому
они не могут покрыть текущие активы и имеющиеся запасы и затраты.
Соответственно, коэффициенты маневренности собственного капитала,
обеспеченности текущих активов собственными источниками и обеспеченности
запасов собственными средствами отрицательны и не имеют смысла. Коэффициент концентрации привлеченного капитала показывает,
что доля заемного капитала в валюте баланса за рассматриваемый период снизилась
до 81%, но не стала ниже норматива, что свидетельствует о незначительном
усилении финансовой независимости ООО "Ярославский печатный двор" от
кредиторов. Коэффициент соотношения заемных и
собственных средств дает наиболее общую оценку финансовой устойчивости
предприятия. Он показывает, сколько заемных средств приходится на каждый рубль
собственного капитала. Рост показателя в динамике свидетельствует об усилении
зависимости предприятия от внешних инвесторов и кредиторов. В данном случае на
начало рассматриваемого периода коэффициент соотношения привлеченных и
собственных средств превышал норматив в 5,3 раза, а к концу 2009г. он снизился
до уровня 4,3, что свидетельствует о снижении зависимости ООО "Ярославский
печатный двор" от инвесторов, но значении данного показателя по-прежнему
значительно выше норматива. Коэффициент
соотношения текущих и внеоборотных активов за рассматриваемый период вырос с
67% до 109%. Коэффициент долгосрочного привлечения капитала вырос с 0,4% на
конец 2007г. до 42,4% на конец 2009г., что показывает относительный рост доли
долгосрочных пассивов в общей стоимости собственного капитала и долгосрочных
обязательств и свидетельствует о возрастании зависимости активов предприятия от
долгосрочных пассивов. Индекс постоянного актива показывает,
что доля внеоборотных активов в собственном капитале снизилась с 3,76 до 2,54,
что является положительной тенденцией, т.к. финансовая устойчивость хозяйства
предполагает возможность покрытия внеоборотных активов собственными средствами. В целом по проведенному анализу абсолютных и относительных
показателей финансовой устойчивости ООО "Ярославский печатный двор"
можно сделать вывод, что финансовое положение предприятия за рассматриваемый
период несколько улучшилось, оно стало более устойчивым, а зависимость
организации от внешних инвесторов и кредиторов уменьшилась. Но значения
рассчитанных коэффициентов показывают, что
состояние предприятия нельзя назвать финансово устойчивым.
.4 Анализ платежеспособности, ликвидности и деловой активности ООО "Ярославский печатный двор"
Проведем анализ платежеспособности (ликвидности) ООО "Ярославский
печатный двор". Для этого сначала рассчитаем показатели, определяющие
абсолютную ликвидность баланса на конец 2007г. и конец 2009г. Расчет
показателей абсолютной ликвидности баланса приведен в таблице 8.
Таблица 8 - Расчет показателей абсолютной ликвидности баланса ООО
"ЯПД" за 2007-2009 гг.
|
Актив
|
Пассив
|
Платежный излишек (+),
недостаток (-)
|
|
Группы активов по степени
ликвидности
|
Суммы, тыс. руб.
|
Группы пассивов по
нарастанию сроков погашения обязательств
|
Суммы, тыс. руб.
|
|
|
2007г
|
2009г
|
|
2007г
|
2009г
|
2007г
|
2009 г
|
|
А1-наиболее
ликвидные активы (стр.250+260)
|
492
|
1505
|
П1-наиболее
срочные обязательства (стр.620-стр.660 баланса)
|
32304
|
48756
|
-31812
|
-47251
|
|
А2 - быстро
реализуемые активы (стр. 240+250+260 баланса)
|
14360
|
17781
|
П2-
краткосрочные пассивы к погашению в течении 12 мес. (стр.610 баланса)
|
0
|
0
|
14360
|
17781
|
|
А3-медленно
реализуемые активы (стр. 210+220+230+270)
|
622
|
18512
|
П3-долгосрочные
пассивы (стр.590 баланса)
|
25
|
10014
|
597
|
8498
|
|
А4- трудно
реализуемые активы (стр. 190 баланса)
|
22958
|
34591
|
П4 - постоянные
пассивы (стр. 490 баланса)
|
6103
|
13619
|
-16855
|
-20972
|
|
Валюта баланса (стр.300)
|
38432
|
72389
|
Валюта баланса (стр. 700)
|
38432
|
72389
|
х
|
Х
|
Условиями абсолютной ликвидности баланса являются:
А1>П1; А2>П2; А3>П3;
П4>А4.
Результаты расчетов показывают, что баланс ООО "Ярославский печатный
двор" не является абсолютно ликвидным. Для погашения обязательств
недостает как высоколиквидных, так и низколиквидных средств. При этом к концу
периода наблюдается больший недостаток средств, чем в начале. Т.е. в течение
рассматриваемого периода ликвидность баланса ООО "Ярославский печатный
двор" снизилась. Необходимо принимать меры для роста ликвидности
предприятия. Следующую важную группу финансовых
показателей составляют показатели ликвидности и рыночной устойчивости, которые
являются относительными показателями. В соответствии с действующим российским
законодательством о банкротстве предприятий для диагностики их
несостоятельности применяется ограниченный круг показателей, в том числе
коэффициент текущей (общей) ликвидности и коэффициент обеспеченности
собственным оборотным капиталом. Коэффициент текущей ликвидности - отношение
текущих активов без расходов будущих периодов к срочным обязательствам.
Коэффициент обеспеченности собственными средствами - это отношение суммы
собственных оборотных средств к стоимости запасов. В случае, сели коэффициент
текущей ликвидности имеет значение ниже 2,0, а коэффициент обеспеченности
собственными средствами - ниже 0,1, то имеется основание для признания
структуры баланса предприятия неудовлетворительной, а предприятие -
неплатежеспособным. Кроме этих двух показателей
рассчитывают и другие, например коэффициент быстрой ликвидности и коэффициент
абсолютной ликвидности. Данные показатели представляют интерес не только для
руководства предприятия, но и для внешних субъектов анализа: коэффициент
абсолютной ликвидности представляет интерес для поставщиков сырья и материалов,
коэффициент быстрой ликвидности - для банков, коэффициент общей ликвидности -
для инвесторов. Рассчитаем относительные показатели
платежеспособности (ликвидности) ООО "Ярославский печатный двор".
Расчет коэффициентов приведен в таблице 9.
Таблица 9 - Расчет относительных показателей платежеспособности
(ликвидности) ООО "Ярославский печатный двор" за 2007-2009 гг.
|
Название коэффициента
|
Способ расчета
|
Норматив коэффициента
|
2007
|
2009
|
Изменение (+,-)
|
|
1. Абсолютной ликвидности
|
0,20,01520,03090,0156
|
|
|
|
|
|
2. Быстрой (промежуточной)
ликвидности
|
0,7- 0,80,460,40-0,06
|
|
|
|
|
|
3. Общей (текущей)
ликвидности
|
>2,00,480,780,30
|
|
|
|
|
|
4. Коэффициент
маневренности функционирующего капитала
|
-0,04-1,69-1,65
|
|
|
|
|
|
5. Доля оборотных средств в
валюте баланса
|
>0,50,400,520,12
|
|
|
|
|
|
6. Коэффициент
обеспеченности текущих активов собственными средствами
|
>0,1-1,09-0,550,53
|
|
|
|
|
|
7. Коэффициент
восстановления платежеспособности
|
>1,00,41Х
|
|
|
|
|
8. Коэффициент утраты
платежеспособности
|
>1,00,40Х
|
|
|
|
Проанализируем полученные коэффициенты. Коэффициент абсолютной
ликвидности составил 0,0152 на начало периода и 0,0309 к концу 2009г. Это означает, что предприятие может сразу (немедленно)
заплатить 1,52 - 3,09% долга (вместо нормативных 20%).
Коэффициент быстрой ликвидности показывает часть краткосрочных
обязательств, которую ООО "Ярославский печатный двор" может оплатить
быстро. Этот коэффициент также ниже норматива, при этом наблюдается отрицательная
тенденция в его изменении.
Коэффициент текущей ликвидности отражает степень платежеспособности
предприятия и показывает, какую часть краткосрочных обязательств предприятие
может погасить, мобилизовав все оборотные активы. В данном случае коэффициент
текущей ликвидности является также низким с тенденцией к увеличению в последнее
время. Таким образом, коэффициент текущей ликвидности обобщает предыдущие
показатели и является одним из параметров, характеризующих
неудовлетворительность бухгалтерского баланса ООО "Ярославский печатный
двор".
Коэффициент маневренности функционирующего капитала показывает, какая
часть функционирующего капитала обездвижена в производственных запасах и
долгосрочной дебиторской задолженности. В нашем случае значение коэффициента на
начало периода отрицательное, к тому же к концу 2009г. произошло существенное
снижение.
Доля оборотных средств в активах зависит от отраслевой принадлежности
организации. В анализируемой организации она меньше нормы, но к концу периода
повысилась, превысив норму.
Коэффициент восстановления платежеспособности ООО "Ярославский
печатный двор" ниже единицы. Этот коэффициент обычно рассчитывается, если структура баланса признается неудовлетворительной в
результате расчета коэффициента текущей ликвидности или коэффициента
обеспеченности собственными средствами. Коэффициент восстановления
платежеспособности, принимающий значения больше 1, рассчитанный на нормативный
период, равный 6 месяцам, свидетельствует о наличии реальной возможности у предприятия
восстановить свою платежеспособность. Если этот коэффициент меньше 1 (как
наблюдается в ООО "ЯПД"), то предприятие в ближайшее время не имеет
реальной возможности восстановить платежеспособность.
Коэффициент утраты платежеспособности, принимающий значение больше 1,
рассчитанный за период, равный 3 месяцам, свидетельствует о наличии реальной
возможности у предприятия не утратить платежеспособность. Если этот коэффициент
меньше 1, то предприятие в ближайшее время может утратить платежеспособность.
Коэффициент утраты платежеспособности ООО "Ярославский печатный двор"
ниже единицы. Поэтому предприятию грозит дальнейшая утрата платежеспособности.
Таким образом, по результатам анализа показателей платежеспособности
(ликвидности) ООО "Ярославский печатный двор" является
неплатежеспособной организацией, структура его баланса неудовлетворительна.
Ввиду реальной угрозы утраты платежеспособности организация может быть
поставлена на учет в Федеральную службу России по делам о несостоятельности, а
на предприятии требуются принимать меры по финансовому оздоровлению.
Для завершения анализа финансового состояния ООО "Ярославский
печатный двор" рассчитаем показатели скорингового анализа финансовой
устойчивости (методика приведена в главе 1.3). Данные внесем в таблицу 10.
По результатам расчетов можно сделать вывод, что и в 2007г. ООО
"Ярославский печатный двор" относилось к третьему классу риска по
степени банкротства - "Проблемные предприятия". В 2009г., с
ухудшением финансового состояния предприятия, оно стало относиться к четвертому
классу риска по степени банкротства, в который входят предприятия с высоким
риском банкротства даже после принятия мер по финансовому оздоровлению.
Таблица 10 - Расчет показателей скорингового анализа финансовой
устойчивости ООО "Ярославский печатный двор" за 2007г. и 2009г.
|
Показатели финансовой
устойчивости
|
Способ расчета (коды строк
баланса)
|
Уровень показателей
(среднегодовых)
|
Балльная оценка показателей
|
|
|
2007г.
|
2009г.
|
2007г.
|
2009г.
|
|
1. Рентабельность
авансированного (совокупного) капитала, %
|
10,945,9821,413,3
|
|
|
|
|
|
2. Коэффициент текущей
ликвидности
|
0,480,780,00,0
|
|
|
|
|
|
3. Коэффициент финансовой
зависимости
|
0,840,8120,020,0
|
|
|
|
|
|
Итого баллов
|
41,41
|
33,3
|
Таким образом, по проведенному исследованию финансового состояния ООО
"Ярославский печатный двор" можно заключить, что предприятие является
неплатежеспособной организацией, структура его баланса неудовлетворительна:
стоимость собственных оборотных средств отрицательна и имеющиеся на предприятии
запасы и затраты не обеспечены собственными оборотными средствами, на конец
2009г. имеется недостаток в размере 39454 тыс.руб. Состояние предприятия
является финансово неустойчивым: коэффициент финансовой устойчивости составляет
0,33 при минимальном нормативном значении 0,6, а коэффициент соотношения
привлеченных и собственных средств составляет 4,32, что значительно выше
максимального нормативного значения (0,1). Т.к. рассчитанные коэффициенты
восстановления и утраты платежеспособности на конец 2009г. меньше единицы, то у
предприятия существует реальная угроза дальнейшей утраты платежеспособности.
Необходимо принимать неотложные меры по финансовому оздоровлению ООО
"ЯПД". Нужно пополнить собственный оборотный капитал и достигнуть
оптимальной финансовой структуры баланса. Повышение доходности капитала
достигается рациональным и экономным использованием всех ресурсов, недопущением
их перерасхода, потерь на всех стадиях кругооборота. В результате капитал
вернется к своему исходному состоянию в большей сумме, т.е. с прибылью.
ГЛАВА 3. ОСНОВНЫЕ НАПРАВЛЕНИЯ УЛУЧШЕНИЯ ФИНАНСОВОГО СОСТОЯНИЯ ООО
"ЯРОСЛАВСКИЙ ПЕЧАТНЫЙ ДВОР"
3.1
Улучшение финансового состояния предприятия в результате снижения кредиторской
и дебиторской задолженности, а также снижения себестоимости
Сложно представить предприятие, у которого не было бы кредиторской
задолженности перед поставщиками. При умелом управлении такая задолженность
может стать дополнительным, а главное, дешевым источником привлечения заемных
средств. Поэтому от того, как выстраиваются отношения с контрагентами,
согласовываются условия заключаемых договоров, отслеживаются сроки их оплаты,
во многом зависит эффективность использования полученных средств.
Для стабилизации финансового состояния ООО "Ярославский печатный
двор" предлагается погасить часть кредиторской задолженности, за счет
погашения краткосрочной дебиторской задолженности в сумме 17000 тыс.руб. Тем
самым предприятие сможет рассчитаться с поставщиками и подрядчиками, а также
произвести часть выплат персоналу предприятия.
Дебиторская задолженность - важный компонент оборотного капитала.
Неоплаченные счета за продукцию и услуги и составляют большую часть дебиторской
задолженности.
Предлагаются следующие мероприятия по улучшению положения с расчетами:
. Установить систему взыскания долгов. При решении проблемы дебиторской
задолженности предприятию необходимо отработать систему взыскания долгов:
наиболее употребительными способами воздействия на дебиторов с целью погашения
задолженности являются направление писем, телефонные звонки, персональные
визиты, продажа задолженности специальным организациям.
. Аккумулировать информацию о состоянии дел клиентов предприятия.
. Для выяснения реальности взыскания долгов с покупателей и долгов,
носящих сомнительный характер (задолженность свыше 3 месяцев), необходимо
проверить, имеются ли акты сверки расчетов и письма, в которых дебиторы
признают свою задолженность, не пропущены ли сроки исковой давности. По долгам,
нереальным к взысканию, в установленном порядке сформировать резерв по
сомнительным долгам. При наличии оправдательных документов безнадежные долги
погасить путем списания их на убытки предприятия как дебиторскую задолженность,
по которой истек срок исковой давности. Чтобы управлять дебиторской
задолженностью, необходимо строже контролировать выполнение договорных
обязательств.
. По дебиторской и кредиторской задолженности составлять платежный
календарь с разбивкой по кварталам. Предлагается разработать такой вид
платежного календаря как "Календарь инкассации дебиторской
задолженности". По текущей дебиторской задолженности платежи включаются в
календарь в суммах и в сроки, предусмотренные соответствующими договорами
(контрактами) с контрагентами. По просроченной дебиторской задолженности эти
платежи включаются в данный плановый документ на основе предварительного
согласования сторон. Календарь инкассации дебиторской задолженности содержит
только один раздел "График поступления денежных средств". В целях
отражения реального денежного оборота предприятия датой поступления денежных
средств считается день их зачисления на расчетный счет предприятия (это
позволяет исключить период флоута в расчетах с дебиторами). Проводить данное
мероприятие постоянно.
. Подготавливать юристу списки дебиторов, долг которых превышает более
3-х, 6-ти и 9-ти. Проводить постоянно.
. Ежемесячно (до 15 числа) анализировать исполнение договоров по своевременной
оплате покупателей по данным отдела сбыта и бухгалтерии.
. По представленным документам отдела сбыта оформить исковые требования
по взысканию задолженности с кредиторов.
. Ежемесячно производить сверку расчетов (предъявленная сумма и оплата)
по всем предприятиям в целях контролирования дебиторской задолженности.
. В целях снижения кредиторской задолженности: на основании проведенного
анализа и экономически обоснованных расчетов, разработать дальнейшую стратегию
по сбору средств и привлечение источников финансирования, а именно обратиться с
просьбой к учредителям предприятия о выделении средств на увеличение уставного
капитала и пополнения оборотных средств.
. Спонтанное финансирование, т.е. определение скидок предприятиям за
сокращение сроков расчета.
Рассмотрим один из возможных вариантов спонтанного финансирования.
Взвесим издержки альтернативных возможностей. Если результат превысит ставку
банковского процента, то лучше обратиться в банк за кредитом и оплатить
продукцию и услуги в течение льготного периода.
Очевидно, что поставщику не выгодно предоставлять длительный срок
действия скидки. Однако следует отметить, что увеличение льготного периода
способно привлечь покупателей; упущенную же выгоду поставщика (скидка,
ожидание, хотя и сокращенное) можно считать своеобразной ценой победы в
конкурентной борьбе.
Поскольку главная задача предприятия - уменьшение дебиторской
задолженности и, следовательно, ускорение оборачиваемости товарооборота, то
предпочтительнее предоставить достаточно большой процент скидки за меньший
период для вовлечения полученных средств в оборот. С другой стороны, должников
ООО "Ярославский печатный двор" будут привлекать достаточно
длительные сроки льготного периода.
Рассмотрим несколько возможных вариантов скидок. Уровень банковского
процента примем 22,5% годовых.
·
Скидка 5/10-30,
т.е. предложим дебиторам скидку 5% при выплате задолженности в 10-дневный срок
при максимальной длительности отсрочки 30 дней. Рассчитаем в этом случае цену
отказа от скидки:
.
Сравнивая
"цену отказа от скидки" со стоимостью банковского кредита, приходим к
выводу, что для покупателя выгоднее воспользоваться банковским кредитом и
выплатить задолженность в 10-дневный срок, нежели дотянуть до последнего и
потерять скидку.
·
Скидка 3/15-30,
т.е. если плательщики оплатят товар до 15 дней, то они смогут воспользоваться
скидкой 3% с цены при максимальном сроке выплаты 30 дней.
.
В
этом случае мы предлагаем скидку ниже, но увеличиваем период, в течение
которого предоставляется скидка. И в этом случае также покупателю выгодней
заплатить в срок 15 дней, чем потерять скидку или оплатить полную стоимость
товара.
·
Скидка 2/25-30,
т.е. предлагаем скидку 2% и увеличиваем срок выплаты задолженности до 25 дней.
Рассчитаем в этом случае цену отказа от скидки:
.
Полученная
цена отказа от скидки значительно больше стоимости банковского кредита и очень
выгодна дебиторам, но для кредиторов она менее выгодна, чем, например,
предыдущая. Однако, как уже отмечалось ранее, увеличение льготного периода
способно привлечь покупателей; упущенную же выгоду поставщика можно считать
своеобразной ценой победы в конкурентной борьбе.
Исходя
из этих рассуждений, предпочтительнее других можно считать первые два условия
спонтанного финансирования:
·
Скидка 5/10-30.
Уровень банковского процента - 22,5% годовых. Цена отказа от скидки при этом
составляет 94,7%. (94,7% - 22,5%) = 72,2%. Т.е отказ от скидки в данном случае
обойдется на 72,2 процентных пункта дороже банковского кредита.
·
Скидка 3/15-30.
Цена отказа от скидки при этом составляет 74,2%. (74,2% - 22,5%) = 51,7%. Т.е. при таком расчете отказ от скидки обойдется
на 51,7 процентных пункта дороже банковского кредита.
Поскольку показатели рентабельности в норме, то более выгодным является
первый вариант спонтанного финансирования с меньшим сроком платежа. При таком
варианте рассчитаем экономический эффект, полученный от снижения дебиторской
задолженности при использовании такого поощрения как скидка 5%:
, (3.1.1)
где
- сумма экономического эффекта, полученного от
снижения дебиторской задолженности;
ДЗ
- сумма фактической дебиторской задолженности;
Зск
- потери от скидки;
Здз
- затраты, связанные с организацией кредитования покупателей (произвольные).
В
нашем случае потери от скидки составят:
(тыс.руб.).
Отсюда:
(тыс.руб.).
Таким образом, эффект предприятия при предоставлении в 10-дневный срок
скидки 5%, составит 16050 тыс.руб.
На данном предприятии, для наиболее эффективного результата, предлагается
принять в штат специалиста по управлению дебиторской задолженностью.
Специалист будет собирать данные о клиентах в систему (базу данных). В
этой системе будет размещаться информация о контрагентах, нарушающих условия
оплаты. Должна быть создана система балльной оценки надежности контрагента на основании анализа работы с ним.
Все контрагенты объединяются в группы по уровню надежности:
- группа риска;
группа повышенного внимания;
группа надежных клиентов;
"золотые клиенты".
Оценка надежности контрагентов производится на основании срока работы с
клиентом, объема продаж клиенту и объема просроченной задолженности данного
клиента на конец периода. Эти обязанности будут внесены в должностную
инструкцию специалиста. Специалист в организационной структуре будет
подчиняться начальнику экономической группы. Рассмотрим
расходы, связанные с этим мероприятием:
Таблица 11 - Дополнительные затраты в связи с наймом
специалиста по управлению денежными потоками, тыс.руб.
|
Показатели
|
В мес.
|
В год.
|
|
Инвестиции (приобретение
основных средств):
|
|
|
|
Покупка компьютера,
принтера
|
-
|
26,0
|
|
Покупка мебели
|
-
|
5,6
|
|
Итого инвестиций:
|
-
|
31,6
|
|
Текущая деятельность:
|
|
|
|
Показатели
|
|
|
|
Амортизация (10%)
|
-
|
3,16
|
|
Заработная плата
|
15,0
|
180,0
|
|
Отчисления во внебюджетные
фонды (26%)
|
3,9
|
46,8
|
|
ИТОГО ЗАТРАТ:
|
18,9
|
226,8
|
Итак, совершенствование структуры управления денежными потоками обойдется
предприятию в 226,8 тыс. руб.
Однако данные затраты вполне приемлемы, т.к. результатом работы данного
сотрудника должно стать максимальное использование возможностей сокращения
финансового цикла и получение дополнительного дохода от временно освободившихся
денежных средств за счет:
) Сокращения суммы дебиторской задолженности. Используя такие мероприятия
по сокращению дебиторской задолженности, как отслеживание сальдо по каждому
счету дебитора для того, чтобы оперативно предотвратить поставку продукции
должнику, оценка финансовое состояние контрагентов, которым предоставляется
отсрочка платежа;
) сокращения периода инкассации: за счет снижения суммы дебиторской
задолженности;
) инвестирования свободных денежных средств и т.д.
Для того чтобы работа специалиста по управлению денежными потоками была
более эффективной, необходимо, чтобы он работал в комплексе с бухгалтерией и
финансово-экономическим отделом.
Итак, рассчитаем экономический эффект от предложенных мероприятий, таких
как: предоставление скидок и введения должности специалиста по управлению
дебиторской задолженностью.
, (3.1.2)
где
- затраты, связанные с наймом специалиста.
- 227 = 15823 (тыс.руб.).
Таким образом, от предложенных мероприятий по дебиторской задолженности,
экономический эффект на данном предприятии составит 15823 тыс.руб.
Кроме того, большие резервы улучшения финансового состояния ООО "Ярославский
печатный двор" заложены в снижении себестоимости продукции.
Основными источниками резервов снижения себестоимости продукции и услуг
являются:
) увеличение объема ее производства за счет более полного использования
производственной мощности предприятия;
) сокращение затрат на ее производство за счет повышения уровня
производительности труда, экономного использования сырья, материалов,
электроэнергии, топлива, оборудования, сокращения непроизводительных расходов,
производственного брака и т.д.
Резервы увеличения производства продукции выявляются в процессе анализа
выполнения производственной программы. При увеличении объема производства
продукции возрастают только переменные затраты (прямая зарплата рабочих, прямые
материальные расходы и др.), сумма же постоянных расходов, как правило, не
изменяется, в результате снижается себестоимость изделий. К сожалению,
экономический кризис сказался на приток клиентов ООО "Ярославский печатный
двор". В 2008-2009г. предприятие выполнило производственную программу на
100%, прикладывая большие усилия в поисках клиентов.
Поэтому оценить резервы производства продукции и услуг на ближайшую перспективу
затруднительно. Резервы сокращения затрат
устанавливаются по каждой статье расходов за счет конкретных организационно-технических
мероприятий (внедрение новой более прогрессивной техники и технологии
производства, улучшение организации труда и др.), которые будут способствовать
экономии заработной платы, сырья, материалов, энергии и т.д. На исследуемом предприятии следует больше внимания уделить
снижению управленческих расходов. Одним из недостатков функционирования
предприятия является большой административный аппарат, т.е. лишние
управленческие кадры. В связи с этим себестоимость услуг предприятия
возрастает. Следовательно, следует пересмотреть эффективность работы
управленческого персонала, сократить кадры таким образом, чтобы их количество и
качество работы было оптимальным и умещалось в рамках необходимого предприятию.
Предварительная оценка управленческих расходов показало возможность их
сокращения на 20-22% без снижения качества продукции и предоставляемых услуг. На основе данных формы №2, рассчитаем экономический эффект от
снижения управленческих расходов на 20%:
(тыс.руб.).
Таким образом, при сокращении управленческих расходов на 20%
экономический эффект составит 21964 тыс.руб. В
настоящее время в маркетинговой деятельности ООО "Ярославский печатный
двор" присутствуют следующие виды рекламы: листовки, буклеты фирмы. При
этом расходы на рекламу являются одними из самых низких. Для более эффективной
коммерческой деятельности предприятия необходимо повысить отдачу от рекламной
деятельности. Это нужно для привлечения дополнительных клиентов и,
соответственно, для роста товарооборота фирмы. Рекламная кампания "Ярославский печатный двор" помимо
существующих видов рекламы, должна включать в себя следующие формы рекламы:
регулярное участие в выставках и тендерные торги.
Оценим величину затрат на предлагаемые мероприятия (таблица 12).
Таблица 12 - Расходы на рекламную кампанию
|
Формы рекламы
|
Расходы за мес., тыс.руб.
|
Расходы за год, тыс.руб.
|
|
Тендерные торги
|
10
|
120
|
|
Участие в выставке (3 раза
в год)
|
25
|
75
|
|
ИТОГО:
|
35
|
195
|
Были выбраны именно эти формы рекламы, поскольку, согласно исследованиям,
именно они являются наиболее эффективными формами привлечения клиентов. Исследования, проведенные экономистами в журнале
"Новости торговли", показали что в условиях перехода России к
рыночным отношениям, увеличение товарооборота торговых предприятий в результате
грамотно проведенной рекламной компании в среднем колеблется от 5 до 15%.
Поскольку у ООО "Ярославский печатный двор" сумма товарооборота
достаточно велика, то будем исходить из среднего показателя - 7% в год.
Величина
прироста выручки, исходя из показателя 2009г., может составить порядка 2060
тыс.руб. (
). Соответственно, сумма чистого эффекта от введения
новых видов рекламы составит
(тыс.руб.). Сведем в
таблицу величину общего эффекта от внедрения всех предложенных мероприятий (см.
таблицу 13).
Таблица 13 - Расчет экономической эффективности предлагаемых мероприятий
|
Предложенные мероприятия
|
Сумма эффекта, тыс.руб.
|
|
1. Предоставление скидки по
дебиторской задолженности с введением в штат специалиста по дебиторской
задолженности
|
15823
|
|
2. Снижение управленческих
расходов (на 20%)
|
21964
|
|
3. Введение новых видов
рекламы
|
1865
|
|
ИТОГО:
|
39652
|
В результате мероприятий, предложенных в данном параграфе, с учетом
прироста предполагаемой выручки от рекламной компании, снижения себестоимости
за счет снижения управленческих расходов, а также снижения дебиторской и
кредиторской задолженности предприятие должно повысить свое финансовое состояние. Далее оценим изменение показателей
финансового состояния ООО "Ярославский печатный двор".
Оценим изменения показателей финансовой устойчивости по сравнению с
уровнем 2009г. при внедрении предложенных в параграфах 3.1 и 3.2 мероприятий
при прочих равных условиях. В расчетах учитывается, что величина дебиторской
задолженности сократится на 17000 тыс.руб., при этом будет погашена такая же
величина краткосрочной кредиторской задолженности. Результаты вычислений
представлены в таблице 14.
Таблица 14 - Относительные показатели финансовой устойчивости ООО
"ЯПД" в 2009г. и проектном году
|
Показатели (название
коэффициентов)
|
Норматив коэффициента
|
2009г.
|
Проектный год
|
Изменение (+,-)
|
|
1. Коэффициент финансовой
независимости (автономии)
|
0,5
|
0,19
|
0,42
|
0,23
|
|
2. Коэффициент финансовой
устойчивости
|
0,6
|
0,33
|
0,56
|
0,23
|
|
3. Коэффициент
маневренности собственного капитала
|
0,6
|
-1,54
|
-0,13
|
1,41
|
|
4. Коэффициент концентрации
привлеченного капитала
|
0,5
|
0,81
|
0,58
|
-0,23
|
|
5. Коэффициент соотношения
заемных и собственных средств
|
4,321,36-2,95
|
|
|
|
|
6 .Коэффициент обеспечения
текущих активов собств. источниками
|
0,1
|
-0,55
|
-0,19
|
0,36
|
|
7. Коэффициент обеспечения
запасов собственными средствами
|
0,6-0,8
|
-1,13
|
-0,21
|
0,92
|
|
8. Коэффициент соотношения
текущих и внеоборотных активов
|
|
1,09
|
0,60
|
-0,49
|
|
9. Коэффициент
долгосрочного привлечения капитала
|
|
0,42
|
0,25
|
-0,18
|
|
10. Индекс постоянного
актива
|
|
2,54
|
1,13
|
-1,41
|
На основе полученных результатов можно сделать следующие выводы.
Приблизятся к нормативным значениям коэффициенты финансовой независимости и
финансовой устойчивости. Соответственно, доля собственного капитала в валюте
баланса возрастет на 23 процентных пункта, что покажет значительное усилении
возможностей ООО "Ярославский печатный двор" в его развитии. Также на
23 п.п. возрастет доля собственного капитала и долгосрочных обязательств в
валюте баланса, что будет свидетельствовать о значительном усилении финансовой
устойчивости ООО.
Собственные оборотные средства в 2009г. не покрывают текущие активы и
имеющиеся запасы и затраты. В проектном году величина собственных оборотных
средств также еще останется отрицательной, но значительно возрастет и
приблизится к нулевому значению. Это обеспечит значительный рост коэффициентов
маневренности собственного капитала, обеспеченности текущих активов
собственными источниками и обеспеченности запасов собственными средствами. Доля заемного капитала в валюте баланса (характеризующаяся
коэффициентом концентрации привлеченного капитала) в проектном году снизится на
23 п.п. и приблизится к нормативу, что свидетельствует о значительном усилении
финансовой независимости ООО "Ярославский печатный двор" от кредиторов. Коэффициент соотношения заемных и собственных средств
снизится до уровня 1,36, что свидетельствует о значительном снижении
зависимости ООО "Ярославский печатный двор" от инвесторов. На происходящие положительные изменения указывают также
снижение коэффициента соотношения текущих и внеоборотных активов, коэффициента
долгосрочного привлечения капитала и индекса постоянного актива. Таким образом, проведенный анализ относительных показателей
финансовой устойчивости ООО "Ярославский печатный двор" в проектном
году позволяет сделать вывод, что проведение предлагаемых мероприятий в
условиях деятельности ООО приведет к тому, что
финансовое положение предприятия значительно улучшится, оно станет более
устойчивым, а зависимость организации от внешних инвесторов и кредиторов
уменьшится. Большинство коэффициентов приблизится к нормативным значениям.
.2 Повышение ликвидности активов предприятия
Рассчитаем показатели абсолютной ликвидности баланса ООО
"Ярославский печатный двор" в проектном году и сравним их со значениями
2009г. (см. таблицу 15).
Таблица 15 - Расчет показателей абсолютной ликвидности баланса ООО
"ЯПД" в 2009г. и в проектном году
|
Актив
|
Пассив
|
Платежный излишек (+),
недостаток (-)
|
|
Группы активов по степени
ликвидности
|
Суммы, тыс.руб.
|
Группы пассивов по
нарастанию сроков погашения обязательств
|
Суммы, тыс.руб.
|
|
|
в 2009г.
|
проектный год
|
|
в 2009г.
|
проектный год
|
в 2009г.
|
проектный год
|
|
А1-наиболее
ликвидные активы
|
1505
|
18505
|
П1-наиболее
срочные обязательства
|
48756
|
31756
|
-47251
|
-13251
|
|
А2 - быстро
реализуемые активы
|
17781
|
781
|
П2-
краткосрочные пассивы к погашению в течении 12 мес.
|
0
|
0
|
17781
|
781
|
|
А3-медленно
реализуемые активы
|
18512
|
18512
|
П3-долгосрочные
пассивы
|
10014
|
10014
|
8498
|
8498
|
|
А4- трудно
реализуемые активы
|
34591
|
34591
|
П4 - постоянные
пассивы
|
13619
|
30619
|
-20972
|
-3972
|
|
Валюта баланса
|
72389
|
72389
|
Валюта баланса
|
72389
|
72389
|
Х
|
Х
|
Можем видеть, что в результате проведения предлагаемых мероприятий
существенно сократится недостаток и высоколиквидных и низколиквидных средств.
Это означает, что ликвидность баланса ООО "Ярославский печатный двор"
значительно возрастет.
Рассчитаем относительные показатели ликвидности в таблице 16.
Таблица 16 - Расчет относительных показателей ликвидности ООО
"Ярославский печатный двор" в 2009г. и проектном году
|
Название коэффициента
|
Норматив коэффициента
|
2009г.
|
Проектный год
|
Изменение (+,-)
|
|
1. Абсолютной ликвидности
|
0,2
|
0,031
|
0,583
|
0,552
|
|
2. Быстрой (промежуточной)
ликвидности
|
0,7- 0,8
|
0,40
|
0,61
|
0,21
|
|
3. Общей (текущей)
ликвидности
|
>2,0
|
0,78
|
1,19
|
0,42
|
|
4. Коэффициент маневренности
функционирующего капитала
|
>0,5
|
-1,69
|
3,06
|
4,75
|
|
5. Доля оборотных средств в
валюте баланса
|
>0,5
|
0,52
|
0,52
|
0,00
|
|
6. Коэффициент
обеспеченности текущих активов собственными средствами
|
>0,1
|
-0,55
|
-0,11
|
0,45
|
|
7. Коэффициент
восстановления платежеспособности
|
>1,0
|
0,63
|
Х
|
|
8. Коэффициент утраты
платежеспособности
|
>1,0
|
0,61
|
Х
|
Проанализируем полученные коэффициенты. Коэффициент абсолютной
ликвидности в проектом году составляет 0,583, т.е. предприятие может сразу (немедленно) заплатить 58,3% долга - можем наблюдать
превышение нормативного значения коэффициента абсолютной ликвидности (20%)
почти в 3 раза.
Значительный рост претерпевают коэффициенты промежуточной ликвидности
(рост 21%) и коэффициент текущей ликвидности (рост 42% .). Это свидетельствует
о возможном значительном росте платежеспособности ООО "Ярославский
печатный двор".
Рост всех остальных коэффициентов также свидетельствует о том, что
проведение предлагаемых мероприятий существенно повысит платежеспособность и
финансовую устойчивость ООО "ЯПД".
Для итоговых выводов рассчитаем показатели скорингового анализа
финансовой устойчивости. Данные внесем в таблицу 17.
Таблица 17 - Расчет показателей скорингового анализа финансовой
устойчивости ООО "Ярославский печатный двор" в 2009г. и проектом году
|
Показатели финансовой
устойчивости
|
Уровень показателей
(среднегодовых)
|
Балльная оценка показателей
|
|
2009г.
|
проектный год
|
2009г.
|
Проектный год
|
|
1. Рентабельность
авансированного (совокупного) капитала, %
|
5,98
|
60,76
|
13,3
|
50,0
|
|
2. Коэффициент текущей
ликвидности
|
0,48
|
0,78
|
0,0
|
0,0
|
|
3. Коэффициент финансовой
зависимости
|
0,81
|
0,58
|
20,0
|
15,4
|
|
Итого баллов
|
33,3
|
65,4
|
Результат вычислений позволяет "переместить" анализируемое
предприятие из условного класса IV
("предприятия с высоким риском банкротства даже после принятия мер по
финансовому оздоровлению") в 2009г. в класс II - класс предприятий с
определенной степенью риска по долгам, но которые не рассматриваются как
рискованные.
Таким образом, в результате внедрения предлагаемых мероприятий, а именно:
) предоставление скидки по дебиторской задолженности с введением в штат
специалиста по дебиторской задолженности;
) снижение на 20% управленческих расходов (на 20%);
) введение новых видов рекламы,
ООО "Ярославский печатный двор" сможет значительно повысить
уровень платежеспособности и финансовой устойчивости; зависимость от внешних
источников снизится; значительно возрастете уровень рентабельность деятельности
предприятия. ООО "Ярославский печатный двор" можно будет отнести к
классу предприятий с определенной степенью риска по долгам, но которые не
рассматриваются как рискованные. В целом финансовое состояние организации
значительно улучшится.
ЗАКЛЮЧЕНИЕ
В данной дипломной работе был проведен анализ финансового состояния
общества с ограниченной ответственностью "Ярославский печатный двор".
Финансовое состояние представляет собой совокупность показателей,
отражающих наличие и эффективность размещения и использования финансовых
ресурсов. Анализ финансового состояния предприятия относится к числу наиболее
важных экономических проблем в условиях перехода к рынку. Если предприятие
финансово устойчиво и платежеспособно, то оно имеет преимущества перед другими
предприятиями того же профиля в привлечении инвестиций, в получении кредитов, в
выборе поставщиков и подборе квалифицированных кадров.
Финансовое состояние предприятия может быть оценено различными методами,
в том числе с помощью абсолютных и относительных показателей (коэффициентов).
По результатам расчетов коэффициентов финансово-экономической эффективности
делается вывод об эффективности производства и реализации продукции и о
финансовом положении предприятия. На основе анализа разрабатывается система мер
по повышению, стабилизации или закреплению финансово-экономической
эффективности производства и реализации продукции.
Основным видом деятельности ООО "Ярославский печатный двор"
является выпуск различного рода полиграфической продукции, а также разработка
дизайна печатной продукции.
В анализируемый период 2007-2009гг. наблюдается тенденция роста выручки
(на 30,97%), снижения себестоимости продукции на (19,02%), роста валовой
прибыли (на 81,29%), прибыли от продаж (в 2,33 раза). Уровень рентабельности
продукции и продаж невысоки.
Анализ имущественного состояния ООО "Ярославский печатный двор"
за период 2007-2009гг. показал, что за анализируемые три года произошло
существенное изменение структуры баланса. Имущество предприятия увеличилось на
сумму 33957 тыс.руб. или на 88,4% по сравнению с началом периода. Увеличение
валюты баланса означает расширение хозяйственного оборота предприятия в
рассматриваемый период и способствует укреплению его платежеспособности.
Положительно оценки заслуживает увеличение в активе баланса денежных средств и
основных средств. Но при этом доля ликвидных активов в балансе низка, а
труднореализуемых активов велика.
Тревожным фактором является повышение дебиторской задолженности в активах
предприятия, т.е. долгов покупателей, старение дебиторских счетов. Это значит,
что либо предприятие проводит неразумную политику коммерческого кредита по
отношению к своим потребителям, либо сами потребители задерживают платежи.
За анализируемый период произошли существенные изменения в структуре
капитала: увеличилась сумма и собственного и заемного капитала. Сумма заемных
средств увеличилась на 26441 тыс.руб. или на 81,79%. Доля долгосрочных
обязательств в структуре капитала возросла на 13,77%, а доля краткосрочных
обязательств снизилась на 16,70%. Увеличение долгосрочных обязательств
свидетельствует о том, что ООО "Ярославский печатный двор" стремится
повысить устойчивость своего финансового положения.
Расчет коэффициентов ликвидности показал, что коэффициент текущей
ликвидности очень низок: он составил 0,015 в конце 2007г. и 0,031 к концу
2009г. (рекомендуемое значение - 2,0).
Коэффициент обеспеченности текущих активов собственными средствами имеет
значение ниже 0. Это, вместе с коэффициентом текущей ликвидности, является
основанием для признания структуры баланса хозяйства неудовлетворительной, а
само предприятие - неплатежеспособным.
Коэффициент восстановления платежеспособности ООО "Ярославский
печатный двор" ниже единицы. Это свидетельствует о том, что предприятие в
ближайшее время не имеет реальной возможности восстановить платежеспособность.
Коэффициент утраты платежеспособности ниже единицы. Поэтому предприятию грозит
дальнейшая утрата платежеспособности.
Таким образом, по результатам анализа показателей платежеспособности
(ликвидности) ООО "Ярославский печатный двор" является неплатежеспособной
организацией, структура его баланса неудовлетворительна.
По результатам скорингового анализа по методу Д. Дюрана можно сделать
вывод, что к концу 2009г. хозяйство относилось к четвертому классу риска по
степени банкротства, в который входят предприятия с высоким риском банкротства
даже после принятия мер по финансовому оздоровлению.
Рассмотрев итоги финансового состояния ООО "Ярославский печатный
двор" в динамике за три года, можно сделать общий вывод, что финансовое
состояние предприятия является неудовлетворительными при всех происходящих
изменениях остается неустойчивым. Имеется высокий риск банкротства.
Для усовершенствования работы ООО "ЯПД" нужно искать пути по
повышению экономической эффективности его деятельности. Для улучшения финансового
состояния предлагается проведение следующих мероприятий:
) предоставление скидки по дебиторской задолженности с введением в штат
специалиста по дебиторской задолженности;
) снижение на 20% управленческих расходов (на 20%);
) введение новых видов рекламы.
Суммарная величина эффекта от проведенных мероприятий может составить
39652 тыс.руб. Кроме того улучшатся все показатели финансового состояния ООО
"ЯПД":
увеличится величина собственных оборотных средств;
значительно сократится доля заемного капитала в валюте баланса;
коэффициент абсолютной ликвидности вырастет до значения 0,583;
организация перейдет в класс предприятий с определенной степенью риска по
долгам, но которые не рассматриваются как рискованные
Таким образом, в результате внедрения предлагаемых мероприятий ООО
"Ярославский печатный двор" сможет значительно повысить уровень
платежеспособности и финансовой устойчивости; зависимость от внешних источников
снизится; значительно возрастете уровень рентабельность деятельности предприятия.
В целом финансовое состояние организации значительно улучшится.
СПИСОК ИСПОЛЬЗОВАННОЙ ЛИТЕРАТУРЫ
1. Гражданский кодекс Российской Федерации (ч. 1, 2, по
состоянию на 15.08. 2009) - М.: Юрайт, 2009. - 392с.
. Налоговый Кодекс Российской Федерации (ч. 1 и 2 по состоянию
на 1 сентября 2006) // Консультант Плюс.
. О бухгалтерском учете. Федеральный закон РФ от 21.11.96г. №
129-ФЗ. // Консультант Плюс.
. Положение по бухгалтерскому учету "Бухгалтерская
отчетность организации" ПБУ 4/99. / утв. приказом Минфина от 6 июля 1999
г. № 43н. // Консультант Плюс.
. О формах бухгалтерской отчетности организаций. Приказ
Министерства финансов РФ от 22 июля 2003 г. № 67н. // Консультант Плюс.
. Об обществах с ограниченной ответственностью. Федеральный
закон РФ 08.02.1998г. №14-ФЗ. // Консультант Плюс.
. Методические указания по проведению анализа финансового
состояния организаций. Приказ Федеральной службы России по финансовому
оздоровлению и банкротству от 23.01.2001 г.
8. Абрютина М.С. Анализ
финансово-экономической деятельности предприятия: Учебно-экономическое пособие.
- 2-е изд., испр. / М.С. Абрютина, А.В. Грачев. - М.: Издательство "Дело и
сервис", 2007. - 256 с.
9. Архипов, В. Стратегия выживания предприятий. // Вопросы
экономики
10. Балабанов И.Т. Основы финансового менеджмента. - изд.
3-е, стер. - М.: Экономика, 2008. - 526с.
. Батракова Л.Г. Экономический анализ деятельности
коммерческого предприятия. / Л.Г. Батракова. - М.: Логос, 2008. - 572 с.
. Бердникова Т.Б. Анализ и диагностика
финансово-хозяйственной деятельности предприятия: учеб. пособие. - М.: Инфра,
2007. - 215 с.
. Васильев О.П. Экономика, организация и планирование
производства. / О.П. Васильев. - М.: Высшая школа, 2006. - 240 с.
. Вахрушина М.А. Управленческий анализ. - 6-е изд., испр. /
М.А. Вахрушина. - М.: Омега-Л, 2010. - 400 с.
. Гиляровская Т.Л. Комплексный экономический анализ
хозяйственной деятельности. Учебное пособие. / Гиляровская Т.Л., Д.В. Лысенко,
Д.А. Ендовицкий. - М.: ЮНИТИ-ДАНА, 2007. - 615 с.
. Грищенко О.В. Анализ и диагностика финансово-хозяйственной
деятельности предприятия: Учебное пособие. / О.В. Грищенко. - Таганрог: Изд-во
ТРТУ, 2007. - 328 с.
17. Грузинов В.П. Экономика предприятия. / В.П. Грузинов,
В.Д. Грибов. - М.: Финансы и статистика, 2006. - 208 с.
18. Жарковская Е.П. Антикризисное управление. - 5-е изд.,
перераб. / Е.П. Жарковская, Б.Е. Бродский, И.Б. Бродский. - М.: Финансы и
статистика
19. Зайцев Н.Л. Экономика промышленного предприятия: Учебник.
- 6-е изд., перераб. и доп. / Н.Л. Зайцев. - М.: ИНФРА-М, 2008. - 414 с.
20. Киров А.В. Принципы интегрированной системы управления
финансовой устойчивостью фирмы. // Финансовый вестник. - 2011. - №3. - С.12-15.
21. Ковалев В.В. Анализ хозяйственной деятельности. / В.В.
Ковалев, О.Н. Волкова. - М.: ПБОЮЛ, 2007. - 424 с.
. Ковалев В.В. Финансовый анализ: методы и процедуры. / В.В.
Ковалев. - М.: Финансы и статистика, 2006. - 556 с.
23. Крылов С.И. Анализ финансовых результатов коммерческой
организации по данным отчета о прибылях и убытках. // Финансовый вестник. -
2010
24. Крылов С.И. Методика оценки платежеспособности и
ликвидности коммерческой организации. // Финансовый вестник. - 2010. - №9. -
С.16-21.
25. Лысенко Д.В. Экономический анализ. Учебник / Д.В.
Лысенко. - М.: Велби, 2008. - 320 с.
. Любушин Н.П., Лещева В.Б., Дьякова Г.В. Анализ
финансово-экономической деятельности предприятия. Учебное пособие для вузов. -
М.: ЮНИТИ-ДАНА, 2007. - 472 с.
. Маркарьян Э.А. Экономический анализ хозяйственной
деятельности: учебное пособие / Э.А. Маркарьян, Г.П. Герасименко, С.Э.
Маркарьян. - М.: КНОРУС, 2009. - 560 с.
28. Маркова В.Д. Разработка стратегии развития предприятия -
требование времени. // ЭКО. - 2008. - №8. - С.61-68.
29. Маренков Н.Л. Экономический анализ: учебник. / Н.Л.
Маренков. - М.: Феникс, 2008. - 416 с.
. Пласкова Н.В. Экономический анализ. Учебник / Н.В.
Пласкова. М.: Эксмо, 2007. - 244 с.
. Пласкова Н.С. Анализ результативности производства и
реализации продукции. // Вестник МГУПИ, 2007, № 8. - с.18-20.
. Прыкина Л.В. Экономический анализ предприятия. - М.:
ЮНИТИ-ДАНА, 2006. - 408 с.
. Савицкая Г.В. Анализ хозяйственной деятельности
предприятия: Учебное пособие. - Мн.: Новое знание, 2007. - 704 с.
. Савицкая, Г.В. Теория анализа хозяйственной деятельности. /
Г.В. Савицкая. - М.: Инфра-М, 2007. - 288 с.
35. Селезнева Н.Н., Ионова А.Ф. Финансовый анализ. Управление
финансами: учебное пособие для ВУЗов. / 3-е изд. - М.: Юнити-Дана, 2006
36. Семенов А.М. Управление дебиторской задолженностью - это
просто. // Финансовый вестник. - 2010. - №10. - С.14-17.
37. Шеремет А.Д., Сайфулин Р.С. Финансы предприятий. - М.:
ИНФРА-М
38. Финансы организаций (предприятий): учебное пособие. /
А.Н. Гаврилова, А.А. Попов. - изд. 4-е, стер. - М.: КНОРУС, 2008. - 576 с.
. Экономический анализ: Учебник для вузов. / Под ред. Л.Т.
Гиляровской. - М.: Юнити-Дана, 2009. - 615 с.