Расчет трехфазной синхронной машины
Содержание
Введение
.
Определение главных размеров двигателя
.
Расчет сердечника и обмоток статора
.
Расчет параметров воздушного зазора
.
Расчет параметров полюсов ротора
.
Расчет параметров пусковой обмотки
.
Расчет магнитной цепи
.
Расчет параметров обмотки статора
.
Определение МДС обмотки возбуждения
.
Расчет параметров обмотки возбуждения
.
Потери мощности. КПД и статическая перегружаемость двигателя
.
Тепловой расчет
Заключение
Список
используемых источников
Введение
Строение двигателя СДН 2. Корпус статора сварной
из листовой конструкционной стали. Он состоит из стоек, соединенных между собой
продольными ребрами жесткости, опорных лап и наружной обшивки. В обшивке
корпуса имеются окна с жалюзи и решетками для воздуха.
Сердечник статора состоит из пакетов-сегментов,
собранных из штампованных листов электротехнической стали толщиной 0,5 мм.
Пакеты разделены вентиляционными каналами шириной 10 мм каждый, образованными
распорками. Сердечник запрессован в корпус статора и закреплен нажимными
шайбами (кольцами), соединенными стяжными шпильками.
Обмотка статора двухслойная, петлевая, с
изоляцией класса нагревостойкости В. Лобовые части обмотки статора (основной и
дополнительной) крепятся к изолированным бандажным кольцам. Пазовая часть
обмотки статора удерживается в прямоугольных пазах гетинаксовыми клиньями.
Вводное устройство обмотки статора состоит из
корпуса с крышкой и четырех опорных изоляторов. Обмотка статора имеет шесть
выводных концов, три из которых (начала фазных обмоток) крепятся к
соответствующим изоляторам, а три (концы фазных обмоток) соединены вместе на
четвертом изоляторе, образуя нулевую точку. В двигателях мощностью 3200 и 4000
кВт имеются два вводных устройства: одно для начал обмоток фаз, а другое - для
концов. В этом случае устройства расположены по обе стороны корпуса двигателя.
Остов ротора явнополюсных синхронных машин может
быть шихтованным или сварным. Сердечники полюсов, шихтованные из листовой стали
толщиной 1,0 или 1,4 мм. Пакет сердечника каждого полюса скрепляют посредством
литых нажимных щек и заклепок. Если остов ротора сварной, то сердечники полюсов
крепятся шпильками. При этом сердечник полюса имеет массивный центральный
стержень, в который ввертывают крепящие полюс шпильки. Если остов ротора
шихтованный, то сердечники имеют Т-образные хвостовики, с помощью которых
полюсы крепятся на остове. На ротор установлены вентиляционные лопатки.
Обмотка ротора состоит из полюсных катушек,
изготовленных из полосовой меди, намотанной «на ребро». Катушки имеют
межвитковую изоляцию из асбестовой бумаги. Корпусная изоляция катушек имеет
класс нагревостойкости B
или F.
Пусковая обмотка состоит из латунных и медных
стержней, расположенных в полуоткрытых пазах полюсных наконечников и припаянных
к дугообразным медным сегментам, выполненным из полосовой меди, гнутой«плашмя».
Сегменты быстроходных двигателей соединены встык накладками. Накладки имеют
дополнительное крепление к остову ротора. Сегменты тихоходных двигателей
соединены между собой внахлест. Соединенные между собой сегменты образуют
короткозамыкающие кольца пусковой клетки.
Контактные кольца стальные подвесного типа,
крепятся на конце вала за подшипниковым узлом. Снаружи узел контактных колец
прикрыт съемным стальным кожухом.
В двигателях применены графитные
щетки марки Г-3 или электрографитные марки ЭГ-4 размером 
. Конструкция щеткодержателей
обеспечивает равномерное прижатие щеток к кольцам и позволяет регулировать
давление на щетку. Траверса для крепления щеткодержателей состоит из двух шин,
которые крепятся изолированными шпильками к корпусу подшипника.
Корпус статора с торцевых сторон
прикрыт предохранительными стальными щитами, которые закрывают лобовые части
обмотки статора и ротор. Щиты двигателей серии СДН 2 имеют отверстия для входа
охлаждающего воздуха, защищенные жалюзи и решетками.
Двигатель выполнен без фундаментной
плиты, а стояковые подшипники установлены на подшипниковых полущитах,
приваренных к нижней части корпуса статора.
В двигателе применены подшипники
скольжения с кольцевой смазкой.
Высота оси вращения для всех
двигателей серии СДН 2 составляет 630 мм. Охлаждение - воздушное. Двигатели
мощностью от 315 до 1250 кВт при частоте вращения 300, 375 и 500 об/мин имеют
согласную аксиально-радиальную вентиляцию, а двигатели мощностью 630-4000 кВт с
частотой вращения 600, 750 и 1000 об/мин имеют согласную радиальную вентиляцию.
В двигателях серии СДН 2 роль вентиляторов выполняют лопатки, прикрепленные к
ободу ротора.
В двигателях серии СДН 2 контроль
температуры статора осуществляется термометрами сопротивления, закладываемыми в
пазы. Температура вкладышей подшипников скольжения контролируется встроенными в
подшипники термометрами сопротивления.
Синхронные двигатели серий СДН 2 и
СДН 32.
Эти двигатели предназначены для
привода вентиляторов, насосов, мельниц и других механизмов, не требующих
регулирования частоты вращения. Двигатели этих серий выполняются 16-го и 17-го
габаритов с наружными диаметрами сердечников статоров 1180 и 1430 мм. Двигатели
рассчитаны для включения в трехфазную сеть частотой 50 Гц и напряжением6000 В.
Двигатели изготавливаются на
мощности от 315 до 4000 кВт при частотах вращения от 300 до 1000 об/мин и
предназначены для работы с опережающим током при коэффициенте мощности 
.
Двигатели серии СДН 2 имеют
исполнение по степени защиты IP11, а двигатели серии СДН 32
- исполнение IP43.
Возбуждение двигателей осуществляется от тиристорных преобразователей с автоматическим
регулированием тока возбуждения при пуске и остановке двигателей, а также при
их аварийных отключениях.
Электротехническая промышленность
является одной из важнейших отраслей народного хозяйства. Широкая сфера
применения электротехнических изделий, их огромное значение для процессов
производства и потребления электрической энергии, а так же в развитии
механизации и автоматизации производственных процессов делают
электротехническую промышленность ключевой отраслью, определяющей
научно-технический прогресс.
Электромашиностроение - это основная
отрасль электротехнической промышленности, изготовляющая генераторы для
производства электрической энергии и электродвигатели для привода станков,
механизмов, транспортных средств, бытовых электроустройств и т.д.
Проектирование электрической машины - это
сложная комплексная задача, включающая расчет и выбор размеров статора, ротора
и других элементов электрической машины и конструирование деталей и сборочных
единиц с последующей компоновкой электрической машины в целом.
В данной работе будет произведен расчёт
синхронного двигателя СДН 2 - 17 - 51 - 10.
1. Определение главных размеров
двигателя
двигатель статор ротор мощность
По данным номера габарита - 17,
выбираем наружный диаметр сердечника статора 
; высота оси вращения h = 630 мм.
Внутренний диаметр сердечника
статора
при 2p=10
принимаем 
Расчетная мощность двигателя
где 
при 
Предварительные значения
максимальной магнитной индукции в воздушном зазоре 
и линейной нагрузки 
принимаем по рис. 1, б при полюсном
делении
Рис. 1 Рекомендуемые значения
магнитной индукции 
и линейной нагрузки 
для явнополюсных синхронных машин:
а - мощность до 100 кВт; б -
мощность более 100 кВт.
Расчетная длина сердечника статора
где предварительные значения
коэффициентов принимаем:
Коэффициент длины сердечника статора
что находится в пределах рекомендуемых значений
при 2p=10
Фактическая длина сердечника статора
2.
Расчет сердечника и обмоток статора
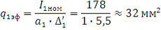
Номинальный ток статора
где фазное напряжение
(схема соединения обмотки статора -
звезда). Число параллельных ветвей обмотки статора принимаем 
Число пазов сердечника статора: по
рис. 2 для 17-го габарита при
Рис. 2 Предельные значения зубцового
деления 
для синхронных явнополюсных машин:
- 13-й и 14-й габариты; 2 - 16-й и
17-й габариты; 3 - 18 - 21-й габариты.

;
и соответствующие им максимальное и
минимальное числа пазов
Результаты расчета хорды 
, числа пазов на полюс и фазу

, числа эффективных проводников в
пазу
, зубцового деления
и фактического значения линейной
нагрузки 
сведены в табл. 1.
Таблица 1
|
№
|
Число
пазов  Число сегментов    
|
|
|
|
|
|
|
|
|
1
|
84
|
6
|
14
|
715
|
|
40,5
|
12
|
528
|
|
2
|
96
|
6
|
16
|
715
|
|
35,8
|
10
|
503
|
Вариант №2 является более
целесообразным, так как ему соответствует меньшее число эффективных проводников
в пазу (
), что обеспечивает лучшее
заполнение пазов статора медью, поэтому для дальнейшего расчета принимаем
вариант №2(
)
Поперечное сечение эффективного
проводника обмотки статора
где предварительное значение
плотности тока принимаем 
Так как 
, то эффективный проводник разделяем
на элементарные, т. е. принимаем 
Принимаем обмоточный провод
прямоугольного сечения 16,75 мм2 с размерами сторон 
. Учитывая, что проектируемая машина
является высоковольтной, принимаем обмоточный провод с эмалево-волокнистой
изоляцией марки ПЭТВСД 
Изоляция паза выполняется в
соответствии с табл. 2. При 5
проводниках в катушке, уложенных по одному по ширине паза, с учетом допуска на
укладку толщина изоляции в пазу равна: по ширине 
, по высоте 
Размеры паза в свету:
ширина паза
где 
высота паза
где 
принимается 
Уточненное значение плотности тока в
обмотке статора
Максимальная магнитная индукция в
зубце и спинке статора
что находится в допустимом пределе 
где 
- высота спинки статора
что находится в допустимом пределе 
Число последовательно соединенных
витков в фазе обмотки статора
Шаг обмотки статора
Относительный шаг
Табл. 2 Изоляция катушек обмоток статора машин
переменного тока на напряжение до 10 кВ (класс нагревостойкости В)
Обмоточный коэффициент
где 
и 
определяем по формулам
где 
, т. е. 
.
3. Расчет параметров воздушного зазора
Относительное значение индуктивного
сопротивления обмотки статора по продольной оси 
по рис. 3 при 

Минимальное значение воздушного
зазора (по оси полюса)
Зазор по краям полюсного наконечника
Среднее значение зазора
4.
Расчет параметров полюсов ротора
Высота полюсного наконечника по рис.
4 при 
Ширина полюсного наконечника
Высота сердечника полюса
Рис. 4 Рекомендуемые значения высоты
полюсного наконечника 
:
- с пусковой клеткой; 2 - без нее.
Длина сердечника полюса 
и полюсного наконечника 
Расчетная длина сердечника полюса
Коэффициент рассеяния полюсов ротора
где 
при 
Ширина сердечника полюса
где 
- коэффициент заполнения сердечника
полюса сталью
Длина обода
Предварительно 
Высота обода
где 
5. Расчет параметров пусковой клетки
Число стержней пусковой клетки на
один полюс принимаем 
Поперечное сечение одного стержня
где 
Диаметр стержня
Тогда сечения стержня пусковой
клетки
Длина стержня пусковой клетки
Зубцовый шаг на полюсном наконечнике
ротора
Проверка условия 
т. е. 
Пазы на роторе принимаем круглыми
полузакрытыми, диаметр паза
где 
- припуск на штамповку и укладку
стержней в пазы
ширина шлица 
высота шлица 
Сечение короткозамыкающего сегмента
Принимаем медную шину с размерами 
и 
сечение шины 
6. Расчет магнитной цепи
Полезный магнитный поток
где 
при 
, 
, 
принимаем 
Магнитная индукция в воздушном
зазоре
Коэффициент воздушного зазора
где 
- коэффициент воздушного зазора
статора
где 
- коэффициент воздушного зазора
Магнитное напряжение воздушного
зазора
Магнитное напряжение зубцового слоя
статора.
Для сердечника статора выбрана
тонколистовая холоднокатаная электротехническая сталь марки 2013 толщиной 0,5
мм.
Магнитная индукция в наименьшем
сечении зубца
Так как 
, то расчет магнитного напряжения
ведем по магнитной индукции в сечении зубца на высоте 
от его наиболее узкого места, где
ширина зубца равна
Магнитная индукция в сечении зубца 
Напряженность поля в зубце при 
Магнитное напряжение зубцового слоя
Магнитное напряжение зубцового слоя
ротора. Полюсы с полюсными наконечниками выполнены из конструкционной стали
марки Ст толщиной 1 мм.
Ширина зубца на расстоянии 
от поверхности полюсного
наконечника
где высота зубца ротора 
Магнитная индукция в зубце ротора
Напряженность поля в зубце ротора
при магнитной индукции
Магнитное напряжение зубцового слоя
ротора
Магнитное напряжение спинки статора
Магнитная индукция в спинке статора
Напряженность поля в спинке статора
при 
Длина средней силовой линии в спинке
статора
Магнитное напряжение спинки статора
где 
по рис. 5 равен 0,39
Рис. 5 Зависимость 
от 
Коэффициент магнитного насыщения
где
Магнитное напряжение полюса
Коэффициент магнитного рассеяния
полюсов ротора
Магнитная индукция в основании
полюса
Напряженность поля в полюсе при 
Магнитное напряжение полюса
Магнитное напряжение обода
Магнитная индукция в ободе
Напряженность поля в ободе при 
Длина средней силовой линии в ободе
Магнитное напряжение обода
Магнитное напряжение стыка между
полюсом и ободом
Магнитное напряжение ротора (без
зубцового слоя)
Магнитодвижущая сила обмотки
возбуждения на пару полюсов в режиме холостого хода при ЭДС 
7.
Расчет параметров обмотки статора
Средняя длина витка обмотки статора
где 
- средняя длина лобовой части
обмотки статора
Активное сопротивление одной фазы
обмотки статора при расчетной температуре 
где 
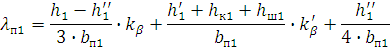
Коэффициент магнитной проводимости
пазового рассеяния

Рис. 6 К определению коэффициентов 
и 
Коэффициент магнитной проводимости
дифференциального рассеяния
Коэффициент магнитной проводимости
рассеяния лобовых частей обмотки статора
Коэффициент магнитной проводимости
рассеяния обмотки статора
Индуктивное сопротивление рассеяния
фазы обмотки статора
Индуктивное сопротивление рассеяния
обмотки статора в относительных единицах
Магнитодвижущая сила обмотки статора на пару
полюсов при номинальной нагрузке
Индуктивное сопротивление взаимной индукции по
продольной оси в относительных единицах
по рис. 7, б при 
и
получаем 
и 
Коэффициент магнитного насыщения при

Индуктивное сопротивление взаимной
индукции по поперечной оси в относительных единицах
Рис. 7 К определению коэффициентов
приведения 
и 
:
а - при равномерном зазоре; б - при
неравномерном зазоре
Синхронное индуктивное сопротивление
обмотки статора по продольной оси в относительных единицах
Синхронное индуктивное сопротивление
обмотки статора по поперечной оси в относительных единицах
8.
Определение МДС обмотки возбуждения
Строим характеристики намагничивания

и 
Строим векторную диаграмму тока и
ЭДС при номинальной нагрузке двигателя
Принимаем масштаб напряжений 
, тогда длина вектора напряжения 
, а вектор падения напряжения в
индуктивном сопротивлении
Что касается вектора падения
напряжения в активном сопротивлении, то в принятом масштабе 
его длина составляет менее 3 мм, а
поэтому на векторной диаграмме этот вектор не показан.
Угол 
. После соответствующих построений
определяем вектор ЭДС двигателя при нагрузке: 
. В относительных единицах эта ЭДС 
Затем по графику 
(рис. 8) определяем коэффициент
магнитного насыщения 
, соответствующий ЭДС 
, т.е. 
.
Рис. 8 Зависимость 
от 
Пользуясь этим значением
коэффициента насыщения, по рис. 9 определяем коэффициенты 
; 
и 
Определяем МДС
где 
; 
Отложив на оси абсцисс графика 
величину 
, определим 
или, переходя к абсолютным единицам
измерения, получим 
Отложив на продолжении вектора 
вектор 
длиной

Получим на векторной диаграмме
точку Q. Проведя
прямую OQ, получим
угол 
При этом 
и 
Рис. 9 Зависимости 
, 
и 
от 
Опустив перпендикуляр из конца
вектора 
на линию OQ, определяем
векторы ЭДС 
и 
Отложив на оси ординат графика 
значения

получим соответствующее значение
МДС, равное 
Магнитодвижущая сила продольной
реакции якоря с учетом размагничивающего действия МДС реакции якоря по
поперечной оси
По графику 
, отложив на оси абсцисс сумму МДС
найдем значение магнитного потока
при нагрузке 
, а затем по графику 
определим сумму магнитных напряжений
в роторе при нагрузке 
Магнитодвижущая сила обмотки
возбуждения при нагрузке двигателя на пару полюсов в относительных единицах
в абсолютных единицах
9. Расчет параметров обмотки
возбуждения
Принимаем обмотку возбуждения из
однослойных полюсных катушек, лобовые части которых имеют форму полуокружности
Средняя длина витка катушки
где 
- толщина изоляции между
сердечником полюса и катушкой, принимается от 1,5 до 2 мм; 
- предварительное значение ширины
проводника катушки: 
Для питания обмотки возбуждения
двигателя принимаем возбудительное устройство типа ТВУ-65-320 (номинальное
напряжение 65 В, ток 320 А)
Напряжение непосредственно на
обмотке возбуждения
Предварительное значение сечения
медного провода полюсной катушки
где 
; 
Ток возбуждения
где 
Число витков в катушке возбуждения
Меньший размер прямоугольного
провода полюсной катушки
Максимально допустимая ширина
провода
Принимаем провод сечением 
с размерами
Фактическая плотность тока в катушке
возбуждения
Превышение температуры полюсной
катушки
где 
Уточненное значение высоты полюса
т. к. полученное значение 
отличается от ранее принятого (160
мм) лишь на 0,12 %, то пересчета магнитного напряжения в сердечнике полюса не
требуется.
Активное сопротивление обмотки
возбуждения при расчетной температуре (
)
10. Потери мощности. КПД и статическая
перегруженность двигателя
Электрические потери в обмотке
статора
Потери на возбуждение
Расчетная масса стали зубцового слоя
статора
где площадь паза статора 
Расчетная масса стали спинки статора
Магнитные потери в зубцах сердечника
статора
где
для стали марки 2013 при толщине
0,5 мм равно 
Магнитные потери в зубцах сердечника
статора
Магнитные потери в сердечнике
статора
Магнитные потери
Добавочные поверхностные потери в
полюсных наконечниках ротора
Добавочные потери при номинальной
нагрузке двигателя
где предварительное значение подводимой
мощности в номинальном режиме
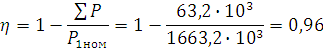
Общие потери в номинальном режиме
работы двигателя
КПД двигателя при номинальной
нагрузке
где 
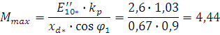
Статическая перегруженость двигателя
где 
по рис. 10 при 
Рис. 10 К определению ЭДС 
и 
по рис. 11 при 

Рис. 11 Зависимость 
от
11. Тепловой расчет
Превышение температуры поверхности
сердечника статора над температурой охлаждающего воздуха
при 
Перепад температуры в изоляции
пазовой части обмотки статора
где 
- односторонняя толщина изоляции в
пазу статора (табл. 2) 
; для изоляции класса
нагревостойкости В
; 
Превышение температуры внешней
поверхности лобовых частей обмотки статора над температурой воздуха внутри
двигателя
Среднее превышение температуры
обмотки статора над температурой охлаждающей среды
что не превышает допустимое
превышение температуры обмотки статора при классе нагревостойкости изоляции В (
) по ГОСТ 183 - 74.
Заключение
Проектирование электрической машины - это
сложная комплексная задача, включающая расчет и выбор размеров статора, ротора
и других элементов электрической машины и конструирование деталей и сборочных
единиц с последующей компоновкой электрической машины в целом.
Проектирование электрической машины - это
решение задачи со многими неизвестными. Потому в результате проектирования при
одних и тех же исходных данных можно получить несколько вариантов машины.
Выбор оптимального варианта получается в
результате сравнения всех полученных вариантов.
В данной курсовой работе был спроектирован
двигатель СДН 2 - 17 - 51 - 10. Этот двигатель предназначен для привода механизмов,
не требующих регулирования частоты вращения - насосов, мельниц, вентиляторов и
т.п.
Список используемых источников
1.
Кацман М. М. Электрические машины. М.: Высшая школа, 1983. - 431 с.