Формирование речи у дошкольников

  • Вид работы:
    Дипломная (ВКР)
  • Предмет:
    Психология
  • Язык:
    Русский
    ,
    Формат файла:
    MS Word
    161,82 kb
  • Опубликовано:
    2011-11-28
Вы можете узнать стоимость помощи в написании студенческой работы.
Помощь в написании работы, которую точно примут!

Формирование речи у дошкольников















Формирование речи у дошкольников

Содержание

Введение

Глава 1. Теоретические основы формирования речи и  наглядно-образного мышления у дошкольников

.1 Характеристика речи как психического познавательного процесса

.2 Психологические особенности развития речи и мышления у детей дошкольного возраста

.3 Проблема речи и мышления ребенка в учении Ж. Пиаже

Глава 2. Эмпирическое исследование речи и наглядно-образного мышления у детей дошкольного возраста

.1 Программа и методики исследования

.2 Результаты исследования, их анализ и интерпретация Заключение

Литература

Приложения

ВВЕДЕНИЕ

Актуальность исследования обусловлена тем, что речь является одной из важнейших психических функций человека, область проявления присущей всем людям способности к познанию, самоорганизации, саморазвитию, к построению своей личности, своего внутреннего мира через диалог с другими личностями, другими мирами, другими культурами.

Речь - высшая форма речи мыслительной деятельности, которая определяет уровень речевого и умственного развития человека. Именно в речи реализуется её основная коммуникативная функция. Развитие речи является одной из центральных задач воспитания детей. Это обусловлено, прежде всего, ее социальной значимостью и важной ролью в формировании личности. Развитие речи детей, овладение богатствами родного языка составляет один из основных элементов формирования личности, освоения выработанных ценностей национальной культуры, тесно связано с умственным, нравственным, эстетическим развитием. Овладение ребёнком связной речью составляет важнейшее условие успешной подготовки к обучению в школе.

Предмет исследования - речь и ее значение в познании окружающей действительности.

Объект исследования - дети дошкольного возраста.

Цель исследования - изучение речи и её значения у детей дошкольного возраста.

Задачи исследования:

Проанализировать литературу по теме исследования.

Изучить основные закономерности и условия развития речи и мышления детей в дошкольном возрасте.

Выявить основные критерии оценки сформированности речи и наглядно-образного мышления;

Провести эмпирическое исследование по выявлению взаимосвязи между уровнем развития речи у ребёнка дошкольного возраста и уровнем развития наглядно-образного мышления.

Гипотеза исследования: высокому уровню развития речи у ребёнка дошкольного возраста соответствует высокий уровень развития наглядно-образного мышления.

Методы исследования:

теоретический анализ психологической, педагогической, психолингвистической отечественной и зарубежной литературы;

эмпирические методы: наблюдение за детьми на занятиях, в процессе исследования и в игровой деятельности, беседа, тестирование;

количественный и качественный анализ результатов исследования.

Глава 1. Теоретические основы формирования речи и наглядно-образного мышления у дошкольников

.1 Характеристика речи как психического познавательного процесса

Речь - главное приобретение человечества, катализатор его совершенствования. Действительно, она всемогуща, она делает доступными не только те объекты, которые человек воспринимает непосредственно, то есть с которыми достижимо реальное взаимодействие. Язык позволяет оперировать и объектами, которые человек не встречал ранее, то есть не входившими в его индивидуальный опыт, а присвоенные им из общечеловеческого опыта. Поэтому и говорят, что язык знаменует появление особой формы отражения действительности. Возникновение устной и письменной речи определило специфику развития мышления.

Известно, что существуют понятия, разной степени обобщённости и каждому понятию сопоставлено название - слово (символ). Участие речи в этом аспекте мышления, несомненно [16]. Воздействие речи на другие высшие психические процессы не менее значимо и проявляется многогранно, как фактор, организующий структуру восприятия, формирующий архитектонику памяти и определяющий избирательность внимания.

Обобщённый образ восприятия сопоставляется с названием, и тем самым предопределяет обратное влияние слова на последующее восприятие. Каждая зрительная картинка воспринимается человеком в соответствии с тем, к какому понятию он относит конфигурацию [29].

Речь - это деятельность общения - выражения, воздействия, сообщения - посредством языка. Речь, и единая с языком, и отличная от него, является единством определённой деятельности - общения - и определённого содержания, которое обозначает и, обозначая, отражает бытие. Точнее, речь - это форма существования сознания (мыслей, чувств, переживаний) для другого, служащая средством общения с ним, и форма обобщённого отражения действительности, или форма существования мышления [23].

Говоря об основных видах речи (см. Приложение №1), мы должны подчеркнуть, что процесс обмена мыслями осуществляется в виде устной (монологической и диалогической) и письменной речи, однако необходимо помнить и ещё об одном виде - внутренней речи, произносимой мысленно - она не выполняет функцию общения, а служит для осуществления процесса мышления (её основная особенность состоит в том, что слова произносятся про себя и, как правило, не имеют звукового оформления; она отличается от разговорной - внешней - речи конспективностью, краткостью, носит отрывочный характер).

Речь также подразделяют на активную и (речь говорящего, пишущего) и пассивную (речь слушающего, читающего) [16].

Связанная с сознанием в целом, речь человека включается в определённые взаимоотношения со всеми психическими процессами; но основным и определяющим для речи является её отношение к мышлению.

Поскольку речь является формой существования мысли, между речью и мышлением существует единство. Но это единство, а не тождество. Нельзя свести мышление к речи и установить между ними тождество, потому что речь существует как речь лишь благодаря своему отношению к мышлению.

Но нельзя и отрывать мышление и речь друг от друга. Речь - не просто внешняя одежда мысли, которую она сбрасывает или одевает, не изменяя этим своего существа. В речи мысль мы формулируем мысль, но, формулируя её, мы сплошь и рядом её формируем. Создавая речевую форму, мышление само формируется. Мышление и речь, не отождествляясь, включаются в единство одного процесса. Мышление в речи не только выражается, но по большей части оно в речи и совершается.

Вопросы развития речи у детей изучались в разных аспектах многими педагогами (К.Д.Ушинский, Е.И.Тихеева, Е.А.Флёрина, А.М.Леушина, А.М.Бородич и др.), психологами (С.Л.Рубинштейн, Л.С.Выготский, А.А.Леонтьев, Д.Б.Эльконин и др.) и логопедами (А.В.Ястребова, Т.А.Ткаченко, Т.Б.Филичева, В. К. Воробьева и др.).

Речь, подчеркивал Ф.А.Сохин, обнаруживает все достижения ребенка в овладении родным языком, в освоении его звуковой стороны, словарного запаса и грамматического строя. По тому, как дети строят свои высказывания, можно судить об уровне их речевого развития [24].

Своевременное формирование грамматического строя языка ребёнка является важнейшим условием его полноценного речевого и общего психического развития, поскольку язык и речь выполняют ведущую функцию в развитии мышления и речевого общения, в планировании и организации деятельности ребёнка, самоорганизации поведения, в формировании социальных связей. Язык и речь - это основное средство проявления важнейших психических процессов - памяти, восприятия.

Овладение грамматическим строем языка осуществляется на основе познавательного развития, в связи с освоением предметных действий, игры, труда и других видов детской деятельности, опосредствованных словом, в общении со взрослыми и детьми. Источники и факторы развития языка ребёнка и его грамматического строя многообразны, и соответственно многообразны педагогические условия, средства и формы педагогического воздействия [1].

Для того чтобы процесс речевого развития протекал своевременно и правильно, необходимы определённые условия. Так, ребёнок должен:

·        быть психически и соматически здоровым;

·        иметь нормальный слух и зрение;

·        обладать потребностью в речевом общении;

·        иметь полноценное речевое окружение.

Нормальное речевое развитие ребёнка позволяет ему постоянно усваивать новые понятия, расширять запас знаний и представлений об окружающем мире.

1.2 Психологические особенности развития речи и мышления у детей дошкольного возраста

В старшем дошкольном возрасте важной задачей является подготовка ребенка к обучению в школе. В этом возрасте надо учить дошкольника связно и последовательно передавать виденное, правильно произносить слова и фразы. Дошкольник, даже хорошо владеющий речью, часто, например, не осознает, что слово состоит из отдельных звуков. Но достаточно привлечь внимание ребенка к звуковой стороне речи, как она становится источником его активных наблюдений.

Не у всех детей процесс овладения речью совершается одинаково успешно. Нередко наблюдаются случаи, когда в период формирования устной, а в дальнейшем и письменной речи возникают различные отклонения, нарушающие нормальный ход ее развития. К таким отклонениям надо отнестись очень внимательно и своевременно их устранить, иначе они могут задержать умственное развитие ребенка, травмировать его психику.

Речевая функция играет важную роль в психическом развитии ребенка, в процессе которого происходит становление познавательной деятельности, способности к понятийному мышлению. Полноценное речевое общение является необходимым условием осуществления нормальных социальных человеческих контактов, а это, в свою очередь, расширяет представления ребенка об окружающей жизни. Овладение ребенком речью в определенной степени регулирует его поведение, помогает спланировать адекватное участие в разных формах коллективной деятельности.

Поэтому выраженные отклонения в речевом развитии ребенка имеют самые негативные последствия:

·        отстает психическое развитие ребенка;

·        замедляется формирование высших уровней познавательной деятельности;

·        появляются нарушения эмоционально-волевой сферы, что приводит к формированию особых личностных качеств (замкнутости, эмоциональной неустойчивости, чувства ущербности, нерешительности и т.д.);

·        возникают трудности в усвоении письма и чтения, что снижает успеваемость ребенка и нередко приводит к второгодничеству.

В литературе вопросам поэтапности становления речи при ее нормальном развитии уделяется достаточно много внимания. В монографии А.Н.Гвоздева, в работах Г.Л. Розенгард-Пупко, Д.Б.Эльконина, А.Н.Леонтьева, Н.Х.Швачкина, В.И.Бельтюкова и др. подробно описано становление речи у детей начиная с самого раннего детства.

Эти авторы с разных позиций рассматривают и определяют этапы речевого развития. Например, А.Н. Гвоздев подробно изучает последовательность усвоения ребенком частей речи, структур предложений, характер их грамматического оформления. В зависимости от этого он предлагает свою периодизацию [7].

Г.Л. Розенгард-Пупко рассматривает 2 этапа формирования речи: до 2-х лет - подготовительный; от 2-х лет и далее - этап самостоятельного становления речи [22].

Опираясь на исследования А.Н. Леонтьева, можно условно выделить ведущие периоды речевого развития и в каждом из них определить ту симптоматику, которая должна настораживать педагога в процессе общения с ребенком [12].

Мы остановимся более подробно на четырех этапах:

-й - подготовительный (с момента рождения - до года);

-й - преддошколъный (от года до 3 лет);

-й - дошкольный (от 3 до 7 лет);

-й - школьный (от 7 до 17 лет).

ПОДГОТОВИТЕЛЬНЫЙ ЭТАП

Ребенок появляется на свет, и свое появление он знаменует криком. Крик - первая голосовая реакция ребенка. И крик, и плач ребенка активизируют деятельность артикуляционного, голосового, дыхательного отделов речевого аппарата.

Поэтому, если в разделе «анамнестические данные» указывается, что ребенок родился в асфиксии и сразу не закричал, то эта информация уже может быть важным диагностическим симптомом для логопеда.

Период «гуления» отмечается у всех детей. Уже в 1,5 месяца, а затем - в 2-3 месяца голосовые реакции ребенок проявляет в воспроизведении таких звуков, как а-а-бм-бм, бль, у-гу, бу и т.д. Именно они потом явятся основой для становления членораздельной речи. «Гуление» у всех детей народов мира одинаково.

В 4 месяца усложняются звуковые сочетания: появляются новые, типа гн-агн, ля-аля и т.д. Ребенок в процессе «гуления» как бы играет со своим артикуляционным аппаратом, по несколько раз повторяет один и тот же звук, получая при этом удовольствие. Гулит ребенок тогда, когда он сухой, выспавшийся, накормлен и здоров. Если рядом находится кто-то из родных и начинает «разговаривать» с малышом, тот с удовольствием слушает звуки и как бы «подхватывает» их. На фоне такого положительного эмоционального контакта малыш начинает подражать взрослым, пытается разнообразить голос выразительной интонацией.

При нормальном развитии ребенка «гуление» постепенно переходит в лепет. В 7-8,5 месяцев дети произносят слоги типа ба-ба, дя-дя, деда и т.д., соотнося их с определенными окружающими людьми. Лепет - это не механическое воспроизведение слоговых сочетаний, а соотнесение их с определенными лицами, предметами, действиями. «Ма-ма» (мама) - говорит ребенок, и это относится именно к маме. В процессе общения со взрослыми ребенок постепенно пытается подражать интонации, темпу, ритму, мелодичности, а также воспроизводить звуковые элементы звучащей речи окружающих. В 9-10 месяцев расширяется объем лепетных слов, которые ребенок пытается повторить за взрослыми.

В 8,5-9 месяцев лепет носит модулированный характер с разнообразными интонациями. Но не у всех детей этот процесс однозначен: при снижении слуховой функции гуление «затухает», и это нередко является диагностическим симптомом. Так, если на консультацию приводят ребенка безречевого в 2,5-3 года, который не понимает обращенную к нему речь и не говорит, важно выяснить, не пропадало ли у него «гуление» в раннем возрасте. В подобных случаях необходимо обязательно сделать ему аудиограмму.

ПРЕДДОШКОЛЬНЫЙ ЭТАП

В этот период расширяется объем лепетных слов, используемых ребенком. Данный этап характеризуется повышенным вниманием ребенка к речи окружающих, усиливается его речевая активность. Употребляемые ребенком слова многозначны: одновременно одним и тем же лепетным сочетанием ребенок обозначает несколько понятий: «бах» - упал, лежит, споткнулся; «дай» - отдай, принеси, подай; «биби» - идет, лежит, катается, машина, самолет, велосипед.

После полутора лет наблюдается рост активного словаря детей, появляются первые предложения, состоящие из аморфных слов-корней:

Папа, ди (папа, иди).

Ма, да кх (мама, дай кису).

Как показывают исследования, дети не сразу овладевают правильной речью: одни явления языка усваиваются раньше, другие позже. Это объясняется тем, что чем проще по звучанию и структуре слова, тем они легче запоминаются детьми. В этот период особенно важную роль играет совокупность следующих факторов:

·        механизм подражания словам окружающих;

·        сложная система функциональных связей, обеспечивающих осуществление речи;

·        благоприятные условия, в которых воспитывается ребенок (доброжелательная обстановка, внимательное отношение к ребенку, полноценное речевое окружение, достаточное общение с взрослыми).

Анализируя количественные показатели роста лексического запаса детей в этом возрасте, можно привести следующие данные: полтора года - 10-15 слов, к концу второго года - 30 слов, к трем годам - примерно 100 слов.

Таким образом, в течение полутора лет происходит количественный скачок в расширении словаря детей.

Характерным показателем активного речевого развития детей на этом этапе является постепенное формирование грамматических категорий.

При нормальном речевом развитии этот период длится всего несколько месяцев и к 3 годам ребенок самостоятельно употребляет наиболее простые грамматические конструкции.

Многие родители оценивают речевое развитие своего ребенка только по степени правильности звукопроизношения. И в этом они ошибаются, поскольку показателем становления детской речи является своевременное развитие у ребенка способности использовать свой лексический запас в разных структурах предложений. Уже в 2,5-3 годам дети пользуются трех-четырехсловными предложениями, используя частичные грамматические формы (иди - идет - идем - не иду; кукла - кукле - куклу).

В 1-3 года ребенок многие звуки родного языка переставляет, опускает, заменяет более простыми по артикуляции. Это объясняется возрастным несовершенством артикуляционного аппарата, недостаточным уровнем восприятия фонем. Но характерным для этого периода является достаточно стойкое воспроизведение интонационно-ритмических, мелодических контуров слов, например: касянав (космонавт), пиямида (пирамида), итая (гитара), титаяська (чебурашка), синюська (свинюшка).

Как отмечает Н.С. Жукова, «с момента появления у ребенка возможности правильно строить несложные предложения и изменять слова по падежам, числам, лицам и временам происходит качественный скачок в развитии речи» [8].

Таким образом, к концу преддошкольного периода дети общаются между собой и окружающими, используя структуру простого распространенного предложения, употребляя при этом наиболее простые грамматические категории речи.

Родители и воспитатели должны быть информированы о том, что наиболее благоприятный и интенсивный период в развитии речи ребенка падает на первые 3 года жизни. Именно в этот период все функции центральной нервной системы в процессе их естественного формирования наиболее легко поддаются тренировке и воспитанию. Если условия развития в это время неблагоприятны, то формирование речевой функции настолько искажается, что в дальнейшем не всегда удается в полном объеме сформировать полноценную речь.

ДОШКОЛЬНЫЙ ЭТАП

Этот период характеризуется наиболее интенсивным речевым развитием детей. Нередко наблюдается качественный скачок в расширении словарного запаса. Ребенок начинает активно пользоваться всеми частями речи, постепенно формируются навыки словообразования.

Некоторые авторы выделяют этап детского словотворчества, повышенного интереса к языковым явлениям и обобщениям (Т.Н. Ушакова, С.Н. Цейтлин и др.). Процесс усвоения языка протекает так динамично, что после трех лет дети с хорошим уровнем речевого развития свободно общаются не только при помощи грамматически правильно построенных простых предложений, но и многих видов сложных предложений, с использованием союзов и союзных слов (чтобы, потому что, если, тот... который и т.д.):

Я нарисую Тамусю зеленкой, потому что она все время болеет.

В возрасте пяти-шести лет высказывания детей достаточно пространные, улавливается определенная логика изложения. Нередко в их рассказах появляются элементы фантазии, желание придумать эпизоды, которых в действительности не было.

В дошкольный период наблюдается достаточно активное становление фонетической стороны речи, умение воспроизводить слова различной слоговой структуры и звуконаполняемости. Если у кого-то из детей и возникают при этом ошибки, то они касаются наиболее трудных, мало употребительных и чаще всего незнакомых для них слов. При этом достаточно исправить ребенка, дать образец ответа и немного «поучить» его правильно произносить это слово, и он быстро введет это новое слово в самостоятельную речь.

Развивающийся навык слухового восприятия помогает контролировать собственное произношение и слышать ошибки в речи окружающих. В этот период формируется языковое чутье, что обеспечивает уверенное употребление в самостоятельных высказываниях всех грамматических категорий. Если в этом возрасте ребенок допускает стойкий аграмматизм (играю батиком - играю с братиком; мамой были магазине - с мамой были в магазине; мяч упал и тоя - мяч упал со стола и т.д.), сокращения и перестановки Слогов и звуков, уподобления слогов, их замены и пропуск - это является важным и убедительным симптомом, свидетельствующим о выраженном недоразвитии речевой функции. Такие дети нуждаются в систематических логопедических занятиях до поступления их в школу.

Таким образом, к концу дошкольного периода дети должны владеть развернутой фразовой речью, фонетически, лексически и грамматически правильно оформленной. речь мышление ребенок

Уровень развития фонематического слуха позволяет им овладеть навыками звукового анализа и синтеза, что является необходимым условием усвоения грамоты в школьный период. Как отмечал А.Н. Гвоздев, к семи годам ребенок овладевает речью как полноценным средством общения (при условии сохранности речевого аппарата, если нет отклонений в психическом и интеллектуальном развитии, если ребенок воспитывается в нормальном речевом и социальном окружении) [7].

ШКОЛЬНЫЙ ПЕРИОД

Продолжается совершенствование связной речи. Дети сознательно усваивают грамматические правила оформления свободных высказываний, полностью овладевают звуковым анализом и синтезом. На этом этапе формируется письменная речь.

Итак, развитие детской речи - это сложный и многообразный процесс. Дети не сразу овладевают лексико-грамматическим строем, словоизменениями, словообразованием, звукопроизношением и слоговой структурой. Одни языковые группы усваиваются раньше, другие - значительно позже. Поэтому на различных стадиях развития детской речи одни элементы языка оказываются уже усвоенными, а другие - лишь частично. Усвоение фонетики тесно связано с общим поступательным ходом формирования лексико-грамматического строя русского языка [18].

Важнейшим условием умственного развития ребёнка дошкольного возраста является формирование и обогащение наглядно-образного мышления, которое характеризуется решением мыслительных задач на основе оперирования представлениями, что обуславливает продуктивный и целесообразный характер этого вида мышления.

В работах теоретико-методического характера указывается, что способность решать мыслительные задачи посредством оперирования образами возникает в процессе взаимодействия различных линий психического развития ребёнка: развития предметных и орудийных действий, перцептивной сферы, подражания, использования игры, развития ориентировочно - исследовательской деятельности, своевременного соединения чувственного опыта ребёнка со словом и включения речи в процесс решения мыслительных задач, овладения действиями моделирования, замещения, схематизации и символизации.

Анализ психолого-педагогической литературы позволит определить закономерности становления наглядно-образного мышления детей дошкольного возраста, выделить его основные компоненты и последовательность их формирования: образы представлений об окружающей действительности, познавательное ориентировочное действие, мыслительные операции (анализ, синтез, сравнение, обобщение), включение речи в процесс решения мыслительной задачи, опора на познавательную активность.

Из анализа работ Л.С.Выготского, С.Л.Рубинштейна, Д.Б.Эльконина и других следует, что в современной психологии принята следующая классификация мышления по генезису развития.

наглядно- действенное - вид мышления, опирающийся на

·        непосредственное восприятие предметов

·        в процессе действия с ними. Свойственно

·        детям раннего возраста, для которых

·        мыслить о предметах означает действовать,

·        манипулировать.

наглядно-образное - вид мышления, характеризующийся опорой

·        на представление и образы. Характерно для

·        дошкольников и детей младшего школьного

·        возраста.

словесно-логическое - вид мышления, осуществляемый при помощи

·        логических операций с понятиями. Характерно

·        для старших школьников и взрослых.

абстрактно- логическое - вид мышления, основанный на выделении

·        существенных свойств и связей предметов и

·        отвлечений от других, несущественных.

Мышление играет огромную роль в познании. Дошкольный возраст представляет наиболее благоприятные возможности для развития различных форм образного мышления.

1.3 Проблема речи и мышления ребенка в учении Ж. Пиаже

Исследования Пиаже составили целую эпоху в развитии учения о речи и мышлении ребенка, о его логике и мировоззрении. Они отмечены историческим значением.

Пиаже впервые с помощью разработанного и введенного им в науку клинического метода исследования детской речи и мышления с необычайной смелостью, глубиной и широтой охвата подверг систематическому исследованию особенности детской логики в совершенно новом разрезе.

Первый вопрос, который возникает здесь, - это вопрос относительно объективной связи всех тех особенностей детского мышления, которые устанавливаются исследованиями Пиаже.

Представляют ли собой все эти особенности отдельные, независимые друг от друга явления, несводимые к общей причине, или они представляют собой известную структуру, известное связное целое, в основе которого лежит некоторый центральный факт, обусловливающий единство всех этих особенностей? В этих исследованиях затрагивается целый ряд особенностей детского мышления, например эгоцентризм речи и мышления ребенка, интеллектуальный реализм, синкретизм, непонимание отношений, трудность осознания, неспособность к самонаблюдению в детском возрасте и т.д.

Вопрос и заключается в том, «составляют ли эти явления некоторое бессвязное целое, т.е. обязаны ли они своим существованием ряду случайных и отрывочных причин, не имеющих связи между собой, или они образуют связное целое и таким образом представляют свою особую логику» [9,с.370]. Положительный ответ на этот вопрос, который дает автор, естественно заставляет его перейти из области анализа фактов в область теории и обнаруживает, в какой мере сам анализ фактов на самом деле определяется этой теорией.

В чем же заключается центральное звено, позволяющее свести к единству все отдельные особенности детского мышления? Оно заключается, с точки зрения основной теории Пиаже, в эгоцентризме детского мышления. Это - основной нерв всей его системы, это - краеугольный камень всего его построения.

Таким образом, и нам предстоит посмотреть, в чем заключается этот эгоцентрический характер детского мышления и в какой связи он стоит со всеми остальными особенностями, составляющими в совокупности качественное своеобразие детской мысли по сравнению с мыслью взрослого человека. Пиаже определяет эгоцентрическую мысль как переходную, промежуточную форму мышления, располагающуюся с генетической, функциональной и структурной точки зрения между артистической мыслью и направленным разумным мышлением. Это, таким образом, переходная ступень, связующее генетическое звено, промежуточное образование в истории развития мышления.

«Мы назвали мысль ребенка эгоцентрической, - говорит Пиаже, - желая этим сказать, что эта мысль остается еще аутистической по своей структуре, но что ее интересы уже не направлены исключительно на удовлетворение органических потребностей или потребностей игры, как при чистом аутизме, но направлены также и на умственное приспособление, подобно мысли взрослого» [9, с.374].

Таким образом, и со стороны функциональной намечаются моменты, как сближающие, так и разделяющие эгоцентрическую мысль от других двух крайних форм мышления. Рассмотрение этих моментов снова, приводит к тому выводу, который составляет основную гипотезу Пиаже, что «мысль ребенка более эгоцентрична, чем наша, и что она представляет собой средину между аутизмом в строгом смысле слова и социализированной мыслью» [9, c.376].

Может быть, следует с самого начала заметить, что в этой двойственной характеристике эгоцентрической мысли Пиаже подчеркивает все время моменты, скорее сближающие эгоцентрическую мысль с аутизмом, чем разделяющие их. В одном из заключительных параграфов своей книги он со всей решительностью напоминает ту истину, что «для эгоцентрической мысли игра, в общем, является верховным законом» [9, c.401].

Таким образом, аутистическое мышление представляется с генетической точки зрения ранней, первичной формой мышления, логика возникает относительно поздно, и эгоцентрическая мысль занимает с генетической точки зрения среднее место, образует переходную ступень в развитии мышления от аутизма к логике.

Итак, концепция детского эгоцентризма занимает в теории Пиаже как бы место центрального фокуса, в котором перекрещиваются и собираются в одной точке нити, идущие от всех пунктов. С помощью этих нитей Пиаже сводит к единству все многообразие отдельных черт, характеризующих логику ребенка, и превращает их из бессвязного, неупорядоченного, хаотического множества в строго связанный структурный комплекс явлений, обусловленных единой причиной. Поэтому стоит только пошатнуться этой основной концепции, на которой держится вся остальная теория, как тем самым ставится под знак вопроса и все теоретическое построение в целом, в основе которого лежит понятие детского эгоцентризма.

Но для того чтобы испробовать крепость и надежность этой основной концепции, необходимо спросить себя, на каком фактическом фундаменте она покоится, какие факты заставили исследователя принять ее в виде гипотезы, которую сам автор склонен считать почти неоспоримой.

Попытаемся выяснить мысль самого Пиаже, определить по возможности точно, в чем автор видит фактическое основание своей концепции.

Таким основанием теории Пиаже является первое его исследование, посвященное выяснению функций речи у детей. В этом исследовании Пиаже приходит к выводу, что все разговоры детей можно подразделить на две большие группы, которые можно назвать эгоцентрической и социализированной речью. Под именем эгоцентрической речи Пиаже разумеет речь, отличающуюся, прежде всего своей функцией.

«Эта речь эгоцентрична, - говорит Пиаже, - прежде всего потому, что ребенок говорит лишь о себе, и главным образом потому, что он не пытается стать на точку зрения собеседника» [9, с. 72]. Он не интересуется тем, слушают ли его, не ожидает ответа, он не испытывает желания воздействовать на собеседника или действительно сообщить ему что-нибудь. Это - монолог, напоминающий монолог в драме, сущность которого может быть выражена в одной формуле: «Ребенок говорит сам с собой так, как если бы он громко думал. Он ни к кому не обращается» [9, с.73]. Во время занятий ребенок сопровождает свои действия отдельными высказываниями, и вот этот словесный аккомпанемент детской деятельности Пиаже и отличает под именем эгоцентрической речи от социализированной детской речи, функция которой совершенно иная. Здесь ребенок действительно обменивается мыслями с другими; он просит, приказывает, угрожает, сообщает, критикует, задает вопросы.

Пиаже прямо говорит, что для упрощения можно сказать, что взрослый думает социализирование, когда он один, а ребенок моложе 7 лет мыслит и говорит эгоцентрично даже тогда, когда он в обществе. Если к этому прибавить еще одно обстоятельство, заключающееся в том, что кроме выраженных в словах мыслей у ребенка есть огромное количество невысказанных эгоцентрических мыслей, то станет ясно, что коэффициент эгоцентрического мышления значительно превышает коэффициент эгоцентрической речи.

Пиаже принадлежит бесспорная и огромная заслуга тщательного клинического выделения и описания эгоцентрической детской речи, ее измерения и прослеживания ее судьбы. И вот в факте эгоцентрической речи Пиаже видит первое, основное и прямое доказательство эгоцентризма детской мысли. Его измерения показали, что в раннем возрасте коэффициент эгоцентрической речи чрезвычайно велик. Можно сказать, опираясь на эти измерения, что большая половина высказываний ребенка до 6-7 лет эгоцентрична [9].

Глава 2. Эмпирическое исследование взаимосвязи речи и наглядно-образного мышления у детей дошкольного возраста

.1 Программа и методики исследования

Эмпирическое исследование проводилось на базе дошкольного образовательного учреждения развивающего вида № 923 города Москвы. Данный детский сад имеет приоритет, направленный на развитие художественно-изобразительной деятельности, поэтому вся работа учреждения строится на развитии творческих способностей детей. В детском саду 8 групп. Имеется логопункт, основная цель которого всестороннее воспитание детей, выработка у них правильного звукопроизношения, формирование фонематического восприятия и подготовка детей к школе.

В нашем исследовании участвовало 16 детей (8 девочек и 8 мальчиков) средней группы в возрасте от 4 до 5 лет.

На первом этапе исследования мы провели знакомство с детьми, наблюдали за ними в процессе занятий с воспитателем, игры. Нашей целью было выявить детей, охотно и быстро идущих на контакт, чтобы предложить им поучаствовать в эксперименте.

На втором этапе исследования мы непосредственно проводили тестирование детей с целью изучить уровень сформированности и выявить особенности речи и наглядно-образного мышления детей.

Исследование уровня развития речи и мышления проводилось по следующим параметрам:

понимание речи;

сформированность фонематического слуха;

состояние словарного запаса;

уровень развития активной речи;

состояние грамматического строя речи;

уровень сформированности наглядно-образного мышления.

Для эксперимента отобраны и предложены детям следующие диагностические задания [25]:

«Покажи картинку»;

«Назови, что покажу»;

«Назови одним словом»;

«Скажи наоборот»;

«Беседа»;

«Подбери слово»;

«Нелепицы».

Все задания основывались на словесных инструкциях, которые были изложены с учётом особенностей речевого развития детей изучаемой категории, опирались на иллюстрированный материал и были доступны для понимания.

Тестирование проводилось индивидуально с каждым ребёнком, задания предлагались в определённой последовательности. При этом проводилась качественная и количественная (четырёхбальная) оценка результатов выполнения заданий.

Исследование речевого развития детей 4-5 лет.

. Покажи картинку. Выясняется понимание ребёнком единственного и множественного числа имени существительного.

Оборудование: картинки с изображением одного и нескольких предметов.

Методика обследования: перед ребёнком попарно раскладываются картинки и просят: «Покажи, где шар и шары. Покажи, где гриб и грибы. Покажи, где кукла и куклы. Покажи, где яблоко и яблоки. Покажи, где стул и стулья».

Фиксируется: показ картинок в соответствии с инструкцией.

. Назови, что покажу. Проверяется предметный и глагольный словарь.

Оборудование: картинки с изображением предметов, встречающихся в жизни ребёнка: яблоко, чашка, кошка, машина, морковь, пальто, часы, конфета, груша, кастрюля, лошадь, корабль, огурец, шарф, лиса, помидор, яйцо, халат, диван, слон, слива, черепаха, аквариум, тюльпан.

Картинки с изображением действий, знакомых детям из их опыта: играет, читает, катается, кормит.

Методика обследования: взрослый последовательно предлагает ребёнку рассмотреть картинки с изображением различных предметов и действий и назвать их. В случае затруднения взрослый просит показать определённую картинку, а затем назвать её.

Фиксируется: узнавание предметов и действий, изображённых на картинках; называние их самостоятельно или после показа.

. Назови одним словом. Проверяется умение обобщать одним словом предметы и изображения на картинках, сгруппированные по функциональному признаку.

Оборудование: игрушки - машинка, зайка, мишка, пирамидка, матрёшка; картинки с изображением нескольких предметов: овощи, одежда, посуда, мебель.

Методика обследования: ребёнку предлагают рассмотреть картинки с изображением одежды, овощей, игрушек, мебели и назвать их одним словом.

Фиксируется: умение ребёнка обобщить одним словом группу предметов.

. Скажи наоборот. Выявление умения употреблять слова, обозначающие признаки предметов.

Оборудование: картинки с изображением предметов, имеющих противоположные признаки: здоровая - больная, чистые - грязные, белый - чёрный, толстый - тонкий, высокий - низкий, большая - маленькая, быстро - медленно, близко - далеко.

Методика обследования: ребёнку предлагают в игровой форме подобрать слова - признаки с противоположным значением. Например: «У одного мальчика чистые руки, а у другого какие?» и т.д.

Фиксируется: умение ребёнка подбирать слова, обозначающие противоположные признаки предметов.

. Беседа. Методика обследования: ребёнку задают вопросы: «Сколько тебе лет? Какие игрушки ты любишь? Каких животных ты знаешь? Есть ли у тебя дома какое - нибудь животное? Как его зовут?» и т.д.

Фиксируется: контактность; уровень понимания речи; уровень развития активной речи.

. Подбери слово. Проверяется умение ребёнка правильно согласовывать существительные с прилагательными, учитывая род.

Методика обследования: взрослый предлагает ребёнку правильно подобрать слова - признаки к заданным словам. Например: кошка пушистая и котёнок у неё (какой?); лиса рыжая и лисёнок у неё (какой?); зайчиха серая и зайчонок у неё (какой?); собака чёрная и щенок у неё (какой?).

Фиксируется: умение ребёнка употреблять имена прилагательные в правильной грамматической форме.

. Нелепицы.

При помощи этой методики оцениваются элементарные образные представления, ребенка об окружающем мире и о логических связях и отношениях, существующих между некоторыми объектами этого мира: животными, их образом жизни, природой. С помощью этой же методики определяется умение ребенка рассуждать логически и грамматически правильно выражать свою мысль. Для организации обследования заранее готовится картинка (см. Приложение №2).

Инструкция испытуемому:

Ребенку предлагается рассмотреть картинку. Через 30 секунд экспериментатор спрашивает: «Рассмотрел?» Если ответ отрицательный или неопределенный, дается еще время. Если утвердительный, испытуемому предлагается рассказать, что нарисовано на картинке. В случае затруднения ребенку оказывается помощь:

Стимулирующая. Исследователь помогает ребенку начать отвечать, преодолеть возможную неуверенность. Он подбадривает ребенка, показывает свое положительное отношение к его высказываниям, задает вопросы, побуждающие к ответу: «Понравилась ли тебе картинка?», «Что понравилось?», «Хорошо, молодец, правильно думаешь»;

Направляющая. Если побуждающих вопросов оказывается недостаточно, чтобы вызвать активность ребенка, задаются прямые вопросы: «Смешная картинка?», «Что в ней смешного?»;

Обучающая. Вместе с ребенком рассматривается какой-то фрагмент картинки и выявляется его нелепость: «Посмотри, что здесь нарисовано?», «А такое может быть в жизни?», «Тебе не кажется, что здесь что-то перепутано?», «А еще здесь есть что-нибудь необычное?».

Далее проводится оценка выполнения задания (см. Приложение №3).

.2 Результаты исследования, их анализ и интерпретация

Анализ результатов исследования показал различные уровни сформированности речи и наглядно-образного мышления детей. Результаты приведены в таблице:

Таблица №1 Результаты тестирования детей

Испытуемые

ТЕСТ №1

ТЕСТ №2

ТЕСТ №3

ТЕСТ №4

ТЕСТ №5

ТЕСТ №6

ТЕСТ №7

Женя Б.

 4

 4

 3

 3

 4

 4

 7

Оля Б.

 4

 4

 4

 4

 4

 4

 9

 Рита Б.

 4

 4

 3

 4

 3

 4

 8

 Андрей Г.

 4

 4

 3

 3

 3

 3

 5

 Лена Д.

 4

 4

 4

 3

 4

 4

 8

Олег Е.

 4

 3

 3

 3

 3

 4

 6

Лена Ж.

 4

 4

 4

 4

 4

 4

 9

Алина И.

 4

 4

 3

 4

 4

 4

 9

 Илья К.

 4

 3

 4

 3

 3

 4

 7

Юля К.

 4

 3

 3

 4

 3

 4

 8

Катя Л.

 4

 4

 4

 4

 4

 4

 9

Денис М.

 4

 3

 4

 3

 3

 3

 6

 Дима М.

 4

 3

 3

 4

 4

 4

 7

Соня Н.

 4

 4

 4

 3

 4

 4

 9

Максим О.

 4

 4

 3

 4

 3

 4

 8

 Рома Р.

 4

 4

 3

 4

 4

 3

 7


Показатели уровня развития речи и наглядно-образного мышления

Гистограмма №1

По результатам тестирования детей мы можем сделать выводы (см. Приложение №5).

12 детей имеют высокий показатель уровня развития речи;

9 детей имеют высокий показатель уровня развития наглядно-образного мышления;

4 детей имеют средний показатель уровня развития речи.

7 детей имеют средний показатель уровня наглядно-образного мышления.

Данные, полученные в результате исследования, показывают, что показатель уровня развития речи и состояние наглядно-образного мышления у дошкольников имеют небольшие различия. Дети достигли в речевом развитии высокого уровня (75%) и среднего (25%) уровня (см. Диаграмма №1), тогда как в развитии наглядно-образного мышления показали высокий (56,25%) и средний (43,75%) уровень (см. Диаграмма №2).

Показатель уровня развития Показатель уровня развития   речи (%) наглядно-образного мышления (%)


 


Высокий уровень характерен для детей, которые принимали и понимали условие всех заданий. У этих детей сформированы все компоненты речи и наглядно-образного мышления, характерные для их возраста. Дети своевременно и правильно выполняли все задания. Предложенные тесты не вызывали никаких затруднений. Для высокого уровня развития допускалось получение двух трехбалльных оценок из шести заданий (при четырёхбальной оценке).

Средний уровень развития речи и мышления отмечался у детей, которые также принимали и понимали условия заданий. Но в ходе выполнения заданий у них возникали некоторые трудности: у одних детей отмечались затруднения в согласовании частей речи, у других - возникновение неточности при выполнении задания с антонимами и беседе. Речевые высказывания этих детей в процессе решения задачи на наглядно-образное мышление носили фиксирующий характер без объяснительных интерпретаций. Указанные затруднения успешно преодолевались при оказании соответствующей помощи. Для среднего уровня допускалось получение четырёх трехбалльных оценок из шести заданий.

В процессе данного исследования возникла необходимость выявить зависимость уровня развития речи от уровня наглядно-образного мышление при помощи математических методов. Мы произвели практический расчёт коэффициента ранговой корреляции Спирмена. Метод ранговой корреляции Спирмена позволяет определить тесноту (силу) и направление корреляционной связи между двумя признаками или двумя профилями (иерархиями) признаков. Для этого мы:

. Определили два признака (сумма баллов по шести тестам по речи и по наглядно-образному мышлению), которые будут участвовать в сопоставлении как переменные A и B (см. Приложение №4).

. Проранжировали значения переменной A в соответствии с правилами ранжирования.

. Проранжировали значения переменной B в соответствии с теми же правилами.

. Подсчитали разности d между рангами A и B по каждой строке таблицы.

. Возвели каждую разность в квадрат d2. Подсчитали сумму d2.

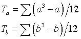
При наличии одинаковых рангов рассчитываем поправки по формулам:

=(( 2 -2 )+( 6 -6 )+( 3 +3 )+( 3 +3 )) / 12 = 22 ;=(( 2 -2)+( 4 -4)+( 4 -4)+( 5 -5)) /12 =20,5

где a - объем каждой группы одинаковых рангов в ранговом ряду A;- объем каждой группы одинаковых рангов в ранговом ряду B.

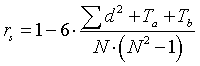
. Рассчитали коэффициент ранговой корреляции rs по формуле:

эмп. = 1 - 6 45+22+20,5 0,872

16 (16 -1)

где (d2) - сумма квадратов разностей между рангами;- количество испытуемых или признаков, участвовавших в ранжировании.

. Определили по таблице критические значения rs для данного N.кр. = 0,50 (p<0,05)

0,64 (p<0,01), rs эмп. > rs кр.

. На основании таблицы критических значений выборочного коэффициента корреляции рангов мы определили, что корреляция между переменными А и В достоверно отличается от нуля, следовательно наша гипотеза о том, что высокому уровню развития речи соответствует высокий уровень наглядно-образного мышления подтвердилась. Это показывает «ось значимости»:

Заключение

Анализ литературы по теме исследования показал, что своевременное формирование грамматического строя речи ребёнка является важнейшим условием его полноценного речевого и общего психического развития, поскольку язык и речь выполняют ведущую функцию в развитии мышления и речевого общения.

Исследовав проблему речи в учении Ж.Пиаже, мы выяснили, что речь ребёнка носит эгоцентрический характер, то есть ребенок думает для самого себя, не заботясь ни о том, чтобы быть понятым, ни о том, чтобы понять точку зрения другого.

В ходе исследования изучены следующие закономерности и условия развития речи:

·        на подготовительном этапе - это гуление и лепет;

·        на преддошкольном этапе - это расширение объёма лепетных слов и начало формирования грамматических категорий речи;

·        на дошкольном этапе происходит качественный скачок в расширении словарного запаса, а к концу дошкольного периода дети должны владеть развёрнутой фразовой речью;

·        на школьном этапе совершенствуется связная речь, происходит сознательное усвоение грамматических правил, овладение звуковым анализом и синтезом, формирование письменной речи.

В нашем исследовании выявлены основные критерии оценки сформированности речи: умение понимать речь собеседника, состояние словарного запаса, уровень развитости активной речи, состояние грамматического строя речи, умение поддержать беседу.

В ходе проведения эмпирического исследования при помощи ранговой корреляции Спирмена мы выявили, что существует взаимосвязь между развитием речи и наглядно-образным мышлением у дошкольников.

Таким образом, гипотеза нашего исследования о том, что высокому уровню развития речи соответствует высокий уровень развития наглядно-образного мышления у детей дошкольного возраста, подтвердилась.

Литература

1.      Арушанова А. Г. Речь и речевое общение детей: Книга для воспитателей детского сада. - М.: Мозайка-Синтез, 1999.

2.      Борякова Н.Ю., Касицына М.А. Психолого-педагогическое обследование детей с задержкой психического развития в условиях специального детского сада //М.: Журнал «Коррекционная педагогика», 2003 - №2.

.        Выготский Л.С. Мышление и речь. Изд. 5, испр. - М.: Лабиринт, 1999.

.        Выготский Л.С. О природе эгоцентрической речи //Хрестоматия по общей психологии. Выпуск III. Субъект познания/ Ответственный редактор В.В.Петухов, Редакторы-составители Ю.Б.Дормашев, С.А.Капустин. - М., 1998.

.        Галанов А.С. Психическое и физическое развитие ребенка от 3 до 5 лет: Пособие для работников дошкольных образовательных учреждений и родителей. - 3-е изд., испр. и доп. - М.: АРКТИ, 2006.

.        Гальперин П.Я. К вопросу о внутренней речи // Доклады АПН РСФСР, № 4, 1957.

.        Гвоздев А.Н.Очерки по стилистике русского языка. - М.,1965.

.        Жукова Н.С. Формирование устной речи. Учеб-метод, пособие. - М.: Соц. - полит, журн., 1994.

.        Ж.Пиаже. Речь и мышление ребенка. - М.:Госиздат, 1932.

.        Зинченко Т. П. Когнитивная и прикладная психология. - М.: МОДЭК, 2000.

.        Калягин В.А. Логопсихология: учеб. пособие для студ. высш. учеб. заведений / В.А.Калягин, Т.С.Овчинникова. - М.: Академия, 2006.

.        Леонтьев А.Н. Психологическое развитие ребенка в дошкольном возрасте // Вопросы психологии ребенка дошкольного возраста. - М.-Л., 1948.

.        Лисина М.И. Потребность в общении//Лисина М.И. Проблемы онтогенеза общения.- М.: Педагогика, 1986.

.        Лурия А. Р. Язык и сознание./ Под редакцией Е. Д. Хомской. - М: Изд-во Моск. ун-та, 1979.

.        Лямина Г.М. Особенности развития речи детей дошкольного возраста//Хрестоматия по теории и методике развития речи детей дошкольного возраста: Учеб. пособие для студ. высш. и сред. пед. учеб. заведений./ сост. М.М. Алексеева, В.И.Яшина. - М.: Академия, 2000.

.        Морозов А.В. Основы психологии. Учебник для вузов. - М.: Академический Проект, 2005.

.        Мышление и язык / Под редакцией Д. П. Горского. - М.: Государственное издательство Политической литературы, 1957.

.        Основные этапы нормального речевого развития ребенка// Основы логопедической работы с детьми: Учебное пособие для логопедов, воспитателей детских садов, учителей начальных классов, студентов педагогических училищ / Под общ. ред. д.п.н., проф. Г.В. Чиркиной. - 2-е изд., испр. - М.: АРКТИ, 2003.

.        Проблемы взаимосвязи языка и мышления // Общее языкознание: формы существования, функции, история языка. / Под ред. Б.А.Серебренникова. - М.: Наука, 1970.

.        Психологический словарь / Под ред. Зинченко В.П. Астрель, АСТ, ИЗДАТЕЛЬСТВО, 2004 г.

.        Психолого-педагогическая диагностика развития детей раннего и дошкольного возраста. / Под. ред. Е.А. Стребелевой. - М., 2003.

.        Розенгард-Пупко Г.И. Формирование речи у детей раннего возраста. - М.,1963.

.        Рубинштейн С. Л. Основы общей психологии - СПб.: Издательство «Питер», 2000.

.        Сохин Ф.А. Психолого-педагогические основы развития речи дошкольников. Учебное пособие. - 2-е изд., МПСИ, 2003.

.        Специальная дошкольная педагогика. / Под. ред. Стребелевой. - М., 2001.

.        Теплюк С. Как расширить словарный запас детей 3-4 лет// Дошкольное воспитание, 1998.

.        Шохор-Троцкая М. Как будет говорить ваш ребенок, зависит от вас //

.        Наука и жизнь, №8, 2006.

.        Юдина Е. Педагогическая оценка развития и актуального состояния ребенка// Дошкольное воспитание, 1997.

30.    Kagan G., Havemann E. Psychology, an introduction. New York, 1976.

Приложение №1

Основные виды речи



Приложение №2

Картинка к тесту №7 «Нелепицы»



Приложение №3

Оценка выполнения задания.

При оценке учитываются:

а) включение ребенка в работу, сосредоточенность, отношение к ней, самостоятельность;

б) понимание и оценка ситуации в целом;

в) планомерность описания картинки;

г) характер словесных высказываний.

баллов - такая оценка ставится ребенку в том случае, если за отведенное время (3 мин) он заметил все 7 имеющихся на картинке нелепиц, успел удовлетворительно объяснить, что не так, и, кроме того, сказать, как на самом деле должно быть.

-9 баллов - ребенок заметил и отметил все имеющиеся нелепицы, но от одной до трех из них не сумел до конца объяснить или сказать, как на самом деле должно быть.

-7 баллов - ребенок заметил и отметил все имеющиеся нелепицы, но три-четыре из них не успел до конца объяснить и сказать, как на самом деле должно быть.

-5 баллов - ребенок заметил все имеющиеся нелепицы, но 5-7 из них не успел за отведенное время до конца объяснить и сказать, как на самом деле должно быть.

-3 балла - за отведенное время ребенок не успел заметить 1-4 из 7 имеющихся на картинке нелепиц, а до объяснения дело не дошло.

-1 балл - за отведенное время ребенок успел обнаружить меньше четырех из семи имеющихся нелепиц.

Замечание. 4 и выше балла в этом задании ребенок может получить только в том случае, если за отведенное время он полностью выполнил первую часть задания, определенную инструкцией, т.е. обнаружил все 7  нелепиц, имеющихся на картинке, но не успел или назвать их, или объяснить, как на самом деле должно быть.

Выводы об уровне развития:

10 баллов - очень высокий.

8-9 баллов - высокий.

4-7 баллов - средний.

2-3 балла - низкий.

- 0-1 балл-очень низкий.

Приложение №4

Расчёт d2 для рангового коэффициента корреляции

Спирмена rs при сопоставлении показателей развития речи и наглядно-образного мышления.

испытуемые

переменная А

переменная В

d

d2


значение

ранг

значение

ранг



Женя Б.

22

7,5

7

5,5

2

4

Оля Б.

24

15

9

14

1

1

 Рита Б.

22

7,5

8

9,5

-2

4

 Андрей Г.

20

2

5

1

1

1

 Лена Д.

23

12

8

9,5

2,5

6,25

Олег Е.

20

2

6

2,5

-0,5

0,25

Лена Ж.

24

15

9

14

1

1

Алина И.

23

12

9

14

-2

4

 Илья К.

21

4

7

5,5

-1,5

2,25

Юля К.

22

7,5

8

9,5

-2

4

Катя Л.

24

15

9

14

1

1

Денис М.

20

2

6

2,5

-0,5

0,25

 Дима М.

22

7,5

7

5,5

2

4

Соня Н.

23

12

9

14

-2

4

Максим О.

22

7,5

8

9,5

-2

4

 Рома Р.

22

7,5

7

5,5

2

4



136


136

0

45



Приложение №5

Высокий уровень развития Высокий уровень развития речи наблюдается у 12 детей наглядно-образного мышления наблюдается у 9 детей.

испытуемые

 речь

Оля Б.

24

Лена Ж.

24

Катя Л.

24

Лена Д.

23

Алина И.

23

Соня Н.

23

Юля К.

22

Женя Б.

22

 Рита Б.

22

Дима М.

22

Максим О.

22

Рома Р.

22


испытуемые

мышление

Оля Б.

9

Лена Ж.

9

Алина И.

9

Катя Л.

9

Соня Н.

9

Рита Б.

8

Лена Д.

8

Юля К.

8

Максим О.

8












Средний уровень развития Средний уровень развития речи наблюдается у 4 детей наглядно-образного мышления наблюдается у 7 детей.

испытуемые

речь

 

Илья К.

21

 

 Андрей Г.

20

 

Олег Е.

20

 

Денис М.

20

 

испытуемые

мышление

Женя Б.

7

Илья К.

7

Дима М.

7

Рома Р.

7

Олег Е.

6

Денис М.

6

Андрей Г.

5






Похожие работы на - Формирование речи у дошкольников

 

Не нашли материал для своей работы?
Поможем написать уникальную работу
Без плагиата!
Без нейросетей!