Дифференциально-импульсная и нормальная импульсная вольтамперометрия: достоинства и недостатки
РЕФЕРАТ
"ДИФФЕРЕНЦИАЛЬНО-ИМПУЛЬСНАЯ И ИМПУЛЬСНАЯ ВОЛЬТАМПЕРОМЕТРИЯ:
ДОСТОИНСТВА И НЕДОСТАТКИ"
Введение
Вольтамперометрия - это
электрохимический метод, основанный на изучении вольтамперограмм, полученных с
любым индикаторным электродом (вращающийся или стационарный, платиновый и
графитовый, стационарный или статический ртутный), кроме капающего ртутного
электрода.
Вольтамперометрия -
электрохимический метод анализа, основанный на определении зависимости между
силой тока I, протекающего через ячейку, и значением потенциала, приложенного
к электродам. При линейном возрастании потенциал со временем приобретает
значение, при котором начинается электрохимическая
окислительно-восстановительная реакция на электроде, поэтому наблюдается
увеличение величины I.
Идея использования импульсов
потенциала и измерения тока в конце каждого импульса была высказана Баркером в
малоизвестном журнале еще в 1958 году. Однако первый доступный и надежный
полярограф, в котором был реализован метод импульсной вольтамперометрии,
появился на рынке только в семидесятых годах прошлого века. Задержка возникла
из-за проблем в электронике. В девяностые годы наметился существенный прогресс
в развитии импульсной электрохимической аппаратуры. Во многом он связан с
внедрением микропроцессоров и компьютеров, а также с использованием более
совершенного программного обеспечения.
Импульсная вольтамперометрия сначала
применялась со ртутным капающим электродом (РКЭ) и поэтому первоначально
называлась импульсной полярографией. В те годы казалось разумным и выгодным
использовать для поляризации ртутной капли лишь один импульс. В настоящее
время, в начале XXI века, ртутный капающий электрод применяется редко.
Общие положения
Наложение импульса
потенциала на электрод приводит в большинстве экспериментальных случаев к
существенному увеличению отношения фарадеевского тока к току заряжения по
сравнению с аналогичной величиной в вольтамперометрии с линейной разверткой
потенциала. Это происходит потому, что фарадеевский ток обычно уменьшается пропорционально

, тогда как ток
заряжения уменьшается намного быстрее. Вследствие этого можно получить более
низкие пределы обнаружения.
Составляющие тока
заряжения
Известны следующие составляющие
тока заряжения:
1. Ток, зависящий от скорости
сканирования потенциала электрода v; его можно выразить в виде зависимости
Где, А - площадь поверхности
электрода; Cd - дифференциальная емкость двойного электрического слоя. Этот ток
равен нулю (до тех пор, пока длится импульс), поскольку v = 0.
2. Ток, обусловленный
наложением импульса потенциала и соответственно заряжением двойного
электрического слоя. Он существует всегда и его можно записать как
где t - время, прошедшее с момента
наложения пульса; k - константа, зависящая от сопротивления раствора и приложенного
потенциала (k = RS/DE); Rs - сопротивление раствора.
Указанная составляющая полного тока заряжения обычно уменьшается очень быстро.
Проблемы с уменьшением влияния этого тока появляются, когда величина RsCd имеет
большое значение. В такой ситуации следует применять аппаратурный способ
уменьшения влияния тока заряжения.
3. В полярографии
непрерывный рост ртутной капли приводит к появлению соответствующей
составляющей тока заряжения,
. Ее можно записать
следующим образом:
где Си - интегральная
емкость двойного электрического слоя; t - скорость истечения ртути из капилляра; t - период капания электрода.
Способы осуществления
выборки
Фарадеевский и нефарадеевский токи,
протекающие после наложения импульса потенциала, качественно представлены на рис.
1. Если стремиться к получению тока, свободного от составляющей тока
заряжения, то выборку тока следует осуществлять в течение времени, когда ток
заряжения незначителен. С другой стороны, если необходимо измерить ток
заряжения в отсутствие фарадеевского тока, то выборку тока следует проводить
как можно быстрее сразу же после наложения импульса потенциала.
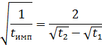
Следует заметить, что осуществление
выборки тока практически выполнимо в течение времени (время выборки) t2-t1, где t1 и t2 - время начала и конца выборки тока. В течение этого периода ток
усредняется и его величина регистрируется прибором. В идеале t2 - t1 должно быть как можно более коротким. В некоторых потенциостатах
это время не превышает нескольких микросекунд, так что выборку тока можно
считать точечной. Однако иногда выгодно, особенно в аналитической химии,
продлевать период выборки тока до миллисекунд, поскольку таким способом можно
существенно уменьшить электрический шум. Именно поэтому в некоторых
полярографах / вольтамперметрах период выборки тока довольно длителен. В таком
случае при выполнении расчетов всегда следует учитывать время выборки tB (или
продолжительность импульса tимп). Если каждый
импульс накладывается на отдельную каплю или импульсы отделены друг от друга
достаточно длинным периодом времени, то время выборки зависит от времени
импульса и его можно рассчитать по формуле
Виды импульсных методов
Способ наложения на электрод
импульсов потенциала определяет разновидности вольтамперометрического метода.
Применяется множество различных форм импульсов и способов измерения токов,
описанных в литературе. Вот наиболее известные из них:
· Ступенчатая
вольтамперометрия
· Нормальная
импульсная вольтамперометрия
· Реверсивная
импульсная вольтамперометрия
· Дифференциальная
импульсная вольтамперометрия
· Квадратно-волновая
вольтамперометрия
Очень часто они отличаются лишь
деталями. С другой стороны, одни и те же вольтамперометрические измерения можно
выполнить разными способами с помощью различных полярографов /
вольтамперметров. Могут возникнуть недоразумения при чтении различных
руководств изготовителей аппаратуры, так как терминология вольтамперометрии
окончательно еще не установлена.
Нормальная импульсная
вольтамперометрия
В нормальной импульсной
вольтамперометрии могут быть использованы преимущества твердых электродов. Так
как временная шкала импульсного эксперимента при использовании и стационарных,
и нестационарных электродов зависит преимущественно от продолжительности
импульса, то, в сущности, теория, применима и к стационарным электродам.
Заметим здесь отличие от постояннотоковых методов, в которых при переходе от
КРЭ (капающий ртутный электрод) к стационарному электроду временная область,
определяющая эксперимент, изменяется от периода капания до скорости развертки
потенциала, и для этих двух случаев нужно привлекать разные теоретические
понятия.
Когда нормальный
импульсный метод применяют для изучения электродной реакции 
преимущества
стационарных электродов связаны с формой налагаемого потенциала.
В начале развертки выбранный
начальный потенциал не вызывает заметного восстановления А, Однако при более
отрицательных потенциалах происходит восстановление и на поверхности электрода
появляется В. В промежутке между импульсами потенциал электрода возвращается к
своему начальному значению, при котором прямая реакция не протекает. Фактически
же, если система является обратимой или ks достаточно велика,
то при потенциале покоя В будет окисляться в А и электрод будет периодически
«очищаться». Обновление поверхности особенно ценно, когда В представляет собой
твердое вещество, осаждаемое на электроде, или адсорбированное вещество, и
тогда форма импульса потенциала обеспечивает преимущества, такие же, как с
применением КРЭ. Конечно, если электродный процесс полностью необратим, то
окисление В в сколько-нибудь заметной степени не происходит, и вышеуказанное
преимущество теряется.
Форма импульсов
потенциала в условиях нормальной импульсной вольтамперометрии (далее - НИВ)
представлена на рис. 2. На электрод последовательно накладываются
возрастающие импульсы потенциала. В течение времени импульса, если потенциал
электрода достаточно близок к 
или более отрицательный,
чем формальный потенциал системы, то образуется продукт Red (по реакции Ох+nе
-> Red). До наложения каждого последующего импульса электрод находится
при начальном потенциале 
в течение времени tw.
При этом потенциале для обратимой электродной реакции продукт, полученный за
время наложения импульса потенциала, снова превращается в исходное вещество, и
начальное распределение концентрации исходного вещества у поверхности электрода
возобновляется. Если промежуток времени между импульсами потенциала в случае
необратимых электродных реакций, для которых продукт электродной реакции не
может вновь превратиться в исходное вещество, достаточно продолжительный, то
начальное распределение концентрации исходного вещества также возобновляется,
так как продукт реакции за указанный промежуток времени может продиффундировать
далеко от электрода в объем раствора. В случае, когда импульс потенциала не
может быть достаточно коротким (несколько миллисекунд), а промежуток времени
между импульсами - достаточно продолжительным (несколько секунд), раствор
следует перемешивать в течение короткого периода времени. Возобновление
начальных концентраций исходного вещества у поверхности электрода после каждого
импульса исключительно важно, поскольку существенно упрощает математические
выражения, описывающие нормальные импульсные вольтамперограммы. Если
используется РКЭ (ртутный капающий электрод) или статический ртутный капельный
электрод, то эта проблема решается довольно просто, так как после каждого
импульса образуется новая капля ртути. В случае микроэлектродов (с размером в
диапазоне мкм) ситуация также упрощается из-за более быстрого транспорта Ох и Red вследствие сферической диффузии к поверхности электрода. Выборку
тока в НИВ обычно проводят в конце импульса. На рис. 2. время выборки
тока отмечено черными кружками.
При наложении последовательных
импульсов потенциала соответствующее увеличение тока происходит до тех пор,
пока концентрация деполяризатора у поверхности электрода не приблизится к нулю.
Тогда ток достигает постоянного значения. В качестве примера на рис. 3.
приведена типичная экспериментальная нормальная импульсная вольтамперограмма
[трис (9,10 - диоксо-1-антрил)] трис - (аминоацетил) амина (ТДАТАА). На этом же
рисунке для сравнения приведена циклическая вольтамперограмма этого вещества.
Из нее видно, что ТДАТАА восстанавливается в две одноэлектронные стадии.
Гораздо проще этот вывод можно сделать на основе данных НИВ, так как обе волны
хорошо выражены и имеют одинаковую высоту.
Если начальные условия
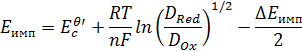
возобновляются после каждого импульса потенциала, то высота волны в НИВ, iпр, нив, описывается следующей формулой:
Формула (1) свидетельствует о том,
что ток в НИВ пропорционален объемной концентрации вещества С*, числу
переносимых электронов n, корню квадратному из коэффициента диффузии этого вещества D, площади поверхности электрода А
и обратно пропорционален времени импульса tимп Фактически, эта формула должна также включать в себя время
выборки tB, особенно тогда, когда выборка тока осуществляется не в конце
импульса. Выражение (1) справедливо для электродов обычного размера (радиус
электрода находится в диапазоне нескольких мм) и для процессов, в которых
транспорт вещества к поверхности электрода осуществляется только за счет
диффузии. Химические реакции с участием деполяризатора, которые предшествуют
переносу электронов или следуют за ним, влияют на величину тока. Высота волны в
НИВ не зависит от скорости переноса электронов, поэтому данный метод
рассматривается как очень надежный для определения коэффициентов диффузии
исследуемых соединений. Потенциал полуволны Е1/2 является характеристическим
для исследуемого вещества. Он незначительно отличается от формального
потенциала системы Ox/Red. Взаимосвязь между формальным потенциалом и потенциалом полуволны
выражается формулой
Чтобы проверить, является
ли исследуемая электродная реакция обратимой, строят полулогарифмическую
зависимость Е от 
.
Для обратимой реакции в диапазоне потенциалов вблизи Е1/2
наклон прямой этой зависимости равен 59,1/п мВ при 25 °С.
Соответствующее выражение, описывающее форму нормальной импульсной
вольтамперограммы, из которого можно найти наклон прямой, имеет следующий вид:
Выражения для
квазиобратимых и необратимых импульсных НИВ - вольтамперограмм более сложные.
Заметное преимущество НИВ перед другими электрохимическими методами обусловлено
формой импульсов потенциала. Во время эксперимента потенциал электрода, при
котором протекает электродный процесс, поддерживается короткое время, равное
нескольким миллисекундам. Это позволяет ограничить влияние нежелательных
процессов, например адсорбции продуктов реакции в виде пленки.
Влияние адсорбции
Нормальная импульсная
вольтамперометрия очень чувствительна к адсорбции как исходных веществ, так и
продуктов электродной реакции на поверхности электрода. Если адсорбируется
деполяризатор, то на вольтамперограмме наблюдается острый пик. При более
сильной адсорбции или более низкой концентрации вещества чем короче время
импульса, тем лучше выражен пик. Адсорбция продукта приводит к образованию
«предволны» на импульсной вольтамперограмме. Хороший пример такого электродного
процесса - электроокисление ртутного электрода в присутствии ЭДТА, сильного
комплексообразующего лиганда. Продукт электродной реакции, Нg(ЭДТА), хорошо адсорбируется на ртути. Чем ниже концентрация ЭДТА
или чем короче время импульса, тем выше (по отношению к основной волне)
«предволна».
Достоинства и недостатки
При нормальной
импульсной вольтамперометрии на напряжение постоянного смещения накладываются
небольшие измерительные импульсы, выделяются и измеряются только синхронно
связанные с ними приращения тока. Это также позволяет эффективно отфильтровать
шумы и помехи. Уменьшается постепенная поляризация измерительного электрода.
Благодаря этому чувствительность обнаружения аналитов, как и при
вольтамперометрии переменного тока, удается повысить на 1-2 порядка.
Дифференциальная
импульсная вольтамперометрия
Уравнения пиков на ДИВ обратимого и
необратимого восстановления впервые вывели Баркер и Гарднер. При переходе от
уравнений квадратноволновой полярографии к соответствующим уравнениям
дифференциальной импульсной полярографии авторы исключили из первых все члены
знакопеременных рядов (учитывающие эффект всех предыдущих импульсных изменений
напряжения поляризации) кроме первого члена. Корректность такого подхода
обусловлена тем, что уравнения квадратноволновой полярографии были выведены на
основе суперпозиции бесконечного числа эффектов, обусловленных поочередными отрицательными
и положительными импульсаминапряжения с интервалами времени между импульсами,
равными полупериоду квадратно-волнового напряжения.
Форма импульсов потенциала в
условиях дифференциальной импульсной вольтамперометрии (ДИВА) показана на рис.
4. В дифференциальной импульсной полярографии применяется РКЭ, и после
каждого импульса потенциала происходит смена ртутной капли. Аналогично НИВ и
РИВ, для описания вольтамперограмм в ДИВА могут быть получены простые теоретические
соотношения, если начальные условия после каждого импульса возобновляются.
Однако, так как метод ДИВА используется главным образом в электроанализе,
выполнение этих условий зависит от того, применяется для получения
вольтамперограмм РКЭ или твердый электрод. Широкое применение ДИВА в химическом
анализе обусловлено низкими значениями (или даже отсутствием) отношения
емкостного / фонового токов. Это достигается выборкой тока дважды: перед
наложением импульса и в его конце. Время выборки тока на рис. 4.
отмечено черными кружками. Таким образом, потенциостат / вольтамперметр
регистрирует ток, равный разности двух токов. Двойная выборка тока позволяет
аналитикам обнаружить анализируемое вещество в растворе с концентрацией ниже
0,05 мкмоль/л. Другим следствием двойной выборки тока является тот факт, что
дифференциальная импульсная вольтамперограмма имеет форму пика.
Для обратимой системы
высота пика 
на дифференциальной
импульсной вольтамперограмме равна
где 
Если 
уменьшается, то фактор 
в этом выражении также
будет уменьшатся, стремясь к нулю. При двойной выборке тока потенциал пика 
имеет меньшее значение
по сравнению с формальным потенциалом, и его можно записать как
Полуширина пика на
половине высоты 
при малых значениях 
равна 
. При 25 °С и п
= 1,2 и 3 эта величина равна 90,4, 45,2 и 30,1 мВ соответственно.
В нормальной импульсной
полярографии используются два типа приборов: приборы, которые измеряют ток в
момент времени tm
после наложения импульса, и приборы, которые измеряют разность токов в моменты
времени 
Фарадеевский эффект. Если начальный
потенциал Е1 выбран так, что фарадеевский ток не протекает,
то в измеряемом импульсном токе постояннотоковая фарадеевская составляющая отсутствует.
Если же начальный потенциал выбран в области предельного тока электродного
процесса, протекающего при менее отрицательных потенциалах, то в приборе
второго типа будет появляться фарадеевская составляющая тока. Однако она не
зависит от потенциала импульса Е2 и будет проявляться только
в виде постоянного сдвига фоновой линии, который легко устранить регулировкой
регистратора. Эффект тока заряжения. Для прибора второго типа
где, 
- общий измеряемый ток,

- нормальный импульсный
фарадеевский ток, 
- ток заряжения. Ток
заряжения выражается теми же уравнениями, что и в дифференциально импульсной
вольтамперометрии, а нормальный импульсный ток равен
Достоинства и недостатки
· улучшенная селективность,
четкое разделение пиков на полярограмме;
· низкий предел
обнаружения;
· возможность
использования фонов с низкими концентрациями вплоть до 10~3М, что уменьшает
вклад примесей из фонового электролита в остаточный ток.
· Использование
стационарного электрода
· Увеличенная площадь
поверхности электрода
· Легкость измерения
больших токов
· Увеличенная
скорость анализа
· Постоянная площадь
электрода
Из недостатков следует отметить то,
что поскольку вид импульса потенциала включает в себя еще и постояннотоковую
развертку потенциала, дифференциальный метод не обладает той уникально
способностью нормального импульсного метода, которая позволяет устранять
некоторые нежелательные для анализа явления.
Заключение
ток заряжение вольтамперометрия импульсный
Возрождение интереса к
электрохимическим методам анализа можно объяснить разными причинами.
Усовершенствование и упрощение конструкций приборов с появлением современных
элементов электроники и операционных усилителей дало возможность создавать
универсальные серийные электрохимические приборы для таких методов, как
имульсная вольтамперометрия, инверсионная вольтамперометрия. Достижения
основаны на первых работах Гейровского и усовершенствованы при помощи
вычислительных методов и моделирования. Интерес к определению малых
концентраций металлов и органических веществ и в особенности стремление
определить истинную форму исследуемого вещества в пробе, например при анализе
объектов окружающей среды, привело к существенному расширению сфер применения
электрохимических методов анализа. Кроме того, растущее понимании возможностей
электрохимических методов в дополнение к спектроскопическим значительно
увеличило эффективность применения таких методов, как циклическая
вольтамперометрия, инверсионная вольтамперометрия, нормальная импульсная
вольтамперометрия, квадратно-волновая и др.
Относительно недавнее появление
высококачественной трехэлектродной импульсной вольтамперометрической аппаратуры
привело к значительному подъему аналитических работ, особенно в дифференциальном
импульсном варианте. Нормальный импульсный метод в будущем, вероятно, будет
ограничиваться использованием в специальных приложениях (например, анализ
технологических процессов, адсорбция на стационарных электродах и т.д.). В
конце концов, дифференциальный импульсный метод станет одним из самых широко
распространенных вольтамперометрических методов.
Литература
2. Штольц Ф. Электроаналитические методы теория и практика.
- М.: Бином. Лаборатория знаний, 2006
. Каплан Б.Я. Импульсная полярография. - М.: Химия, 1978
. Салихджанова Р.М. Вольтамперометрия переменного тока, М.:
Химия, 1985
. Гейровский Я., Кута Я. Основы полярографии: Пер. с чеш. /
Под ред. С.Г. Майрановского. - М.: Мир, 1965.
. Крюкова Т.А., Синякова С.И., Арефьева Т.В.
Полярографический анализ. - М.: Госхимиздат, 1959.
. Пац Р.Г., Васильева Л.Н. Методы анализа с использованием
полярографии переменного тока. - М.: Металлургия, 1967.
. Брук Б.С. Полярографические методы. - 2-е изд. - М.:
Энергия, 1972.