Разработка внешнего электроснабжения
Разработка
внешнего электроснабжения
Содержание
Введение
. Анализ исходных данных
. Разработка внутризаводского
электроснабжения
.1 Определение расчётных силовых
нагрузок цехов предприятия
.2 Выбор типа, мощности и мест
расположения компенсирующих устройств на напряжении до 1000В
.3 Выбор типа, числа и мощности
трансформаторов ТП и их месторасположения
.4 Определение центра нагрузки
.5 Выбор проводов и кабелей
распределительной сети
. Разработка внешнего
электроснабжения
.1 Выбор силовых трансформаторов ГПП
.2 Выбор сечений проводов питающих
линий
.3 Технико-экономическое сравнение
вариантов
.4 Расчёт токов короткого замыкания
и проверка сечений кабельных линий на термическую стойкость
.5 Электрический расчет
распределительной сети
.6 Механический расчет проводов ВЛ
питающей сети
Заключение
Список литературы
Введение
Электроэнергетика - отрасль промышленности,
занимающаяся производством электроэнергии на электростанциях и передачей ее
потребителям. Энергетика является основой развития производственных сил в любом
государстве. Энергетика обеспечивает бесперебойную работу промышленности,
сельского хозяйства, транспорта, коммунальных хозяйств. Стабильное развитие
экономики невозможно без постоянно развивающейся энергетики. Энергетическая промышленность
является частью топливно-энергетической промышленности и неразрывно связана с
другой составляющей этого гигантского хозяйственного комплекса - топливной
промышленностью.
Российская энергетика - это 600 тепловых, 100
гидравлических, 9 атомных электростанций. Общая их мощность по состоянию на
октябрь 1993го года составляет 210 млн. кВт. В 1992 году они выработали около 1
триллиона кВт/ч электроэнергии и 790 млн. Гкал тепла. Продукция ТЭК составляет
лишь около 10% ВПП страны, однако доля комплекса в экспорте составляет около
40%(в основном за счет экспорта энергоносителей). В 1992 году экспортировано в
страны Европы и Азии свыше 2% всей электроэнергии произведенной в стране. Общая
длина линий электропередач составила 2.5 млн. километров. Более 1.10 миллиона
человек занято в электроэнергетике. За последние 80 лет промышленное
производство электроэнергии увеличилось в тысячу с лишним раз (см. таблицу 1),
была создана единая энергосистема и около сотни районных энергосистем. Плоды
гигантомании советского времени воплотились в этой отрасли более, чем где-либо
еще. Многие из гигантов электроэнергетики размещены неравномерно, экономически
и географически неправильно, но это не уменьшает ценность таких объектов -
сейчас их не перенесешь и не перепрофилируешь.
Теплоэнергетика
Около 75% всей электроэнергии России
производится на тепловых электростанциях. Большинство городов России снабжаются
именно ТЭС. Часто в городах используются ТЭЦ - теплоэлектроцентрали,
производящие не только электроэнергию, но и тепло в виде горячей воды. Такая
система является довольно-таки непрактичной т.к. в отличие от электрокабеля
надежность теплотрасс чрезвычайно низка на больших расстояниях, эффективность
централизованного теплоснабжения сильно при передаче также понижается. Подсчитано,
что при протяженности теплотрасс более 20 км. (типичная ситуация для
большинства городов) установка электрического бойлера в дельно стоящем доме
становится экономически выгодна.
Гидроэнергетика
ГЭС производят наиболее дешевую электроэнергию,
но имеют довольно-таки большую себестоимость постройки. Именно ГЭС позволили
советскому правительству в первые десятилетия советской власти совершить такой
прорыв в промышленности. Современные ГЭС позволяют производить до 7 Млн. КВт
энергии, что двое превышает показатели действующих в настоящее время ТЭС и АЭС,
однако размещение ГЭС в европейской части России затруднено по причине
дороговизны земли и невозможности затопления больших территорий в данном
регионе. Построенные в западной и восточной Сибири мощнейшие ГЭС несомненно
нужны и это - важнейший ключ к развитию Западносибирского а также
энергоснабжению Уральских экономических районов. Важным недостатком ГЭС
является сезонность их работы, столь неудобная для промышленности.
Атомная энергетика.
Первая в мире АЭС - Обнинская была пущена в 1954
году в России. Персонал 9 российских АЭС составляет 40.6 тыс. человек или 4% от
общего числа населения занятого в энергетике. 11.8% или 119.6 млрд. КВтч. всей
электроэнергии, произведенной в России выработано на АЭС. Только на АЭС рост
производства электроэнергии сохранился : в 1993 году планируется произвести
118% от объема 1992 года. АЭС, являющиеся наиболее современным видом
электростанций имеют ряд существенных преимуществ перед другими видами
электростанций: при нормальных условиях функционирования они абсолютно не
загрязняют окружающую среду, не требуют привязки к источнику сырья и
соответственно могут быть размещены практически везде, новые энергоблоки имеют
мощность практически равную мощности средней ГЭС, однако коэффициент
использования установленной мощности на АЭС (80%) значительно превышает этот
показатель у ГЭС или ТЭС. Значительных недостатков АЭС при нормальных условиях
функционирования практически не имеют. Однако нельзя не заметить опасность АЭС
при возможных форс-мажорных обстоятельствах: землетрясениях, ураганах, и т. п.
- здесь старые модели энергоблоков представляют потенциальную опасность
радиационного заражения территорий из-за неконтролируемого перегрева реактора.
Энергетика Дагестана.
В результате реформирования электроэнергетики из
ОАО «Дагэнерго» выделились пять компаний по видам деятельности. Отделившись от
производства электроэнергии (генерация) и её реализации конечному потребителю
(энергосбыт) компания, сохранившая за собой бренд ОАО «Дагэнерго»,
трансформировалась в распределительную сетевую компанию (РСК) и структурно
находилась под управлением Межрегиональной сетевой компании Центра и Северного
Кавказа. После ряда реорганизаций с 1 апреля 2008 года активы ОАО «Дагэнерго»
консолидированы в рамках единой на Северном Кавказе крупной и более
привлекательной для инвесторов компании - ОАО «МРСК Северного Кавказа», а в
Республике Дагестан создан филиал ОАО «МРСК Северного Кавказа» - «Дагэнерго».
Основными задачами филиала являются:
· транспортировка электроэнергии по
распределительным сетям напряжением от 0,4 до 110 кВ;
· надежное электроснабжение потребителей
электроэнергией;
· присоединение новых потребителей к
электросетевой инфраструктуре.
В филиале ОАО «МРСК Северного Кавказа» -
«Дагэнерго» трудятся более 3 тыс. человек квалифицированных специалистов,
объединенных общей целью - донести энергию света до каждого потребителя. Филиал
располагает воздушными линиями электропередачи разных уровней напряжений общей
протяженностью 32950км; 204 подстанциями 35-110 кВ; 7161 трансформаторным
пунктом 6-10/0,4 общей мощностью 875,52 МВА и другими энергообъектами. Главной
стратегической целью филиала являются приоритеты энергетической безопасности,
экономической эффективности и инвестиционной привлекательности. Системное
решение данной стратегической цели состоит в переходе от инерционного развития
на базе накопленного потенциала прошлых лет, способствующего решению задач лишь
догоняющего характера, к инновационному типу развития, который позволит
совершить прорыв и выйти на современный уровень развития мировой энергетики.
Вопросы экологии
Производство энергии, являющейся необходимым
средством для существования и развития человечества, оказывает воздействие на
природу и окружающую человека среду. Современный период развития человечества
иногда характеризует через три вида: энергетика, экономика и экология.
Энергетика в этом ряду занимает особое место. Она является определяющей и для
экономики и для экологии. Самые острые экологические проблемы прямо или
косвенно связаны с производством, либо с использованием энергии. Энергетике
принадлежит первенство не только в химическом, но и в других видах загрязнения
: тепловом, аэрозольном, электромагнитном, радиоактивном. Поэтому от решения
энергетических проблем зависит возможность решения основных экологических
проблем зависит возможность решения основных экологических проблем. Современные
методы решения экологических проблем базируются на анализе степени и источников
загрязнения окружающей среды на очистке ее при превышении предельно допустимых
концентраций токсических веществ. Таким образом пока не найдены способы
качественного преобразования химической энергии веществ в тепловую энергию,
трудно решить экологические проблемы.
1 Анализ исходных
данных на проектирование
. Размер площади для завода: принять по рис.
. Количество цехов - 17.
. Отрасль тяжелого машиностроения.
. Источник питания районная подстанция
110/35/10кВ с двумя трансформаторами по 63 МВА, расстояние - 68км.
. Работа завода двухсменная, среда в районе завода
нормальная.
. Категория электроснабжения: 1-9%, 2-46%,
3-45%.
. При расчете токов К.З. принять на шинах 110 кВ
районной подстанции
= 1500МВА,
=
1000 МВА.
.Стоимость электроэнергии - при установленной
мощности трансформаторов 750 КВА и выше 120 коп/кВт. ч.
. Напряжение распределительной сети завода 10
кВ.
. Средневзвешенный коэффициент мощности завода
cos φ
= 0.94
11. Время использования максимума Тм = 4800 час
Вариант 48. ЭЛЕКТРИЧЕСКИЕ НАГРУЗКИ МЕХАНИЧЕСКОГО
ЗАВОДА
|
№
|
Наименование
цехов
|
Кол-во
|
Pн
|
ΣPн
|
|
|
ЭП
|
кВт
|
кВт
|
|
1
|
Электроцех
|
50
|
0,6-30
|
380
|
|
2
|
Инструментальный
цех
|
95
|
1,5-28
|
1000
|
|
3
|
Цех
термообработки
|
40
|
15-80
|
1800
|
|
4
|
Цех
нестан-го оборудования
|
27
|
15-20
|
400
|
|
5
|
Токарно-автоматный
цех
|
210
|
1,6-28
|
2470
|
|
6
|
Сборочный
цех
|
38
|
0,6-30
|
800
|
|
7
|
Штамповочный
цех
|
100
|
1,6-50
|
2000
|
|
8
|
Механический
цех
|
1777
|
1,0-30
|
2600
|
|
9
|
Гальванический
цех
|
120
|
1,5-200
|
2344
|
|
10
|
Компрессорный
цех
|
6
|
70
|
450
|
|
11
|
Кузнечный
цех
|
137
|
2,5-90
|
3800
|
|
12
|
Литейный
цех
|
76
|
0,6-170
|
1689
|
|
13
|
Тарный
цех
|
20
|
1,0-30
|
200
|
|
14
|
Склады
|
6
|
1,0-20
|
60
|
|
15
|
Заводоуправление
|
21
|
0,6-18
|
160
|
|
16
|
Столовая
|
32
|
1,0-14
|
320
|
|
17
|
Бытовые
ЦЗЛ
|
29
|
1,0-20
|
300
|
2. Разработка
внутризаводского электроснабжения
.1 Определение
расчетных силовых нагрузок цехов предприятия
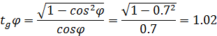
Для первого цеха по справочнику определим
коэффициент мощности
cos φ=0,7
.Определим полную мощность
. Определим реактивную мощность
. По cos φ определим
tg φ
по
формуле:
Для остальных цехов расчет сделаем аналогично и
результаты занесем в таблицу 1.
Таблица 1
|
№
|
Наименование
цехов
|
Pм
|
Cos φ
|
Sм
|
Qм
|
tg
φ
|
|
|
кВт
|
|
кВА
|
кВар
|
|
|
1
|
Электроцех
|
380
|
0,7
|
542,9
|
387,7
|
1,02
|
|
2
|
Инструментальный
цех
|
1000
|
0,7
|
1428,6
|
10207
|
1,02
|
|
3
|
Цех
термообработки
|
1800
|
0,9
|
2000
|
871,8
|
0,48
|
|
4
|
Цех
нестан-го оборуд-я
|
400
|
0,7
|
571,4
|
408,1
|
1,02
|
|
5
|
Токарно-автоматный
цех
|
2470
|
0,7
|
3528,6
|
2520
|
1,02
|
|
6
|
Сборочный
цех
|
800
|
0,7
|
1142,9
|
816,2
|
1,02
|
|
7
|
Штамповочный
цех
|
2000
|
0,7
|
2857
|
2040
|
1,02
|
|
8
|
Механический
цех
|
2600
|
0,7
|
3714,3
|
2652
|
1,02
|
|
9
|
Гальванический
цех
|
2344
|
0,85
|
2757,6
|
1452,7
|
0,612
|
|
10
|
Компрессорный
цех
|
450
|
0,8
|
562,5
|
337,5
|
0,75
|
|
11
|
Кузнечный
цех
|
3800
|
0,7
|
5428,6
|
3876,8
|
1,02
|
|
12
|
Литейный
цех
|
1689
|
0,7
|
2412,8
|
1723
|
1,02
|
|
13
|
Тарный
цех
|
200
|
0,7
|
285,7
|
204
|
1,024
|
|
14
|
Склады
|
60
|
0,6
|
100
|
80
|
1,33
|
|
15
|
Заводоуправление
|
160
|
0,7
|
228,6
|
163
|
1,02
|
|
16
|
Столовая
|
320
|
0,9
|
355,6
|
155
|
0,48
|
|
17
|
Бытовые
ЦЗЛ
|
300
|
0,7
|
428,6
|
306
|
1,02
|
Вычислим суммарную активную мощность для завода
Вычислим суммарную реактивную мощность
Определим полную мощность по формуле
2.2 Выбор типа,
мощности и мест размещения компенсирующих устройств на напряжение до 1000 В
Компенсирующие устройства ставятся
для повышения
. При низком
увеличивается
ток, а следовательно необходимо увеличить сечение проводов, мощность
генераторов электростанций, затраты топлива на выработку электрической энергии.
Для начала повышаем
естественными
способами, например: 1. Ограничение холостого хода силовых трансформаторов,
ограничение холостого хода сварочных аппаратов и ограничение холостого хода
асинхронных двигателей.
. Замена недогруженных двигателей
двигателями меньшей мощности
. Если мощность двигателей более
100кВт, то рекомендуется использовать синхронный двигатель
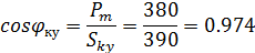
Выбор компенсирующих устройств
Вычислим мощность КУ для первого
цеха по формуле:
Определим
зная что cos φ =
0,94
Со справочника выберем
компенсирующее устройство типа
*УКЛ(П)Н-0,38-150-50У3
Определим полную мощность после
компенсации:
кВА
Определим
после
компенсации:
Для остальных цехов расчет выполняется
аналогично, результаты заносим в таблицу 2.
|
№
|
|
|
Тип
компенсирующего устройства
|
|
|
сos
φ
пк
|
|
кВт
|
кВар
|
|
кВар
|
кВА
|
|
|
1
|
380
|
250,8
|
2*УКМ58-0,38-125-25У3
|
250
|
404,2
|
0,94
|
|
2
|
1000
|
660
|
6*УК
-0,38-110-НУ3
|
660
|
1062,9
|
0,94
|
|
3
|
1800
|
0
|
|
0
|
2000,0
|
0,90
|
|
4
|
400
|
264
|
2*
УКМ58-0,38-125-25У3
|
266
|
424,5
|
0,94
|
|
5
|
2470
|
1630,2
|
1720
|
2596,3
|
0,95
|
|
6
|
800
|
528
|
3*УКМ58
-0,38-175-25У3
|
525
|
851,4
|
0,94
|
|
7
|
2000
|
1320
|
6*УК
-0,38-220-НУ3
|
1320
|
2125,8
|
0,94
|
|
8
|
2600
|
1716
|
6*УК
-0,38-430-НУ3
|
1720
|
2762,2
|
0,94
|
|
9
|
2344
|
609,44
|
2*УК
-0,38-320-НУ3
|
640
|
2480,9
|
0,94
|
|
10
|
450
|
175,5
|
2*УК
-0,38-110-НУ3
|
156
|
485,2
|
0,93
|
|
11
|
3800
|
2508
|
6*УК
-0,38-430-НУ3
|
2580
|
4015,2
|
0,95
|
|
12
|
1689
|
1114,74
|
4*УКЛ(П)Н-0,38-30050У3
|
1100
|
1800,3
|
0,94
|
|
13
|
200
|
132
|
УКМ58-0,38-125-25У3
|
125
|
215
|
0,93
|
|
14
|
60
|
58,2
|
|
0
|
100,0
|
0,60
|
|
15
|
160
|
105,6
|
УК
-0,38-110-НУ3
|
110
|
168,6
|
0,95
|
|
16
|
320
|
0
|
|
0
|
355,6
|
0,90
|
|
17
|
300
|
198
|
2*УКМ58
-0,38-100-20У3
|
200
|
318,2
|
0,94
|
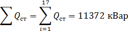
Определим суммарную мощность КУ
Определим суммарную полную мощность после
компенсации
Компенсирующее устройство
устанавливается на цеховой подстанции и подключается к шинам низкого
напряжения, чтобы добиться желаемого
. кроме подстанций где cos φ>=0.9, и подстанций
где
<100кВар
Электрическая схема установки КУ
.3 Выбор типа,
числа и мощности трансформаторов ТП и их месторасположения
Выбор числа и мощности силовых трансформаторов
ТП зависит от категории электроснабжения цехов, если потребитель первой
категории электроснабжения, то для него выбирается 2 трансформатора; для
потребителей второй категории - 2 трансформатора или 1 трансформатор при
условии наличия резервного выкатного трансформатора; потребители третьей
категории от одного трансформатора.
Если потребитель первой и второй категории
электроснабжения то
выбираем из
условия:
>=
,4 коэффициент возможной 40% перегрузке одного
трансформатора при отключении другого в течении 5 дней по 6 часов в сутки.
Если потребитель третей категории
электроснабжения то
выбираем из
условия:
>=
Электроцех является потребителем второй
категории электроснабжения и питается от двух трансформаторов
Выбираем два трансформатора типа ТМ-400/10
Аналогично выбираем трансформаторы и для других
цехов, результаты заносим в таблицу 3, а технические данные трансформаторов в
таблицу4
Таблица 3
|
№
|
категория
|
количество
|
|
|
|
Тип
трансформатора
|
|
|
|
кВА
|
кВА
|
кВА
|
|
|
1
|
2
|
2
|
404,2
|
288,7
|
400
|
ТМ-400/10
|
|
2
|
2
|
2
|
1062,9
|
759,2
|
1000
|
ТМ-1000/10
|
|
3
|
1
|
2
|
2000
|
1428,6
|
1600
|
ТМ-1600/10
|
|
4
|
2
|
2
|
424,5
|
303,2
|
400
|
ТМ-400/10
|
|
5
|
2
|
2
|
2596,3
|
1854,5
|
2500
|
ТМ-2500/10
|
|
6
|
2
|
2
|
851,4
|
608,1
|
630
|
ТМ-630/10
|
|
7
|
2
|
2
|
2125,8
|
1518,4
|
1600
|
ТМ-1600/10
|
|
8
|
2
|
2
|
2762,2
|
1973,0
|
2500
|
ТМ-2500/10
|
|
9
|
2
|
3
|
2480,9
|
1772,1
|
1000
|
ТМ-1000/10
|
|
10
|
2
|
2
|
485,2
|
346,6
|
400
|
ТМ-400/10
|
|
11
|
2
|
3
|
4015,2
|
2868,0
|
1600
|
ТМ-1600/10
|
|
12
|
1
|
2
|
1800,3
|
1285,9
|
1600
|
ТМ-1600/10
|
|
13
|
3
|
1
|
215
|
215
|
250
|
ТМ-250/10
|
|
14
|
3
|
1
|
100
|
100,0
|
100
|
ТМ-100/10
|
|
15
|
2
|
2
|
168,6
|
120,4
|
160
|
ТМ-160/10
|
|
16
|
3
|
1
|
355,6
|
355,6
|
400
|
ТМ-400/10
|
|
17
|
3
|
1
|
318,2
|
312,1
|
400
|
ТМ-400/10
|
Таблица 4
Технические данные трансформаторов
|
№
|
Тип
трансформатора
|
Sн
|
Uн1
|
Uн2
|
△Pкз
|
△Pхх
|
Uкз
|
Iхх
|
|
|
кВА
|
кВ
|
кВ
|
кВт
|
кВт
|
%
|
%
|
|
1
|
ТМ-100/10
|
100
|
10
|
0,4
|
0,60
|
0,33
|
4,5
|
2,6
|
|
2
|
ТМ-160/10
|
160
|
10
|
0,4
|
2,65
|
0,51
|
4,5
|
2,4
|
|
3
|
ТМ-250/10
|
250
|
10
|
0,4
|
3,70
|
0,74
|
4,5
|
2,3
|
|
4
|
ТМ-400/10
|
400
|
10
|
0,4
|
5,50
|
0,95
|
4,5
|
2,1
|
|
5
|
ТМ-630/10
|
630
|
10
|
0,4
|
7,60
|
0,131
|
5,5
|
2
|
|
6
|
ТМ-1000/10
|
1000
|
10
|
0,4
|
12,2
|
2,4
|
5,5
|
1,4
|
|
7
|
ТМ-1600/10
|
1600
|
10
|
0,4
|
18
|
3,3
|
5,5
|
1,4
|
|
8
|
ТМ-2500/10
|
2500
|
10
|
0,4
|
25
|
4,6
|
5,5
|
1,0
|
|
9
|
ТМ-4000/10
|
4000
|
10
|
0,4
|
33,5
|
6,4
|
6,5
|
0,9
|
2.4 Определение
центра нагрузки цехов
Определим координаты местоположения цехов
завода, по полученным данным составим таблицу 7
|
№
цеха
|
Pm
|
Xpi
|
Ypi
|
|
1
|
380
|
325
|
595
|
|
2
|
1000
|
330
|
750
|
|
3
|
1800
|
485
|
830
|
|
4
|
905
|
595
|
|
5
|
2470
|
295
|
280
|
|
6
|
800
|
540
|
280
|
|
7
|
2000
|
715
|
235
|
|
8
|
2600
|
975
|
85
|
|
9
|
2344
|
650
|
595
|
|
10
|
450
|
135
|
95
|
|
11
|
3800
|
565
|
490
|
|
12
|
1689
|
270
|
100
|
|
13
|
200
|
70
|
95
|
|
14
|
60
|
595
|
60
|
|
15
|
160
|
1130
|
800
|
|
16
|
320
|
35
|
110
|
|
17
|
300
|
585
|
660
|
Вычислим координаты установки ГПП
=
=
=
2.5 Выбор проводов
и кабелей распределительной сети
Для внутризаводского электроснабжения выбираем
радиальную схему т.к. она является предпочтительной для коротких линий.
Выбор конфигурации схемы распределения
электроэнергии
Выбор сечений кабелей производится по
экономической плотности тока.
Для одноцепных кабелей ток равен
Для двухцепных кабелей ток равен
Рассчитаем сечение кабеля для ТП первого цеха
Определим ток протекающий по кабелю
Определим сечение кабеля при jэк=1,4
Выбираем кабель марки АСБ 3∙16мм2
После выбора, проверяем кабель по длительному
току
Для двухцепных кабелей:
Для одноцепных кабелей:
Для остальных цехов расчет аналогичен. Все
расчетные данные внесены в таблицу 8
таблица 8
|
№
|
Sрасч
|
Iрасч
|
Fэ
|
Марка
кабеля
|
n
|
Iдоп
|
|
кВА
|
А
|
мм2
|
|
кол-во
|
А
|
|
1
|
404,2
|
11,7
|
16
|
АСБ3*16
|
2
|
75
|
|
2
|
1062,9
|
30,7
|
16
|
АСБ3*16
|
2
|
75
|
|
3
|
2000
|
57,8
|
35
|
АСБ3*35
|
2
|
115
|
|
4
|
424,5
|
12,3
|
16
|
АСБ3*16
|
2
|
75
|
|
5
|
2596,3
|
75,0
|
50
|
АСБ3*50
|
2
|
140
|
|
6
|
851,4
|
24,6
|
16
|
АСБ3*16
|
2
|
75
|
|
7
|
2125,8
|
61,4
|
35
|
АСБ3*35
|
2
|
115
|
|
8
|
2762,2
|
79,8
|
50
|
АСБ3*50
|
2
|
140
|
|
9
|
2480,9
|
47,8
|
35
|
АСБ3*35
|
3
|
115
|
|
10
|
485,2
|
14,0
|
16
|
АСБ3*16
|
2
|
75
|
|
11
|
4015,2
|
116,0
|
70
|
АСБ3*70
|
3
|
165
|
|
12
|
1800,3
|
52,0
|
35
|
АСБ3*35
|
2
|
115
|
|
13
|
212,2
|
12,3
|
16
|
АСБ3*16
|
1
|
75
|
|
14
|
100
|
5,8
|
16
|
АСБ3*16
|
1
|
75
|
|
15
|
168,6
|
4,9
|
16
|
АСБ3*16
|
2
|
75
|
|
16
|
355,6
|
20,6
|
16
|
АСБ3*16
|
1
|
75
|
|
17
|
318,2
|
18,4
|
16
|
АСБ3*16
|
1
|
75
|
3. Разработка
внешнего электроснабжения
.1 Выбор числа и
мощности трансформаторов ГПП
Для всего завода:
=
Выбираем
близкое
к
Выбираем по два трансформатора с высоким
напряжением 35 и 110 Кв
Определяем коэффициент загрузки трансформаторов
в нормальном режиме по формуле:
=
=0,69
Определяем коэффициент загрузки трансформаторов
в аварийном режиме по формуле:
Данные заносим в таблицу 5
|
|
n
|
Uн
|
|
|
Тип
трансформатора
|
Кз
в Норм режиме
|
Кз
в ав-м режиме
|
|
кВА
|
кол
|
кВ
|
кВА
|
кВА
|
|
|
|
|
22132
|
2
|
110
|
15808
|
16000
|
ТДН-16000/110
|
0,69
|
1,38
|
|
22132
|
2
|
35
|
15808
|
16000
|
ТД-16000/35
|
0,69
|
1,38
|
Технические данные
трансформаторов ставим в таблицу 6
Таблица 6
Технические данные трансформаторов
|
№
|
Тип
трансформатора
|
Sн
|
Uн1
|
Uн2
|
△Pкз
|
△Pхх
|
Uкз
|
Iхх
|
|
|
кВА
|
кВ
|
кВ
|
кВт
|
кВт
|
%
|
%
|
|
1
|
ТДН-16000/110
|
16000
|
110
|
10
|
90
|
26
|
10,5
|
0,7
|
|
2
|
ТД-16000/35
|
16000
|
35
|
10
|
90
|
21
|
8
|
0,6
|
3.2 Выбор сечений
проводов питающих линий
Определим сечение провода по экономической
плотности тока для 35кВ
Определим ток
Определим сечение провода
Выберем провод марки АС-150. Проверим провод по
нагреву.
Провод проходит по нагреву.
Технические данные проводов представлены в
таблице 13.
Таблица 13.
|
№
|
Марка
провода
|
Uн,
кВ
|
R0,
Ом/км
|
L,
км
|
С0,
тыс.руб./км
|
|
1
|
АС-150
|
35
|
0,198
|
68
|
12,5
|
Определим сечение провода по экономической
плотности тока для 110кВ электроснабжение мощность
кабельный линия
Определим ток
Определим сечение провода
Выберем провод марки АС-70. Проверим провод по
нагреву.
Провод проходит по нагреву.
Технические данные проводов представлены в
таблице 13.
Таблица 13.
|
№
|
Марка
провода
|
Uн,
кВ
|
R0,
Ом/км
|
L,
км
|
С0,
тыс.руб./км
|
|
1
|
АС-70
|
110
|
0,43
|
68
|
13,5
|
3.3 Выбор напряжении питающей сети на основе
технико-экономического сравнение методом дисконтированных затрат
Рис. 3 Схемы для
технико-экономического сравнения
Вариант I - 35кВ
Определим стоимость ВЛ.
Клэп = С0*L =12.5*68 = 850 тыс. руб.
где С0=12,5 тыс. руб. стоимость одного километра
линии.
Определим по справочнику стоимость ГПП.
Кгпп=193,49 тыс. руб.
Суммарная стоимость
К1= Клэп+ Кгпп=850+193,49=1043.49тыс.руб.
Переведем капитальные затраты в цены нынешнего
времени, для этого умножим их на коэффициент удорожания Куд
К=1043.49*30=31304.7
Вычислим суммарные издержки.
И = Иа + Ир + И△W
Иа - издержки на амортизацию
Ир- издержки на ремонт
И△W
- издержки на оплату потерь ээ.
Издержки на ремонт
.
Издержки на оплату потерь ээ
И△W
=△W*
Суммарные потери ээ
△W=△Wтр+△Wлэп
Потери ээ в ЛЭП
△Wлэп =△Р*
Потери мощности в ЛЭП
Определим максимальное время потерь
△Wлэп = 2692.327 *
=
8604677.1 кВт/ч
Потери ээ в трансформаторе
△Wтр=△Рхх*8760+
*△Ркз*
=21*8760+
*90*
=734613.26кВт/ч
△W= 8604677.1
+734613.26=9339290.36 кВт/ч
И△W
= 9339290.36 *0,04=373.572 тыс.руб.
И1=
+12,6+373.572
=421.172 тыс.руб.
Переведем издержки в цены нынешнего времени, для
этого умножим их на коэффициент удорожания Куд
И=421.172*30=12635.6
Общие затраты
З = К + И = 31304.7+12635.6=43939.86 тыс.руб.
Вариант II - 110кВ
Определим стоимость ВЛ.
Клэп = С0*L =13.5*68 = 918 тыс. руб.
Определим по справочнику стоимость ГПП.
По справочнику выберем ГПП-110-ΙΙΙ-У-2×16000А2
Кгпп=226,66 тыс. руб.
Суммарная стоимость
К= Клэп+ Кгпп=918+226,66=1144.66 тыс.руб.
Переведем капитальные затраты в цены нынешнего
времени, для этого умножим их на коэффициент удорожания Куд
К=1144.66*30=34339.8
Вычислим суммарные издержки.
И = Иа + Ир + И△W
Издержки на амортизацию
Иа=
+
=
тыс.руб.
Издержки на ремонт
Ир=
=
+
тыс.руб.
Издержки на оплату потерь ээ
И△W
=△W*
Суммарные потери ээ
△W=△Wтр+△Wлэп
Потери ээ в ЛЭП
△Wлэп =△Р*
Потери мощности в ЛЭП
△Р =
*
=589.193
кВт
*8760 =
△Wлэп = 589.193 *
=
1883060.8 кВт/ч
Потери ээ в трансформаторе
△Wтр=△Рхх*8760+
*△Ркз*
=26*8760+
*90*
=625674кВт/ч
△W= 1883060.8
+625674=2508734.8кВт/ч
И△W
= 2508734.8*0,04=100.349 тыс.руб.
И=
+
+100.349 =154.73 тыс.руб.
Переведем издержки в цены нынешнего времени, для
этого умножим их на коэффициент удорожания Куд
И=154.73 *30=4641.9
Общие затраты
З = К + И = 34339.8+4641.9=38981.7 тыс.руб.
.4. Расчёт токов короткого замыкания и проверка
сечений кабельных линий на термическую стойкость
Составим схему замещения для расчета к.з.
Sc=1000 МВА
хс=0,9
Uср=115 кВ
L=68км
R0=0,43 Ом/км
Х0=0,444 Ом/км
Uср=115 кВ
Sт=16 МВА
ΔUк.з.=10,5%
ΔРк.з.=90 кВт
Uср=10,5 кВ
Рис. 5 Схема для расчета
Рассчитываем параметры схемы замещениян=1000
МВА, S''=1500 МВА,
Для удобства расчета принимаем Sб=1000 МВА
Определим сопротивление системы
Определим сопротивление линии
Определим сопротивление трансформатора Xт
Определим X результирующее
рез =
+
+
=6.6+1.1+0.67=8.37
Определим базисный ток
Определим ток к.з.
Определим
Определим активное и реактивное сопротивление
кабеля Rк и Xк
Определим Zрез
Определим ударный ток
Определим тепловой импульс
где:
t=tр+tв+tп=0.9+0.1+0.05=1.05
Определим минимальное допустимое сечение кабеля
АСБ 3∙16мм2
Т.к. по термической стойкости кабель не
проходит, то выбираем кабель большего сечения: АСБ 3∙95мм2
Для кабелей остальных ЦТП расчет аналогичен,
результаты внесены в таблицу 16. Новые кабели и их параметры занесены в таблицу
17
Таблица 16
|
№
|
Fст
|
RK
|
XK
|
Zрез
|
Iк.з.
|
Вк
|
Fmin
|
Fк
|
|
мм2
|
Ом
|
Ом
|
Ом
|
кА
|
кА2
с
|
мм2
|
мм2
|
|
1
|
16
|
0,12
|
0,007
|
0,94
|
6,48
|
39,08
|
78,06
|
95
|
|
2
|
16
|
0,49
|
0,028
|
1,07
|
5,70
|
30,50
|
68,70
|
70
|
|
3
|
35
|
0,20
|
0,022
|
0,96
|
6,30
|
37,02
|
75,91
|
95
|
|
4
|
16
|
0,27
|
0,016
|
0,97
|
6,23
|
36,24
|
75,09
|
95
|
|
5
|
50
|
0,08
|
0,012
|
0,94
|
6,49
|
39,25
|
78,24
|
95
|
|
6
|
16
|
0,36
|
0,021
|
1,01
|
6,03
|
34,00
|
72,66
|
95
|
|
7
|
35
|
0,08
|
0,008
|
0,93
|
6,52
|
39,59
|
78,58
|
95
|
|
8
|
50
|
0,20
|
0,030
|
0,97
|
6,25
|
36,45
|
75,31
|
95
|
|
9
|
35
|
0,08
|
0,008
|
0,93
|
6,51
|
39,51
|
78,50
|
95
|
|
10
|
16
|
0,68
|
0,040
|
1,18
|
5,16
|
25,23
|
62,24
|
70
|
|
11
|
70
|
0,02
|
0,004
|
0,92
|
6,57
|
40,19
|
79,19
|
95
|
|
12
|
35
|
0,24
|
0,026
|
0,98
|
6,21
|
36,03
|
74,87
|
95
|
|
13
|
16
|
0,89
|
0,052
|
1,32
|
4,60
|
20,24
|
55,45
|
70
|
|
14
|
16
|
0,70
|
0,041
|
1,19
|
5,11
|
24,74
|
61,60
|
70
|
|
15
|
16
|
0,92
|
0,054
|
1,34
|
4,53
|
19,64
|
54,58
|
70
|
|
16
|
16
|
1,53
|
0,089
|
1,84
|
3,31
|
10,97
|
39,87
|
50
|
|
17
|
16
|
0,58
|
0,034
|
1,12
|
5,43
|
27,81
|
65,48
|
70
|
|
№
|
Марка
старого провода
|
Fmin
|
Марка
нового провода
|
r0
|
x0
|
|
|
|
мм2
|
|
Ом/км
|
Ом/км
|
км
|
|
1
|
АСБ3*16
|
78,06
|
2×АСБ 3*95
|
0,326
|
0,083
|
0,12
|
|
2
|
АСБ3*16
|
68,70
|
2×АСБ 3*70
|
0,443
|
0,086
|
0,5
|
|
3
|
АСБ3*35
|
75,91
|
2×АСБ 3*95
|
0,326
|
0,083
|
0,46
|
|
4
|
АСБ3*16
|
75,09
|
2×АСБ 3*95
|
0,326
|
0,083
|
0,28
|
|
5
|
АСБ3*50
|
78,24
|
2×АСБ 3*95
|
0,443
|
0,086
|
0,26
|
|
6
|
АСБ3*16
|
72,66
|
2×АСБ 3*95
|
0,326
|
0,083
|
0,37
|
|
7
|
АСБ3*35
|
78,58
|
2×АСБ 3*95
|
0,443
|
0,086
|
0,17
|
|
8
|
АСБ3*50
|
75,31
|
2×АСБ 3*95
|
0,326
|
0,083
|
0,66
|
|
9
|
АСБ3*35
|
78,50
|
3×АСБ 3*95
|
0,326
|
0,083
|
0,28
|
|
10
|
АСБ3*16
|
62,24
|
0,443
|
0,086
|
0,7
|
|
11
|
АСБ3*70
|
79,19
|
3×АСБ 3*95
|
0,443
|
0,083
|
0,13
|
|
12
|
АСБ3*35
|
74,87
|
2×АСБ 3*95
|
0,326
|
0,083
|
0,55
|
|
13
|
АСБ3*16
|
55,45
|
АСБ
3*70
|
0,443
|
0,086
|
0,46
|
|
14
|
АСБ3*16
|
61,60
|
АСБ
3*70
|
0,443
|
0,086
|
0,36
|
|
15
|
АСБ3*16
|
54,58
|
2×АСБ 3*70
|
0,443
|
0,086
|
0,95
|
|
16
|
АСБ3*16
|
39,87
|
АСБ
3*50
|
0.62
|
0.09
|
0,79
|
|
17
|
АСБ3*16
|
65,48
|
АСБ
3*70
|
0,443
|
0,086
|
0.3
|
|
|
|
|
|
|
|
|
таблица 17
3.5 Электрический
расчет распределительной сети
Определим активные потери △Р
для каждого цеха и для всего завода
где:
=r0*l=1,94* 0,12=0.116- определяем по
справочникуопределяем по схеме внутризаводского электроснабжения
Определяем потери напряжения
Для первого цеха
Для остальных цехов расчет аналогичен. Все
расчетные данные внесены в таблицу
|
№
|
Марка
кабеля
|
P
|
Fст
|
Sпк
|
Lм
|
R0
|
R
|
△Р
|
△U
|
|
|
кВт
|
мм2
|
кВА
|
км
|
Ом/км
|
Ом
|
кВт
|
кВ
|
|
1
|
2×АСБ 3*95
|
380
|
95
|
404,2
|
0,12
|
1,94
|
0,116
|
0,19
|
0,004
|
|
2
|
2×АСБ 3*70
|
1000
|
70
|
1062,9
|
0,5
|
1,94
|
0,49
|
5,48
|
0,049
|
|
3
|
2×АСБ 3*95
|
1800
|
95
|
2000
|
0,46
|
0,89
|
0,20
|
8,19
|
0,037
|
|
4
|
2×АСБ 3*95
|
400
|
95
|
424,5
|
0,28
|
1,94
|
0,27
|
0,49
|
0,011
|
|
5
|
2×АСБ 3*70
|
2470
|
95
|
2596,3
|
0,26
|
0,62
|
0,08
|
5,43
|
0,020
|
|
6
|
2×АСБ 3*95
|
800
|
70
|
851,4
|
0,37
|
1,94
|
0,36
|
2,60
|
0,029
|
|
7
|
2×АСБ 3*70
|
2000
|
95
|
2125,8
|
0,17
|
0,89
|
0,08
|
3,42
|
0,015
|
|
8
|
2×АСБ 3*95
|
2600
|
95
|
2762,2
|
0,66
|
0,62
|
0,20
|
15,61
|
0,053
|
|
9
|
2×АСБ 3*95
|
2344
|
95
|
2480,9
|
0,28
|
0,89
|
0,08
|
5,11
|
0,019
|
|
10
|
2×АСБ 3*70
|
450
|
70
|
485,2
|
0,7
|
1,94
|
0,68
|
1,60
|
0,031
|
|
11
|
2×АСБ 3*95
|
3800
|
95
|
4015,2
|
0,13
|
0,443
|
0,02
|
3,09
|
0,007
|
|
12
|
2×АСБ 3*95
|
1689
|
95
|
1800,3
|
0,55
|
0,89
|
0,24
|
7,93
|
0,041
|
|
13
|
АСБ
3*70
|
200
|
70
|
212,2
|
0,46
|
1,94
|
0,89
|
0,40
|
0,018
|
|
14
|
АСБ
3*70
|
60
|
70
|
100
|
0,36
|
1,94
|
0,70
|
0,07
|
0,004
|
|
15
|
2×АСБ 3*70
|
160
|
70
|
168,6
|
0,95
|
1,94
|
0,92
|
0,26
|
0,015
|
|
16
|
АСБ
3*50
|
320
|
50
|
355,6
|
0,79
|
1,94
|
1,53
|
1,94
|
0,049
|
|
17
|
АСБ
3*70
|
300
|
70
|
318,2
|
0,3
|
1,94
|
0,58
|
0,59
|
0,017
|
3.6 Механический
расчет проводов ВЛ питающей сети
Исходные данные для расчета:
Напряжение U=110кВ
Марка провода АС-70/11
Тип опоры ЖБ - 110-2
Промежуточный пролет-250м
.Геометрические размеры промежуточной опоры:
высота опоры - 31м,
расстояние от земли до нижней траверсы - 19м,
расстояние от верхней траверсы до нижней
траверсы - 4м,
длина гирлянд изолятора - 1,41м.
.Климатические условия:
высшая температура воздуха+=37 град
низшая температура воздуха=-26 град
эксплуатационная температураэ=+11,8 град
температура при гололедег=-5 град
нормативный скоростной напор ветра на высоте до
15м от земли для III района по ветру при повторяемости 1 раз в 10 лет:=500 Па
нормативная скорость ветра:=29 м/с
нормативная толщина стенки гололеда для II
района:=10мм=0,01м.
Определяем среднюю высоту крепления проводов к
изоляторам приведенного центра тяжести проводов:
Средняя высота крепления проводов к изоляторам,
а следовательно, и высота расположения приведенного центра тяжести проводов
более 15м, поэтому для определения скоростного напора вводится поправочный
коэффициент, учитывающий возрастание скорости ветра по высоте. Для высоты
21,59м коэффициент равен kqh =1,55.
=q*kqh=500*1,55=775 Па
. Расчетные параметры провода АС-70/11:
поперечное сечение провода=68+11,3=69,3 мм2
диаметр
провода=11,4 мм=0,0114 м
разрывное
усилие
[T]=24130
Н
масса=276
кг/км=0,276 кг/м
модуль
упругости
Е=82,5*109
Па
температурный
коэффициент линейного расширения
α=19,2*10-6
1/град
предел
прочности при растяжении (временное сопротивление)
[σвр]=290
МПа=290*106 Па
нормативное
допускаемое напряжение провода при наибольшей нагрузке
[σнб]=116
МПа=116*106 Па
нормативное
допускаемое напряжение провода при низшей температуре
[σ-]=116
МПа=116*106
Па
нормативное
допускаемое напряжение провода при среднегодовой температуре
[σэ]=87
МПа=87*106 МПа
.
Определяем удельные нагрузки:
Удельная
нагрузка от собственной массы провода
Удельная
нагрузка от массы гололеда
где:
=900 -
удельная плотность гололеда, кг/м3.
Суммарная
удельная нагрузка от собственного веса провода и гололеда
Удельная
нагрузка от давления ветра
где:
-
коэффициент влияния длины пролета на ветровую нагрузку
-
коэффициент лобового сопротивления провода давлению ветра
-
коэффициент, учитывающий неравномерность скоростного напора ветра по пролету,
который вычисляется по формуле:
Удельная
нагрузка от давления ветра на провод, покрытый гололедом
где:
-
скоростной напор ветра при гололеде, Па
Удельная
нагрузка от массы провода и давления ветра на провод
Удельная
нагрузка от массы провода, массы гололеда и давления ветра на провод при
гололеде
.
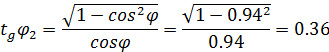
Выполним систематический расчет провода в нормальном режиме.
При
режиме наибольшей внешней нагрузки:
[σγнб]=116 МПа
γнб= γ7=133,3*103
Н/м3нб=-5
град
При
минимальной температуре и отсутствии внешних нагрузок:
[σ-]=116
МПа
γ1=39*103
Н/м3=-26
град
При
среднегодовой температуре и отсутствии внешних нагрузок:
[σэ]=87 МПа
γ1=39*103
Н/м3нб=+11,8
град
.Определяем
условную монтажную температуру для каждого из режимов.
Условная
монтажная температура для режима наибольшей нагрузки:
Условная
монтажная температура для режима минимальной температуры:
Условная
монтажная температура для эксплуатационного режима:
Сравниваем рассчитанные условные температуры
между собой
,1<31,7<39,6
Минимальной является температура для режима
наибольшей нагрузки, что определяет исходный расчетный режим для провода
АС-70/11 в пролете длиной 250 м:
[σγнб]=116 МПа γнб=
γ7=133,3*103
Н/м3
tг=-5 град
.Определяем напряжения в проводе для всех
нормативных сочетаний климатических условий.
Решается уравнение состояния провода
относительно величины напряжения в проводе при максимальной температуре.
*А-В=0
*234.6=326777.34
Принимаем
58
мПа
Определяем напряжение первой итерации
Вторая итерация
Третья итерация
мПа
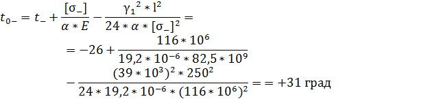
Решается уравнение состояния провода
относительно величины напряжения в проводе при минимальной температуре.

*134.7 = 326777.34
Принимаем
58
мПа
Определяем напряжение первой итерации
Вторая итерация
=
3,15
мПа
Третья итерация
=
мПа
Решается уравнение состояния провода
относительно величины напряжения в проводе при эксплуатационном режиме.
=
=-194.7=326777.34
*194.7=326777.34
58 мПа
Определяем напряжение первой итерации
=
41,98
мПа
Вторая итерация
=
мПа
Третья итерация
=
мПа
=37,51 мПа
Проверка состояния провода в эксплуатационном
режиме.
=
%
что допустимо
Решается уравнение состояния провода
относительно величины напряжения в проводе в режиме гололёда.
=
A=-168=3042402,3
58 мПа
Определяем напряжение первой итерации
=
113,15
мПа
Вторая итерация
=
110,25
мПа
Третья итерация
=
105,6
мПа
мПа
Решается уравнение состояния провода
относительно величины напряжения в проводе в режиме наибольшего ветрового
напора.
=
*168=1952868.6
=-168=1952868.6
58 мПа
Определяем напряжение первой итерации
=
98.31
мПа
Вторая итерация
=
88.29
мПа
Третья итерация
=
87.44
мПа
мПа
.Определим габарит пролета и тяжение по проводу.
Определим максимальную стрелу провеса провода.
=8,7 м
=8,8 м
Следовательно, максимальной является стрела
провеса в режиме гололёда
8,8 м
. Проверяем соблюдение габарита линии.
Наименьшее допустимое расстояние до земли в населенной местности и на
территории пром. предприятий, согласно ПУЭ 7м.
>
=
7м
. Рассчитываем стрелу провеса при минимальной
температуре.
=7 м
. Рассчитываем стрелу провеса в эксплуатационном
режиме.
=8,12 м
. Рассчитываем тяжение по проводу.
Для режима максимальной температуры.
Т+=
*F
= 34.8*106*69.3*10-6 = 2411.64 H
Для остальных режимов состояние провода расчет
величины тяжения аналогичен.
Результаты заносим в таблицу 14
Таблица 14
|
Режим
нагрузки провода
|
Температура
0C
|
Удельная
нагрузка *103 Н/м3
|
Напряжение
в проводе мПа
|
Стрела
провеса
|
Тяжение
по проводу
|
|
Режим
наибольшей внешней нагрузки
|
-5
|
133,3
|
116
|
__
|
8038
|
|
Режим
максимальной температуры
|
+37
|
39
|
34,8
|
8,75
|
2411,64
|
|
Режим
минимальной температуры
|
-26
|
39
|
43,04
|
7
|
2989,6
|
|
Режим
гололёда
|
-5
|
119
|
105,6
|
8,8
|
7318
|
|
Режим
ветровой нагрузки
|
-5
|
95,34
|
87,44
|
__
|
6059,5
|
|
Эксплуатационный
режим
|
+11,8
|
39
|
37,51
|
8,12
|
2599,1
|
. Рассчитаем монтажные таблицы и построим
монтажные кривые.
Рассчитываются величины напряжений в проводе и
стрел провеса при температурах от низшей температуры воздуха t-=-26 0C до
высшей t+=37 0C, при удельной нагрузке от собственной массы.
Напряжение при t = -20 0C определяется по
основному уравнению состояния провода
=
Получается неполное кубическое уравнение
*144,3=326777,34
=-144.3 B=326777.34
мПа
Определяем напряжение первой итерации
=
44,8
мПа
Вторая итерация
=
42мПа
Третья итерация
=
41,8
мПа
мПа
Стрела провеса при температуре -20 0C равна
=7,27 м
Расчеты напряжений и стрел провеса провода для
режимов с другими температурами выполняются аналогично. Результаты заносим в
таблицу 15
|
Температура
град
|
Напряжение
Мпа
|
Стрела
провеса м
|
|
-26
|
43,04
|
7
|
|
-20
|
41,8
|
7,27
|
|
-15
|
41,1
|
7,41
|
|
-10
|
40,34
|
7,54
|
|
-5
|
39,6
|
7,68
|
|
0
|
38,9
|
7,8
|
|
5
|
38,3
|
7,9
|
|
10
|
37,7
|
8
|
|
15
|
37,14
|
8,2
|
|
20
|
36,5
|
8,3
|
|
25
|
36,04
|
8,45
|
|
30
|
35,5
|
8,57
|
|
35
|
35
|
8,6
|
|
37
|
34,8
|
8,7
|
Строим монтажные кривые по данным таблицы 16.
Это зависимости напряжения и стрелы провеса от температуры.
Заключение
В данной курсовой работе мы рассмотрели
электроснабжение цементного завода. Рассчитали нагрузку инструментального цеха
данного завода, установили компенсирующие устройства для каждого цеха.
Осуществили выбор трансформаторов ГПП и ЦТП,
определили центр нагрузок завода.
Выполнили технико-экономическое сравнение
вариантов, выбрали экономически выгодный вариант электроснабжения завода.
Определили потери активной мощности и напряжения в сети. Выполнили механический
расчет воздушных линий электропередач.