Разделение неоднородных систем. Разделение жидких неоднородных систем. Осаждение

  • Вид работы:
    Контрольная работа
  • Предмет:
    Физика
  • Язык:
    Русский
    ,
    Формат файла:
    MS Word
    276,34 kb
  • Опубликовано:
    2011-06-23
Вы можете узнать стоимость помощи в написании студенческой работы.
Помощь в написании работы, которую точно примут!

Разделение неоднородных систем. Разделение жидких неоднородных систем. Осаждение















Разделение неоднородных систем. Разделение жидких неоднородных систем. Осаждение

План

Классификация и основные характеристики неоднородных систем

Методы разделения неоднородных систем

Основные параметры процесса разделения жидких неоднородных систем

Осаждение в поле действия сил тяжести и под действием центробежных сил

Классификация и основные характеристики неоднородных систем

Неоднородными, или гетерогенными, называют системы, состоящие, по меньшей мере, из двух фаз. При этом одна из фаз является сплошной, а другая - дисперсной, распределенной в первой в раздробленном состоянии: в виде капель, пузырей, мелких твердых частиц и т. д. Сплошную фазу часто называют дисперсионной средой.

В зависимости от физического состояния фаз различают следующие бинарные гетерогенные системы: суспензии, эмульсии, пены, пыли, дымы и туманы.

Суспензия-система, состоящая из жидкости и взвешенных в ней твердых частиц. В зависимости от размеров частиц суспензии условно подразделяют на грубые (с частицами размером более 100 мкм), тонкие (содержащие частицы размером 0,1-100 мкм) и коллоидные растворы (с частицами менее 0,1 мкм).

Эмульсия-система, состоящая из жидкости и распределенных в ней капель другой жидкости, не растворяющейся в первой.

Пена - система, состоящая из жидкости и распределенных в ней пузырьков газа.

Пыль - система, состоящая из газа и распределенных в нем твердых частиц размером более 5 мкм. В процессах химической технологии пыль образуется преимущественно при дроблении, смешивании и транспортировании твердых материалов.

Дым-система, состоящая из газа и распределенных в нем твердых частиц размером менее 5 мкм; образуется при горении.

Туман-система, состоящая из газа и распределенных в нем капель жидкости размером менее 5 мкм.

Пыли, дымы и туманы представляют собой аэродисперсные системы и носят общее название - аэрозоли.

Неоднородные системы характеризуются концентрацией дисперсной фазы и размерами образующих ее частиц. Для эмульсий и пен при определенных концентрациях дисперсной фазы возможен ее переход в сплошную; при этом фаза, бывшая сплошной, становится дисперсной. Этот переход называют инверсией фаз.

В большинстве случаев дисперсные системы содержат частицы, различающиеся по размеру. Такие системы называют полидисперсными. Они характеризуются фракционным, или дисперсным, составом, т. е. долей частиц определенного размера от общего содержания дисперсной фазы. Иногда встречаются системы, в которых все частицы близки по размерам. Их называют монодисперсными.

Большинство дисперсных систем неустойчиво, т.е. имеет тенденцию к укрупнению частиц. Укрупнение капель или пузырей путем их слияния называют коалесценцией, а укрупнение твердых частиц вследствие их слипания - коагуляцией.

Методы разделения неоднородных систем

Процессы, связанные с разделением неоднородных систем, играют большую роль в химической технологии при подготовке сырья и очистке готовых продуктов, при очистке сточных вод и отходящих газов, а также при выделении из них ценных компонентов.

Применяют следующие основные методы разделения: осаждение, фильтрование и мокрую очистку газов.

Осаждение - процесс разделения, при котором взвешенные в жидкости или газе твердые или жидкие частицы отделяются от сплошной фазы под действием сил тяжести (отстаивание), центробежной силы (циклонный процесс и центрифугирование), сил инерции, электростатических сил (очистка газов в электрическом поле).

Фильтрование - процесс разделения с помощью пористой перегородки, способной пропускать жидкость или газ, но задерживать взвешенные частицы. Движущей силой процесса фильтрования является разность давлений. В случаях, когда разность давлений создается центробежными силами, процесс называют центробежным фильтрованием.

Мокрая очистка газов - процесс разделения, основанный на улавливании взвешенных в газе частиц жидкостью. Улавливание осуществляется, как правило, под действием сил инерции.

Выбор метода разделения зависит от концентрации дисперсных частиц, их размера, требований к качеству разделения, а также от разницы плотностей дисперсной и сплошной фаз и вязкости последней.

Основные параметры процесса разделения жидких неоднородных систем

Жидкие неоднородные системы можно разделить под действием сил тяжести, центробежных сил, сил давления.

Рассмотрим основные параметры процесса разделения жидких неоднородных систем на примере суспензий.

Обозначим через тсм, то, тос массы соответственно исходной смеси, осветленной жидкости и осадка. Уравнение материального баланса системы имеет вид

тсм = т0+тос.                        (1)

Поскольку полностью разделить суспензию не удается, так как часть жидкости всегда удерживается в порах осадка капиллярными силами, материальный баланс для твердой фазы запишем в виде уравнения

тсмасм = т0а0 + тосаос,                 (2)

где асм,а0,аос - массовые доли твердого вещества соответственно в исходной смеси, осветленной жидкости и осадке.

Совместное решение уравнений (4.1) и (4.2) позволяет определить массу осадка и массу осветленной жидкости:

тос = [тсм(асм- а0)]/(аос- ао);

то= [тсм (аос - асм)]/(аос - а0).                (3)

Для исходной суспензии величины тсм и асм обычно известны. Конечная концентрация твердого вещества в осадке аос выбирается на основе практических рекомендаций, а также исходя из последующего использования осадка. Если по технологии осадок должен быть сухим, то стараются при разделении получить большое значение аос. Если осадок в виде шлама предполагается транспортировать по трубопроводу, то целесообразно снижать величину аос

Структура осадков, получаемых при разделении суспензий, характеризуется размерами пор, порозностью εп, удельной поверхностью f(м2/м3).

Осаждение в поле действия сил тяжести и под действием центробежных сил

Осаждение жидких неоднородных систем может происходить как под действием сил тяжести, так и под действием центробежных сил.

Осаждение неоднородных систем под действием сил тяжести называется отстаиванием. Отстаивание в основном используется для предварительного разделения суспензий и эмульсий.

Процесс отстаивания суспензий протекает следующим образом. Суспензия заливается в аппарат (отстойник), где под действием сил тяжести более крупные частицы начинают оседать на дно, увлекая за собой мелкие частицы. Мелкие частицы, в свою очередь, замедляют движение крупных частиц. Взаимодействие частиц при осаждении приводит к тому, что их скорости движения сближаются и становятся практически одинаковыми в каждом сечении аппарата. Однако по высоте аппарата скорости частиц различны. По мере приближения частиц к дну отстойника их движение замедляется жидкой фазой, которая вытесняется частицами и движется вверх.

Через некоторое время в аппарате возникают зоны с различной скоростью движения частиц. Над слоем осадка находится зона стесненного движения частиц, выше нее - зона свободного осаждения частиц, а над ней располагается осветленная жидкость.

Такая схема несколько упрощает действительную картину процесса, которая обычно бывает более сложной. В аппаратах непрерывного действия зоны отстаивания по высоте не изменяются, в аппаратах периодического действия высота отдельных зон изменяется во времени до момента полного разделения суспензии на осадок и осветленную жидкость.

Для того чтобы ускорить отстаивание, в суспензию добавляют небольшое количество коагулянтов - веществ, способствующих слипанию мелких частиц и превращению их в более крупные образования. Действие этих веществ основано на нейтрализации отталкивающих электрических зарядов мелких частиц или на создании связи между частицами с помощью высокомолекулярных соединений.

Основной характеристикой процесса отстаивания является скорость осаждения, которая различна для легких и тяжелых частиц, для зон стесненного и свободного осаждения.

В процессе отстаивания частицы разных размеров и плотностей взаимодействуют друг с другом, поэтому скорости их движения в той или иной мере выравниваются (в малой степени - в разбавленных суспензиях, в большей - в концентрированных).

В зоне свободного отстаивания частица диаметром d и массой m начинает двигаться под действием силы тяжести вниз. Через короткий промежуток времени сила тяжести станет равной силе сопротивления среды, в результате чего наступает равновесие. Частица начинает двигаться равномерно, с постоянной скоростью.

Скорость такого равномерного падения частицы в жидкой или газообразной среде называется скоростью осаждения (отстаивания) w0.

Осаждение под действием силы тяжести (пылевые камеры, отстойники).

Для описания в критериальной форме процесса осаждения шарообразной частицы в неподвижной неограниченной среде могут быть применены критерии подобия: Архимеда Аr, Лященко Ly и Рейнольдса Re.

Наиболее удобной формой критериальной зависимости является Ly = f(Аr).

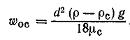
При так называемом ламинарном режиме осаждения, когда критерии имеют значения Аr < 3,6; Ly < 2·10-3; Re < 0,2, Стоксом теоретически получена следующая формула для скорости осаждения woc (в м/с) шарообразной частицы:

                            (4)

Для осаждения частицы в газовой среде формула (4) упрощается:

                                          (5)

так как в этом случае величиной ρс можно пренебречь.

В формулах (4) и (5): d - диаметр шарообразной частицы м; ρ- плотность частицы, кг/м3; ρс - плотность среды, кг/м3; μс - динамический коэффициент вязкости среды, Па·с, т.е. Н·с/м2, или кг/(м·с).

Определение скорости осаждения шарообразной одиночной частицы в неподвижной неограниченной среде по обобщенному методу, пригодному при любом режиме осаждения, осуществляют следующим образом.

Определяют критерий Архимеда;

             (6)

где Ga=Re2/Fr - критерий Галилея.

Для осаждения в газовой среде

Аr = d3ρρсg/ μс

По найденному значению критерия Аr определяют критерий Re или критерий Ly (рис.1):

                              (7)

либо (если среда - газ)

                                                               (7а)

Далее вычисляют скорость осаждения:


или

                        (9)

Для частицы неправильной формы скорость осаждения определяют тем же путем из критерия Лященко, но с подстановкой в критерий Архимеда вместо d величины dэ

Эквивалентный диаметр dэ частицы неправильной формы вычисляют как диаметр условного шара, объем которого V равен объему тела неправильной формы:

                           (10)

где М - масса частицы, кг.

. Диаметр осаждающейся шарообразной частицы при известной скорости осаждении находят обратным путем, т. е. вычисляют сначала критерий Лященко:


и по найденному значению Ly определяют критерий Аr (рис.1); из последнего по формуле (6) вычисляют диаметр шарообразной частицы.

В процессе осаждения под действием силы тяжести более крупные частицы быстрее осядут на дно, чем мелкие. Расчет отстойников обычно проводится по самым мелким частицам, находящимся в исходной смеси. Поэтому продолжительность пребывания суспензии в аппарате должна быть больше продолжительности осаждения твердых частиц или равна ему.

Продолжительность пребывания суспензии в аппарате

τп=V/Vc                                 (11)

где V- объем аппарата, м3; Vc - объемный расход суспензии м3/с.

Продолжительность осаждения частиц

τо = h/w0,                              (12)

где h - высота аппарата, м; w 0 - скорость осаждения, м/с.

Рассмотрим процесс осаждения частиц в отстойнике длиной 1, высотой h и шириной b, м.

Допустим, что продолжительность пребывания суспензии в аппарате и продолжительность осаждения равны. Тогда получим

/Vc= h/w0

или

bh /Vс = h/w0

откуда

с= w01b= w0S                        (13)

Уравнение (13) показывает, что производительность отстойника зависит не от его высоты, а от скорости w0 и площади поверхности S осаждения.

Процесс разделения неоднородных систем, в частности суспензий и эмульсий, под действием силы тяжести идет с небольшой скоростью.

Как правило, этот процесс проводится перед разделением неоднородных систем центрифугированием или фильтрованием.

Осаждение неоднородных систем под действием центробежных сил

Осаждение неоднородных систем под действием центробежных сил называется центрифугированием.

Центробежное поле создается двумя способами:

вращением потока при неподвижном корпусе аппарата (циклонный процесс);

вращением потока вместе с вращением корпуса аппарата (центрифугирование).

По первому способу осаждение жидкости происходит в гидроциклонах. Несмотря на более простое устройство, скорость осаждения в них невелика, а гидравлическое сопротивление более высокое. По указанным причинам степень очистки в гидроциклонах небольшая и они в промышленности используются ограниченно. В данном учебном пособии этот способ не рассматривается.

По второму способу осаждение жидких неоднородных систем происходит под действием центробежных сил в осадительных центрифугах. Осадительные центрифуги применяются для разделения суспензий с концентрацией твердой фазы до 40 % и диаметром частиц 0,005... 10 мкм и для разделения эмульсий. После разделения суспензий образуется осадок с небольшим содержанием жидкости и фугат.

Важной характеристикой центрифуг является отношение центробежного ускорения и2/r к ускорению силы тяжести g, которое равно отношению центробежной силы к силе тяжести данного тела. Это отношение называется фактором разделения:

Кр = w2/rg = ωr/g = 4π2n2r/g = 4n2r.                  (11)

неоднородный химический жидкий осаждение центробежный

Величина фактора разделения, характеризующего эффективность работы центрифуги, исчисляется сотнями и тысячами. Если Кр> 3500, то аппараты называются сверхцентрифугами. При таких больших скоростях вращения влиянием силы тяжести на движение жидкости можно пренебречь и учитывать лишь влияние центробежной силы.

Осаждение под действием центробежных сил проводится в барабанах, вращающихся со скоростью ω и имеющих радиус вращения r. Жидкая неоднородная система вводится в барабан снизу. Под действием центробежной силы и силы тяжести свободная поверхность жидкости принимает форму параболоида вращения.

Различают центробежное осветление и центробежное отстаивание.

Центробежное осветление проводится для очистки жидкостей, содержащих небольшое количество твердых частиц (тонкие суспензии, коллоидные растворы). При малой концентрации дисперсной фазы четкой границы между фугатом и осадком нет. По физической сущности центробежное осветление можно рассматривать как свободное осаждение частиц в поле центробежных сил.

Центробежное отстаивание проводится для разделения суспензий и эмульсий. При повышении концентрации твердых частиц в суспензии образуется четкая граница раздела фаз. На первом этапе процесса происходит образование осадка, на втором - его уплотнение.

Отличием процессов осаждения под действием сил тяжести от центробежных сил является то, что центробежная сила не постоянна по сечению барабана: она увеличивается с увеличением радиуса вращения. Кроме того, в отстойниках частицы проходят через постоянные поперечные сечения аппарата, а в центрифугах - через возрастающие по радиусу поперечные сечения кольцевого слоя.

Рассмотрим классификацию отстойных центрифуг.

В зависимости от рабочего режима (аппараты непрерывного или периодического действия), конструкции (вертикальные, горизонтальные, наклонные), способа выгрузки осадка (вручную или механически), фактора разделения (нормальные с фактором разделения Кр < 3500 или сверхцентрифуги с Кр > 3500), типа неоднородных систем (суспензия или эмульсия) различают следующие виды отстойных центрифуг:

нормальные периодического действия - выгрузка осадка вручную с помощью ножей;

нормальные непрерывного действия - выгрузка осадка с помощью шнека;

трубчатые сверхцентрифуги периодического действия; выгрузка осадка вручную;

трубчатые сверхцентрифуги непрерывного действия; разделение эмульсий;

тарельчатые сепараторы непрерывного действия; разделение эмульсий.

Нормальная центрифуга периодического действия представляет собой вращающийся барабан со сплошными стенками, в который вводится разделяемая суспензия.

Осадок осаждается на стенках барабана и удаляется вручную. Жидкая фаза, принимая форму параболоида вращения, переливается через стенки барабана.

Рис.1. Зависимость критериев Re и Ly от критерия Аr для осаждения одиночной частицы в неподвижной фазе: 1 и 6 - шарообразные частицы; 2- округленные; 3- угловатые; 4- продолговатые; 5- пластинчатые.

Похожие работы на - Разделение неоднородных систем. Разделение жидких неоднородных систем. Осаждение

 

Не нашли материал для своей работы?
Поможем написать уникальную работу
Без плагиата!
Без нейросетей!