Электрохимическое осаждение пленок

  • Вид работы:
    Дипломная (ВКР)
  • Предмет:
    Химия
  • Язык:
    Русский
    ,
    Формат файла:
    MS Word
    4,82 Mb
  • Опубликовано:
    2011-06-22
Вы можете узнать стоимость помощи в написании студенческой работы.
Помощь в написании работы, которую точно примут!

Электрохимическое осаждение пленок

Содержание

ВВЕДЕНИЕ

ХИМИЧЕСКОЕ ОСАЖДЕНИЕ (ХИМИЧЕСКИЕ РЕАКЦИИ ВОССТАНОВЛЕНИЯ).

МЕТОД ГАЗОФАЗНОГО ОСАЖДЕНИЯ

ЭЛЕКТРОХИМИЧЕСКОЕ ОСАЖДЕНИЕ

АНОДИРОВАНИЕ

ГАЗОВОЕ АНОДИРОВАНИЕ

НАПЫЛЕНИЕ НЕЙТРАЛЬНЫМИ ЧАСТИЦАМИ

НАПЫЛЕНИЕ ЗАРЯЖЕННЫМИ ЧАСТИЦАМИ

ФИЗИКОХИМИЯ ПОЛУЧЕНИЯ ПЛЁНОЧНЫХ ПОКРЫТИЙ

СОЗДАНИЕ ЭЛЕМЕНТОВ ИНТЕГРАЛЬНОЙ ОПТИКИ

ЗАКЛЮЧЕНИЕ

СПИСОК ЛИТЕРАТУРЫ

ВВЕДЕНИЕ


Зарождение и развитие микроэлектроники как нового научно-технического направления, обеспечивающего создание сложной радиоэлектронной аппаратуры (РЭА), непосредственно связаны с кризисной ситуацией, возникшей в начале 60-х годов, когда традиционные методы изготовления РЭА из дискретных элементов путем их последовательной сборки не могли обеспечить требуемую надежность, экономичность, энергоемкость время изготовления и приемлемые габариты РЭА. Несмотря на малый срок своего существования, взаимосвязь микроэлектроники с другими областями науки и техники обеспечила необычайно высокие темпы развития этой отрасли и существенно сократила время для промышленной реализации новых идей. Этому способствовало также возникновение своеобразных обратных связей между разработкой интегральных схем, являющихся базой автоматизации производства и управления, и использованием этих разработок для автоматизации самого процесса проектирования, производства и испытаний интегральных схем. Развитие микроэлектроники внесло коренные изменения в принципы конструирования РЭА и привело к использованию комплексной интеграции, которая состоит из: структурной или схемной интеграции (т. е. интеграции схемных функций в пределах единой структурной единицы); при степени интеграции порядка сотен и тысяч компонентов существующие приемы подразделения систем на компоненты, приборы, субсистемы и блоки, а также формы координации разработок компонентов, приборов и субсистем становятся уже малоэффективными; при этом центр тяжести перемещается в область схемотехники, что требует коренной перестройки способов реализации электронных систем с построением аппаратуры на супермодульном уровне. Интегральная электроника развивается не как новая или обособленная область техники, а путем обобщения многих технологических приемов, ранее используемых в производстве дискретных полупроводниковых приборов и при изготовлении топкопленочпых покрытий. В соответствии с этим в интегральной электронике определились два главных направления: полупроводниковое и тонкопленочное. Создание интегральной схемы на одной монокристаллической полупроводниковой (пока только кремниевой) пластине является естественным развитием отработанных в течение последних десятилетий технологических принципов создания полупроводниковых приборов, как известно, хорошо зарекомендовавших себя в эксплуатации. Тонкопленочное направление интегральной электроники основано на последовательном наращивании пленок различных материалов на общем основании (подложке) с одновременным формированием из этих пленок микро деталей (резисторов, конденсаторов, контактных площадок и др.) и внутрисхемных соединений. Сравнительно недавно полупроводниковые (твердые) и тонкопленочные гибридные ИС рассматривались как конкурирующие направления в развитии интегральной электроники. В последние годы стало очевидно, что эти два направления отнюдь не исключают, а скорее, наоборот, взаимно дополняют и обогащают друг друга. Более того, до сегодняшнего дня не созданы (да, видимо, в этом и нет необходимости) интегральные схемы, использующие какой-либо один вид технологии. Даже монолитные кремниевые схемы, изготавливаемые в основном по полупроводниковой технологии, одновременно применяют такие методы, как вакуумное осаждение пленок алюминия и других металлов для получения внутрисхемных соединений, т. е. методы, на которых основана тонкопленочная технология. Большим достоинством тонкопленочной технологии является ее гибкость, выражающаяся в возможности выбора материалов с оптимальными параметрами и характеристиками и в получении по сути дела любой требуемой конфигурации и параметров пассивных элементов. При этом допуски, с которыми выдерживаются отдельные параметры элементов, могут быть доведены до 1-2%. Это достоинство особенно эффективно проявляется в тех случаях, когда точное значение номиналов и стабильность параметров пассивных компонентов имеют решающее значение (например, при изготовлении линейных схем, резистивных и резистивно-емкостных схем, некоторых видов фильтров, фазочувствительных и избирательных схем, генераторов и т. п.). В связи с непрерывным развитием и совершенствованием как полупроводниковой, так и тонкопленочной технологии, а также ввиду все большего усложнения ИС, что выражается в увеличении числа компонентов и усложнении выполняемых ими функций, следует ожидать, что в ближайшем будущем будет происходить процесс интеграции технологических методов и приемов и большинство сложных ИС будут изготовляться на основе совмещенной технологии. При этом можно получить такие параметры и такую надежность ИС, которых нельзя достигнуть при использовании каждого вида технологии в отдельности. Например, при изготовлении полупроводниковой ИС все элементы (пассивные и активные) выполняются в одном технологическом процессе, поэтому параметры элементов оказываются взаимосвязанными. Определяющими являются активные элементы, так как обычно в качестве конденсатора используется переход база - коллектор транзистора, а в качестве резистора - диффузионная область, получающаяся при создании базы транзистора. Нельзя оптимизировать параметры одного элемента, не изменив одновременно характеристики других. При заданных характеристиках активных элементов изменять номиналы пассивных элементов можно лишь изменением их размеров.


ХИМИЧЕСКОЕ ОСАЖДЕНИЕ (ХИМИЧЕСКИЕ РЕАКЦИИ ВОССТАНОВЛЕНИЯ)


Среди химических методов получения пленок последнее время довольно широко развивается т.н. метод спрей-пиролиза, заключающийся в распылении на разогретые подложки аэрозолей, включающих термически разлагающиеся соли соответствующих компонентов сложных или простых оксидов. Применяя данный способ, следует считаться с тем, что солевые компоненты в силу разной устойчивости к нагреванию могут деструктировать либо ещё на подлете к подложке и тогда часть компонентов будет оседать уже в виде твердых частиц и агломератов, либо подвергаться пиролизу только после достижения микрокаплей заданной температуры субстрата-носителя. Такое явление может приводить к снижению химической и фазовой гомогенности пленок, также как и возможная высокая летучесть некоторых солевых форм, при этом приходится корректировать состав исходных растворов, повышая в них долю летучих компонентов. Введение в рабочие растворы растворимых в данном растворителе (например, воде) полимеров позволяет снизить отрицательное влияние указанных факторов, т.к. температуры разложения солей нивелируются. Полимерсодержащие растворы обладают также повышенными пленкообразующими свойствами, что улучшает равномерность покрытий, увеличивает их адгезионную и когезионную прочность. Поэтому для осаждения металлических пленок создавать разность потенциалов между электродами не всегда обязательно. Для этой цели можно использовать химическое осаждение из раствора соответствующего состава. Такой метод известен как осаждение восстановительных покрытий или химическое осаждение. Существует четыре типа подобных реакций.

1.  Некаталитические реакции.

Такие реакции имеют место в том случае, когда некоторая поверхность погружена в восстановительный раствор. Этим способом обычно изготавливают серебряные зеркала с помощью слабых восстановителей, например формальдегида в смеси с нитратом серебра. Способ обеспечивает получение металлических слоев большой толщины.

. Каталитические реакции.

При осаждении металлов на некоторые поверхности иногда встречаются значительные трудности; в таких случаях часто прибегают к использованию регулируемых реакций. При этом для каждого осаждаемого металла существует строго ограниченное число других определенных металлов, на поверхность которых можно с успехом вести осаждение. Например, осаждение никеля данным способом может происходить путем восстановления хлористого никеля гипофосфитом натрия, причем металл может осаждаться только на подложках из алюминия, кобальта, железа и никеля, которые в данном случае играют роль катализаторов. ( Надо заметить, что использование в качестве восстановителя гипофосфита натрия приводит к тому, что в пленке будет содержаться 5 - 10% фосфора). С помощью описанного метода можно осаждать и другие металлы, в частности, металлы платиновой группы.

. Каталитические реакции в присутствии активаторов.

Число металлов, на поверхности которых можно наносить пленки с помощью каталитических реакций, является ограниченным. Установлено, однако, что существуют способы активации поверхностей металлов, не являющихся катализаторами благодаря чему появляется возможность осаждения на эти металлы. Активаторы применяются с целью понижения энергии активации, что стимулирует протекание реакций восстановления в отдельных точках на поверхности, причем эти точки становятся центрами роста осаждаемой пленки. Зародышевые островки металла, таким образом, будут расти, сближаться и в конечном итоге образуется сплошная пленка. Например, хлористый палладий часто используется при осаждении на медь и никель. Необходимое количество активатора обычно невелико; так, в случае применения хлористого палладия необходим 0,01%-ный раствор активатора, наносимый на поверхность подложки, предварительно промытой в воде.

. Каталитические реакции в присутствии активаторов и сенсибилизаторов

При изготовлении покрытий на неметаллических подложках перед активированием необходимо выполнить «очувствление» поверхности. Так, для осаждения пленки никеля достаточно окунуть подложку в 0,1%-ный раствор хлористого олова после промывки подложки в воде. После этого активация поверхности начинает развиваться обычным образом. Преимущество метода заключается в том, что с его помощью можно наносить покрытия на стеклянные или другие непроводящие поверхности. Кроме этого, метод дает возможность осуществить покрытие труднодоступных участков поверхности.

Для получения покрытий методом химического восстановления требуется довольно несложная аппаратура, обеспечивающая нормальное протекание реакции и, если необходимо, применение катализатора. Скорость осаждения зависит от pH раствора и его температуры.

МЕТОД ГАЗОФАЗНОГО ОСАЖДЕНИЯ


Сегодня применяется несколько способов получения покрытий на основе нитрида алюминия: газопламенное и плазменное; термодиффузионное; электроискровое; с помощью ионной имплантации; в виде краски с последующей термохимической обработкой; метод осаждения из газовой фазы.

Практически все перечисленные способы, кроме осаждения из газовой среды, позволяют получить пористые покрытия, причем величина открытой пористости колеблется в широких пределах, достигая 40 % в ряде случаев. Поэтому из перечисленных выше способов наиболее приемлемым является газофазное осаждение. Метод газофазного осаждения заключается в получении тугоплавкого соединения из паров летучих химических соединений, чаще всего галогенидов, содержащих один элемент, и газов, содержащих другой элемент.

При термическом разложении или химическом восстановлении летучих соединений и газов нелетучие продукты осаждаются на горячей подложке, а газообразные удаляются из зоны реакции. Процесс проходит на атомно-молекулярном уровне. Это позволяет получить материалы, плотность которых близка к теоретической, и осуществлять тонкое регулирование толщины, состава, структуры и прочих характеристик осадка. Благодаря использованию реагентов в парообразном состоянии метод позволяет получить равномерное покрытие на изделиях сложной формы и больших размеров.

Достоинством газофазной металлургии является также возможность использования исходных реагентов низкого качества, так как за счет перевода металлической составляющей в газообразное состояние происходит очистка от большинства примесей. В качестве исходных реагентов для получения AlN в виде покрытия необходимы хлорид алюминия, газообразные аммиак и водород. Их чистота должна быть максимально возможной, что, в конечном счете, определяет наличие примесей и прежде всего кислорода в покрытии.

Метод газофазного осаждения достаточно хорошо известен, так как применяется в промышленном получении никеля и железа термическим разложением их карбонилов, при получении титана, гафния и циркония высокой чистоты для атомной промышленности химическим транспортированием иодидов, а также получение полупроводниковых, эпитаксиальных, многослойных структур для электронных приборов: кремния, германия и сложных соединений. Преимущества газофазной металлургии и свойства материалов, полученных этим методом, заслуженно привлекают конструкторов и производственников различных отраслей техники, открывая широкие возможности.

Наличие кислорода в твердой фазе в заключительной степени сказывается на конечных свойствах. Желательно, чтобы чистота реагентов была не ниже 99,99 %.

Очистка реагентов от примесей проводится по стандартным технологиям. Характеристики покрытия определяются технологическими параметрами процесса осаждения: температурой процесса, общим давлением газа, соотношением реагентов, расхода газов.

Температура процесса - 1200-1250 0С. Общее давление в реакционной камере от 10 до 101,3 кПа. Концентрация газообразного хлорида 0,05-0,1 мол. %, аммиака 1,0-3,0 мол. % при общем расходе водорода 40-100 л/мин.

Газы-реагенты (аммиак, хлорид алюминия) и газ-носитель (водород) подаются в коаксиальное сопло, срез которого находится на расстоянии 60 - 100 мм от поверхности изделия. На разогретой поверхности изделия происходит разложение аммиака с выделением атомарного азота, который взаимодействует на активных центрах поверхности с трихлоридом алюминия с образованием нитрида алюминия. Скорость роста пленки нитрида алюминия регулируется и может составлять от нескольких микрометров до 100 мкм/ч.

химический газовый пленка покрытие














Рис. 1. Технологическая схема получения покрытия из AlN

Таблица.1 Пленочные покрытия, которые модно получать с помощью реакций в паровой фазе.

Метод (основной тип реакции)

Материал пленочного покрытия (исходные материалы)

Диспропорционирование (A + AB2 ↔ 2AB)

Al(AlI3); Ge(GeI2); Si(SiI2); соединения элементов III-IV групп (иодиды)

Полимеризация (AB → nAB)

Полимеры метилметакрилатов, стирола, дивенилбензола, бутадиена, акролиена, эпоксидных смол, аллиглицидиловых эфиров (электроннолучевое экспонирование, фотолиз, тлеющий разряд)

Восстановление (AXH2→ A + HX)

Al(AlCl3); Ti(TiBr4); Sn(SnCl4); Ta(TaCl5); Nb(NbCl5); Cr(CrCl2); Si(SiHS3 или SiCl4); Ge(GeCl4)

Окисление (AXH2O → AO + HX)

Al2O3(AlCl3); TiO2(TiCl4); Ta2O5(TaCl5); SnO2(SnCl4)


ЭЛЕКТРОХИМИЧЕСКОЕ ОСАЖДЕНИЕ


Электрохимическое осаждение пленок как метод известно уже давно. Аппаратура для проведения процесса в основном весьма проста и состоит из анода и катода, погруженных в соответствующий электролит. Металл осаждается на катоде, и соотношение между весом осаждаемого материала и параметрами процесса можно выразить с помощью первого и второго законов электролиза, которые гласят:

1.  Вес осажденного материала пропорционален количеству электричества, прошедшему через раствор.

2.       Вес материала, осажденного при прохождении через раствор одинакового количества электричества, пропорционален электрохимическому эквиваленту E.

Выражая законы с помощью уравнений, можно записать, что вес материала, осаждаемого на единицу поверхности G/A,

G/A = J · t · E · α г · см-2,                                   (1)

где J - плотность тока; t - время. Это выражение включает ёще одну величину, коэффициент эффективности тока α, представляющий собой отношение действительного количества осажденного материала к подсчитанному теоретически; α принимает значения в интервале то 0,5 до 1.

Уравнение (1) легко записать таким образом, чтобы получить выражение для определения скорости осаждения. Если слой толщиной l осаждается за время t, скорость осаждения l/t выразится соотношением

l/t = J · E · α / ρ см · с-1,                                     (2)

где ρ - плотность материала осаждаемой пленки.

Это метод получения пленок отличается от предыдущих тем, что рабочей средой является жидкость. Однако характер процессов сходен с ионно-плазменным напылением, поскольку и плазма, и электролит представляют собой квазинейтральную смесь ионов и неионизированных молекул или атомов. А главное, осаждение происходит также постепенно (послойно) как и напыление, т.е. обеспечивает возможность получения тонких пленок.

Электрохимическое осаждение исторически развилось значительно раньше других рассмотренных методов - еще в XIX веке. Уже десятки лет назад оно широко использовалось в машиностроении для разного рода гальванических покрытий (никелирование, хромирование и т. п.). В микроэлектронике электрохимическое осаждение не является альтернативой термическому и ионно-плазменному напылению; оно дополняет их и сочетается с ними.

В основе электрохимического осаждения лежит электролиз раствора, содержащего ионы необходимых примесей. Например, если требуется осадить медь, используется раствор медного купороса, а если золото или никель - растворы соответствующих солей.

Ионы металлов дают в растворе положительный заряд. Поэтому, чтобы осадить металлическую пленку, подложку следует использовать как катод. Если подложка является диэлектриком или имеет низкую проводимость, на нее предварительно наносят тонкий металлический подслой, который и служит катодом. Подслой можно нанести методом термического или ионно-плазменного напыления.

Чтобы осуществить электрохимическое анодирование, окисляемую пленку металла следует использовать как анод, а электролит должен содержать ионы кислорода.

Большое преимущество электрохимического осаждения перед напылением состоит в гораздо большей скорости процесса, которая легко регулируется изменением тока. Поэтому основная область применения электролиза в микроэлектронике - это получение сравнительно толстых пленок (10 - 20 мкм и более). Качество (структура) таких пленок хуже, чем при напылении, но для ряда применений они оказываются вполне приемлемыми.

 

АНОДИРОВАНИЕ


Методы, которые были рассмотрены выше, были основаны на различных химических способах осаждения пленок на подложки из других материалов. При этом выбор материалов подложек, несмотря на ограничения электрического и термического характера, остается достаточно широким. Существует группа доступных методов осаждения пленок окислов, нитридов и других соединений различных металлов. Одним из распространенных электрохимических способов проведения такого процесса является анодирование. Как следует из наименования пленка растет на аноде в электролитической ванне. Основное уравнение управляющее ходом процесса, можно записать следующим образом:

M + nH2O → MOn + 2nH+ + 2ne (в области анода);

ne + 2nH2O → nH2↑ + 2nOH- (в области катода).

Таким образом, окисел растет на металлической поверхности анода, а водород выделяется у катода. Из уравнения видно, что в ходе процесса присутствует вода. Анодирование обычно проводится в водном растворе электролита, однако возможно использование и других сред, таких, как чистые спирты или расплавы солей (например, NaNO3).

Реакция в области анода начинает развиваться при большем отрицательном потенциале; для некоторых материалов направление реакции может не совпадать с анодированием - металл анода может переходить в раствор, или начаться выделение кислорода. Направление, в котором будет развиваться реакция, определяется величиной pH раствора: например, медь можно подвергнуть анодированию в концентрированном щелочном растворе, однако полученная пленка не будет обладать требуемыми диэлектрическими свойствами.

Существует ограниченное число металлов, которые можно анодировать. В процессе анодирования отдельных металлов может оказаться, что образующаяся пленка не обладает требуемыми диэлектрическими свойствами, что вызвано плохой адгезией или слишком пористой структурой окисла. В таблице перечислены металлы, которые с успехом можно анодировать с образованием качественной пленки, обладающей необходимыми электрическими свойствами.

Таблица.2

Перечень металлов, которые хорошо анодируются с образованием беспористых окисных пленок, обладающих высокой адгезией.

Металл

Отношение толщины к напряжению, A∙u-1

Алюминий

3,5

1,5

Тантал

16,0

1,1

Ниобий

43,0

1,1

Титан

15,0 (с применением водного раствора электролита) 50,0 (с применением расплава соли NaCl)

1,1

Цирконий

12 - 30

Более 1,0

Кремний

3,5

0,12


Окисные пленки можно изготовить двумя основными способами. В первом из них (для большинства металлов) при анодировании используется постоянный ток, пропускаемый через рабочий объём, причем толщина gленки пропорциональна времени, в течение которого пропускается ток. На рис. показан типичный характер зависимости толщины пленки от времени пропускания тока для алюминия и тантала. Разность потенциалов между граничными поверхностями растущей пленки в ее поперечном сечении служит мерой толщины, поэтому вводится величина отношения толщины к напряжению, значения которой приведены в таблице 2. Из рис. 2 видно, что скорость роста в данных условиях может быть сравнима со скоростью роста при электрохимическом осаждении. Толщину осаждаемой пленки можно увеличивать до определенного предела. Вблизи этого предела в пленке начинают появляться трещины от изгибающих напряжений или начинается процесс рекристаллизации. Первое ограничение относится к алюминию и танталу; при этом максимум разности потенциалов, а следовательно, и максимально достижимая толщина зависит от чистоты подложки, состава электролита и некоторых других параметров. Появление эффекта рекристаллизации также является результатом действия приложенного напряжения. Все окислы, полученные анодированием, до некоторой степени обнаруживают подобный эффект (Al2O3, образующийся при напряжении 500 В, будет содержать в структуре до 10% кристаллических включений), однако особенное этот факт приобретает при выращивании пленок тантала и ниобия.

Рис. 2 Зависимость толщины пленок алюминия и тантала, полученных анодированием то времени осаждения.

Второй способ выращивания пленок основан на применении постоянного напряжения. Такой метод часто используется при выращивании пленок на подложках из алюминия, поскольку при этом через дефекты в пленке можно контролировать электрический пробой, который может иметь место в присутствии сильных электрических полей (например, при анодировании с использованием постоянного тока).

Главные отличительные черты, свойственные всем анодным окисным пленкам, заключаются в том, что они растут аморфными слоями, не образуя кристаллической решетки. Обычно оксидные поверхности получаются гладкими и бездефектными, однако если поверхность металла недостаточно чистая и ровная, на пограничном слое металл - окисел могут появляться дефекты кратерообразной формы, а на границе пленки и электролита - куполообразные.

 

ГАЗОВОЕ АНОДИРОВАНИЕ


При газовом анодировании жидкостный электролит, аналогичный по составу промышленным электролитам, помещается в камеру низкого давления (10-2 мм. рт. ст.), в которой поддерживается тлеющий разряд. Схематическое изображение экспериментального оборудования показано на рис.3

Как было впервые продемонстрировано Майлсом и Смитом, металлический образец, подвергнутый анодированию, помещается в область наибольшей проводимости тлеющего разряда и положительно заряжается по отношению к аноду. Этим способом анодируют различные металлы (а именно, алюминий, тантал и сплав тантал - титан). Отношение толщины к напряжению в данном случае выше, чем при обычном анодировании (для тантала эта величина составляет 26 Å/В). Это объясняется повышенной температурой анода в условиях газового разряда. Вообще говоря, газовое анодирование можно с успехом проводить лишь тогда, когда анодируемый металл имеет высокое качество поверхности. Система обладает весьма низким коэффициентом эффективности тока, скорость роста очень мала (внутренние полости анодировать этим методом не возможно). При газовом анодировании очень важно, чтобы анод разрядной цепи был изготовлен из материала, не вступающего в реакцию, в противном случае напряжение системы будет падать на окисле, образующемся на аноде.

Рис. 3 Схема устройства для осуществления процесса газового анодирования

Напыление нейтральными частицами <#"517526.files/image003.gif">






Рисунок 4. Схемы "катодного" и "триодного" напыления пленок нейтральными частицами

а - "диодное" распыление

- катод-мишень,

- подложка,

- подложкодержатель,

- анод.









б - распыление "со смещением"

 1 - катод-мишень,

 2 - подложка,

 3 - подложкодержатель,

 4 - анод








в - "триодное" распыление,

 1 - катод-мишень,

 2 - вспомогательный анод,

 3 - подложка,

 4 - анод-подложкодержатель,

 5 - вспомогательный катод

  (термоэмитер электронов)

Напыление заряженными частицами <#"517526.files/image006.gif">






Рисунок 5. Примеры ориентации кристаллитов и графоэпитаксии сложнооксидной пленки

а  -  кристаллиты

  ориентированы







б  -  пример

 графоэпитаксии

Физикохимия получения пленочных покрытий <#"517526.files/image008.gif">

        а                     б

  

       в                            г

Рисунок 6. Стадии заполнения поверхности подложки оксидом меди при пиролизе раствора нитрат меди - поливиниловый спирт (600оС, 100х)

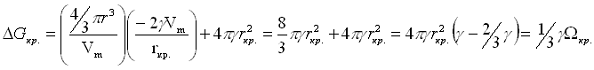
В процессе образования зародышей новой фазы как энергетический критерий возможности протекания процессов используется свободная энергия Гиббса. Имеется её три составные части: объёмная, поверхностная и упругой деформации, обусловленная структурными изменениями твердого тела. Первые два фактора наиболее значимы. Объёмная составляющая:


где n - количество молей сконденсированного вещества; V/Vm - отношение объёма этого вещества к его мольному объёму.

Поверхностная:

DGW =gW ,

где g - поверхностное натяжение конденсируемой твердой фазы;  - площадь её поверхности.


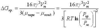
При давлении пара над поверхностью зародыша меньше давления насыщенных паров над плоской поверхностью (P<Pнас.=Pбеск ) будет mконд >mпара и самопроизвольной гомогенной конденсации новой фазы происходить не будет из-за DG >0. Гомогенной конденсацией называется выделение вещества на собственных, возникающих на поверхности зародышах, в отличие от гетерогенного процесса, когда новая фаза конденсируется на уже имеющихся центрах, например, частицах пыли и пр. При условии пересыщения (P>Pнас.=Pбеск ) будем иметь mконд<mпара и возникновение новой фазы зависит от поверхностной составляющей энергии, т.е. от размеров зародыша, определяющих поверхностную энергию. Для сферического зародыша:


Для исследования зависимости энергии Гиббса от размера зародыша r с целью установления наличия её экстремумов приравниваем производную к нулю:

,

тогда    *

Выразив химические потенциалы через давление паров, получим

    **,

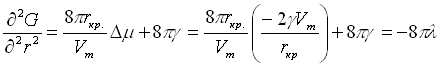
что совпадает с уравнением Кельвина. Pпара кр. должно быть равно давлению насыщенного пара над поверхностью зародыша с размером rкр. Определим знак экстремума (max или min), найдя вторую производную функции:

.

Отрицательный знак второй производной свидетельствует о том, что DG=¦(r) проходит через точку максимума (Рисунок 7.), в которой наблюдается неустойчивое равновесие между двумя фазами: слева от максимума выгоднее испарение зародышей, а справа - их выделение. Для точки максимума:

 ***

 

 

 

 

 

 


Рисунок 7. Зависимость энергии Гиббса от размера зародыша кристалла

Энергия Гиббса образования критических зародышей при гомогенной конденсации равна 1/3 поверхностной энергии зародыша, остальные 2/3 компенсируются химической составляющей, обусловленной фазовым переходом. Подставим теперь rкр. из уравнений * и ** в ***:

Таким образом энергия образования зародыша зависит как от его поверхностной энергии, так и от степени пересыщения пара. При большой степени пересыщения возникает много центров конденсации, а при небольшой - немного центров на которых могут вырасти более крупные зародыши и далее кристаллиты новой фазы.

Получаемые на различных подложках пленки, в т.ч. проходящие термообработку для окончательного формирования заданных фаз и их свойств, могут иметь и различные типы сцепления с поверхностью:

·              -механическое с относительно слабыми Ван-дер-Ваальсовыми взаимодействиями (может быть характерно для инертных носителей);

·              -монослой-монослойное (электронный обмен только между прилегающими поверхностями с возникновением химических связей, например водородных);

·              -химическое ионное или ковалентное в поверхностных монослоях;

·              -псевдодиффузионное с односторонним внедрением компонентов пленки в подложку;

·              -диффузионное со взаимодиффузией компонентов и образованием объёмной переходной зоны;

·              -взаимодействие с образованием новой фазы между пленкой и подложкой.

Внутрислойный синтез фаз пленки (трехмерный вариант) в зависимости от соотношения её толщины и размеров исходных частиц может осуществляться в режиме, приближающемся к синтезу керамики (рисунок 8.) по модели сферических или цилиндрических частиц, и кинетика такого синтеза в принципе может быть описана соответствующими уравнениями. Помимо этого возможен межслойный синтез из исходных слоев разного состава или синтез пленки между первоначальным покрытием и подложкой. Такой процесс описывается в зависимости от его лимитирующей стадии уравнениями типа dm=Kt.







Рисунок 8.

Варианты синтеза сложных оксидов: а - внутрислойный синтез б - внутрислойый синтез с квазициллиндрическими частицами в - межслойный синтез г - синтез между подложкой и пленкой

А - подложка В - продукт С - пленка

Создания элементов интегральной оптики.

Пленочные технологии лежат в основе создания элементов интегральной оптики, устройств в которых в оптических средах создаются зоны и участки, выполняющие различные функции, что позволяет существенно миниатюризировать изготовляемые приборы (Рисунок 9.). Интегральные схемы, широко используемые в электронной технике, также базируются на пленочной технологии (Рисунок 10.) с использованием для нанесения на подложки схем заданной конфигурации фоторезистов. Например, на кремниевую монокристаллическую подложку с р-типом проводимости наносят состав на основе полимеров с добавками светочувствительных веществ. Под действием локального облучения с использованием масок или тонкого лазерного пучка фоторезист теряет растворимость, необлученная его часть удаляется. Затем за счет специальной обработки, например, ионной бомбардировки, открытые участки поверхности приобретают n-тип проводимости и на их границе с основным объёмом подложки создается р-n переход, служащий основой функциональной единицы, например микродиода. Элементы микросхемы соединяются между собой напыляемыми металлическими проводниками. Микрорезисторы, конденсаторы могут быть сформированы, например путем напыления слоев соответствующих материалов заданной конфигурации. Возможно получение функциональных элементов в нескольких уровнях по глубине. Таким образом создаются микросхемы, (ГБИС - гигабольшие интегральные микросхемы), содержащие миллиарды единичных функциональных элементов на 1 см2 поверхности носителя, тогда как первые из созданных малые микросхемы (МИС) содержали лишь порядка 102/см2 элементов. Кроме того применялись и гибридные микросхемы (ГИС) и сборки, включающие навесные радиоэлементы.

Интегрально-оптические элементы











Схема интегрально-оптического элемента связи на основе дифракционных решеток: 1 - диэлектрическая или полупроводниковая подложка (из LiNbO3, GaAlAs и др.), 2 - планарный интегрально-оптический волновод, 3 - фазовые дифракционные решетки созданные на поверхности волновода методами фото- и электронно-лучевой литографии, 4 - световые потоки, n1 и n2 - показатели преломления подложки и световедущего слоя, соответственно.


Схема интегрально-оптического волновода с суживающимся краем: 1 - диэлектрическая или полупроводниковая подложка (из LiNbO3), 2 - интегрально-оптический волновод, 3 - суживающийся край световедущего слоя, 4 - световые потоки.







Схема интегрально-оптического элемента связи с использованием рупорных переходов 1 - подложка, 2  - интегрально-оптический волновод с плавно меняющейся шириной поперечного сечения (рупорный волновод), 3 - рупорные переходы, 4 - световые потоки.






Схема интегрально-оптического Y разветвителя: 1 - подложка, 2 - канальный, разветвляющийся интегрально-оптический волновод, 3 - световые потоки.








Схематическое изображение геодезической линзы: 1 - подложка, 2 - планарный интегрально-оптический волновод, 3 - углубление на поверхности волновода, 4 - световые потоки.








Схематическое изображение линзы Люнеберга: 1 - подложка, 2 - планарный интегрально-оптический волновод, 3 - область с показателем преломления, большим показателя преломления световедущего слоя, 4 - световые потоки.









Схематическое изображение линзы Френеля: 1 - подложка, 2 - планарный интегрально-оптический волновод, 3 - области различной ширины, отличающиеся от световедущего слоя волновода показателем преломления или коэффициентом затухания, 4 - световые потоки.










Схема интегрально-оптического интерферометра Маха-Цандера: 1 - подложка из электрооптического материала (типа LiNbO3), 2 - канальные интегрально-оптические волноводы, 3 - Y - разветвители, 4 - электроды (расположены на поверхности подложки параллельно волноводам), 5 - световые потоки











Схема интегрально-оптического переключателя на связанных волноводах: 1 - подложка из электрооптического материала, 2 - канальные интегрально-оптические волноводы, 3 - область связи (расстояние между волноводами соизмеримо с длиной волны оптического излучения, 4 - электроды, 5 - световые потоки.







Схема интегрально-оптического переключателя, действие которого основано на эффекте полного внутреннего отражения: 1 - подложка из электрооптического материала, 2 - пересекающиеся канальные интегрально-оптические волноводы, 3 - электроды, 4 - световые потоки.









Схема интегрального акустооптического дефлектора: 1 - подложка, 2 - планарный интегрально-оптический волновод, 3 - встречноштыревая система электродов, 4 - поверхностная акустическая волна, 5 - световые потоки.









Схема интегрально-оптического усилителя-ретранслятора: 1 - входной интегрально-оптический волновод, 2 - выходной волновод, 3 - полосковый электрод, 4 - область с инверсионной заселенностью уровней, 5 - входной световой сигнал, 6 - выходной усиленный световой сигнал




Схема интегрально-оптического фотодиода: 1 - кремниевая подложка, 2 - фоточувствительная область, 3 - пленочный стеклянный волновод, 4 - металлические контакты, 5 - световые потоки.

Рисунок 10. Последовательные стадии изготовления монолитной интегральной схемы.

- исходная полупроводниковая пластина с проводимостью р-типа, покрытая слоями SiO2, и фоторезиста; б - облучение фоторезиста через фотошаблон; в - полупроводниковая пластина с "окном" в слое SiO2 , образовавшемся в результате облучения и последующего травления; г - диффузия донорных примесей и создание области с проводимостью n-типа. 1 - слой фоторезиста, 2 - слой SiO2 3 - полупроводниковая пластина, 4 - фотошаблон, 5 - засвеченный участок фоторезиста, 6 - донорные атомы.

Рисунок 11. Интегральная схема с диодной изоляцией. 1 - металлическое межсоединение, 2 - слой SiO2, 3 - полупроводниковая пластина с областями р-, n- и n+ - типа проводимости. А, Б, В - соответствующие друг другу точки на рисунках а и б.

    a - электричечская схема,          б - топология

 

ЗАКЛЮЧЕНИЕ


После рассмотрения различных химических методов получения тонких пленок можно сказать, что выбор способа получения пленки зависит от типа требуемой пленки, от ограничений в выборе подложек и часто, особенно в случае многократного осаждения, от общей совместимости различных процессов, протекающих при применении этого метода. В таблице 3 подведен итог по вопросу применимости обсуждаемых методов в микроэлектронике. Методам вакуумного испарения и ионного распыления традиционно отдается предпочтение в силу их универсальности. Однако нельзя не учитывать потенциальной пользы химических методов, поскольку использование их может оказаться более дешевым средством к достижению поставленных задач.

Таблица 3.

Использование различных методов получения тонких пленок в микроэлектронике.

Функциональное назначение пленок

Электрохимического осаждения

Химического восстановления

Осаждения из паровой фазы

анодирования

Термического выращивания

Вакуумного испарения

Ионного распыления

Проводники, резисторы






Диэлектрические пленки, конденсаторы






Активные приборы






Магнитные материалы






Сверхпроводники







     Принципиальная возможность использования метода

    Широкое практическое применение

СПИСОК ЛИТЕРАТУРЫ


1.       Технология тонких пленок: Справочник /Под ред. Л. Майссела, Р. Глэнга. В 2-х т. Т.2. - М.: Советское радио, 1977.- 768 с.

2.       Слепцов В.В. Перспективные технологии XXI века / Справочник. Инженерный журнал. - 1999. - No10.

3.       <http://www.narod.ru/>.

.        Готра З.Ю. Технология микроэлектронных устройств: Справочник. - М., 1991.

.        Жеенбаев Ж.Ж., Оторбаев Д.К., Очкин В.Н. Препринт № 119. - М.: ФИАН, 1990.

.        А.А. Бухараев, Н.И. Нургазизов Лаборатория Физики и Химии Поверхности Казанского Физико-Технического Института, Российская Академия Наук, e-mail: bukh@dionis.kfti.knc.ru <mailto:bukh@dionis.kfti.knc.ru>

Похожие работы на - Электрохимическое осаждение пленок

 

Не нашли материал для своей работы?
Поможем написать уникальную работу
Без плагиата!
Без нейросетей!