Исследование путей повышения эффективности управления мотивацией рабочего персонала на газоперерабатывающем предприятии
Содержание
Введение
.
Теоретические аспекты мотивации труда рабочих
.1
Роль мотивов в общей системе потребностей, интересов, стимулов
.2
Сущность и содержание мотивационного процесса
.3
Теории мотивации
.4
Зарубежный опыт создания материальных и моральных мотивов к труду
.
Анализ финансово-хозяйственной деятельности Коробковского ГПЗ
.1
Динамика развития нефтегазовой отрасли в России
.2
Общая характеристика Коробковского ГПЗ
.3
Анализ финансовой отчетности Коробковского газоперерабатывающего завода
.
Исследование системы мотивации труда рабочих на газоперерабатывающем
предприятии
.1
Анализ системы мотивации труда рабочих на Коробковском газоперерабатывающем
заводе
.2
Совершенствование системы мотивации труда рабочих на Коробковском
газоперерабатывающем заводе
Введение
В современном понимании персонал является
таким же важным для любой организации ресурсом, как и капитал, оборудование,
технологии, информация. Для повышения эффективности управления промышленным
предприятием, а, следовательно, получением прибыли, тем более для роста ее
объема, нужно в первую очередь понять мотивацию каждого работника и
заинтересовать его в высокопроизводительном труде, обеспечить тесную
взаимосвязь его результатов с размерами вознаграждения. Использование
эффективной системы мотивации персонала может повысить эффективность работы
предприятия в такой же степени, что и техническое перевооружение.
Развитие механизмов управления
предприятием должно идти, прежде всего, через укрепление и развитие личных
материальных стимулов каждого работника, основной формой которых является
оплата труда. Формы и системы оплаты труда на предприятиях, их целесообразность
и объективность определяют многое - от морального климата в коллективе до
материального благополучия каждого его члена и общества в целом.
Стабилизацию и поступательное движение
развития экономики невозможно представить, если люди в процессе трудовой
деятельности не будут получать главного - удовлетворения своих потребностей. В
настоящее время ни у кого не вызывает сомнения, что самым важным ресурсом любой
компании являются ее сотрудники. От того, насколько эффективным окажется труд
сотрудников, зависит успех любой компании. Это особенно актуально в современных
условиях, когда динамика научно - технического прогресса и усиление конкуренции
значительно ускоряют процесс устаревания профессиональных знаний и навыков.
Изменения в экономической и политической
системах в нашей стране одновременно несут как большие возможности, так и
серьезные угрозы для каждой личности, устойчивости её существования, вносят
значительную степень неопределенности в жизнь практически каждого человека.
Система управления персоналом в такой ситуации приобретает особую значимость,
поскольку позволяет обобщить и реализовать целый спектр вопросов адаптации
индивида к внешним условиям, учета личного фактора в построении системы
управления персоналом предприятия. Проблема экономической заинтересованности
работников в улучшении конечных результатов хозяйственной деятельности
предприятия остается актуальной.
Методической и теоретической основой
исследования послужили концепции, представленные и обоснованные в классических
и современных трудах отечественных и зарубежных экономистов, специалистов в
области построения системы управления персоналом и управления человеческими ресурсами
предприятия. Разработка механизма системы управления персоналом на промышленном
предприятии отражена в работах Бухалкова М Н., Виханского О. С, Егоршина А. П.,
Лобанова А. А., Одегова Ю. Г., Филиппова А. В. и другие, а также зарубежных
исследователей Вудкок М, Десслер Г., Мескон М., Метцнер И., Френсис Д. и
другие.
Цель работы - исследование путей повышения
эффективности управления мотивацией рабочего персонала на газоперерабатывающем
предприятии.
Поставленная цель работы определила
решение следующих задач:
определить теоретические основы управления
мотивацией рабочего персонала;
рассмотреть факторы и методы, влияющие на
эффективность управления мотивацией;
изучить методику оценки эффективности
управления мотивацией персонала;
проследить динамику развития химической
отрасли;
проанализировать систему управления
мотивацией на предприятии;
определить пути повышения эффективности
системы управления мотивацией персонала, предложить мотивационную модель для
предприятия;
провести оценку экономической эффективности
системы мотивации.
Объект исследования - рабочий персонал
Коробковского газоперерабатывающего завода.
Предмет исследования - система управления
мотивацией рабочего персонала на КГПЗ.
При разработке положений исследования
применялись такие общенаучные методы как наблюдение, сравнение, измерение;
эмпирико-теоретические как анализ и синтез, формализация. При решении
поставленных в работе задач также применялись методы и приемы экономического и
статистического анализа.
При обработке статистических материалов
были проведены компьютерные исследования взаимосвязи показателей с
использованием пакета анализа программы Ехеl.
Эмпирической базой исследования явились
законодательные и нормативные акты РФ, факты, опубликованные в научной
литературе и периодической печати, документация предприятия, данные Интернет.
Научная новизна работы состоит в том, что
в ней исследованы вопросы, недостаточно изученные и сравнительно мало
освещенные в отечественной экономической литературе, а именно: методики
статистической оценки эффективности управления мотивацией персонала в условиях
экономических реформ; классификация факторов, влияющих на эффективность
управления мотивацией персонала, с учетом специфики современного этапа развития
экономики России; формирование системы статистических показателей,
характеризующих эффективность управления мотивацией персонала в условиях
переходного периода; разработка рекомендаций для оценки влияния мероприятий по
повышению эффективности управления мотивацией персонала на конечные показатели деятельности
фирмы. Элементы новизны характерны также для рекомендаций, полученных в
результате интерпретации результатов анализа данных.
Теоретические выводы, разработанные
мероприятия и практические рекомендации могут быть использованы предприятием
при решении проблем, возникших в управлении мотивацией рабочего персонала.
Предложенные в работе решения позволяют расширить арсенал методов, используемых
при оценке эффективности управления мотивацией персонала на предприятии, и на
этой основе обосновать принимаемые управленческие решения, с целью повышения
эффективности управления.
Структура работы определяется логикой
исследования. Работа состоит их введения, трех глав, заключения, библиографии и
приложений.
Во ведении рассматривается актуальность
выбранной темы. Формируются цели, задачи, методы, объект и предмет
исследования.
В теоретическом разделе рассматриваются
вопросы сущности понятия мотивации, факторы и методы, влияющие на эффективность
управления мотивацией.
Во втором разделе проведен анализ
состояния нефтегазовой отрасли в России. Также во втором разделе проведен
анализ финансово-хозяйственной деятельности Коробковского ГПЗ.
В третьем разделе дан анализ управления
мотивацией на предприятии. По результатам данного раздела предложена
мотивационная модель для повышения эффективности системы управления мотивацией
персонала и проведен анализ экономической эффективности ее внедрения.
1. Теоретические аспекты
мотивации и стимулирования труда
.1 Роль мотивов в общей
системе потребностей, интересов, стимулов
До недавнего времени мотивы деятельности, в
том числе и трудовой, никогда не были объектом системного экономического
исследования. Изучением их занимались в первую очередь (и более всего)
психологи, затем философы и, наконец, социологи. Экономическая наука
<#"517011.files/image001.gif">
Рисунок 1 - Иерархия потребностей по
Маслоу
Поскольку с развитием человека как
личности расширяются его потенциальные возможности, потребность в самовыражении
никогда не может быть полностью удовлетворена. Поэтому и процесс мотивации
поведения через потребности бесконечен.
Только после того, как человек
почувствует внутреннюю удовлетворенность и уважение окружающих, его важнейшие
потребности начнут расти в соответствии с его потенциальными возможностями. Но
если ситуация радикально изменяется, то важнейшие потребности могут круто
измениться. Как быстро и сильно могут спуститься по иерархической лестнице
высшие потребности и какими сильными могут быть потребности самых низких ее
уровней.
Для того чтобы следующий, более высокий
уровень иерархии потребностей начал влиять на поведение человека, не
обязательно удовлетворять потребность более низкого уровня полностью [7,
с.390].
Таким образом, иерархические уровни не являются дис кретными
ступенями. Другими словами, хотя в данный момент одна из потребностей может
доминиро вать, деятельность человека при этом стимулируется не только ею.
Другой моделью мотивации, делавшей
основной упор на потребности высших уровней, была теория Дэвида Мак Клеланда.
Он считал, что людям присущи три потребности: власти, успеха и причастности.
С развитием экономических отношений и совершенствованием
управления значительная роль в теории мотивации отводится потребностям более
высоких уровней. Представителем этой теории является Дэвид Мак Клеланд. Согласно
его утверждению структура потребностей высшего уровня сводится к трем факторам:
стремлению к успеху, стремлению к власти, стремление к причастности. При таком
утверждении успех расценивается не как похвала или признание со стороны коллег,
а как личные достижения в результате активной деятельности, как готовность
участвовать в принятии сложных решений и нести за них персональную
ответственность. Стремление к власти должно не только говорить о честолюбии, но
и показывать умение человека успешно работать на разных уровнях управления в
организациях, а стремление к признанию - его способность быть неформальным
лидером, иметь свое собственное мнение и уметь убеждать окружающих в его
правильности.
Согласно теории Мак Клеланда люди стремящиеся к власти,
должны удовлетворить эту свою потребность и могут это сделать при занятии
определенных должностей в организации [7,
с.390].
Управлять такими потребностями можно, подготавливая
работников к переходу по иерархии на новые должности с помощью их аттестации,
направления на курсы повышения квалификации и т.д. Такие люди имеют широкий
круг общения и стремятся его расширить. Руководители должны способствовать
этому [12, стр. 55].
В 50-х гг. нашего столетия была апробирована на практике
мотивационная модель Ф. Герцберга, которая включила в себя две группы факторов
(«гигиенические факторы» и «мотивационные факторы»), которые, по его мнению,
достаточно эффективно воздействуют на результаты труда работников фирм (Таблица
1) [4].
Таблица 1 - Мотивационная модель Ф. Герцберга.
|
Гигиенические
факторы
|
Мотивирующие
факторы
|
|
Заработная
плата
|
Интересная
работа, увлекательная постановка вопросов
|
|
Социальные
блага
|
Многосторонность,
возможность повышения звания
|
|
Условия работы:
физические, внешние
|
Самостоятельность
и полномочия
|
|
Статус
|
Свой участок
работы
|
|
Климат на
предприятии, рабочая атмосфера, обстановка
|
Возможность
добиться ощутимых результатов
|
|
Отношение к
начальству и коллегам
|
Признание
достижений выражается в увеличении: дохода; полномочий; степени трудности
поставленных задач; профессионального обучения и повышения квалификации.
|
Первая группа факторов (гигиенические факторы) связана с
самовыражением личности, ее внутренними потребностями, а также с окружающей
средой, в которой осуществляется сама работа. Вторая группа факторов мотивации
связана с характером и сущностью самой работы. Руководитель здесь должен
помнить о необходимости обобщения содержательной части работы. Гигиенические
факторы Ф. Герцберга соответствуют физиологическим потребностям, потребности в
безопасности и уверенности в будущем.
В последнее время концепция Герцберга подвергается критике за
ее упрощенность, игнорирование индивидуальных различий между людьми, видами
деятельности и культурами. Признавая подобную критику обоснованной, необходимо
подчеркнуть основное достоинство теории двух факторов - привлечение внимания
руководителей к труду как таковому в качестве основного источника мотивации
работника [12, стр. 56 - 57].
В процессуальных теориях анализируется то, как человек
распределяет усилия для достижения различных целей и как выбирает конкретный
вид поведения. Они не оспаривают существование потребностей, но считают, что
поведение людей определяется не только ими. Согласно процессуальным теориям
поведение личности является также функцией его восприятия и ожиданий, связанных
с данной ситуацией, и возможных последствий выбранного им типа поведения.
Рассмотрим основные процессуальные теории мотивации: теорию ожиданий В. Врума,
теорию справедливости, модель Портера-Лоулера и теорию Д. Макгрегора.
Теория ожиданий утверждает, что человек прикладывает усилия
для осуществления тех действий, которые:
. Приведут к удовлетворению его потребности;
. Имеют наивысшую, по, его мнению, вероятность успеха.
Другими словами, прежде чем совершить что-либо, человек
оценивает привлекательность каждого возможного результата для себя и уровень
усилий, которые необходимо затратить для его достижения. Если результат не
имеет ценности для человека - он не приложит особых усилий для его достижения,
и наоборот, при высокой значимости результата человек тратит большие усилия для
его достижения.
Врум выделил важность трех взаимосвязей: затраты труда -
результаты; результаты - вознаграждение и валентность (удовлетворенность
вознаграждением). Если значение любого из этих трех критически важных для
определения мотивации факторов будет мало, то будет слабой мотивация и низки
результаты труда.
Практический смысл теории ожидания заключается в выделении
рационального начала в мотивации работника и, соответственно, необходимости для
руководителей создания системы компенсации, учитывающей реальные потребности
сотрудников.
Сложности использования этой теории состоят, прежде всего, в
многовариантности человеческого поведения и сложности определения потребностей
и привлекательности возможных исходов для каждого отдельного сотрудника [12, стр. 115].
Теория справедливости утверждает, что в основе трудового
поведения человека лежит стремление к справедливой оценке со стороны
организации его усилий (по сравнению с оценкой усилий других сотрудников).
Иными словами люди озабочены, прежде всего, тем, как их соотносят с коллегами.
Каждый человек сравнивает соотношение собственных усилий с результатами
(оценкой со стороны организации) с тем же соотношением своих коллег и делает
вывод о равенстве или неравенстве, корректируя или оставляя неизменным свое
трудовое поведение на основании этого вывода. При этом он учитывает условия, в
которых работают он и другие сотрудники.
Теория мотивации Л. Портера - Э. Лоулера построена на
сочетании элементов теории ожиданий и теории справедливости. Суть ее в том, что
введены соотношения между вознаграждением и достигнутыми результатами.
Портер и Лоулер ввели три переменные, которые влияют на
размер вознаграждения: затраченные усилия, личностные качества человека и его
способности и осознание своей роли в процессе труда. Элементы теории ожидания
здесь проявляются в том, что работник оценивает вознаграждение в соответствии с
затраченными усилиями и верит в то, что это вознаграждение будет адекватно
затраченным им усилиям. Элементы теории справедливости проявляются в том, что
люди имеют собственное суждение по поводу правильности или неправильности
вознаграждения по сравнению с другими сотрудниками и соответственно и степень
удовлетворения. Отсюда важный вывод о том, что именно результаты труда являются
причиной удовлетворения сотрудника, а не наоборот. Согласно такой теории
результативность должна неукоснительно повышаться.
Дуглас Макгрегор проанализировал деятельность исполнителя на
рабочем месте и выявил, что управляющий может контролировать следующие
параметры, определяющие действия исполнителя: задания, которые получает
подчиненный; качество выполнения задания; время получения задания; ожидаемое
время выполнения задачи; средства, имеющиеся для выполнения задачи; коллектив,
в котором работает подчиненный; инструкции, полученные подчиненным; убеждение
подчиненного в посильности задачи; убеждение подчиненного в вознаграждении за
успешную работу; размер вознаграждения за проведенную работу; уровень
вовлечения подчиненного в круг проблем, связанных с работой.
Все эти факторы зависят от руководителя и, в то же время, в
той или иной мере влияют на работника, определяют качество и интенсивность его
труда. Макгрегор пришел к выводу, что на основе этих факторов возможно
применить два различных подхода к управлению, которые он назвал «Теория X» и
«Теория Y».
«Теория X» воплощает чисто авторитарный стиль управления,
характеризуется существенной централизацией власти, жестким контролем по
перечисленным выше факторам. «Теория Y» соответствует демократическому стилю
управления и предполагает делегирование полномочий, улучшение взаимоотношений в
коллективе, учета соответствующей мотивации исполнителей и их психологических
потребностей, обогащение содержания работы.
Обе теории имеют равное право на существование, но, в силу
своей полярности, в чистом виде на практике не встречаются. Как правило в
реальной жизни имеет место комбинация различных стилей управления.
Теории Макгрегора были разработаны применительно к отдельно
взятому человеку. Дальнейшее совершенствование подходов к управлению было
связано с тем развитием организации как системы открытого типа, а также была
рассмотрена работа человека в коллективе. Это привело к концепции целостного
подхода к управлению, т.е. необходимости учета всей совокупности производственных
и социальных проблем [11, стр. 157 - 158].
Так Уильям Оучи предложил свое понимание этого вопроса,
получившее название «Теория Z» и «Теория A», чему в большой степени
способствовали отличия в управлении, соответственно, в японской и американской
экономиках.
Оучи отмечает непропорциональное внимание к технике и
технологии в ущерб человеческому фактору. Поэтому «Теория Z» базировалась на
принципах доверия, пожизненного найма (как внимание к человеку) и групповом
методе принятия решений, что дает еще и прочную связь между людьми, более
устойчивое их положение. Однако управление развивалось большей частью в сторону
идей, заложенных в «Теории Y», демократического стиля управления.
Таким образом, с определенными допущениями «Теорию Z» можно
назвать развитой и усовершенствованной «Теорией Y», адаптированной, прежде
всего под Японию. «Теория A» в большей степени характерна для США. Однако
некоторые компании западных стран успешно применяют у себя принципы «Теории Z»
[4].
Таким образом, описанные выше теории пытаются объяснить
трудовое поведение человека, используя различные психологические и
физиологические концепции. Каждая из них имеет свои сильные и слабые стороны -
до сих пор не создано универсальной теории мотивации. Одни концепции лучше
работают в одних условиях (национальных культурах, организациях, применительно
к определенным профессиональным группам), другие - в других. Руководители
должны помнить, что мотивация - это комплексное явление, которое во многом
определяется индивидуальными особенностями сотрудника. Эффективное управление
производственным поведением требует от руководителей постоянного анализа и
учета этих особенностей, а также организационного контекста.
1.4 Зарубежный опыт создания материальных и
моральных мотивов к труду
Во многих странах Западной Европы и в США мотивационные
аспекты управления персоналом компаний и фирм приобрели большое значение, и эти
методы и опыт мотивации могут быть с успехом перенесены на российскую почву.
Для разрешения проблем соответствия эффективности деятельности
сотрудника и размера получаемой им зарплаты на предприятиях США и Западной
Европы используется система «Pay for Performance» - «плата
<#"517011.files/image002.gif">
Рисунок 2.1 - Среднесуточная добыча нефти
с газовым конденсатом в РФ (февраль 2006 г. - февраль 2007 г.), тыс. т.
Таблица 2.1 - Добыча нефти с газовым
конденсатом российскими компаниями в 2001 - 2005 гг., млн. т.
|
№, п/п
|
Компания
|
2001
|
2002
|
2003
|
2004
|
2005
|
|
1
|
ЛУКОЙЛ
|
62,9
|
75,5
|
78,9
|
84,1
|
87,8
|
|
2
|
ЮКОС
|
58,1
|
69,3
|
80,7
|
85,7
|
24,5
|
|
3
|
ТНК-ВР
|
-
|
-
|
61,6
|
70,3
|
75,3
|
|
4
|
Сургут НГ
|
44,0
|
49,2
|
54,0
|
59,6
|
63,9
|
|
5
|
Сибнефть
|
20,6
|
26,3
|
31,4
|
34,0
|
33,0
|
|
6
|
Татнефть
|
24,6
|
24,6
|
24,7
|
25,1
|
25,3
|
|
7
|
Роснефть
|
14,9
|
16,1
|
19,6
|
21,6
|
74,4
|
|
8
|
Славнефть
|
14,9
|
14,7
|
18,1
|
22,0
|
24,2
|
|
9
|
Башнефть
|
11,9
|
12,0
|
12,0
|
12,1
|
11,9
|
|
10
|
Газпром
|
10,2
|
10,8
|
11,0
|
12,0
|
12,8
|
|
11
|
НОВАТЭК
|
-
|
-
|
-
|
-
|
2,4
|
|
12
|
Русс Нефть
|
-
|
-
|
-
|
6,6
|
12,2
|
|
13
|
Прочие
|
35,5
|
27,3
|
27,3
|
25,8
|
19,4
|
Рисунок 2.2 - Добыча нефти с газовым
конденсатом российскими компаниями в 2001 - 2005 гг., млн. т.
На сегодняшний день добыча нефти в России
значительно превышает внутренние потребности экономики. Потребление нефтепродуктов
в России (платежеспособный спрос) на протяжении ряда последних лет не превышает
110 млн., т в год. В перспективе до 2012 года объемы первичной переработки
нефти на российских НПЗ не превысят 165-175 млн. т.
Для сохранения темпов роста, российской
эко номике жизненно необходимо дальнейшее разви тие экспортной инфраструктуры,
в первую очередь трубопроводов. Даже без учета ввода новых место рождений и при
100% загрузке трубопроводных мощностей объем нераспределенной нефти может
достичь 180 млн. т. к 2010 г., что повлечет за собой снижение объемов
добываемой в России нефти.
Таблица 2.2 - Доля крупнейших компаний в
общероссийской добыче нефти в 2004 - 2005 гг., %
|
№ п/п
|
Компании
|
2004
|
2005
|
|
1
|
«Юкос»
|
18,7
|
6,6
|
|
2
|
«ЛУКОЙЛ»
|
18,3
|
18,6
|
|
3
|
«Сургутнефтегаз»
|
13,0
|
13,5
|
|
4
|
ТНК-ВР
|
15,3
|
15,6
|
|
5
|
«Сибнефть»
|
7,4
|
7,3
|
|
6
|
«Татнефть»
|
5,5
|
5,5
|
|
7
|
«Славнефть»
|
4,8
|
5,1
|
|
8
|
«Роснефть»
|
4,7
|
15,6
|
|
9
|
«Газпром»
|
2,6
|
2,8
|
|
10
|
Прочие
производители
|
9,7
|
9,5
|
|
Итого
|
100
|
100
|
Рисунок 2.3 - Доля крупнейших компаний в
общероссийской добыче нефти в 2005 г.
Очевидна тенденция роста объемов добычи
нефти крупнейшими российскими нефтяными компаниями. Если посмотреть на рисунок,
то становится очевидным, что лидерами по объемам добычи в период 2001 - 2005
гг. были ЛУКОЙЛ, ЮКОС, ТНК-ВР, Сургут НГ, в 2005 к ним приблизилась Роснефть,
утроив объемы добычи сырой нефти.
Темпы роста добычи нефти с газовым
конденсатом в разрезе отдельных компаний в период 2003 - 2006 гг. представлены
на рисунке 2.4. Лидерами по темпам роста добычи являются: Сибнефть, СИДАНКО и
Славнефть, хотя говорить о явном лидерстве в данной ситуации нельзя.
Рисунок 2.4 - Среднегодовые темпы роста
добычи у российских нефтяных компаний в 2003 - 2006 гг., %
Чуть хуже перспективы у газохимии. Это
можно увидеть из таблицы 2.3.
Рисунок 2.5 - Среднегодовые темпы роста
первичной переработки нефти в 2001-2004 гг., %
Таблица 2.3 - Среднегодовые темпы роста
первичной переработки нефти в 2001-2004 гг., %
|
№ п/п
|
Компании
|
Среднегодовые
темпы роста, %
|
|
1
|
«ЮКОС»
|
25
|
|
2
|
«ЛУКОЙЛ»
|
17
|
|
3
|
ТНК
|
12
|
|
4
|
«Роснефть»
|
8,5
|
|
5
|
«Татнефть»
|
4,8
|
|
6
|
«Славнефть»
|
3,2
|
|
7
|
«Сибнефть»
|
2,9
|
|
8
|
«Сургутнефтегаз»
|
-1,2
|
|
9
|
Прочие
производители
|
-8,3
|
|
10
|
«СИДАНКО»
|
-26,2
|
|
В среднем по
России
|
4,2
|
Такое серьезное снижение объемов
переработки у некоторых компаний объясняется тем, что повышение цен на газ
неизбежно и конкурентоспособность российских производителей может снизиться[6,
стр. 18-19]. Однако в целом по стране наблюдается рост объемов первичной
переработки, хотя и небольшой (4,2%).
Динамика переработки нефти в России в
последние годы существенно отстает от роста добычи, что обуславливает ставку
всех крупных компаний на наращивание экспорта сырой нефти. Учитывая вертикально
интегрированную структуру российских нефтяных холдингов и нехватку
перерабатывающих мощностей практически у всех из них, самые высокие темпы
увеличения экспорта сырья демонстрируют те, у которых разница между ростом
добычи и переработки максимальна.
Рисунок 2.6 - Среднесуточная первичная
переработка нефти на НПЗ РФ (февраль 2006 г. - февраль 2007 г.), тыс. т.
Учитывая, что в среднем по России
переработка в 2001 - 2004 гг. увеличивалась на 3% в год, можно заключить, что
все наблюдаемые значительные отклонения от этого уровня связаны исключительно с
перераспределением прав собственности на нефтеперерабатывающие заводы.
Рисунок 2.7 - Среднесуточное производство
нефтепродуктов (февраль 2006 г. - февраль 2007 г.), тыс. т.
Рисунок 2.8 - Среднесуточное производство
сжиженных углеводородных газов (февраль 2006 г. - февраль 2007 г.), тыс. т.
Таким образом можно сделать вывод, что за
2006 год объемы выпуска основных видов нефтепродуктов возросли, хотя и
незначительно.
За последние 15 лет кардинальных изменений
в нефтехимии не произошло. Конечно, новая продукция создается, но это
происходит либо в малотоннажной химии, либо это новая специализация уже известных
продуктов.
Рисунок 2.9 - Показатель доходности
совокупных активов по крупным международным нефтегазовым компаниям в 2005 г., %
[7, стр. 21]
По данному показателю в тройку лидеров
входят две российские компании: Сибнефть (31,4%) и ЛУКОЙЛ (18,8%), что говорит
о высоком уровне развития нефтегазовой отрасли в нашей стране.
Прогноз развития предприятий нефтехимии
страны оптимистичен по всем направлениям из-за высоких цен на нефть. Быстрое
увеличение спроса на ее продукцию показывает, что потребляющие отрасли также
растут. Что касается финансового положения, то цены на нефтехимические товары
достаточно высоки, хотя стоимость сырья также идет вверх. Инновационные проекты
на нефтехимических предприятиях России стимулируют спрос на их продукцию. И еще
то, что долгое время в нефтехимию делалось мало инвестиций и большинство
мощностей требуют хотя бы «поддерживающих» вложений. И в совокупности они
сопоставимы с инвестициями в расширение производства. Однако имеет смысл, с точки
зрения общей стратегии развития, улучшения положения на рынке, делать также
капитальные вложения и в наращивание мощностей по тем продуктам, на которые
есть спрос. Сдерживает же приток средств не самое благоприятное
законодательство в этой сфере и недостаток профессиональных кадров, которые
могли бы вести инвестиционные проекты качественно, быстро и эффективно[1,
стр.13].
На сегодняшний день Европа является
основным экспортным рынком российской нефти. Однако возможности его роста
ограничены. Российским компаниям необходимо выходить на новые перспективные
рынки нефти, характеризующиеся высокими темпами роста: АТР, Северная Америка.
Это опять же требует создания новых трубопроводных маршрутов.
2.2 Общая характеристика
Коробковского ГПЗ
Коробковский газоперерабатывающий завод
является одним из структурных подразделений ООО «ЛУКОЙЛ-Нижневолжскнефть».
Завод предназначен для переработки:
нефтяного газа с нефтегазопромысловых
месторождений Жирновского, Котовского и Фроловского районов;
широкой фракции легких углеводородов,
поступающей с месторождений Коробковского, Жирновского и Фроловского районов.
Рисунок 2.10 - Объемы поставок нефтяного
попутного газа на КГПЗ в 2005 г., тыс. м3
Рисунок 2.11 - Объемы поставок ШФЛУ на
КГПЗ в 2005 г., т.
Основными видами выпускаемой продукции Коробковского
ГПЗ являются: сжиженные газы, стабильный газовый бензин и отбензиненный сухой
газ.
С апреля 2001 г. основным покупателем
продукции завода является ОАО «ЛУКОЙЛ», завод является грузоотправителем.
Сжиженные газы широко применяют в качестве
сырья для нефтехимической промышленности, используют как моторное топливо, а
также как бытовое топливо для газификации населенных пунктов, промышленных и
сельскохозяйственных предприятий.
Пропан-бутановая фракция сжиженных газов
направляется на топливно-бытовые нужды населения Волгоградской области и других
регионов, а также на экспорт. Кроме того, пропан (автомобильный) все больше
используется как газообразное экологически чистое топливо, снижающее вредные
выбросы практически в два раза.
Изобутановая фракция, фракция нормального
бутана и стабильный газовый бензин используются как сырье химии и нефтехимии.
Нормальный бутан и изобутан могут быть
использованы как сырье для производства каучука и резины.
Стабильный газовый бензин используют на
нефтеперерабатывающих заводах как компаундирующую добавку, улучшающую свойства
автомобильных бензинов.
Отгрузка продукции осуществляется в
железнодорожных и автоцистернах.
Отбензиненный сухой газ используется для
удовлетворения коммунально-бытовых нужд (как топливо).
Коробковский газоперерабатывающий завод с
1971 года работает по без цеховой структуре управления. Структура завода
установлена в соответствии с Типовой структурой газоперерабатывающих заводов,
утвержденной 5 августа 1983 г. Министерством нефтяной промышленности.
Структура управления включает:
руководство;
аппарат при руководстве;
отделы: материально-технического
снабжения, по промышленной безопасности, охране труда и чрезвычайным ситуациям,
бухгалтерия;
службы: производственно-технологическая,
планово-экономическая, кадровая, капитального строительства;
производственные участки:
газокомпрессорная станция, установка переработки газа, товарно-сырьевой парк,
участок пароводоснабжения, электроучасток, химлаборатория,
ремонтно-механическая мастерская, установка сероочистки.
С началом промышленной разработки в 1955
году нефтегазовых месторождений Нижнего Поволжья возникла необходимость
строительства предприятий по переработке углеводородного сырья непосредственно
в районе добычи. Коробковский газоперерабатывающий завод - единственное
профильное предприятие в регионе по переработке газа и промыслового конденсата.
История существования Коробковского
газоперерабатывающего завода начинается с 30 сентября 1966 года, когда был
подписан акт о государственной приемке завода в эксплуатацию. Решение о начале
строительства было принято гораздо раньше, в 1958 году.
июля 1958 года вышло Постановление ЦК КПСС
и Совета Министров СССР №795 о строительстве в районе Коробковского
газонефтяного месторождения Сталинградской области Коробковского комбината.
Комбинат должен был состоять из газобензинового и сажевого заводов, а также
ряда совмещенных объектов общезаводского назначения.
Планирование строительства комбината
обуславливалось необходимостью решения важных задач развития народного
хозяйства Поволжского региона.
Коробковский комбинат должен был решить
проблему утилизации нефтяного газа и переработки промыслового конденсата
Коробковского месторождения. Сжиженные товарные газы комбината планировалось
поставлять в качестве сырья на завод искусственного каучука в г. Казань, на
химкомбинат и тинный завод в г. Волжский, химзавод города Сталинграда.
Стабильный газовый бензин предполагалось реализовывать на нужды автотранспорта
промышленных и сельскохозяйственных предприятий, а отбензиненный газ позволил
бы ускорить реализацию плана развития газификации населенных пунктов
Сталинградской области.
Место строительства было определено на
второй по высоте точке Волгоградской области - 250 м. над уровнем Балтийского
моря в 7-ми км от поселка Котово. Производительность газобензинового завода
устанавливалась с учетом динамики роста добычи нефти и попутного газа
Коробковского месторождения в пределах 420 - 440 млн. м газа в год.
Строительство газобензинового завода было
начато в ноябре 1963 года, закончено в сентябре 1966 года при продолжительности
строительства по существовавшим нормам 3,5 года.
За прошедшие годы различной была ситуация
с загрузкой производственных мощностей завода. В 70-ых годах система газосбора
нефтяного района в низовьях Волги была сформирована полностью. Последним звеном
в этой схеме является газоперерабатывающий завод, получающий нефтяной газ в
виде сырья. Недостаток сырьевых ресурсов для полной загрузки завода породил
необходимость поставлять широкую фракцию углеводородов железнодорожным транспортом
из других районов страны для переработки на заводской ГФУ. В 80-ые годы сырье
привозилось на завод с Волгоградского НПЗ, предприятий Тобольска, Новополоцка,
Краснодарского края, г. Пыть-Ях. Нестабильность экономической ситуации 90-х
годов в стране напрямую отразилась и на Коробковском ГПЗ. В этот период уровень
использования установленных мощностей был низким. Так, в 1993 году возможности
компрессорной станции были использованы только на 45%, загрузка сырьем
установки газофракционирования в 1996 году составила всего 35%.
Выход из кризиса произошел после
образования ООО «ЛУКОЙЛ-Нижневолжскнефть». Благодаря современным управленческим
решениям руководства Общества был достигнут рост производственных показателей
завода.
2.3 Анализ финансовой
отчетности Коробковского газоперерабатывающего завода
Анализ финансовой деятельности КГПЗ начнем
с анализа состава, структуры и динамики разделов бухгалтерского баланса
предприятия. Составим сравнительный аналитический баланс, приведенный в таблице
1.
Таблица 2.4 - Сравнительный аналитический
баланс за 2004-2005 гг.
|
Наименование
строки
|
Абсолютные
величины
|
Относительные
величины
|
Изменение
|
|
2004
|
2005
|
2005
|
В абсолютной
величине
|
В структуре
|
|
Актив
|
|
|
I Внеоборотные активы
|
171158
|
213713
|
92,11
|
67,3
|
42555
|
-24,81
|
|
Основные
средства
|
169472,00
|
156118,00
|
91,20
|
49,17
|
-13354,00
|
-42,04
|
|
Вложения во
внеоборотные активы
|
1686,00
|
57595,00
|
0,91
|
18,14
|
55909,00
|
17,23
|
|
II. Оборотные
активы
|
14660,00
|
103816,00
|
7,89
|
32,7
|
89156
|
24,81
|
|
Запасы
|
9591,00
|
8008,00
|
5,16
|
2,52
|
-1583,00
|
-2,64
|
|
НДС по
приобретенным ценностям
|
2119,00
|
13222,00
|
1,14
|
4,16
|
11103,00
|
3,02
|
|
Долгосрочная
дебиторская задолженность
|
356,00
|
490,00
|
0,19
|
0,15
|
134,00
|
-0,04
|
|
Краткосрочная
дебиторская задолженность
|
2188,00
|
81663,00
|
1,18
|
25,72
|
79475,00
|
24,54
|
|
Денежные
средства
|
406,00
|
433,00
|
0,22
|
0,14
|
27,00
|
-0,08
|
|
Баланс
|
185818,00
|
317529,00
|
100,00
|
100,00
|
131711,00
|
0,00
|
|
Пассив
|
|
|
III Капитал и резервы
|
70452,00
|
107334,00
|
37,9
|
33,8
|
38882,00
|
-4,1
|
|
Добавочный
капитал
|
20221,00
|
19756,00
|
10,88
|
6,22
|
-465,00
|
-4,66
|
|
Нераспределенная
прибыль
|
50231,00
|
50241,00
|
27,03
|
15,82
|
10,00
|
-11,21
|
|
Фонд накопления
|
0,00
|
37337,00
|
0,00
|
11,76
|
37337,00
|
11,76
|
|
V Краткосрочные обязательства
|
115366,00
|
210195,00
|
62,1
|
66,2
|
94829,00
|
4,1
|
|
Кредиторская
задолженность
|
15542,00
|
28489,00
|
8,36
|
8,97
|
12947,00
|
0,61
|
|
Резервы предстоящих
расходов
|
4816,00
|
4787,00
|
2,59
|
1,51
|
-29,00
|
-1,08
|
|
Прочие
краткосрочные обязательства
|
95008,00
|
176919,00
|
51,13
|
55,72
|
81911,00
|
4,59
|
|
Баланс
|
185818,00
|
317529,00
|
100,00
|
100,00
|
131711,00
|
0,00
|
Из таблицы 2.4 видно, что за анализируемый
период значительно увеличилась валюта баланса. Это объясняется вводом в 2005
году нового оборудования, что повлекло за собой дополнительное привлечение
материальных и финансовых ресурсов.
В целом структура совокупных активов
характеризуется значительным превышением в их составе доли внеоборотных
активов, которые составляли 92,11% в 2004 году и 67,3% в 2005 году. Однако,
темп прироста оборотного капитала за анализируемый период выше, чем темп
прироста внеоборотных активов. Наибольший удельный вес в текущих активах занимают
дебиторская задолженность, НДС и запасы. Причем, доля дебиторской задолженности
в составе актива существенно выросла (на 24,54%). Также обращает на себя
внимание низкий удельный вес в составе актива денежных средств, который в 2005
году составил всего 0,14%.
Пассивная часть баланса характеризуется
превышением доля заемного капитала над собственным.
Рисунок 2.12 - Динамика структуры пассива
Следующим этапом анализа является
группировка активов организации по уровню их ликвидности, а обязательства - по
срочности оплаты, которая представлена в таблице 2.5.
Таблица 2.5 - Группировка активов по
уровню ликвидности и обязательств по срочности оплаты
|
Группировка
активов по степени их ликвидности
|
Сумма
|
Группировка
пассивов по степени их срочности
|
Сумма
|
|
2004
|
2005
|
|
2004
|
2005
|
|
Наиболее
ликвидные активы
|
406,00
|
433,00
|
Наиболее
срочные обязательства
|
15542,00
|
28489,00
|
|
Быстрореализуемые
активы
|
2188,00
|
81663,00
|
Краткосрочные
пассивы
|
95008,00
|
176919,00
|
|
Медленно
реализуемые активы
|
12066,00
|
21720,00
|
Долгосрочные
пассивы
|
4816,00
|
4787,00
|
|
Труднореализуемые
активы
|
171158,00
|
213713,00
|
Постоянные
пассивы
|
70452,00
|
107334,00
|
Из таблицы 2.5 видно, что денежных средств
и краткосрочных финансовых вложений предприятию в 2003 - 2005 гг. не хватает
для покрытия наиболее срочных обязательств. Размер собственного капитала
предприятия меньше величины трудно реализуемых внеоборотных активов, что
свидетельствует о невысокой ликвидности предприятия. Размер краткосрочных
обязательств превышает величину быстрореализуемых активов, т.е. предприятие не
в состояние погасить краткосрочные обязательства.
Теперь рассмотрим показатели ликвидности и
платежеспособности Коробковского ГПЗ, представленные в таблице 2.6.
Таблица 2.6 - Показатели ликвидности
предприятия
|
Показатель
|
2004 г.
|
2005 г.
|
Изменение за
2004 -2005 гг.
|
|
1. Коэффициент
текущей ликвидности
|
0,132610
|
0,505414
|
0,372804
|
|
2. Коэффициент
критической ликвидности
|
0,023464
|
0,399673
|
0,376208
|
|
3. Коэффициент
абсолютной ликвидности
|
0,003673
|
0,002108
|
-0,001565
|
|
4. Коэффициент
восстановления платежеспособ ности
|
0,159506
|
0,345908
|
0,186402
|
|
5. Покрытие
(непокрытие) суммой оборотных активов суммы краткосрочных обязательств (+, -)
|
-55792,00
|
-3518,00
|
52274,00
|
Коэффициент текущей ликвидности
показывает, какую часть текущих обязательств может погасить предприятие,
мобилизовав все оборотные средства. Значение данного коэффициента ниже
нормативного. Это свидетельствует о том, что у предприятия не достаточно
оборотных средств для покрытия краткосрочной кредиторской задолженности.
Коэффициент критической ликвидности
показывает, какая часть текущих краткосрочных обязательств может быть погашена
за счет денежных средств, краткосрочных финансовых вложений, а также
поступлений по расчетам.
Коэффициент критической ликвидности КГПЗ
также ниже нормативного и на конец отчетного периода составил 0,399673. Это
значит, что предприятие может немедленно погасить текущую краткосрочную
задолженность только на 39,97 % .
Коэффициент абсолютной ликвидности в 2005
году составил 0,002108, и имеет тенденцию к снижению. Значение данного
коэффициента также ниже нормативного, что говорит о том, что денежных средств и
краткосрочных финансовых вложений предприятия недостаточно для покрытия
краткосрочных обязательств.
Коэффициент восстановления платежеспособности
показывает возможность восстановления предприятием платежеспособности в течение
шести месяцев. Значение данного коэффициента для КГПЗ в 2005 г. меньше единицы.
Это свидетельствует о том, что у предприятия нет реальной возможности
восстановить платежеспособность в ближайшие шесть месяцев.
Для оценки финансового состояния
предприятия необходимо провести анализ его финансовой устойчивости. Обобщающими
показателями оценки финансовой устойчивости являются показатели, представленные
в таблице 2.7.
Таблица 2.7 - Показатели финансовой
устойчивости КГПЗ
|
Показатель
|
2004
|
2005
|
Изменение
|
|
1. Коэффициент
финансовой независимости (автономии)
|
0,38
|
0,22
|
-0,16
|
|
2. Коэффициент
финансовой зависимости
|
0,59
|
0,65
|
0,05
|
|
3. Коэффициент
финансовой устойчивости
|
0,38
|
0,22
|
-0,16
|
|
4. Коэффициент
финансового рычага (левериджа)
|
1,57
|
2,93
|
1,37
|
|
5. Коэффициент
финансирования
|
0,64
|
0,34
|
-0,30
|
|
6. Коэффициент
инвестирования
|
0,41
|
0,50
|
0,09
|
|
7. Коэффициент
маневренности собственного капитала
|
-1,43
|
-2,05
|
-0,62
|
|
8. Коэффициент
постоянного актива
|
2,43
|
1,99
|
-0,44
|
|
9. Коэффициент
обеспеченности оборотных активов собственными средствами
|
-6,87
|
-1,38
|
5,49
|
Коэффициент финансовой независимости за
анализируемый период уменьшился с 0,38 до 0,22, и по-прежнему остается ниже
нормативного значения. Это значит, что удельный вес собственных ресурсов в
общей величине итога баланса составил всего 22%, т.е. предприятие в основном
работает за счет привлеченных средств.
Значение коэффициента финансовой
устойчивости также ниже нормативного и на конец отчетного периода составило
0,22. Это свидетельствует о том, что только 22% активов предприятия
финансируется за счет устойчивых источников, а именно собственного капитала и
долгосрочных обязательств.
Коэффициент финансового рычага выше
нормативного значения и равен на конец анализируемого периода 2,93, т.е. на 1
руб. собственных средств приходятся 2,93 руб. заемных рублей. Это также
свидетельствует о финансовой зависимости предприятия от внешних источников.
Коэффициент постоянного актива выше
нормативного значения, т.е. внеоборотные активы превышают собственные средства,
а это свидетельствует о том, что у КГПЗ нет собственных оборотных средств, что
с финансовой точки зрения не допустимо.
Коэффициенты маневренности собственного
капитала и обеспеченности оборотных активов собственными средствами за
анализируемый период имели отрицательное значение. Это говорит о том, что КГПЗ
не в состоянии профинансировать текущую деятельность за счет собственных
источников.
Таким образом, на основании проведенной
оценки финансовой устойчивости КГПЗ можно сделать вывод о том, что предприятие
находится в неустойчивом финансовом положении, близком к банкротству.
Следующим этапом анализа является оценка
рентабельности капитала организации, вложенного в ак тивы предприятия, а также
сформированного за счет собствен ных источников (таблица 2.8).
Таблица 2.8 - Расчет влияния факторов на
изменение рентабельности собственного капитала КГПЗ
|
Показатель
|
2004
|
2005
|
Изменение
|
|
1 . Чистая
прибыль
|
7964,00
|
72465,00
|
64501,00
|
|
2.
Среднегодовые остатки собственного капитала
|
70452,00
|
88893,00
|
18441,00
|
|
3.
Среднегодовые остатки заемного капитала
|
110550,00
|
157979,00
|
47429,00
|
|
4.
Среднегодовые остатки всех активов
|
181002,00
|
246872,00
|
65870,00
|
|
5. Выручка от
продаж
|
380305,00
|
396168,00
|
15863,00
|
|
6. Рентабельность
продаж, %
|
4,20
|
20,13
|
15,93
|
|
7. Коэффициент
оборачиваемости активов
|
2,10
|
1,60
|
-0,50
|
|
8. Коэффициент
финансового рычага (леверидж)
|
1,57
|
2,93
|
1,37
|
|
9. Коэффициент
финансовой зависимости
|
0,59
|
0,65
|
0,05
|
|
10.
Рентабельность собственного капитала, %
|
23,29
|
146,57
|
123,28
|
|
1 1 . Влияние
на изменение рентабельности собственного капитала (ρСК) факторов - всего, %
|
X
|
X
|
123,28
|
|
в том числе:
|
|
|
|
|
а)
рентабельности продаж, % (x)
|
X
|
X
|
88,29
|
|
б) коэффициента
оборачиваемости активов (y)
|
X
|
X
|
-26,36
|
|
в) коэффициента
финансового рычага (леверидж) (z)
|
X
|
X
|
74,15
|
|
г) коэффициента
финансовой зависимости (k)
|
X
|
X
|
-12,80
|
Факторная модель рентабельности
собственного капитала (Rс.к.) выглядит следующим образом:
, (2.1)
где Rпр. - рентабельность продаж, %; Коб. - коэффициент
оборачиваемости активов; Кф.л. - коэффициент финансового рычага
(левериджа); Кф.з. - коэффициент финансовой зависимости.
Исходя из анализа факторной модели рентабельности собственного
капитала способом цепных подстановок, можно сделать следующие выводы.
Расчеты показывают, что уровень рентабельности собственного
капитала в 2004-2005 гг. вырос на 123,28%. Наибольшее влияние оказали рост рентабельности
продаж - на 15,93%, в связи с чем, рентабельность собственного капитала выросла
на 88,29% и увеличение коэффициента финансового рычага на 1,37, что привело к
росту рентабельности собственного капитала на 74,15%. Остальные факторы оказали
негативное влияние.
Из таблицы 2.10 видно, что доходы КГПЗ в 2005 году выросли на
16710,00 тыс. руб. Наибольший удельный вес в структуре доходов предприятия
занимает выручка - более 99%. В структуре расходов предприятия наибольший
удельный вес занимает себестоимость - 63-73%. Коэффициент соотношения доходов и
расходов больше единицы. Это говорит о том, что доходы предприятия превышают
расходы.
Из таблицы 2.10 видно, что КГПЗ является
прибыльным. Однако удельный вес чистой прибыли в структуре доходов в 2004 году
составлял 2,09%, но в 2005 году он существенно вырос и составил - 18,23%. В
абсолютном отношении все показатели прибыли предприятия выросли, в частности
темп роста чистой прибыли составил 909,91% (общая величина доходов выросла на
4,39%).
Таблица 2.9 - Показатели состава, структуры и динамики
доходов и расходов предприятия
|
Показатель
|
Состав доходов
и расходов, тыс.руб.
|
Структура
доходов и расходов, %
|
|
|
|
|
2004
|
2005
|
Изменение
|
2004
|
2005
|
Изменение
|
|
А
|
1
|
2
|
3
|
4
|
5
|
6
|
|
1 . Доходы -
всего в том числе:
|
380691,0
|
16710,00
|
100
|
100
|
-
|
|
1.1. Выручка от
продаж
|
380305,0
|
396168,00
|
15863,00
|
99,898605
|
99,689734
|
-0,20887
|
|
1.2. Проценты к
получению
|
0
|
0
|
0,00
|
0
|
0
|
0
|
|
1.3. Доходы от
участия в других организациях
|
0
|
0
|
0,00
|
0
|
0
|
0
|
|
1 .4. Прочие
операционные доходы
|
0
|
0
|
0,00
|
0
|
0
|
0
|
|
1.5.
Внереализационные доходы
|
94
|
52
|
-42,00
|
0,024692
|
0,013085
|
-0,01161
|
|
1.6.
Чрезвычайные доходы
|
292
|
1181
|
889,00
|
0,076703
|
0,297181
|
0,220478
|
|
2. Расходы -
всего в том числе:
|
372727
|
324936
|
-47791,00
|
100
|
100
|
-
|
|
2.1.
Себестоимость проданных товаров, продукции, работ, услуг
|
233223
|
238147
|
4924,00
|
62,57207
|
73,290433
|
10,718362
|
|
2.2.
Коммерческие расходы
|
17732
|
15434
|
-2298,00
|
4,757369
|
4,749858
|
-7,511E-03
|
|
2.3.
Управленческие расходы
|
113368
|
62821
|
-50547,00
|
30,415827
|
19,333346
|
-11,08248
|
|
2.4. Проценты к
уплате
|
0
|
0
|
0,00
|
0
|
0
|
0
|
|
2.5. Прочие
операционные расходы
|
3540
|
4015
|
475,00
|
0,949757
|
1,235628
|
0,285871
|
|
2.6.
Внереализационные расходы
|
4639
|
3722
|
-917,00
|
1,244611
|
1,145456
|
-0,09915
|
|
2.7. Налог на
прибыль
|
0
|
3
|
3,00
|
0
|
9,2326E-04
|
9,2326E-04
|
|
2.8.
Чрезвычайные расходы
|
225
|
794
|
569,00
|
0,00060366
|
0,244356
|
0,18399
|
|
3. Коэффициент
соотношения доходов и расходов организации
|
1,021
|
1,223013
|
0,20
|
X
|
X
|
X
|
Таблица 2.10 - Состав, структура и
динамика показателей прибыли предприятия
|
Показатель
|
Состав
показателей прибыли, тыс. руб.
|
Удельный вес
показателей прибыли в общей величине доходов, %
|
|
|
|
|
2004
|
2005
|
Изменение
|
Темп роста,
|
2004
|
2005
|
Изме-нение
|
|
|
|
|
%
|
|
|
|
|
1 . Общая
величина доходов
|
380691,0
|
397401,0
|
16710,00
|
104,39
|
100,00
|
100,00
|
-
|
|
2. Валовая
прибыль
|
147082
|
158021
|
10939,00
|
107,44
|
38,64
|
39,76
|
1,13
|
|
3. Прибыль от
продаж
|
15982
|
79766
|
63784,00
|
499,10
|
4,20
|
20,07
|
15,87
|
|
4. Прибыль до
налогообложения
|
7897
|
72081
|
64184,00
|
912,76
|
2,07
|
18,14
|
16,06
|
|
5. Прибыль
(убыток) от обычной деятельности
|
7897
|
72078
|
64181,00
|
912,73
|
2,07
|
18,14
|
16,06
|
|
6. Чистая
(нераспределенная) прибыль
|
7964
|
72465
|
64501,00
|
909,91
|
2,09
|
18,23
|
16,14
|
Далее рассчитаем точку безубыточности
(«критический» объем продаж), запас финансовой прочности, долю запаса
финансовой прочности в объеме выручки от продаж (таблица 2.11).
Таблица 2.11 - Расчет критического объема
продаж
|
Показатель
|
2004
|
2005
|
Изменение
|
Темп роста, %
|
|
1 . Выручка от
продаж
|
380305,00
|
396168,00
|
15863,00
|
104,17
|
|
2.
Себестоимость проданных товаров, продукции, работ, услуг
|
233223,00
|
238147,00
|
4924,00
|
102,11
|
|
3. Коммерческие
расходы
|
17732,00
|
15434,00
|
-2298,00
|
87,04
|
|
4.
Управленческие расходы
|
113368,00
|
62821,00
|
-50547,00
|
55,41
|
|
5. Итого
условно-постоянных расходов
|
131100,00
|
78255,00
|
-52845,00
|
59,69
|
|
6. Маржинальный
доход
|
147082,00
|
158021,00
|
10939,00
|
107,44
|
|
7. Доля
маржинального дохода в выручке от продаж
|
0,39
|
0,40
|
0,01
|
103,14
|
|
8.
«Критическая» точка безубыточности.
|
338980,88
|
196189,92
|
-142790,96
|
57,88
|
|
9. Запас
финансовой прочности
|
41324,12
|
199978,08
|
158653,96
|
483,93
|
|
10. Уровень
(коэффициент) запаса финансовой прочности, %
|
10,87
|
50,48
|
39,61
|
464,55
|
За анализируемый промежуток времени
маржинальный доход вырос на 10939 тыс. руб. В 2004 году запас финансовой
прочности составлял 41324,12 тыс. руб., а в 2005 году увеличился на 383,93% и
составил уже 199978,08 тыс. руб. В 2004 организации необходимо было производить
продукции на 338980,88 тыс. руб., чтобы выручка покрывала все расходы по
производству и реализации продукции, а в 2005 - на 196189,92 тыс. руб. Также
необходимо отметить, что уровень (коэффициент) за паса финансовой прочности за
анализируемый период вырос на 39,61% и в 2005 году составил 50,48%.
Таблица 2.12 - Расчет чистых активов
предприятия
|
Показатель
|
2004
|
2005
|
Изменение
|
Темп роста,%
|
|
1.
Нематериальные активы
|
0,00
|
0,00
|
0,00
|
-
|
|
2. Основные
средства
|
169472,00
|
156118,00
|
-13354,00
|
92,12
|
|
3.
Незавершенное строительство
|
0,00
|
0,00
|
0,00
|
-
|
|
4. Долгосрочные
финансовые вложения
|
1686,00
|
57595,00
|
55909,00
|
3416,07
|
|
5. Прочие
внеоборотные активы
|
0,00
|
0,00
|
0,00
|
-
|
|
6. Запасы
|
9591,00
|
8008,00
|
-1583,00
|
83,49
|
|
7. НДС по
приобретенным ценностям
|
2119,00
|
13222,00
|
11103,00
|
623,97
|
|
8. Дебиторская
задолженность
|
2544,00
|
82153,00
|
79609,00
|
3229,28
|
|
9.
Краткосрочные финансовые вложения
|
0,00
|
0,00
|
0,00
|
-
|
|
10. Денежные
средства
|
406,00
|
433,00
|
27,00
|
106,65
|
|
11 . Прочие
оборотные активы
|
0,00
|
0,00
|
0,00
|
-
|
|
12. Итого
активов для расчета чистых активов
|
185818,00
|
317529,00
|
131711,00
|
170,88
|
|
13. Целевые
финансирование и поступления
|
0,00
|
0,00
|
0,00
|
-
|
|
14. Непокрытые
убытки прошлых лет и отчетного года
|
0,00
|
0,00
|
0,00
|
-
|
|
15.
Краткосрочные кредиты и займы
|
0,00
|
0,00
|
0,00
|
-
|
|
16.
Кредиторская задолженность
|
15542,00
|
28489,00
|
12947,00
|
183,30
|
|
17.
Задолженность участникам (учредителям) по выплате доходов
|
0,00
|
0,00
|
0,00
|
-
|
|
18. Резервы
предстоящих расходов
|
4816,00
|
4787,00
|
-29,00
|
99,40
|
|
19. Прочие
краткосрочные обязательства
|
95008,00
|
176919,00
|
81911,00
|
186,21
|
|
20. Итого
обязательств для расчета чистых активов
|
115366,00
|
210195,00
|
94829,00
|
182,20
|
|
21. Итого
чистых активов
|
70452,00
|
107334,00
|
36882,00
|
152,35
|
Таблица 2.13 - Расчет показателей для
проведения факторного анализа рентабельности чистых активов КГПЗ
|
Показатель
|
2004
|
2005
|
Изменение
|
380305,00
|
396168,00
|
15863,00
|
|
2. Прибыль от
обычной деятельности (после налогообложения)
|
7897,00
|
72078,00
|
64181,00
|
|
3.
Среднегодовая стоимость чистых активов
|
70452,00
|
88893,00
|
18441,00
|
|
4.
Среднегодовая стоимость заемного капитала
|
110550,00
|
134264,50
|
23714,50
|
|
5.
Рентабельность чистых активов, %
|
22,68
|
89,73
|
67,05
|
|
6. Коэффициент
соотношения чистых активов и заемного капитала (х)
|
0,64
|
0,66
|
0,02
|
|
7.
Оборачиваемость заемного капитала (Y)
|
3,44
|
2,95
|
-0,49
|
|
8.
Рентабельность продаж, % (Z)
|
4,20
|
20,13
|
15,93
|
|
9. Влияние на
изменение рентабельнос ти чистых активов факторов - всего, % в том числе:
|
X
|
X
|
67,05
|
|
а)
оборачиваемости заемного капитала
|
X
|
X
|
-3,23
|
|
б)
рентабельности продаж
|
X
|
X
|
73,77
|
|
в) коэффициента
соотношения чистых активов и заемного капитала
|
X
|
X
|
-3,49
|
Чистые активы Коробковского ГПЗ в целом за
анализируемый период выросли на 36882,00 тыс. руб., в основном за счет
увеличения долгосрочных финансовых вложений и дебиторской задолженности.
Рентабельность чистых активов за 2004-2005 гг. также возросла на 67,05%.
Рассмотрим влияние факторов на изменение
рентабельности чистых активов в 2005 году. Из таблицы 2.14 видно, что за счет
снижения коэффициента оборачиваемости на 0,49 рентабельность чистых активов
уменьшилась на 3,23%. Из-за увеличения рентабельности продаж на 15,93%
рентабельность чистых активов увеличилась на 73,77%. За счет увеличения
коэффициента соотношения чистых активов и заемного капитала на 0,02, рентабельность
чистых активов уменьшилась на 3,49%.
В результате проведенного анализа
необходимо дать итоговую оценку деловой активности предприятия исходя из
показателей финансового состояния и финансовых результатов, представленных в
таблице 2.14, привести рекомендации, направленные на повышение эффективности
финансово-хозяйственной деятельности предприятия.
Таблица 2.14 - Показатели оценки деловой
активности предприятия
|
Показатель
|
Значение
показателя
|
|
2004
|
2005
|
|
А
|
1
|
2
|
|
1 . Коэффициент
абсолютной ликвидности
|
0,00
|
0,00
|
|
2. Коэффициент
критической ликвидности
|
0,02
|
0,40
|
|
3. Коэффициент
текущей ликвидности
|
0,13
|
0,51
|
|
4. Коэффициент
восстановления платежеспособности
|
0,16
|
0,35
|
|
5. Коэффициент
утраты платежеспособности
|
X
|
X
|
|
6. Коэффициент
обеспеченности собственными оборотными средствами
|
-6,87
|
-1,38
|
|
7. Коэффициент
финансовой независимости (автономии)
|
0,38
|
0,22
|
|
8. Коэффициент
финансовой устойчивости
|
0,38
|
0,22
|
|
9. Коэффициент
финансирования
|
0,64
|
0,34
|
|
10. Коэффициент
инвестирования
|
0,41
|
0,50
|
|
11 .
Коэффициент финансового рычага (левериджа)
|
1,57
|
2,93
|
|
12. Коэффициент
маневренности собственного капитала
|
-1,43
|
-2,05
|
|
13. Коэффициент
постоянного актива
|
2,43
|
1,99
|
|
14. Коэффициент
оборачиваемости активов
|
2,10
|
1,60
|
|
15. Коэффициент
оборачиваемости оборотных активов
|
25,94
|
6,69
|
|
16.
Рентабельность активов, %
|
8,60
|
19,78
|
|
17.
Рентабельность собственного капитала, %
|
23,29
|
146,57
|
|
16.
Рентабельность продаж, %
|
4,20
|
20,13
|
|
17. Превышение
(снижение) дебиторской задолженности над кредиторской, тыс. руб.
|
-12998,00
|
53664,00
|
|
18. Прирост чистой
(нераспределенной) прибыли.
|
X
|
64501,00
|
|
19. Прирост
прибыли от продажи товаров, продукции, работ, услуг
|
X
|
63784,00
|
|
20. Прирост
чистых активов.
|
X
|
36882,00
|
|
21. Уровень
запаса финансовой прочности, %
|
10,87
|
50,48
|
Коэффициент абсолютной ликвидности ниже
нормативного, что говорит о том, что денежных средств и краткосрочных
финансовых вложений предприятия недостаточно для покрытия краткосрочных
обязательств.
Коэффициент критической ликвидности КГПЗ
также ниже нормативного и на конец отчетного периода составил 0,4. Это значит,
что предприятие может немедленно погасить текущую краткосрочную задолженность
за счет денежных средств, краткосрочных финансовых вложений, а также
поступлений по расчетам только на 4 % .
Коэффициент текущей ликвидности ниже
нормативного. Это свидетельствует о том, что у предприятия не достаточно
оборотных средств для покрытия краткосрочной кредиторской задолженности, т.е.
КГПЗ является некредитоспособным предприятием
Коэффициент восстановления
платежеспособности КГПЗ меньше единицы. Это свидетельствует о том, что у
предприятия нет реальной возможности восстановить платежеспособность в
ближайшие шесть месяцев.
Коэффициент финансовой независимости ниже
нормативного значения. Это значит, что предприятие в основном работает за счет
привлеченных средств.
Значение коэффициента финансовой
устойчивости также ниже нормативного и на конец отчетного периода составило
0,22. Это свидетельствует о том, что только 22% активов предприятия
финансируется за счет устойчивых источников.
Коэффициент финансового рычага выше
нормативного значения и равен на конец анализируемого периода 2,93, т.е. на 1
руб. собственных средств приходятся почти 2,93 руб. заемных рублей. Это также
свидетельствует о финансовой зависимости предприятия от внешних источников.
Коэффициенты маневренности собственного
капитала и обеспеченности оборотных активов собственными средствами за
анализируемый период имели отрицательное значение. Это говорит о том, что КГПЗ
не в состоянии профинансировать текущую деятельность за счет собственных источников.
Уменьшение коэффициентов оборачиваемости в
2005 году свидетельствует о снижении эффективности использования оборотных
активов и имущества предприятия в целом.
Однако за анализируемый период возросла
рентабельность продаж, активов и собственного капитала предприятия, что говорит
о повышении деловой активности КГПЗ.
3.
Исследование системы мотивации труда рабочих на газоперерабатывающем
предприятии
.1
Анализ системы мотивации труда рабочих на Коробковском газоперерабатывающем
заводе
Отсутствие приемлемого механизма мотивации труда сотрудников
ведет к утечке квалифицированных кадров во многих компаниях. Материальное
вознаграждение за профессиональные успехи должно носить систематический
характер и основываться на ясных объективных критериях.
В современных условиях сложилось так, что среди множества
видов стимулов, наиболее популярны материальные. Работники в результате
выполнения требований, предъявляемых к ним организацией, предпочитают получить
определенные материальные выгоды. Аналогичная ситуация складывается и на КГПЗ.
Рабочее время и время отдыха на КГПЗ строго регламентированы.
Так, например, продолжительность рабочего времени устанавливается в
соответствии с законодательством о труде из расчета не более 40 часовой рабочей
недели. Учитывая непрерывность производства, рабочее время для сменного
персонала определяется графиком работы, согласованным с профсоюзным комитетом.
Работа сверх нормы часов, но в соответствии с графиком сменности не считается
сверхурочной. Переработка регулируется графиком сменности. Сверхурочная работа
допускается в исключительных случаях ст. 54, 55 КЗоТ. Сверхурочные работы не
должны превышать для каждого работника четырех часов в течение двух дней подряд
и 120 часов в год. Привлечение работников к сверхурочным работам производится с
разрешения профсоюзного комитета. Работа в сверхурочное время компенсируется
только повышенной оплатой, предоставление за нее отгула не допускается.
Привлечение работников предприятия к работе в выходные и
праздничные дни производится по письменному приказу (распоряжению)
администрации предприятия с разрешения профсоюзного комитета. Работа в выходные
и праздничные дни допускается: для ликвидации производственных аварий, либо
немедленного устранения их последствий; для выполнения неотложных, заранее
непредвиденных работ, от срочного выполнения которых зависит нормальная работа
предприятия. За работу в выходные и праздничные дни предоставляется отгул или
по согласованию сторон, компенсация в денежной форме, но не менее чем в двойном
размере.
Ежегодный, оплачиваемый отпуск предоставляется работникам
продолжительностью 27 рабочих дней, из них 3 дня оплачиваются за счет прибыли,
остающейся в распоряжении предприятия. Замена отпуска денежной компенсацией не
допускается, кроме случая увольнения работника. Ежегодные отпуска могут
предоставляться в любое время в течение года, но без нарушения нормального хода
работы производства. Очередность предоставления отпусков устанавливается
администрацией по согласованию с профкомом. Выплата зарплаты и отпускного
пособия производится накануне ухода в отпуск, но не позднее, чем за один день
до ухода в отпуск.
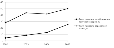
Так как рабочим в рабочее время строго воспрещается покидать
свое рабочее место, в распорядке дня каждые два часа предусмотрены
пятнадцатиминутные перерывы и часовой обеденный перерыв, который не включается
в общую продолжительность рабочего дня.
Оплата труда рабочих, руководителей, специалистов и служащих
производится в соответствии с ст. 77-83 КЗоТ РФ. Должностные оклады рабочим,
руководителям, специалистам и служащим предприятия устанавливаются на основании
единой тарифной сетки и в соответствии с Классификатором должностей всех
категорий работников предприятия. В течение 2005 года средний доход на одного
рабочего вырос на 1 460 рублей и составил 12 679 рублей на 1 рабочего.
Тарификация работ, присвоение квалификационного разряда рабочим производится
согласно ЕТКС. Оплата за работу в праздничные и выходные дни производится в
размерах установленных законодательством (КЗоТ ст. 64, 89).
Текущее премирование персонала предприятия производится на
основании Положений, в которых устанавливаются показатели и размеры
премирования (Таблица 3.1).
Премия не является гарантированной частью заработка рабочих:
ее могут получать только рабочие, имеющие единовременный стаж работы на
предприятии не менее 4 месяцев, кроме того за нарушение распорядка дня
экономист по труду, по согласованию с директором может лишить рабочего части
премии (5 %), либо отказать в премировании в случае выявления регулярных, либо
грубых нарушений.
Таблица 3.1 - Размеры премирования рабочих на КГПЗ
|
№ п/п
|
Наименование
цеха
|
Размер премии,
в % от тарифной части заработной платы
|
|
1
|
ГКС
|
40 %
|
|
2
|
АГФУ
|
40 %
|
|
3
|
ТСП
|
30 %
|
|
4
|
ПВС
|
30 %
|
|
5
|
Электроучасток
|
30 %
|
|
6
|
Химлаборатория
|
20 %
|
|
7
|
РММ
|
30 %
|
|
8
|
СОУ
|
40 %
|
Администрация обеспечивает доставку рабочих и служащих
предприятия к месту работы и обратно.
Выплачивается единовременное пособие каждому работнику,
уходящему в очередной отпуск в зависимости от стажа работы на предприятии
(Таблица 3.2). Пособие не выплачивается работникам предприятия, совершившим
прогул, появившимся на работе в нетрезвом состоянии, а также в случае
привлечения к уголовной ответственности. Лицам, допустившим другие нарушения
трудовой и производственной дисциплины, размер пособия может быть снижен по
усмотрению руководителя предприятия.
Предоставляется отпуск за свой счет работающим пенсионерам
сроком на один календарный месяц.
Таблица 3.2 - Выплата единовременного пособия при уходе в
отпуск
|
Стаж работы на
предприятии
|
Размер выплат
при уходе в отпуск
|
|
до 1 года (при
предоставлении отпуска за первый год работы)
|
до 30 % от
оклада
|
|
от 1 до 3 лет
|
до 50 % от
оклада
|
|
от 3 до 5 лет
|
до 65 % от
оклада
|
|
от 5 до 7 лет
|
до 75 % от
оклада
|
|
от 7 до 10 лет
|
до 90 % от
оклада
|
|
от 10 до 15 лет
|
до 100 % от
оклада
|
|
свыше 15 лет
|
до 120 % от
оклада
|
Работникам, получившим не по своей вине увечья или иные
повреждения здоровья, связанные с исполнением трудовых обязанностей, а также
любое медицинское оперативное вмешательство (операция), администрация
компенсирует дополнительные расходы с выделением материальной помощи из фонда
потребления в размере 100% от предъявленных документов о фактически понесенных
затратах на операцию. В случае смерти работника предприятия, похороны умершего
организуются за счет предприятия (работник предприятия или пенсионер, ушедший
на пенсию с предприятия и нигде больше не работавший).
Основой успеха любой компании является человеческий капитал.
Невозможно обеспечить рост бизнеса, не решив социальных проблем, в том числе и
в области охраны здоровья работников в процессе их трудовой деятельности.
Согласно законодательству РФ в области охраны труда,
обеспечение здоровых и безопасных условий труда, в том числе
лечебно-профилактическое обслуживание работников в процессе их трудовой
деятельности, возлагается на работодателя.
Персонал является одним из производственных ресурсов,
стратегическим и неотъемлемым средством развития бизнеса. Эффективность
трудовой деятельности каждого работника и качество производимой им продукции в
значительной степени зависит от состояния его здоровья.
Если раньше государство как монопольный собственник,
производитель и работодатель брало на себя все функции по организации трудового
процесса и социальной защиты работающих, то теперь с развитием рыночной
экономики происходит перераспределение этих функций. Работодатель становится
ответственным за здоровье работающих, совершенствование условий труда и
профилактику заболеваний, в том числе профессиональных, что является частью
социальной защиты работающих.
К сожалению, в настоящее время отмечается резкое сокращение
социальных программ на производстве, в том числе направленных на сохранение
здоровья работников в процессе их трудовой деятельности, обеспечение персонала
рациональным и лечебным питанием на производстве, расширение возможностей
психологической разгрузки, санаторно-курортное оздоровление и т. д. [3, стр.
75].
Однако, несмотря на это, в ООО «ЛУКОЙЛ - Нижневолжскнефть»
создаются условия для повышения эффективности труда, развития профессиональной
и деловой инициативы; тщательно соблюдаются правовые гарантии, предоставляемые
работникам.
Основным документом, регулирующим социально-трудовые
отношения в коллективе, является «Соглашение между работодателем и профсоюзным
объединением ОАО «Нефтяная компания «ЛУКОЙЛ» на 2005 - 2007 годы». На
предприятии с 1976 года действует коллективный договор, выполнение которого
контролирует комиссия, включающая представителей объединенной профсоюзной
организации. Коллективный договор предусматривает выделение средств из бюджета
Общества на финансирование мероприятий, направленных на охрану здоровья
работников, добровольное медицинское страхование, приобретение путевок,
материальную помощь для малообеспеченных семей и одиноких матерей, а также
целый ряд других мероприятий.
Каждый год растет количество работников, повышающих свою
квалификацию. Обучение проводится в основном на базе собственного
учебно-курсового комбината, который находится в г. Котово. Комбинат имеет
лицензию на обучение по 70 профессиям и специальностям, 8 специализированных
кабинетов, рассчитанных на 250 человек, полигон с действующим оборудованием.
В 2004 году в Обществе появилась новая форма работы с
молодежью - состоялся I форум советов молодых ученых и специалистов ООО
«ЛУКОЙЛ-Нижневолжскнефть». Благодаря форуму молодое поколение нефтяников Нижней
Волги получило возможность общаться и обмениваться идеями в неформальной
креативной обстановке, максимально способствующей раскрытию творческого
потенциала. В рамках мероприятия состоялась презентация программы «Молодежь
НВН», в которой обозначены основные направления и перспективы молодежной
политики предприятия. В их числе - планирование и развитие карьеры,
формирование кадрового резерва, создание и развитие эффективной системы
внедрения изобретений и рационализаторских предложений, предлагаемых молодыми
работниками Общества, социальная поддержка, патриотическое воспитание,
спортивно-досуговая работа и др.
Общество заботится об организации полноценного отдыха своих
работников и их детей. К их услугам турбазы на Волге и оздоровительный лагерь
имени Сергея Тюленина, а также комфортабельный и оснащенный самым современным
медицинским оборудованием профилакторий Коробковского нефтегазодобывающего
управления[4, стр.17-18].
В рамках социальной программы
осуществляется поддержка ветеранов производства, чей нелегкий многолетний труд
стал основой успешного сегодняшнего развития ООО «ЛУКОЙЛ-Нижневолжскнефть».
Так, созданная в Обществе система негосударственного пенсионного обеспечения
привела к переходу от разовой материальной помощи к стабильной финансовой
поддержке бывших работников предприятия [5, стр. 21].
Все это говорит о хорошо организованной
системе мотивации и стимулирования на Коробковском газоперерабатывающем заводе.
Сочетание материального и нематериального стимулирования создает благоприятные
условия для высокоэффективного труда, однако наибольшее внимание руководство
предприятия уделяет нематериальным факторам, которые в большей мере затрагивают
такую категорию работников как управленческий персонал.
Таблица 3.3 - Доля заработной платы в себестоимости
продукции в 2003 - 2005 гг.
|
№
|
Показатель
|
2003
|
2004
|
2005
|
|
1
|
Заработная
плата, тыс. руб.
|
22469
|
25980,46
|
32863,97
|
|
2
|
Себестоимость
продукции, тыс. руб.
|
226902,45
|
227782,2
|
233223
|
|
3
|
Доля заработной
платы, %
|
9,903
|
11,406
|
14,091
|
Рисунок 3.1 - Доля заработной платы в
себестоимости продукции в период 2003 - 2005 гг.
Реализация систем мотивации в любом
коллективе требует, как правило, больших затрат по фонду заработной платы и
премиальным системам. Затраты эти должны составлять до 30% объема продаж, в то
время как доля заработной платы в общей себестоимости продукции на КГПЗ
составила в среднем всего 7,76%, несмотря на довольно высокое абсолютное
значение (средний доход на одного рабочего в 2005 г. составил 12679 р.).
Основными показателями эффективности
управления персоналом являются: производительность труда (объем реализации на
одного работника и его динамика, объем прибыли до уплаты налога на одного
работника и его динамика) и уровень удовлетворенности персонала (коэффициент
текучести персонала и его динамика, уровень абсентизма).
Данные для расчета всех вышеперечисленных
показателей приведены в таблице 3.4.
Таблица 3.4 - Данные для расчета
производительности труда и уровня удовлетворенности персонала
|
Показатель
|
Год
|
|
2001
|
2002
|
2003
|
2004
|
2005
|
|
Объем
реализации, тыс. руб.
|
363879
|
360219
|
369851
|
371285
|
380305
|
|
Объм прибыли до
уплаты налога, тыс. руб.
|
56895
|
63018
|
65032
|
78970
|
72081
|
|
Средняя
заработная плата рабочего персонала, руб.
|
7895
|
8246
|
8959
|
10117
|
12679
|
|
Среднегодовая
численность рабочих, чел.
|
204
|
211
|
209
|
214
|
216
|
|
Число
уволенных, чел.
|
24
|
18
|
10
|
6
|
3
|
|
Абсентизм
|
23
|
18
|
17
|
15
|
11
|
1) Рассчитаем объем реализации на одного работника:
Vр 1раб(2001)=363879/204=1783,72
тыс. руб.
Vр 1раб(2002)=360219/211=1707,20
тыс. руб.
Vр 1раб(2003)=369851/209=1769,62
тыс. руб.
Vр 1раб(2004)=371285/214=1777,13
тыс. руб.
Vр 1раб(2005)=380305/216=1834,11
тыс. руб.
2) Рассчитаем объем прибыли до налогообложения на одного
работника:
Vп 1раб(2001)=56895/204=278,90
тыс. руб.
Vп 1раб(2002)=63018/211=298,66
тыс. руб.
Vп 1раб(2003)=65032/209=311,16
тыс. руб.
Vп 1раб(2004)=78970/214=369,02
тыс. руб.
Vп 1раб(2005)=72081/216=333,70
тыс. руб.
3) Рассчитаем коэффициент текучести кадров:
Ктек(2001)=24/204=0,118
Ктек(2002)=18/211=0,085
Ктек(2003)=10/209=0,048
Ктек(2004)=6/214=0,028
Ктек(2005)=3/216=0,014
4) Рассчитаем уровень абсентизма:
Уабс(2001)=23/204=0,113
Уабс(2002)=18/211=0,085
Уабс(2003)=17/209=0,081
Уабс(2004)=15/214=0,07
Уабс(2005)=11/216=0,051
Далее необходимо проследить данные
показатели в динамике, определить их абсолютное и относительное изменение по
анализируемым годам и выявить взаимосвязь этих изменений и уровня заработной
платы рабочего персонала.
Таблица 3.5 - Динамика показателей производительности
труда и уровня удовлетворенности персонала
|
Год
|
Абсолютный
прирост
|
Темп прироста,
%
|
|
ЗПср
|
Vр 1раб
|
Vп 1раб
|
Ктек
|
Уабс
|
ЗПср
|
Vр 1раб
|
Vп 1раб
|
Ктек
|
Уабс
|
|
2002
|
351
|
-76,52
|
19,76
|
-0,033
|
-0,028
|
4,4
|
-4,3
|
7,1
|
-28
|
-24,8
|
|
2003
|
713
|
62,42
|
12,5
|
-0,037
|
-0,004
|
8,6
|
3,7
|
4,2
|
-43,5
|
-4,7
|
|
2004
|
1158
|
7,51
|
57,86
|
-0,02
|
-0,011
|
12,9
|
0,4
|
18,6
|
-41,7
|
-13,6
|
|
2005
|
56,98
|
-35,32
|
-0,014
|
-0,019
|
25,3
|
3,2
|
-0,9
|
-50
|
-27,1
|
Рисунок 3.2 - Темп прироста заработной
платы и выработки на одного рабочего
Если посмотреть на график, становится
очевидным, что темпы прироста заработной платы существенно опережают темпы
прироста выработки, это говорит о том, что для увеличения рост тарифных ставок
слабо сказался на эффективности труда рабочих.
Далее рассмотрим влияние заработной платы
на коэффициент текучести, для наглядности возьмем значения прироста
коэффициента по модулю.
Рисунок 3.3 - Темп прироста заработной
платы и коэффициента текучести кадров
Очевидно, что темпы прироста заработной
платы существенно ниже темпов прироста коэффициента текучести кадров, взятого
по модулю. Это говорит о том, что рост заработной платы положительно
сказывается на закреплении кадров на предприятии. Такая же тенденция
наблюдается и с уровнем абсентизма, это, в свою очередь, указывает на повышение
ответственности работников и на заинтересованность сохранить свое рабочее
место.
Исходя из всего вышесказанного, можно
сделать вывод о том, что существующая на предприятии система мотивации не
достаточно проработана и эффективна. Она хороша для управленческого персонала,
но не для рабочих. Кроме того, рост заработной платы не адекватно сказывается
на эффективности труда рабочих, но очень положительно влияет на уровень
удовлетворенности персонала.
В связи с этим просто необходимо внести
некоторые коррективы в данную систему мотивации, адаптировать ее для такой
категории работников предприятия как рабочие, сделав упор на материальное
стимулирование.
3.2 Совершенствование
системы мотивации труда рабочих на Коробковском газоперерабатывающем заводе
Исходя из существующего российского и
зарубежного опыта мотивации и стимулирования наемных работников, мы предлагаем
собственный вариант организации системы мотивации рабочего персонала на КГПЗ,
основанной на применении гибких систем оплаты труда и участии работников в
результатах деятельности. В этой связи был использован весь положительный опыт
в области мотивации и стимулирования наемных работников.
В основе любой системы оплаты наемных
работников должен лежать принцип безусловного соблюдения норм трудового
законодательства.
Предложенная модель состоит из нескольких
этапов по организации системы мотивации и ввода ее в действие.
На первом этапе разрабатываются конкретные
меры материального и нематериального стимулирования работников. Они включают
определение тарифных ставок для различных категорий персонала, доплат и
надбавок, определение порядка начисления и размеров коллективных премий и
выплат из прибыли. Определяются методы нематериального стимулирования и
гуманитарные стимулы к труду.
На втором этапе заключается коллективный
договор между администрацией предприятия (предпринимателем) и профсоюзом. В
современной экономике коллективный договор играет ключевую роль в достижении
согласия между наемными работниками и администрацией, что в значительной мере
снижает риск возникновения забастовок. Связано это с тем, что коллективный
договор закрепляет все положения, связанные с оплатой наемных работников и
представляемых им льгот.
С помощью коллективного договора система
мотивации и стимулирования становится ясной и понятной наемным работникам
предприятия, что повышает эффективность применяемых на предприятии методов
мотивации и стимулирования.
На третьем этапе происходит распределение
по группам оплаты конкретных работников предприятия. На этом этапе система
оплаты наемных работников конкретизируется и принимает законченный вид.
Модель определения тарифной ставки для
рабочих должна основываться на следующих принципах:
определение минимальных и предельных
разрядов для работников с различным уровнем профессионального образования;
определение критериев для распределения
работников по разрядам внутри одной образовательной группы;
определение соотношений между критериями
по их значимости для определения конкретных разрядов;
определение соотношений в оплате между
группами разрядов в зависимости от уровня профессионального образования.
Модель определения тарифной ставки для
рабочих:
ТС = ПО + С + СР + НС + ОТВ +Н + Д, (3.1)
где ТС - тарифная ставка; ПО -
профессиональное образование; С - стаж работы на предприятии; СР - сложность
выполняемых работ; НС - возможность появления нестандартных ситуаций; ОТВ -
уровень ответственности (за материалы, инструмент, оборудование); Н -
напряженность труда; Д - дефицитность профессии на рынке труда.
Такой подход к тарификации работников
позволит, наиболее справедливо оценить рабочее место и возложенные на работника
функции и правильно установить соответствующий разряд оплаты и определить
тарифную ставку и соотношения между ними.
Увеличение тарифа каждого работника должно
происходить в большей степени за счет повышения им своей квалификации и
получения более высокого разряда.
На четвертом этапе конкретизируется
система участия наемных работников в доходах предприятия.
В качестве главной формы участия наемных
работников предприятия в его доходах мы предлагаем использовать коллективные
премии за снижение затрат на рабочую силу в единице продукции.
По нашему мнению, для начисления
коллективной премии наиболее подходит система Скэнлона.
Начисление коллективной премии по системе
Скэнлона определяется коллективным договором между администрацией
(предпринимателем) и профсоюзом. В договоре определяется доля заработной платы
в стоимости готовой продукции в процентах. Если доля заработной платы в
стоимости продукции составит меньшую долю, то в этом случае сэкономленная сумма
затрат идет в премиальный фонд. Предлагается определить долю заработной платы в
стоимости готовой продукции 15% (за последние три года они в среднем составили
7,76%). Такой низкий процент можно объяснить тем, что единовременное
существенное увеличение одной из составляющей себестоимости может негативно
отразиться на результатах деятельности предприятия в целом. Договор следует
заключить на срок, не превышающий трех лет, после чего его можно будет
корректировать в направлении увеличения доли заработной платы в стоимости
готовой продукции.
Схема распределения коллективной премии
предложена на основе анализа зарубежного опыта и имеет следующий вид:
Рисунок 3.4 - Схема распределения
коллективной премии
Начисление в резервный фонд предприятия
необходимо для того случая, если доля затрат на заработную плату в стоимости
готовой продукции будет выше, чем это предусмотрено коллективным договором.
Тогда за счет резервного фонда покрываются убытки.
Коллективная премия между работниками
участка распределяется в соответствии с результатами оценки рабочих мест и
должностей.
При начислении коллективной премии
учитываются разряды работников и соответствующие им тарифные коэффициенты. Но
при этом начисление производится не по тем тарифным ставкам, которые
установлены с учетом стажа работы, а по тем, которые должны были бы быть
установлены работнику, исходя только из оценки рабочего места и должности.
Для определения коллективной премии
проводятся следующие действия:
тарифные коэффициенты работников
суммируются;
сумма коллективной премии, приходящаяся на
долю работников, делится на сумму тарифных коэффициентов и определяется премия,
приходящаяся на тарифный коэффициент, равный единице;
тарифные коэффициенты работников
умножаются на сумму премии, приходящуюся на тарифный коэффициент, равный
единице.
Таким образом, получаем сумму премии,
начисленную каждому из работников.
На пятом этапе решается вопрос о
распределении между работниками социальных льгот. Как правило, работник в
пределах отведенного ему бюджета сам решает, какие выбрать ему социальные
льготы.
Существующая на предприятии модель
нематериального стимулирования соответствует всем современным требованиям и
представляется весьма эффективной, в связи с чем, на мой взгляд, не нуждается в
каких-либо изменениях.
Далее необходимо оценить эффективность
предложенной модели мотивации. Главным нововведением в данной модели является
система участия работников предприятия в его доходах, поэтому в оценке
эффективности необходимо обратить основное внимание именно на нее.
Рассмотрим три варианта развития событий:
неблагоприятный, наиболее вероятный и благоприятный.
Таблица 3.6 - Выпуск товарной продукции в
2005 г., т
|
№
|
Показатель
|
Абсолютное
значение
|
Доля от
производственной мощности, %
|
|
1
|
Производственная
мощность
|
428850
|
100
|
|
2
|
Фактически
произведенная продукция
|
393684
|
91,8
|
|
3
|
Продукция,
соответствующая ГОСТ
|
343932
|
80,2
|
|
4
|
Отбракованная
продукция
|
49752
|
11,6
|
Себестоимость одной тонны готовой
продукции в 2005 году составила 678 руб. (из них переменные расходы - 575 руб.,
постоянные на весь выпуск - 35425 тыс. руб.), а продажная цена - 1106 руб. Из
приведенной таблицы видно, что при наиболее благоприятном воздействии
предложенной системы мотивации количество продукции, соответствующей ГОСТ будет
равно фактическому выпуску, так как количество брака напрямую зависит от качества
выполнения рабочим своих обязанностей. Остальные 8,2% недозагрузки
производственной мощности связано с сильной изношенностью основного
производственного оборудования.
Для того чтобы оценить влияние системы
мотивации на результаты деятельности предприятия, будем исходить из
предположения, что цена и себестоимость продукции, как и численность рабочих в
будущем периоде останется неизменной.
1) Наиболее благоприятный вариант (величина брака
составит 0%):
Таблица 3.7 - Экономический эффект от
внедрения системы мотивации при наиболее благоприятном развитии событий
|
Показатель
|
Абсолютное
значение
|
Абсолютное
изменение
|
Темп прироста
|
|
2005
|
Год внедрения
|
|
|
|
Себестоимость
выпуска, тыс. руб.
|
233223
|
261793
|
28570
|
0,1225
|
|
Выручка от
продажи, тыс. руб.
|
380305
|
435414,5
|
55109,5
|
0,1449
|
|
Заработная
плата 1 раб., тыс. руб.
|
12,679
|
12,679
|
0
|
0
|
|
Доход рабочего
от экономии средств за год, тыс. руб.
|
0
|
15,998
|
15,998
|
-
|
|
Общий доход
рабочего за год, тыс. руб.
|
152,148
|
168,146
|
15,998
|
0,105
|
Таблица 3.8 - Экономический эффект от
внедрения системы мотивации при наиболее вероятном развитии событий
|
Показатель
|
Абсолютное
значение
|
Абсолютное
изменение
|
Темп прироста
|
|
2005
|
Год внедрения
|
|
|
|
Себестоимость
выпуска, тыс. руб.
|
233223
|
250475
|
17252
|
0,0739
|
|
Выручка от
продажи, тыс. руб.
|
380305
|
413644
|
33339
|
0,0877
|
|
Заработная
плата 1 раб., тыс. руб.
|
12,679
|
12,679
|
0
|
0
|
|
Доход рабочего
от экономии средств за год, тыс. руб.
|
0
|
12,665
|
12,665
|
-
|
|
Общий доход
рабочего за год, тыс. руб.
|
152,148
|
164,813
|
12,665
|
0,0832
|
Таблица 3.9 - Экономический эффект от внедрения системы
мотивации при наиболее неблагоприятном развитии событий
|
Показатель
|
Абсолютное
значение
|
Абсолютное
изменение
|
Темп прироста
|
|
2005
|
Год внедрения
|
|
|
|
Себестоимость
выпуска, тыс. руб.
|
233223
|
237887
|
4664
|
0,02
|
|
Выручка от
продажи, тыс. руб.
|
380305
|
387911
|
7606
|
0,021
|
|
Заработная
плата 1 раб., тыс. руб.
|
12,679
|
12,679
|
0
|
0
|
|
Доход рабочего
от экономии средств за год, тыс. руб.
|
0
|
8,013
|
8,013
|
-
|
|
Общий доход
рабочего за год, тыс. руб.
|
152,148
|
160,161
|
8,013
|
0,052
|
Очевидно, что темпы прироста выручки от
продаж, а следовательно и прибыли, при наиболее благоприятном варианте,
опережают темпы прироста затрат на оплату труда на 4%. При такой ситуации
предприятие, несомненно, выиграет, получив дополнительную прибыль (Таблица
3.7).
При наиболее вероятном варианте (Таблица
3.8) темпы прироста выручки от продаж все равно превышают темпы роста затрат на
оплату труда, хотя уже не так существенно, всего на 0,45% (дополнительные 33339
тыс. руб. выручки).
При наиболее неблагоприятном варианте
темпы прироста выручки будут ниже темпов прироста затрат на оплату труда
(Таблица 3.9).
Предположим, что вероятность наступления
данных событий 25%, 50% и 25% соответственно. Исходя из данного предположения,
можно просчитать средний экономический эффект, выраженный в увеличении выручки.
В=0,25*55109,5+0,5*33339+0,25*7606=32348,375
С=0,25*28570+0,5*17252+0,25*4664=16934,5
Д=0,25*15,988+0,5*12,665+0,25*8,013=12,333
Тпв=(32348,375/380305)*100%=8,5%
Тпд=(12,333/152,148)*100=8%.
Таким образом, предложенная модель системы
мотивации на предприятии позволяет не только учесть тарифную (постоянную) часть
заработной платы, но и поставить доход наемного работника в зависимость от
производительности труда и конечных результатов деятельности предприятия,
причем в данном случае темпы прироста выручки превышают темпы прироста затрат
на оплату труда в среднем на 0,5%. Такой подход представляется наиболее
прогрессивным в области мотивации и стимулирования наемных работников и
обеспечивающим как гарантию получения постоянной заработной платы, так и возможность
существенного увеличения дохода по итогам работы.