Проектирование и разработка информационной системы, позволяющей повысить эффективность работы отдела по взаимодействию с клиентами
Квалификационная
работа
Проектирование
и разработка информационной системы, позволяющей повысить эффективность работы
отдела по взаимодействию с клиентами
СИСТЕМА УПРАВЛЕНИЯ ВЗАИМОДЕЙСТВИЕМ С КЛИЕНТАМИ, НАСЫЩЕННОЕ
ИНТЕРНЕТ ПРИЛОЖЕНИЕ, СИСТЕМА УПРАВЛЕНИЯ РЕЛЯЦИОННЫМИ БАЗАМИ ДАННЫХ.
Объектом разработки является информационная система
позволяющая автоматизировать отдел по взаимодействию с клиентами.
Цель работы - проектирование и разработка информационной
системы позволяющей повысить эффективность работы отдела по взаимодействию с
клиентами.
Для достижения поставленной цели в процессе выполнения
квалификационной работы были поставлены следующие задачи:
1)
Провести
анализ состояния объекта автоматизации с цель выявления требований к проектируемой
системе;
2)
Разработать
проект данной информационной системы, включающий в себя описание физической и
логической структуры системы;
3)
Реализовать
спроектированную систему основываясь на современных тенденциях и технологиях;
4)
Разработать
дружественный интерфейс системы;
5)
Проверить
функционирование системы в тестовом режиме.
В ходе выполнения задач разработана информационная система, с
помощью которой решаются задач хранения, обработки информации отдела по
взаимодействии с клиентами, а так же выступающая в роли орудия контроля данного
объекта автоматизации.
Содержание
Введение
1.Анализ состояния
1.1 Сбор требований
1.2 Анализ требований
1.3 Анализ
рынка продуктов
1.4 Определение потребности в
собственной разработке
2. Разработка
проекта
2.1 Выбор архитектуры
3. Реализация системы
3.1 Выбор языка программирования
3.2 Выбор платформы
3.3 Выбор коммуникационных методов
3.4 Выбор инструментов
3.5 Конструирование модулей
4.
Экономическая эффективность.
4.1 Прямые экономические эффекты
4.2 Косвенные экономические эффекты
4.3 Снижение рисков
4.4 Расчет себестоимости внедрения.
4.5 Оценка экономического эффекта,
получаемого за счет роста производительности сотрудников.
4.6 Определение показателей
эффективности инвестиций
. Безопасность
жизнедеятельности
5.1 Негативное воздействие компьютера
на человека
5.2 Компьютерное излучение
5.3 Организация рабочего места
5.4 Примечание к разделу
Заключение
Список
литературных источников
Приложения
Введение
В реалиях современной компании занимающейся продажей, каких либо
услуг или товаров, менеджеру по работе с клиентами постоянно приходится
сталкиваться с колоссальными объёмами информации, она представляет собой
сведенья о клиентах, результаты проведённых переговоров и т.п. Высокая
информационная нагрузка в данной области бизнеса зачастую приводит к
невнимательности сотрудника, что в свою очередь может привести к финансовым
потерям предприятия. Для того чтобы представить информацию в доступном и
удобном виде и повысить эффективность работы сотрудников в компаниях занимающихся
работой с клиентами применяются корпоративные системы управления
взаимодействиями с клиентами, которые называются CRM системы. Данные системы
обеспечивают автоматизацию стратегии клиентского обслуживания компании, в
частности, для повышения уровня продаж, оптимизации маркетинга и улучшения
обслуживания клиентов путём сохранения информации о клиентах и истории
взаимоотношений с ними, установления и улучшения бизнес-процедур и последующего
анализа результатов. Системы данного класса решают на предприятиях, данного
вида, проблему «потерянных» клиентов возникающей в результате невнимательности
сотрудников, вызванной информационной нагрузкой о которой говорилась ранние, а
так же в целом поднимает уровень внимательности компании к клиентам.
Таким образом, очевидно, что наиболее перспективной
стратегией по налаживанию долговременных контактов с существующими и
потенциальными клиентами, а так же снижение вероятностей ошибок сотрудников
работающих в данном направлении является стратегия CRM, которая предлагает
поставить клиента в центр внимания с целью удовлетворить его потребности
наилучшим образом. В связи с этим вполне закономерным является рост внимания к
CRM-системам как со стороны компаний-продавцов в качестве их потребителей, так
и со стороны их поставщиков. Этот подход подразумевает, что при любом
взаимодействии с клиентом по любому каналу, сотруднику компании доступна полная
информация обо всех взаимоотношениях с этим клиентом и решение принимается на
основе этой информации (информация о решении, в свою очередь, тоже
сохраняется).
В данный момент на рынке CRM систем существуют
системы, занимающие все возможные ниши данного направления бизнеса. Это
позволяет компаниям, в серьёз задумывающимся о современных методиках ведения
бизнеса и успешном экономическом развитии, найти для себя наилучший вариант
системы, отвечающий всем самым специфическим требованиям. Следовательно, данный
сектор производства ПО является высокоперспективным для развития и вложения.
1. Анализ состояния
Анализ состояния позволяет оценить положение дел на
предприятии с целью выявления функциональных и не функциональных требований к
ПО, которое в свою очередь будит являться инструментом автоматизации данного
объекта.
Выполнение же подобного анализа проводиться при помощи UML,
IDEF, ARIS и других методологий подобного характера позволяющих представить
собранную информацию о объекте автоматизации в виде конкретизированной модели с
чёт определёнными участниками и функциями.
Следует отметить, что анализ состояния в первую очередь
базируется на одной из методик проектирования, таких как XP, RAD, RUP и MSF.
Для подробного рассмотрения каждой из методик ниже в таблице 1.1 приведён их
сравнительный анализ.
Знак «+» в ячейке таблицы свидетельствует о том, что данная
методика обладает выбранным свойством, а в противном случи ставиться знак «-».
А такое сочетание знаков «+/-» свидетельствует о не полной реализации данного
свойства в рассматриваемой методике.
Таблица 1.1 - Сравнение методик проектирования
|
Свойства
методик
|
Наименование
методик
|
|
MSF
|
RUP
|
RAD
|
XP
|
|
Объектно-ориентированный
подход
|
-
|
+
|
+
|
-
|
|
Гибкость
методики
|
+
|
-
|
+
|
+
|
|
Малый коллектив
разработчиков
|
-
|
-
|
+
|
+
|
|
Отсутствие
ограничений на технологии и инструменты
|
+
|
-
|
+/-
|
+
|
|
Удобство
модификации и сопровождения
|
+
|
+
|
+
|
-
|
|
Планирование
рисков на высоком уровне
|
+
|
+
|
-
|
-
|
|
Итеративность
разработки
|
+
|
-
|
+
|
+
|
На основе анализа данных и таблицы выше, для разработки
автоматизированной системы управления складским хозяйством, была выбрана
методика проектирования RAD, как наиболее удовлетворяющая заданному набору критериев.
Так же следует отметить, что при использовании данной методики применяется
удобный и понятный подход для специалиста, использующего данную методику
впервые, по этой причине для построения диаграммы AS-IS и других диаграмм будет
применяться методология ARIS.
Следует отметить что проектируемая система будет носить
массовый характер, а следовательно все требования должны быть представлены в
усреднённом виде.
1.1
Сбор требований
Сбор требований к разрабатываемой информационной системе,
является крайне важным этапом разработки. Сбор требований следует осуществлять
на начальной стадии создания проекта, поскольку требования являются
неотъемлемой частью планирования процесса разработки конечного продукта.
Согласно выбранной методике RAD сбор требований выполняется
при использовании рабочего метода, называемого совместным планированием
требований, который представляет собой структурный анализ и обсуждение
имеющихся коммерческих задач с непосредственным участием заказчика. Для этого
проводиться круглый стол с руководством объекта автоматизации и анкетирование
сотрудников, а так же анализ документов принадлежащих объекту автоматизации.
Комплексное представление о предприятии
Данный объект автоматизации является предприятием на котором
для привлечения клиентов, сотрудники предприятия проводят постоянные прозвон
клиентов, а так же презентуют услуги в рамках продвижения своей продукции.
Процесс продажи основывается на проведение с заинтересовавшимися клиентами
деловых встреч, по результатам которых может быть заключён договор. Другие же
сотрудники данного предприятия занимаются оказанием бизнес поддержки своим
коллегам. Непосредственно для увеличения продаж и повышения эффективности
управления рынком сбыта предприятием проводятся маркетинговые исследования и
анализ результатов продаж.
Предприятие состоит из 5 отделов:
- Отдел клиентского обслуживания;
- Отдел маркетинга;
- Аналитический отдел;
- ИТ подразделение;
- Отдел рекламы.
Автоматизация данного объекта заключатся в использование ПК в
каждом отделе данного предприятия и применение почтового сервера с целью
обеспечении документооборота и координации действий всех отделов, а также
применение пакета MS Office для работы с документами.
К объектам автоматизации рассматриваемой организации
относятся отдел клиентского обслуживания, отдел маркетинга и аналитический
отдел.
Отдел клиентского обслуживания (далее отдел КО) занимается
привлечением клиентов к предоставляемым продуктам по средством прозвонов и
проведении презентации, а так же заключением договоров и удержанием клиентов по
средствам периодических встреч. Так же в данном отеле ведётся отчётность часть,
которой направляться в отдел аналитики для анализа эффективности работы отдела
и разработки стратегии для повышения прибыли предприятия.
Маркетинговый отдел заниматься проведением исследованиями с
целью выявления первичного потребителя предлагаемых компанией продуктов тем
самым обеспечивая точечную подстройку бизнеса под постоянно изменяющуюся
агрессивную среду рынка сбыта. Данный для аналитики отдел получает по средствам
проведения телефонных опросов среди потребителей продукции и потенциальных
потребителей.
Аналитический отдел заниматься анализом деятельности
предприятия с целью экстренного реагирования на всевозможные изменения в работе
компании с целью повышения прибыли и оптимизации бизнес процессов. В данный
отдел пересылаться вся отчётность по работе всех отделов занимающихся тесной
работой с клиентами.
Перечень документов
По результатам сбора первоначальных сведений об объекте
автоматизации были выявленные следующие документы, имеющие непосредственно к
рассматриваемому объекту, из них был сформирован перечень, который приведён в
таблице 1.2.
Знак «+» в ячейки таблице свидетельствует о принадлежности
документа к определенному его типу, знак «-» говорит об обратном.
Таблица 1.2 - Перечень документов
|
Наименование
документа
|
Тип
документа
|
|
Отчётный
|
Плановый
|
Учётный
|
Договор
|
|
Отчёт о
проведенной встрече
|
+
|
-
|
-
|
-
|
|
Отчёт о
прозвоне клиентов
|
-
|
+
|
-
|
-
|
|
Отчёт о
проведенной презентации
|
+
|
-
|
-
|
-
|
|
Отчёт по
продажам за неделю
|
-
|
+
|
-
|
-
|
|
Информационный
свод маркетингового исследования
|
-
|
-
|
+
|
-
|
|
Отчёт по
результатам маркетингового опроса
|
+
|
-
|
-
|
-
|
|
Отчёт о
маркетинговом исследовании
|
-
|
+
|
-
|
-
|
|
Договор на
оказании услуг/продажу
|
-
|
-
|
-
|
+
|
Первичные требования
Первичные требования к автоматизации представлены на ниже
сформированном списке:
- организовать централизованную базу данных
о клиентах с целью предотвращения сегментации данных;
- сформировать единое хранилище шаблонов
документов для удобства к ним доступа, а так же ввести учёт печати данных
документов;
- ввести историю всех продуктовых линеек;
- Обеспечить автоматизацию сводной
отчётности;
- Организовать единый инструмент постановки
коллективных индивидуальных задач для сотрудников, относящихся к объекту
автоматизации;
- Формирование инструмента формирующего
онлайн опросы для клиентов;
- разработать модуль позволяющий
автоматизировать основную часть задач отдела аналитики.
Поскольку данные требования являются первоначальным
субъективным взглядом на данную проблему автоматизации и в дальнейшем могут
претерпеть значительные изменения.
1.2 Анализ требований
По результатам предыдущего этапа проектирования необходимо
провести анализ полученной информации. Это позволит выделить оптимальные
требования к системе на основании функциональных и не функциональных
потребностей.
Функциональная и организационная структура предприятия
На рисунке 1.1 представлена функциональная структура, а на
рисунке 1.2 организационная структура, которые основываются на информации
полученной на предыдущем этапе. Данные диаграммы позволяют наглядно
продемонстрировать функциональную и организационную часть как всего предприятия
в целом, так и объекта автоматизации, что позволит рассмотреть данный объект
как единое целое с чётко выраженными функциональными и организационными
элементами
Процессы объекта автоматизации
Процессы совершающиеся на объекте автоматизации были выделены в
явной форме на основании приведенной выше функциональной структуре предприятия.
Но для полноценного понимания эффективности их необходимо рассмотреть их с
целью выявления функций, которые возможно подвергнуть автоматизации, данная
информация приведена в таблице 1.3.
Таблица 1.3 - Описание процессов объекта автоматизации
|
Наименование
|
Описание
|
Участники
|
Документы
|
Возможная
автоматизация
|
|
1
|
2
|
3
|
4
|
5
|
|
Привлечение
|
Проведение
презентаций продукции для клиентов, прозвон клиентов
|
Руководитель и
сотрудники отдела клиентского обслуживания
|
Отчёт о
прозвоне, отчёт о презентации
|
Организация
сопутствующей информации в единую структуру для решения проблемы сегментации,
а так же добавление документов в единое хранилище для простоты доступа,
разработка инструмента позволяющего отслеживать закрёплённых сотрудников за
клиентом с целью предотвращения повторных обращений
|
|
Продажи
|
Проведение
деловых встреч с клиентами с целью заключения договоров
|
Руководитель и
сотрудники отдела клиентского обслуживания
|
Договор, отчёт
о встрече
|
|
|
Ведение
клиентской базы
|
Сбор информации
о клиентах в единую базу данных
|
Руководитель и
сотрудники отдела клиентского обслуживания, сотрудники отдела маркетинга
|
Сводная
клиентская таблица
|
Создание
электронной базы данных на основе СУБД для организации единого
информационного хранилища
|
|
1
|
2
|
3
|
4
|
5
|
|
Аналитика
продаж
|
Подсчёт
количества действующих клиентов и количества продаж за определённый период
|
Руководитель и
сотрудники аналитического отдела
|
Сводная таблица
по продажам и клиентам
|
Автоматизация
расчетов и свода информации о продажах по средствам единой СУБД
|
|
Маркетинговые
исследования
|
Проведения
исследования среди клиентской аудитории
|
Руководитель и
сотрудники отдела маркетинга
|
Отчёт по
результатам маркетингового опроса, отчёт по маркетинговому исследованию
|
Автоматизация
сведения информации полученного из опроса.
|
|
|
|
|
|
|
Определение границ предметной области (концептуальное
проектирование)
С целью выявления чётких границ предметной области
проводиться выявления требований к системе и группировка их по функциональным и
не функциональным. Это необходимо для более полного описания предметной области
разрабатываемой системы. Ниже приведена таблица 1.4, содержащая функциональные
и не функциональные требования.
Таблица 1.4 - Функциональные и не функциональные требования к
системе
|
Функциональные
|
Не
функциональные
|
|
1
|
2
|
|
Возможность
вносить в базу данных информацию о новых клиентах, а так же изменять
информацию о старых
|
Выполнение
запросов к системе должно занимать меньше минуты
|
|
Должна быть
организованна возможность закрепления клиента за персональным менеджером
|
Модули для
отдела маркетинга и ОКО должны быть разделены
|
|
Необходима
возможность отслеживать задачи для сотрудников, а так же организовывать
коллективные работы с равномерно распределённой нагрузкой.
|
|
|
По всем
клиентам должна вестись история их взаимоотношений с компанией за счёт
возможности занесения информации о результатах взаимодействия клиет-компания
сотрудниками.
|
Вся отчётность
для быстрой печати должна соответствовать формату А4.
|
|
Все должностные
лица, через которых осуществляться связь с клиентом должны быть отражены в
системе, т.е. их можно как добавлять, так и удалять
|
Доступ к
системе должен быть организован только по должностным допускам.
|
|
Все документы
необходимые для работы должны храниться в централизованном хранилище
|
|
|
Доступ в
систему должен осуществляться по логинам и паролям
|
Интерфейс
должен быть максимально простым и функциональным
|
|
В системе
должно присутствовать разграничение прав
|
|
|
1
|
2
|
|
Все информация
о клиентах должны быть представлена виде электронных таблиц с возможностью
печати.
|
Доступ к
системе должен осуществляться через веб интерфейс
|
|
Необходимо
средство формирование электронных опросов через интернет.
|
Система должна
поддерживать внесения информации как латиницей так и кириллицей.
|
|
Необходима
автоматизация отчётности по продажам представляющая собой автоматическое
составление и возможность их печати.
|
|
Область ответственности сотрудников объектаавтоматизации
На основе данных из таблицы 1.3 была составлена таблица 1.5 в
которой представлена информация о области ответственности сотрудников. Данная
информация позволяет ознакомиться с областью ведомости каждой должности,
которая имеет непосредственное отношение к объекту автоматизации. В свою
очередь информация, содержащаяся в таблице (таблица 1.5) приведённой ниже
упростит разграничение ролей пользователей проектируемой системы. Так же эта
информация позволяет получить информацию о должностных обязанностях всех
потенциальных пользователей системы.
Основные задачи, за которыми закрепляется область
ответственности сотрудников можно сформулировать следующим образом:
- Ведение клиентской базы - задача представляет
собой сбор информации о клиентах с целью увеличения вероятности успешности
заключения с ними сделок;
- Привлечение - заключается в проведении
всевозможных презентаций компании и продукции с целью увеличения к ней интереса
со стороны покупателя;
- Продажа - представляет собой задачу,
заключающуюся в предложении покупателю товара и заключению с покупателем
договора на его приобретение;
- Аналитика продаж - заключается в анализе
работы по продаже товара или услуги для дальнейшего реагирования на результаты
продаж того или иного вида продукта;
- Маркетинговое исследование - данная
задача, заключение в проведении исследовании призванного по своим результатом
сформировать дальнейшее направление для развития продуктовой линейки и компании
в целом.
Контролирующие обязательства данного типа должности
обозначаются «К», а исполнительные обязательства выполнение данной задачи в
рамках ответственности определённой должности обозначены в таблице «И»
AS-IS диаграмма
На основании всех выше приведённых сведениях необходимо
построить диаграмму AS-IS (приложение А) которая представляет собой подробное
моделирование бизнес процессов на объекте до начала автоматизации. Данная
диаграмма будит изображена на основании методологии ARIES по принципу eEPC, что
позволит отразить на ней все аспекты дел на данном объекте с высокой точностью.
Определение степени автоматизации (области охвата)
На основании диаграммы AS-IS следует отметить аспекты,
данного объекта которые стоит подвергнуть автоматизации для обеспечения более
эффективной работоспособности предприятия. Результатом данной операции станет
перечень функций, которые необходимо подвергнуть автоматизации (таблица 1.6).
Таблица 1.6 - Перечень аспектов для автоматизации
|
Наименование
|
Результат
|
Уровень/Причина
|
|
1
|
2
|
3
|
|
Свод различной
информации о клиентах, продажах и маркетинговых исследованиях
|
Все информация
хранящаяся в системе автоматически сводиться в глобальные таблицы.
|
Полная
автоматизация. Причиной полной автоматизацией послужили высоки время затраты
на выполнение данной операции.
|
|
Актуальность
информации
|
Всякое
изменение информации о клиенте или о какой другой сущности важной для
выполнения бизнес задач доступна в режиме реального времени.
|
Полная
автоматизация. Так как передача информации является одной из первоочерёдных
задач в любой бизнес-системе, то ей отводится особое значение в вопросах
скорости и корректности пересылки информации
|
|
Сохранность
информации о клиенте
|
Централизованное
хранилище информации, каждый день производиться резервное копирование с целью
избежать ситуаций её утраты.
|
Полная
автоматизация. Для данного направления бизнеса, сохранность информации о
клиенте является первоочерёдной задачей.
|
|
1
|
2
|
3
|
|
Автоматическое
напоминание о событиях
|
Автоматическое
напоминание сотрудникам о важных задачах которым следует уделить особое
внимание.
|
Полная
автоматизация Одним из важных факторов любого бизнеса является своевременное
выполнение определённых действия.
|
|
Сохранность
рабочих документов
|
Централизованное
хранилище документов и шаблонов.
|
Полная
автоматизация Удобный способ доступа к данным такого характера
прямапропарционально влияет на эффективность заключения договоров.
|
|
Разделение
информации
|
Уровень доступа
к данным системы разграничен по предписанию должностных инструкций
|
Полная
автоматизация. Организация рабочего процесса на основании должностных
инструкций является основной задачей должностных разграничений.
|
Для обеспечения наглядности результатов автоматизации данных
аспектов служит диаграмма TO-BE, представляющая собой подробное описание бизнес
процессов после проведения автоматизации, представленная в приложении А.
.3 Анализ рынка продуктов
На данный момент на рынке CRM систем представлено
колоссальное количество информационных систем относящихся к различным ценовым
категориям и функциональным возможностям. Что позволяет компании заказчику
подобрать для своего бизнеса идеальное решение. Для того чтобы дынный выбор был
наиболее успешным заказчику необходимо сформировать чёткие требования к CRM
системе. Выявление данных требований позволят чётко обозначить необходимый
функционал для решения поставленной задачи, что в свою очередь позволит
подобрать наиболее удобное решение для заказчика и исключить риск переплаты за
ненужный функционал.
На основании диаграммы TO-BE были сформированы следующие
основные требования к CRM системе для автоматизации направления клиентского
обслуживания:
- Аналитический комплекс - средство,
позволяющий организациям более результативно управлять своей деятельностью и
взаимоотношениями с клиентами, на основании вычисления экономических
показателей эффективности;
- Управление продажами - набор
интегрированных приложений для автоматизации продаж;
- Управление маркетинговыми акциями -
решения, позволяющие провести сбор информации для маркетинговых исследований;
- Управление взаимоотношениями с клиентами -
данное решение представляет собой единую базу клиентов, в которой содержится
вся информация о взаимодействии с ними;
- Управление взаимоотношениями с
сотрудниками - модуль, позволяющий значительно усовершенствовать штатное
обучение, качество работы сотрудников;
- Маштабируемость - возможность расширения
системы;
- Адаптируемость - возможность адаптации
системы под конкретные условия;
- Наличие API.
Основываясь на выявленных функциональных особенностях нужно
провести сравнительный анализ среди CRM систем, из разных функциональных и
ценовых групп. Для данного анализа были выбраны следующие CRM системы:
- SalesLogix;
- Oracle Siebel
CRM;
- Terrasoft CRM
Bank;
- Microsoft
Dynamics CRM/
Анализ перечисленных систем представлен в таблице 1.7.
При полном соответствии функционала требованию в таблице
ставиться «+», при превышении его «++», при не полной его реализации
«+/-»,егоотсутствии
Определение потребности в собственной разработке
В пункте 1.3 было проведено сравнение лицензируемых CRM
систем по результатам которого можно выбрать Oracle Siebel CRM и Microsoft
Dynamics AX. Но прежде чем останавливаться на лицензируемой CRM следует
определить целесообразность её использования в данном случи по сравнению с
индивидуальной разработкой. Для это следует сравнить данные решения по
следующим критериям:
- Цена - стоимость применения данного
решения;
- Соответствие требованиям - соответствие
функциональным и не функциональным требованиям заказчика;
- Технические требования - требование к
оборудованию для работы продукта;
- Срок внедрения - срок за который данная
система будит развёрнута на объекте автоматизации;
- Специалисты по сопровождению - персонал
который будит сопровождать данную систему.
Таблица 1.8 - сравнение индивидуальных и лицензируемых CRM
|
Критерий
|
Лицензируемая
CRM
|
Индивидуальная
CRM
|
|
Цена
|
Высокая
стоимость лицензий, большой риск переплаты за лишний функционал. Риск закупок
сопутствующих лицензий (например ОС)
|
Цена прямо
зависит от функционала.
|
|
Соответствие
требованиям
|
Не полное
соответствие требованием, так как система не разрабатывается с нуля, а
стоиться на уже готовых модулях.
|
Полное
соответствие
|
|
Технические
требования
|
Высокий риск
закупки дорогостоящего оборудования отвечающего требованиям лицензируемого
продукта.
|
Соответствие
возможностям заказчика
|
|
Срок внедрения
|
Зависит от
объёма лицензируемого решения
|
Зависит от
объёма разрабатываемого решения
|
|
Специалисты по
сопровождению
|
Сертифицированные
специалисты фирмы подрядчика
|
Возможность
проведения обучения персонала совместно с разработкой
|
Из проведённой выше таблицы 1.8 следует, что применение
лицензируемой CRM является не приемлемым для компаний не желающих переплачивать
за ненужный функционал, покупать сопутствующее ПО, а так же занимать
высокооплачиваемых специалистов и заниматься закупкой дорогостоящего
аппаратного обеспечения. Данные факты позволяют утверждать в необходимости
собственной разработке CRM.
проектирование система программирование себестоимость
2. Разработка проекта
Разработка проекта по методологии RAD объединяет в себе
детализированное проектирование, построение (кодирование и тестирование), также
поставку программного продукта заказчику за определённое время. Сроки
выполнения этой фазы в значительной мере зависят от использования генераторов
кода, экранных генераторов и других типов производственных инструментальных
средств.
2.1 Выбор архитектуры
Работа традиционных веб-приложений сконцентрирована вокруг
клиент-серверной архитектуры с тонким клиентом. Такой клиент переносит все
задачи по обработке информации на сервер, а сам используется лишь для
отображения статического контента (например, HTML-кода). Основной недостаток
этого подхода в том, что все взаимодействие с приложением должно обрабатываться
сервером, что требует постоянной отправки данных на него, ожидания ответа
сервера и загрузки страницы обратно в браузер. При использовании технологии
запуска приложений на стороне клиента, RIA могут обойти этот медленный цикл
синхронизации за счет большего взаимодействия с пользователем. Сравнение
принципов работы веб-приложения и RIA-приложения представлено на рисунке 2.1.
Рисунок 2.1 - Сравнение классического HTML-приложения и
RIA-приложения
Основными достоинствами и преимуществами RIA-приложений
являются:
- RIA предлагают пользовательский интерфейс,
не ограниченный лишь использованием языка HTML, применяемого в стандартных
веб-приложениях;
- интерфейсы RIA более интерактивны, чем
стандартные интерфейсы веб-браузеров, которые требуют постоянного
взаимодействия с удаленным сервером;
- использование вычислительных ресурсов
клиента и сервера лучше сбалансировано, что освобождает вычислительные ресурсы
сервера, позволяя обрабатывать большее количество сессий одновременно за счет
одного и того же аппаратного обеспечения;
- движок клиента может взаимодействовать с
сервером, не дожидаясь, пока пользователь совершит действие в приложении, нажав
на кнопку или ссылку, что позволяет пользователю просматривать страницу и
взаимодействовать с ней асинхронно с помощью коммуникации между движком и
сервером;
- приложения, доступные через браузер, не
требуют установки;
- кросс-платформеность и кросс-браузерность;
- автоматическое обновление версий (версия
программы обновляется на сервере);
- частичная возможность работы в режиме
offline.
Выше приведенная характеристика архитектуры позволяет судить
о её полном соответствии требованиям, представленным в приложении Б.
Логическая структура
На основании выбранной архитектуры можно составить логическую
структуру, представленную на рисунке 2.2.
Рисунок 2.2 - Логическая структура.
Физическая структура
Таким образом, на основе выбранной архитектуры была построена
физическая структура системы. Её можно разделить на функциональные компоненты:
- Сервер СУРБД - служит для хранения данных
информационной системы;
- Сервер системы - служит для размещения
функциональной части приложения. Вся бизнес логика сосредоточена в этой части,
через нее происходит связь с сервером СУРБД;
- Клиент - предоставляет пользовательский
интерфейс для работы с информационной системой, а так же его ресурсы
используются для решения некоторых задач шаблонизатора и контроллера;
На рисунке 2.3 приведена физическая структура разрабатываемой
системы.

Таблица 2.1 - Сравнение систем хранения данных.
|
Свойство
|
Система
хранения
|
|
XML
|
OLAP-кубы
|
PlainText
|
СУРБД
|
|
Совместимость с
php
|
полная
|
Полная (при
условии использование в качестве платформы Oracle.)
|
полная
|
полная
|
|
Максимальный
размер таблицы
|
4 гигабайта
|
В среднем 5
терабайт
|
4 гигабайта
|
В среднем 5
терабайт
|
|
Удобство
представления информации
|
Высокое (данная
схема обладает строго определённой структурой, с высокой наглядностью)
|
Низкое
(информация представлена в сжатом и зашифрованном виде)
|
Высокое
(разработчик сам выбирает способ представления информации)
|
Низкое
(информация представлена в сжатом и зашифрованном виде)
|
|
Скорость
выборки
|
Средняя
|
Максимальная
(данная система ориентирован на максимальную скорость доступа к информации)
|
Низкая
(функционал обеспечивающие выборки являются стандартными строчными функциями)
|
Высокая
(напрямую зависит от аппаратных характеристик сервера)
|
На основании выше приведённого сравнения в качестве системы
хранения данных была выбрана СУРБД. Выбор так же основан на требовании
приведённых в приложении Б и методики проектирования RAD, которое предписывает
использовать для разработки те средства, которыми владеет команда разработчиков.
Разработанная информационная система может работать с СУРБД Oracle.
Для реализации структуры хранилища данных была выбрана схема
Снежинки, которая представляет собой реляционную OLAP структуру (ROLAP).
Преимуществами данного метода являются следующие позиции:
- Реляционные СУБД имеют реальный опыт
работы с очень большими БД и развитые средства администрирования. При
использовании ROLAP размер хранилища не является таким критичным параметром;
- При оперативной аналитической обработке
содержимого хранилища данных инструменты ROLAP позволяют производить анализ
непосредственно над хранилищем (потому что в подавляющем большинстве случаев
корпоративные хранилища данных реализуются средствами реляционных СУБД);
- В случае переменной размерности задачи, когда
изменения в структуру измерений приходится вносить достаточно часто, ROLAP
системы с динамическим представлением размерности являются оптимальным
решением, так как в них такие модификации не требуют физической реорганизации
БД;
- Системы ROLAP могут функционировать на
достаточно не производительных серверах, поскольку основная вычислительная
нагрузка в них ложится на сервер, где выполняются сложные аналитические
SQL-запросы, формируемые системой;
- Реляционные СУБД обеспечивают значительно
более высокий уровень защиты данных и хорошие возможности разграничения прав
доступа.
Структура хранилища данных приводится в приложении В.
Атрибуты качества
Поскольку архитектурой данной системы была выбрана RIA, это
позволяет нам утверждать о высокой производительности системы за счёт активного
использования аппаратных ресурсов клиентской части. Так же данная архитектура
за счёт использования в качестве клиентского приложения веб браузера
обеспечивает высокую маштабируемость в плане быстрого оснащения рабочего компьютера
и заведения учётной записи. Разделение всей системы на отдельные модули
позволяет утверждать о высокой расширяемости, это становиться возможным за счёт
следованиям принципам ООП.
Так как в качестве системы внешних данных была выбрана СУРБД,
этот факт позволяет наращивать производительность данной системы путём
увеличения аппаратной конфигурации сервера и увеличения их числа. А
использование ROLAP структуры в значительной мере повышает скорость выполнения
запросов. По причине того что в качестве платформы была выбрана ORACLE
безопасность данной системы является высокой за счёт автоматического
восстановления данной СУБД при непредвиденных перезагрузках и зависаниях
системы. К тому же в требованиях к системе чётко оговорено разграничения
доступов пользователей к информации на основании должностных обязанностей и
инструкций.
3. Реализация системы
На данном этапе необходимо провести выборку средств и методов
позволяющих приступить к реализации системы. Данные средства и методы можно
разделить на категории:
- Языки программирования;
- Платформы;
- Коммуникационные методы;
- Инструменты.
3.1 Выбор языка программирования
Методика проектирования RAD, выбранная на начальном этапе,
предполагает использование лишь тех технологий, знанием которых обладает
команда разработчиков. Поэтому, для разработки бизнес логики серверной части
информационной системы был избран язык программирования PHP.
Язык программирования PHP обладает всеми необходимыми
средствами для создания современной RIA системы. Методика проектирования RAD
предполагает такой подход к разработке, при котором приложение делится на
программные модули. Модули являются независимыми друг от друга. Такой подход
достижим лишь при полноценной поддержке объектно-ориентированного подхода и
пространств имен в программировании. Такими техническими возможностями обладает
версия 5.3. данного языка.
Для разработки клиентской части информационной системы и
реализации задач, которые будут исполняться непосредственно на уровне клиента,
был выбран язык программирования Javascript.
Язык программирования Javascript, это язык сценариев,
позволяющий разработать насыщенный пользовательский интерфейс и организовать
интерактивный обмен данными между клиентом и сервером.
Для реализации web-страниц были использованы язык разметки
XHTML, являющийся расширением стандартного языка разметки web-страниц HTML и
язык CSS.
Поскольку в разделе 2.1.2 в качестве хранения была выбрана
СУРБД Oracle, то языком запросов будет SQL.
3.2 Выбор платформы
Выбор платформы заключается в выборе операционной системы,
как платформы для информационной системы в целом так и в выборе framework
средств.
Выбор операционной системы
Так как для разработки была предпочтена RIA архитектура,
информационная система является кроссплатформенной. В процессе разработке система
была сконструирована таким образом что бы она поддерживала ОС типа Windows и
Unix. Так же является теоретически возможной работа информационной системы на
Mac OS.
Выбор framework средств
Для разработки информационной системы автоматизации отдела по
взаимодействию с клиентами были использованы framework средства для и
клиентской бизнес логики.
В качестве framework для программирования клиентской бизнес
логики, интерфейса и ajax запросов, был использован JQuery Framework. Выбор
этого framework обоснован подходом методики проектирования RAD, требующим
использовать для разработки те средства, которыми владеет команда
разработчиков. Основным применением этого framework стало построение запросов
ajax, использование селекторов, управление css свойствами HTML тегов и работа с
DOM.
Так же были использованы следующие библиотеки, основывающиеся
на данном фремворке для обеспечении бизнес логики клиентской оставляющей
продукта:
- jQuery UI - сборник плагинов отвечающих за
оформление и анимации выполняемых на странице действий пользователем;
- DataTables задача данного плагина
заключается в формировании таблиц выводимых на экран пользователя.
3.3 Выбор коммуникационных методов
Разрабатываемая информационная система требует высокой
интерактивности интерфейса. Для создания такого интерфейса была применена
технология AJAX. В качестве формата передачи данных был использован JSON,
поскольку этот формат представляет собой ассоциативный массив данных и очень
удобен для обработки.позволяет организовать динамический обмен данными между
клиентом и сервером, без перезагрузки web-страницы. На рисунке 3.1 изображена
блок-схема обмена данными между клиентом и сервером, с применением технологии
AJAX.
Рисунок 3.1 - Блок-схема работы технологии AJAX
Помимо обеспечения интерактивности интерфейса, технология
AJAX обладает следующими преимуществами:
- Экономия трафика - для обновления данных
web-страницы, загружаются только необходимые данные, а не вся страница;
- Уменьшение нагрузки на сервер - сервер генерирует
только запрашиваемые данные, а не всю web-страницу в целом;
- Ускорение реакции интерфейса - поскольку
нужно загрузить только изменившуюся часть, пользователь видит результат своих
действий быстрее.
3.4 Выбор инструментов
В ходе разработки данной системы приходиться сталкиваться с
различными задачами успешность выполнения, которых напрямую зависит от
использования тех или иных инструментов. В качестве инструментов могут
выступать среды разработки, графические редакторы, текстовые редакторы, а так
же другие утилиты и методы анализа.
Выбор среды разработки
Для создания информационной системы среда разработки должна
отвечать следующим требованиям:
- Семантическая и синтаксическая поддержка
языков программирования PHP, Javascript, HTML, CSS;
- Интеллектуальное автозавершение кода;
- Навигатор проекта и функций;
- Бесплатное распространение продукта.
В качестве среды разработки была выбрана NetBeans, поскольку
она удовлетворяет всем предъявленным требованиям.
Выбор графического редактора
Графический редактор необходимый для создания различных
графических элементов, которые в дальнейшем будут использоваться в дизайне
разрабатываемого продукта должен удовлетворять следующим требования:
- Возможность работы, как с векторной, так и
растровой графикой;
- Поддержка jpeg, png, gif и других широко
распространенных форматов;
- Бесплатное распространение продукта.
В качестве графического редактора был выбран Gympt, поскольку она
удовлетворяет всем предъявленным требованиям.
3.5 Конструирование модулей
При использовании методики проектирования RAD, следует
разрабатывать все модули информационной системы в виде независимых объектов.
Для обеспечения объектно-ориентированного подхода при разработке приложения,
была разработана программная архитектура информационной системы. Данная
структура базируется на использовании php составляющей, как коммутирующего
средства между СУБД и пользовательской частью пересылающей информацию либо виде
JSON массивов, либо обычных текстовых строк. Клиентский же интерфейс строиться
и обрабатываться на основании Java Script.
В JSON массивах содержаться информация необходимая для
формирования таблиц. Строящихся при помощи функций из библиотеки DataTables.
Данные функции выступают в роли шаблонизатора таблиц и их минимальных
инструментов управления. Функции же из библиотеки jQuery UI отвечают за
анимацию меню и автоматическую вставку даты при заполнении соответствующих
модулей.
В обычных текстовых строках содержаться информация для
корректировки работы различных AJAX функций выполняющих обмен информацией между
клиентской и серверной частью продукта, а так функции примитивного
шаблонизатора для разметки страницы при выполнении различных навигационных
действий в меню.
Так же данный продукт оснащён модулем выявления уровня
доступа и ограничения пользовательского функционала на основании группы
пользователя выполняющего какое либо определённое действие.
В роли прямого контроллера доступа к СУБД выступает php class
DATABASE. Его основная роль заключается в структурировании системы
взаимодействия СУБД и приложения. Введение подобного класса необходимо для
внесения чёткого формировании запросов при обращении к системе, а так же для
обеспечения удобного интерфейса для разработки новых модулей. А так же в
перспективе доработки класса для применения данной системы на базе какой либо
ещё СУБД платформе, а так же других источников данных. Часть листинга данного
класса приведена на рисунке 3.2, полный листинг приведён в приложении Г.
function ConstructOCI8() {
if (($this->select == true) and
($this->from == true))
{
$this->construct = "select
$this->select
from $this->from
$this->where
$this->join " ;
return $this->construct;
}
}
Рисунок 3.2 - Часть листинга файла DataDaseClass.php
Контроллером событий в данной системе выступает AJAX запросы
производящее обращение к PHP функциям извлекающим информацию из базы данных и
передающих её шаблонизаторам в роли, которых выступает библиотеки JQuery. Так
же каждая из PHP функция ограничиваются по средствам разграничения
пользователей на группы полномочий, вся информация об полномочиях того или
иного пользователя храниться в базе данных и извлекается из неё при авторизации
его в системе. В дальнейшем каждое полномочие заноситься в сессионную
переменную которые и производят координирующие воздействия на функции, исполняемые
PHP составляющей системы.
Из этого следует то что лишь пользователь, обладающий
достаточным и должностными правами на доступ к информации сможет получить её в
полном объёме и согласованном виде согласно должностным предписаниям.
«Приложение» в свою очередь можно разделить на 2 глобальных
программных модуля, который в свою очередь делиться на небольшие подмодули,
каждый которых обладает собственной бизнес логикой компонентами форм и
шаблонами. Программные модули построены на основе требований представленных в
приложении Б:
а) Клиентское обслуживание;
) Юридические лица;
) Физические лица;
) Встречи;
) Сотрудники;
) События;
) Конструктор акций
б) Маркетинговые заделы;
Модуль клиентского обслуживания
Данный модуль представляет собой универсальное средство для
управления персоналом в рамках отдела по взаимодействию с клиентами, а так же
мощный инструмент анализа на основании информации вносимой в систему.
Данный модуль разделён на 7 составных частей:
- Юридические лица;
- Физические лица;
- Встречи;
- Сотрудники;
- События;
- Личный кабинет;
- Конструктор акций.
Такая структура модуля клиентского обслуживания подразумевает
наращивание функционала по мере необходимости путём увеличения составных
частей. Что в свою очередь позволяет судить о высокой расширяемости данного
модуля.
Все составные части рассматриваемого модуля представляют
собой интерфейсы доступа к определённого рода информации хранящейся в
централизованном хранилище. По этой причине физическая структура всех составных
частей модулей подпадает под один вид бизнес логики представленной на рисунке
3.3.
Рисунок 3.3 - Физическая структура модуля клиентского обслуживания
обработчик представляет собой множество различных исполняемых
файлов, задачей которых является произведение запросов к СУБД, по средствам
класса DATABASE и передача структурированной информации шаблонизатору. Часть
листинга функции из данного файла приведена на рисунке 3.4, полный листининг
приведён в приложении Г.
$avtCon->SelectOCI8('*');
$avtCon->FromOCI8('PROF_P');
$avtCon->WhereOCI8(" ID_P !=
$vivod ");
$res = $avtCon->resultOCI8();
$nrows = oci_fetch_all($res, $prazn);
for ($i = 0; $i < $nrows; $i++ ) {
echo" <option value='"
.$prazn['ID_P'][$i]."'>".$prazn['NAME'][$i].
"</option>";
}
Рисунок 3.4 - Часть листинга файла Editing.php отвечающего за конструирования формы для
редактирования.
Контроллер событий обращающийся к данному файлу представляет собой
JavaScript функцию которая по средствам AJAX производит запрос на необходимую
информацию. Листининг одной такой функции приведён на рисунке 3.5, полный же
листинг данного файла приведён в приложении Г.
function ShowError(code) {();(code) {
case 0:
$('#error0').html(er0).slideDown();
break;
case 1:
$('#error0').html(er1).slideDown();
break;
case 2:
$('#error0').html(er2).slideDown();
break;
case 3:
$('#error1').html(er3).slideDown();
break;
case 4:
$('#error2').html(er4).slideDown();
break;
case 5:
$('#error2').html(er5).slideDown();
break;
}
}
Рисунок 3.5 - Листинг функции ShowError, отвечающей за вывод ошибок
Пример графической реализации данного модуля приведён в приложении
Д.
Подмодуль Юридические лица
Данный подмодуль реализует бизнес логику связанную с выполнением
операций с информацией о юридических лицах хранящейся в централизованной базе
данных. Логическая структура данного модуля приведена на рисунке 3.6.
Рисунок 3.6 - Логическая структура подмодуля Юридические лица
Физическая структура подмодуля представлена на рисунке 4.7.
Рисунок 3.7 - Физическая структура подмодуля Юридические лица
Подмодуль Физические лица
Подмодуль реализует бизнес логику характеризующую должностные
операции с физическими лицами. Он позволяет добавлять, редактировать, удалять
физические лица, а так же получать информацию на прямую связанную с
интересующим физическим лицом. Логическая структура модуля приведена на рисунке
3.8.
Рисунок 3.8 - Логическая структура подмодуля Физические лица
Физическая структура подмодуля Физические лица представлена на
рисунке 3.9.
Рисунок 3.9 - Физическая структура подмодуля Физические лица
Подмодуль Встречи
Подмодуль встречи позволяет вносить информацию о проведённых
взаимодействиях с клиентами, а так же редактировать её и удалять, а так же
выполнять аналитическое представление о проведённой работе по средствам
графиков. Логическая структура модуля приведена на рисунке 3.10.
Рисунок 3.10 - Логическая структура подмодуля Встречи
Физическая структура подмодуля Встречи представлена на рисунке
3.11.
Рисунок 3.11 - Физическая структура подмодуля Встречи
Подмодуль Сотрудники
Данный подмодуль позволяет руководителю получать полноценную
информацию об успешности работы сотрудников. Это позволяет более тонко
улавливать все изменения в трудовом процессе и принимать своевременные решения.
Логическая структура модуля приведена на рисунке 3.12.
Рисунок 3.12 - Логическая структура подмодуля Сотрудники
Физическая структура подмодуля Сотрудники представлена на
рисунке 3.13.
Рисунок 3.13 - Физическая структура подмодуля Сотрудники
Подмодуль События
Задачей данного подмодуля является предоставление возможности
сотрудникам вносить ставить себе напоминания о важных задачах и делах.
Логическая структура модуля приведена на рисунке 3.14.
Рисунок 3.14 - Логическая структура подмодуля События
Физическая структура подмодуля События представлена на
рисунке 3.15.
Рисунок 3.15 - Физическая структура подмодуля События
Подмодуль Личный кабинет
Основной задачей данного подмодуля является представлять
сотруднику полноценную информацию о его задачах запланированных для него
руководителем. Логическая структура модуля приведена на рисунке 3.16.
Рисунок 3.16 - Логическая структура подмодуля Личный кабинет
Физическая структура подмодуля Личный кабинет представлена на
рисунке 3.17.
Рисунок 3.17 - Физическая структура подмодуля Личный кабинет
Подмодуль Акции
Данный подмодуль отвечает за создание различных бизнес и
маркетинговых акций. Это модуль позволяет равномерно распределять нагрузку
между сотрудниками занятыми в данном вопросе. А так же отслеживать результаты.
Логическая структура модуля приведена на рисунке 4.18.
Рисунок 3.18 - Логическая структура подмодуля Акции
Физическая структура подмодуля Акции представлена на рисунке 4.19.
Рисунок 3.19 - Физическая структура подмодуля Акции
Модуль Маркетинговые заделы
Данный модуль представляет собой универсальный конструктор и
анализатор маркетинговых веб опросов. Это позволяет проводить интернет опросы
среди посетителей вебсайта компании с целью получения маркетинговой информации.
Принцип действия данного модуля является подобным модуля
клиентского обслуживания, так как в работе данного средства используется AJAX
контроллер событий, обращающийся к php обработчику.
Пример графической реализации данного модуля приведён в
приложении Д. Логическая структура представлена на рисунке 4.20.
Рисунок 3.20 - Логическая структура модуля маркетинговые заделы
Физическая структура модуля маркетинговые заделы представлена на
рисунке 3.21.
Рисунок 3.21 - Физическая структура модуля маркетинговые заделы
4. Экономическая эффективность
Для руководителя, какой либо крупной компании, задумавшегося
об автоматизации, первоочерёдным вопросом является её экономическая
эффективность. Так как этот показатель является основным при рассмотрении
уровня, качества и способа автоматизации того или иного объекта.
В комплексном проекте по реализации клиент-ориентированной
стратегии и созданию системы продаж можно получить значительно большее число
эффектов - как эффекты категории снижения затрат, так и эффекты другого
порядка. Выделяются следующие основные категории эффектов от внедрения CRM
представленные на рисунке 4.1.
Рисунок 4.1 - Экономические эффекты от внедрения CRM
Данная квалификация довольно наглядна и показывает основные
категории получаемых эффектов. Однако она не учитывает такие эффекты, как
снижение рисков. Поэтому для полноты классификации будем говорить и об эффектах
снижения рисков от внедрения CRM.
Итак, разделим экономические эффекты на три условные категории:
- Прямые экономические эффекты;
- Косвенные экономические эффекты;
- Эффекты снижения рисков.
4.1 Прямые экономические эффекты
К данной категории можно отнести эффекты прямого действия,
которые влияют на доходность компании. В таблице, приведенной ниже, описаны
изменения, проводимые в рамках проекта по реализации клиент-ориентированной
стратегии и созданию системы продаж и получаемые краткосрочные и долгосрочные
экономические эффекты. Данные экономические эффекты приведены в таблицах 4.1 и
4.2.
Таблица 4.1 - Прямые экономические эффекты категории
повышения доходов.
|
Состояние до
внедрения
|
Изменения
|
Краткосрочные эффекты
после внедрения
|
Долгосрочные
эффекты после внедрения
|
|
Единая база
клиентов не ведется. Возможности сегментации по разным показателям (в том
числе динамическим) отсутствуют
|
Сегментация
клиентов
|
Рост продаж за
счет фокусировки на доходных/прибыльных клиентах
|
Повышение
доходов компании за счет выявления наиболее прибыльных сегментов и
предложения им лучшей потребительской ценности Повышение доходов компании за
счет кросс-продаж
|
|
Функциональная
структура организации, нет ответственных за отношения с клиентами
|
Оптимизация
организационной структуры
|
Повышение
качества обслуживания клиентов
|
Повышение
удовлетворенности клиентов за счет возможности управления отношениями
Повышение доходов компании за счет повышения качества обслуживания и
оптимизации орг. структуры
|
|
Данные о
клиентах не систематизированы, у сотрудников нет возможности доступа к базе
знаний
|
Создание единой
базы данных, базы знаний
|
Повышение
качества и скорости обслуживания клиентов Улучшение информационной поддержки
процессов
|
Повышение
удовлетворенности клиентов Повышение удовлетворенности персонала
|
|
Нет
инструментов для управления процессами
|
Автоматизация
бизнес-процессов
|
Повышение
эффективности продаж Повышение качества и скорости обслуживания клиентов
|
Повышение
доходов компании за счет увеличения процента успешных сделок
|
Таблица 4.2 - Прямые экономические эффекты категории
сокращения расходов.
|
Состояние до
внедрения
|
Изменения
|
Краткосрочные
эффекты после внедрения
|
Долгосрочные
эффекты после внедрения
|
|
Нет
инструментов для управления процессами
|
Автоматизация
бизнес-процессов
|
Повышение
эффективности продаж Повышение качества и скорости обслуживания клиентов
|
Повышение
доходов компании за счет увеличения процента успешных сделок
|
|
Обработка
контактов и заявок ведется вручную
|
Автоматизация
обработки контактов и запросов, создание системы самообслуживания
|
Повышение
производительности сотрудников
|
Повышение
прибыли компании за счет снижения издержек на операции Повышение доходов
компании за счет возможности увеличения количества обслуживаемых
потенциальных и текущих клиентов (например, через организацию активных
продаж)
|
|
Сотрудники и
клиенты имеют слабое представление о состоянии исполнения заказов
|
Автоматизация
процесса исполнения заказов
|
Сокращение
времени исполнения заказов
|
Повышение
доходов за счет повышения удовлетворенности клиентов
|
|
Сотрудники
получают информацию из разрозненных источников и тратят значительные усилия
на ее получение
|
Ведение единой
базы данных по текущим и потенциальным клиентам
|
Сокращение
времени на поиск новых потенциальных клиентов Сокращение времени на поиск
информации по клиентам
|
Повышение
доходов за счет возможности обслуживания большего количества клиентов
Повышение доходов за счет повышения удовлетворенности сотрудников
|
|
|
|
|
|
4.2 Косвенные экономические эффекты
К данной категории можно отнести общекорпоративные эффекты,
которые сложно поддаются прямому расчету и важны в первую очередь акционерам
компании. Например, к таким относится рост стоимости акций на бирже в
результате повышения прозрачности процессов, повышения управляемости, что важно
для привлечения интереса сторонних акционеров. Таким образом рост прямых
экономических эффектов прямо пропорционально влияет на рост косвенных.
.3 Снижение рисков
К данной категории можно отнести эффекты предотвращения
влияния негативных факторов на развитие компании - снижение рисков.
В таблице, приведенной ниже, описаны основные риски, снижению
которых способствует внедрение CRM-системы, данные риски приведены в таблице
5.3.
Таблица 4.3 - Снижение рисков.
|
Изменения
|
Риски,
появление которых снижается
|
|
Сегментация
клиентов
|
Риск потери
наиболее доходных/прибыльных клиентов
|
|
Выбор каналов и
оптимальной цепочки продвижения
|
Риск ухудшения
отношений с партнерами, риск недонесения потребительской ценности до клиентов
|
|
Оптимизация
организационной структуры
|
Риск снижения
гибкости организации, риск ухудшения отношений с клиентами
|
|
Создание единой
базы данных, базы знаний
|
Риск ухудшения
отношений с клиентами
|
|
Управление по
клиентским показателям
|
Риск потери
конкурентоспособности
|
|
Автоматизация
бизнес-процессов
|
Риск снижения
производительности, эффективности процессов
|
|
Автоматизация
обработки контактов и запросов, создание системы самообслуживания
|
|
При этом внедрение CRM может привести и к появлению новых рисков,
таких как снижение продуктивности сотрудников на начальном этапе эксплуатации
системы, неприятие системы рядом сотрудников.
4.4 Расчет себестоимости внедрения
Так как рассматриваемая система имеет массовый характер её
целесообразней определить на основании метода унификации. Суть метода
заключается в проведении сравнения систем с целью выявления показателя
цена-качество и тем самым вычисления рыночной стоимости разработанного
продукта[7]. Для этого были выявлены 7 показателей, и каждому из них был присвоен
вес соответствующий его влиянию на цену продукта. Сравнение же рассматриваемой
системы было проведено с двумя выбранными заранее CRM системами, приведённым в
списке ниже:
Сравниваемые CRM:
- Oracle Siebel CRM
- Microsoft Dynamics CRM
Таблица 4.4 - Экспертная оценка систем.
|
Показатель
|
Вес
|
Наименование
систем
|
|
|
Oracle
Siebel CRM
|
Microsoft
Dynamics CRM
|
NekoSales
|
|
Функционал
|
0.3
|
10
|
8
|
6
|
|
Бренд
|
0.3
|
8
|
9
|
1
|
|
Маштабируемость
|
0.1
|
8
|
9
|
9
|
|
Расширяемость
|
0.08
|
9
|
7
|
10
|
|
Производительность
|
0.07
|
5
|
6
|
7
|
|
Переносимость
|
0.03
|
10
|
10
|
10
|
|
Безопасность
|
0.12
|
9
|
9
|
7
|
Расчёт производиться по формуле (4.1).
(4.1)
Где n - колличество показателей; Wi - вес i-того
показателя; Bi - балл i-того показателя.
В результате подстановки чисел из таблицы 4.4 в формулу 4.1,
получаються следующее вырожения 4.2, 4.3 и 4.4 .
По результатам проведённых расчетов была составлена таблица
4.5. Стоит отметить, что в таблице приведена стоимость лицензии на 50
пользователей.
Таблица 4.5 - Рейтинг-цена.
|
Наименование
|
Рейтинг
|
Цена тыс. руб.
|
|
Oracle Siebel CRM
|
8.65
|
92
|
|
Microsoft
Dynamics CRM
|
8.36
|
87
|
|
NekoSales
|
5.31
|
54
|
Так как в данном случи рассматривается себестоимость
автоматизации следует учесть следующие факторы:
- Цена за сервер;
- Цена обслуживания.
На момент расчёта, стоимость серверной платформы составляет
45 тысяч рублей.
Цена развёртывания складывается из следующих составляющих:
установка и настройка веб-сервера, установка и настройка СУБД, установка и
настройка NekoSales, - некоторыми из них можно пренебречь некоторых случаях
(например, на объекте автоматизации уже действует веб-сервер). Но так как в
данном случае рассматриваться полная установка системы (с учётом сопутствующих
программных продуктов), будут учитываться все показатели. Данные показатели
приведены в таблице 4.6.
Таблица 4.6 - Перечень необходимых затрат.
|
Наименование
|
Цена, тыс. руб.
|
|
Установка и
настройка веб-сервера.
|
5
|
|
Установка и
настройка СУБД
|
2
|
|
Установка и
настройка NekoSales
|
3
|
Будим считать, что компания заказчик уже обладает
ИТ-персоналом для поддержки серверов, так что при расчетах этим показателем
можно пренебречь. Так же следует рассчитать стоимость запасных частей. Расчёт
производиться по формуле 4.5.

(4.5)
где 
- стоимость сервера, руб.; 
- стоимость запасных частей, руб.
Для расчёта первоначальных вложений воспользуемся следующей
формулой 4.6.

(4.6)
где

-
стоимость ПО, тыс. руб.; 
- стоимость установки ПО на пустой сервер, тыс. руб.;.
Итого автоматизация обойдется в 116 тыс. руб
4.5 Оценка экономического эффекта, получаемого за счет роста
производительности сотрудников
Возьмем отдел по взаимодействию с клиентами некой компании.
Расходы на продажи складываются из двух составляющих:
- постоянные расходы (заработная плата,
содержание офиса, административные расходы и другие);
- переменные расходы (премии,
командировочные расходы, связь, расходные материалы и другие).
Предположим, что существует следующая текущая структура
расходов и доходов отдела (за год) приведённая в таблице 4.7.
Таблица 4.7 - Структура доходов и расходов предприятия.
|
Показатель
|
Объём
показателей, тыс. руб.
|
|
Доходы
|
800
|
|
Переменные
расходы
|
200
|
|
Постоянные
расходы
|
300
|
|
Прибыль отдела
|
300
|
На основании проведённого анализа предметной области (см.
пункт 2, см. приложение 2) можно утверждать, что производительность труда после
проведения автоматизации возрастает на 25% за год. Это означает, что у
сотрудников появилось на 25% больше времени на выполнение своих обязанностей -
продажи, которое они могут потратить на привлечение новых клиентов.
Предположим, что это ведет к росту доходов на пропорциональную величину, 25%.
При этом переменная часть расходов вырастет, а постоянная часть расходов
возрастает незначительно.
В итоге получаются следующие показатели отдела после
повышения производительности сотрудников приведённые в таблице 4.8.
Таблица 4.8 - Структура доходов и расходов предприятия после
внедрения системы автоматизации.
|
Показатель
|
Объём
показателей, тыс. руб.
|
|
Доходы
|
1000
|
|
Переменные
расходы
|
250
|
|
Постоянные
расходы
|
330
|
|
Прибыль отдела
|
420
|
Таким образом, прямой экономический эффект от роста
производительности сотрудников: 120 тыс. рублей при росте прибыли на 25%.
4.6 Определение показателей эффективности инвестиций
Капитальные вложения на автоматизацию участков предприятия,
рассматриваются как инвестиции, необходимые для получения прибыли.
Экономическая эффективность данных проектов характеризуется системой
показателей, отражающих соотношение финансовых результатов и затрат.
Важным моментом при проведении расчетов является выбор
масштабов цен. При отсутствии инфляции используют постоянные (базовые) цены,
действующие на момент расчета. В условиях высокой инфляции, что характерно для
России, целесообразно проводить расчет, соизмеряя разновременные затраты и
результаты, путем дисконтирования. Для этого используется норма дисконта (Е),
для его расчёта воспользуемся формулой 5.7.
Е = а + b + с , (4.7)
где:
а - цена капитала;- коэффициент учитывающий риск;
с - уровень инфляции на валютном рынке.
В результате подстановки в формулу 5.7 численных показателей
получим ворожение 5.8.
Е = 0,14 + 0,04 + 0,02 = 0,20. (4.8)
Приведение осуществляется путем умножения затрат и
результатов на коэффициент дисконтирования (КД), для его расчёта применяется
формула 5.9.

(4.9)
где:
Т - период дисконтирования (гг.)
Оценка проекта, сравнение вариантов и выбор оптимального
производится с использованием следующих показателей:
- Чистая дисконтированная стоимость (текущая
дисконтированная стоимость), т.е. доход;
- Внутренняя норма доходности
(рентабельность);
- Индекс доходности;
- Срок окупаемости.
Для того, чтобы рассчитать данные показатели, необходимо
составить план денежных потоков (таблица 4.9).
Таблица 4.9 - План денежных потоков.
|
Показатель
|
Значения, тыс.
руб.
|
|
0-й год
|
1-й год
|
2-й год
|
3-й год
|
|
Прибыль налог
на прибыль (24%)
|
|
120
31,4
|
120
31,4
|
120
31,4
|
|
Чистая прибыль
|
|
89.6
|
89.6
|
89.6
|
|
Капитальные
вложения в автоматизацию
|
116
|
|
|
|
|
Денежный поток
|
-116
|
89.6
|
89.6
|
89.6
|
Чистая дисконтированная стоимость (ЧДС) определяется как
сумма потоков реальных денег, приведенная за весь расчетный период к начальному
году, данный показатель определяется по формуле 5.10.
(4.10)
где:

- чистая прибыль в t-ом году;

- затраты на автоматизацию в t-ом году;
Т - период дисконтирования.
Вычисление чистой дисконтированной стоимости и текущей дисконтированной
стоимости приведено в таблице 4.10.
Таблица 4.10 - Чистая дисконтная стоимость.
|
Год
|
Затраты
(-)Результаты (+)
|
КД при Е =
0,20
|
ЧДС (тыс. руб.)
|
ЧДС нарастающим
итогом (тыс. руб.)
|
|
0
|
-116
|
1
|
-116
|
-116
|
|
1
|
89.6
|
0,8333
|
74.66
|
-41.34
|
|
2
|
89.6
|
0,6944
|
62.2
|
20,8
|
|
3
|
89.6
|
0,5787
|
51.8
|
73
|
|
4
|
89.6
|
0,4871
|
44.1
|
118
|
|
Итого:
|
ЧДС = 118
|
Внутренняя норма доходности (рентабельность) представляет
собой ту ставку дисконта (ЕВН), при которой ЧДС = 0. Ее вычисление является
итеративным процессом, который начинается с барьерной ставки (Е), если при этом
ЧДС положительная, то в следующей итерации используют более высокую ставку,
если отрицательная - то более низкую.
Точное значение ЕВН вычисляется по формуле 4.11.
(4.11)
где:
ЕЧДС(+) - значение ставки дисконта, при которой
ЧДС принимало последнее положительное значение;
ЧДС(+) - последнее положительное значение ЧДС;
ЧДС(-) - последнее отрицательное значение ЧДС.
Зависимость чистой дисконтированной стоимости от нормы
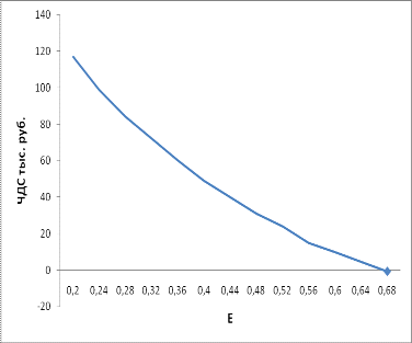
дисконта представлена в таблице 4.11 и отражена на рисунке 4.2.
Таблица 4.11 - Зависимость ЧДС от нормы дисконта
представлена.
|
Номер
|
Значение нормы
дисконта (Е)
|
Значение ЧДС,
тыс. руб.
|
|
1
|
0,20
|
118
|
|
2
|
0,24
|
99
|
|
3
|
0,28
|
84
|
|
4
|
0,32
|
72
|
|
5
|
0,36
|
60
|
|
6
|
0,40
|
49
|
|
7
|
0,44
|
40
|
|
8
|
0,48
|
31
|
|
9
|
0,52
|
24
|
|
10
|
0,56
|
15
|
|
11
|
0,60
|
10
|
|
12
|
0,64
|
4,5
|
|
13
|
0,68
|
-0,7
|
Рисунок 4.2 - Зависимость ЧДС от нормы дисконта
Расчет внутренней нормы дисконта представлен в таблице 4.12
Таблица 4.12 - Внутренняя дисконтная стоимость.
|
Год
|
Денежные потоки
тыс. Руб.
|
Е = 67 %
|
Е = 68 %
|
|
|
КД
|
ЧДС
|
КД
|
ЧДС
|
|
0
|
-116
|
1
|
-116
|
1
|
-116
|
|
1
|
89,6
|
0.599
|
53,6
|
0.595
|
53,3
|
|
2
|
89,6
|
0.359
|
32,1
|
0.354
|
31,7
|
|
3
|
89,6
|
0.215
|
19,2
|
0.211
|
18,9
|
|
4
|
89,6
|
0.129
|
11,5
|
0.126
|
11,3
|
|
ЧДС = 0,53
|
ЧДС = -0,7
|
Рассчитанное значение ЕВН, составляющее 67,43 %, превышает
фактическую норму дисконта ЕВН = 20 %, следовательно, инвестиции в данный
проект оправданы.
Индекс доходности (ИД) рассчитывается по формуле 4.12.
(4.12)
где: К - приведенная величина инвестиций, рассчитывающаяся
по формуле 4.13.
(4.13)
где:
Kt - величина инвестиций в t-ом году.
Индекс доходности (ИД) проекта составляет 1,1.
Рассчитанное значение ИД = 1,1 больше единицы, следовательно,
разработку программы можно считать эффективной и экономически обоснованной.
Срок окупаемости инвестиционного проекта (ТОК) - это период
времени, который потребуется для возмещения инвестиций. ТОК определяют с учетом
дисконтирования, путем суммирования ежегодных поступлений до определенного
периода, в котором они превзойдут первоначальные расходы денежных средств.
Определим ТОК графическим методом, график, изображенный на
рисунке 4.3.
Рисунок 4.3 - Определение срока окупаемости проекта
Как видно из графика, значение ТОК составляет 1,8 года.
По полученным результатам проведенных вычислений величина ТДС
> 0, значение индекса доходности ИД > 1, а рассчитанная ЕВН = 67,43 %
превышает фактическую норму дисконта ЕВН = 20 %,. Это позволяет сделать вывод о
том, что вложение инвестиций в разработку данного проекта является экономически
целесообразным.
5. Безопасность жизнедеятельности
На данный момент миллионы людей не представляют свою работу,
повседневную жизнь без персонального компьютера. Но да же при таком широком
распространении персональных компьютеров до сих пор не существует единого
мнения о том, вредно ли, и если да, то насколько вредно для человеческого
организма общение с компьютером. С одной стороны, в массовой печати
периодически появляются статьи, которые предупреждают о том, что ПК едва ли не
смертельно опасны. С другой стороны, встречаются подробные отчеты о том, каким
образом та или иная компьютерная фирма добивается превращения своей продукции в
безопасный для здоровья инструмент.
5.1 Негативное воздействие компьютера на человека
Многие люди, постоянно работающие с компьютером, отмечают,
что часто через определённый промежуток времени после начала работы появляются
головная боль, болезненные ощущения в области мышц лица и шеи, ноющие боли в
позвоночнике, резь в глазах, слезоточивость, нарушение четкого видения, боли
при движении рук. Российский Научно-исследовательский институт охраны труда
провел медико-биологические исследования воздействия ПК на операторов
(приложение А), которое иллюстрирует то факт, что степень болезненности
ощущений пропорциональна времени работы за ПК[8].
Отрицательное воздействие компьютера на человека является
комплексным, поэтому и изучение влияния компьютерных технологий должно быть
комплексным, учитывающим взаимосвязанное влияние множества факторов.
Только комплексный подход позволяет достоверно оценить
воздействие компьютера на здоровье пользователя.
5.2 Компьютерное излучение
Когда все устройства ПК включены, в районе рабочего места
оператора формируется сложное по структуре электромагнитное поле. Реальную
угрозу для пользователя компьютера представляют электромагнитные поля. Как
показали результаты многочисленных научных работ, монитор ПК является
источником[8]:
- электростатического поля;
- слабых электромагнитных излучений в
низкочастотном и высокочастотном диапазонах (2 Гц - 400 кГц);
- рентгеновского излучения;
- ультрафиолетового излучения;
- инфракрасного излучения;
- излучения видимого диапазона.
Влияние их на организм человека изучено недостаточно, однако
ясно, что оно не обходится без последствий. Исследования функционального
состояния пользователей ПК, проведенные Центром электромагнитной безопасности,
показали, что в организме человека под влиянием электромагнитного излучения
монитора происходят значительные изменения гормонального состояния,
специфические изменения биотоков головного мозга, изменение обмена веществ.
Низкочастотные электромагнитные поля при взаимодействии с другими
отрицательными факторами могут инициировать раковые заболевания и лейкемию.
Пыль, притягиваемая электростатическим полем монитора иногда становится
причиной дерматитов лица, обострения астматических симптомов, раздражения
слизистых оболочек.
5.3 Негативное влияние на зрение
Человеческое зрение абсолютно не адаптировано к компьютерному
экрану, мы привыкли видеть цвета и предметы в отраженном свете, что
выработалось в процессе эволюции. Экранное же изображение самосветящееся, имеет
значительно меньший контраст, состоит из дискретных точек - пикселей. Утомление
глаз вызывает мерцание экрана, блики, неоптимальное сочетание цветов в поле
зрения.
Отечественные и зарубежные исследования показывают, что более
70% пользователей компьютеров жалуются на жжение или боли в области глаз,
чувство песка под веками, затуманивание зрения и др. Комплекс этих и других
характерных недомоганий с недавнего времени получил название «Компьютерный
зрительный синдром». Влияние работы с монитором в значительной степени зависит
от возраста пользователя, от состояния зрения, а также от интенсивности работы
с дисплеем и организации рабочего места.
В качестве профилактического средства совершенно не лишним
является использование оков, специально предназначенных для работы за ПК.
Компьютерные очки защищают глаза от отрицательного воздействия монитора. Они
повышают отчетливость восприятия, оптимизируют цветопередачу, снижают
зрительное утомление, повышают комфортность и работоспособность. [8]
Проблемы, связанные с мышцами и суставами
У людей, чья работа в значительной степени связана с
компьютером, наибольшее число жалоб на здоровье связано с заболеваниями мышц и
суставов.
Неподвижная напряженная поза оператора, в течение длительного
времени прикованного к экрану монитора, приводит к усталости и возникновению
болей в позвоночнике, шее, плечевых суставах, а также развивается мышечная
слабость и происходит изменение формы позвоночника. Интенсивная работа с
клавиатурой вызывает болевые ощущения в локтевых суставах, предплечьях,
запястьях, в кистях и пальцах рук. [8]
Часто присутствуют жалобы на онемение шеи, боль в плечах и
пояснице или покалывание в ногах. Но бывают, однако, и более серьезные
заболевания. Наиболее распространен кистевой туннельный синдром, при котором
нервы руки повреждаются вследствие частой и длительной работы на компьютере. В
наиболее тяжелой форме этот синдром проявляется в виде мучительных болей,
лишающих человека трудоспособности.
5.4 Организация рабочего места
Специалисты различных направлений и специализаций после
тщательных исследований пришли к выводу, что причиной отклонений здоровья
пользователей являются не столько сами компьютеры, сколько недостаточно строгое
соблюдение принципов эргономики. Ученые озабочены тем, чтобы появление и
активное применение компьютерных технологий не стало дополнительным фактором
ухудшения здоровья. Для этого необходимо, чтобы рабочее место отвечало бы
гигиеническим требованиям безопасности.
На рисунке хх представлена система взаимодействия человека,
машины и окружающей пользователя среды. [8]
Рисунок 4.1 - Диаграмма воздействий на пользователя.
Исходя из этой системы взаимодействия, сформулируем основные
требования к организации рабочих мест и рабочего процесса, которые помогут
уменьшить воздействие вредных факторов от ПК. [8]
В помещениях, где используются компьютеры, формируются
специфические условия окружающей среды - микроклимата. При низких значениях
влажности в воздухе накапливаются микрочастицы с высоким электростатическим
зарядом, способные адсорбировать частицы пыли и поэтому обладающие
аллергизирующими свойствами. Для поддержания нормальной температуры и
относительной влажности в помещении необходимо регулярное проветривание, а так
же наличие систем ионизирования и кондиционирования воздуха. Для улучшения
микроклимата так же важна грамотная организация освещения. Специалисты
рекомендуют применять преимущественно люминесцентные лампы. Их располагают в
виде сплошных или прерывистых линий, расположенных сбоку от рабочих мест,
параллельно линии мониторов. При периметральном расположении компьютеров
светильники располагают локализовано над рабочим местом ближе к переднему краю,
обращенному к пользователю. Существуют специальные люминесцентные лампы,
которые излучают свет различного качества, имитируя, таким образом, полный
спектр естественного солнечного света.
Другая, не менее серьезная проблема - обеспечение электромагнитной
безопасности работающих за компьютером с дополнительными периферийными
устройствами. При одновременном их включении вокруг пользователя создается поле
с широким частотным спектром. В этом случае немаловажную роль играет
оборудование рабочего места в помещении. Однако на практике обеспечить
нормальную электромагнитную обстановку удается далеко не всегда. Специалисты
предлагают принять во внимание следующее:
- помещение, где эксплуатируются компьютеры
и периферия к ним, должно быть удалено от посторонних источников
электромагнитных излучений;
- групповые рабочие места желательно
размещать на нижних этажах здания, так как вследствие минимального значения
сопротивления заземления именно на нижних этажах здания существенно снижается
общий электромагнитный фон.
При неверной общей планировке помещения, неоптимальной
разводке питающей сети, неэффективном устройстве контура заземления собственный
электромагнитный фон помещения может оказаться настолько сильным, что
обеспечить на рабочих местах требования санитарных правил в большинстве случаев
невозможно.
Особое внимание следует уделять организации групповых рабочих
мест, так как в этом случае пользователь подвержен излучению не только своего
компьютера, но и тех, которые расположены рядом с ним. Каждое рабочее место
создает своеобразное магнитное поле, радиус которого может быть 1,5 м и более,
причем излучение исходит не только от экрана, но и от задней и боковых стенок
монитора. Специалисты советуют размещать рабочие места с компьютерами так,
чтобы расстояние между боковыми стенками дисплея соседних мониторов было не
менее 1,2 м, а расстояние между передней поверхностью монитора в направлении
тыла соседнего монитора - не менее 2 м. Такая планировка рабочих мест
способствует защите пользователя от электромагнитных излучений соседних
компьютеров.
5.5 Примечание к разделу
Так как эффективность выполняемой работы сотрудником на
прямую связано с его здоровьем и исправностью рабочего оборудования. Из этого
следует сделать вывод, что одной из составляющей успешной работы объекта
автоматизации является соблюдения норм по эксплантации ПК описанных в
нормативном документе СанПиН 2.2.2/2.4.1340-03 "Гигиенические требования к
персональным электронно-вычислительным машинам и организации работы" [9],
а так же особое внимание к работоспособности оборудования (ИС).
Заключение
В результате выполнения дипломной работы была спроектирована
и разработана информационная система автоматизации отдела по взаимодействию с
клиентами. Подробно проведенный анализ предметной области и внимательное
изучение существующих аналогов позволило создать полноценный программный
продукт, удовлетворяющий большинству современных требований, организаций
непосредственно занимающихся работой с клиентами. Столь детальное рассмотрение
данных аспектов области применения данной системы позволяет утверждать о её
экономически выгодном внедрении в любой организации чей уровень автоматизации
значительно ниже, того который предоставляет информационная система. Этот
эффект основывается на повышении производительности труда путём снижения
времезятрат на выполнения неоптимизированных задач, а так же снижение рисков
сопутствующих низкому уровню автоматизации клиентского взаимодействия. Следует
отметить что внедрение данной системы приемлимо не только в крупных компаниях,
но на предприятии только начинающем освоение данной отрасли.
Так же данный эффект базируется на применения современного
подхода к разработке и проектированию информационных систем рассмотренный выше.
Благодаря такому подходу результатом разработки стала конкурентоспособная
система, обладающая высокими атрибутами качества, такими как:
- Маштабируемость;
- Расширяемость;
- Производительность;
- Переносимость;
- Безопасность.
Так как данная системы имеет модульную структуру, основанную
на использовании отдельных компонентов для выполнения тех или иных задач.
Данные компоненты могу быть как доработаны тык и заменены на более современные,
тем самым это даёт повод утверждать о перспективности продажи системы по
модульно.
Эти факты позволяют оценить данную систему как актуальную
конкурентоспособную для рынка, так и современную на основании технологической
начинки данного продукта.
В ходе разработки был получен большой опыт в области
автоматизации отдела взаимодействия с клиентами, а также навыки проектирования
и разработки систем на основе независимых модулей. Разработанная информационная
система имеет сложную архитектуру и способна работать в различных операционных
системах и браузерах. Для создания такого приложения потребовалось углубленное
изучение принципов веб-программирования, грамотное проектирование программной
структуры, а также глубокое изучение современных библиотек для серверной и
клиентской бизнес-логики. Полученные знания в области программирования и
проектирования, позволят в будущем создавать более сложные и качественные
информационные системы.
Список литературных источников
1 Кайт.
Т. Oracle для профессионалов. [Текст] / Т. Кайт, Дж. Рединг, Э. Уолен, С.А.
ДеЛюк - Издательство: ДиаСофтЮП, 2008. - 672 с. - ISBN 5-93772-072-5
Зервас.
К. Web 2.0. Создание приложений на PHP [Текст] / К. Зервас, М. Квопсли, С. Норт
- Издательство: Вильямс, 2009. - 544 с. - ISBN 5 978-5-8459-1590-0
Вендров,
А.М. Методология RAD. [Электронный ресурс]: режим доступа - #"516375.files/image044.gif">
Приложение Д2
Приложение Д3