Расчет технико-экономических показателей электрооборудования подстанции 'Федосеевка'

  • Вид работы:
    Дипломная (ВКР)
  • Предмет:
    Эктеория
  • Язык:
    Русский
    ,
    Формат файла:
    MS Word
    61,22 kb
  • Опубликовано:
    2011-06-02
Вы можете узнать стоимость помощи в написании студенческой работы.
Помощь в написании работы, которую точно примут!

Расчет технико-экономических показателей электрооборудования подстанции 'Федосеевка'

Министерство образования и науки Российской Федерации

ФГОУ СПО

Оскольский политехнический колледж




Курсовая работа

по дисциплине:

Экономика отрасли

Тема:

Расчет технико-экономических показателей электрооборудования подстанции «Федосеевка» 35/6 кВ филиал ОАО «МРСК-Центра»-«Белгородэнерго»

КР.8250.00.00




Студент: А.В. Черных

Руководитель: А.В. Грачева




Старый Оскол, 2011

Содержание

Введение

.   Организационная часть

.1 Технико-экономическая характеристика предприятия

1.2     Общая характеристика работ на участке

.3       Организация работ на участке

.4       Составление годового графика ППР

.5       Анализ выполнения графика ППР

2. Экономическая часть

.1 Расчет численности персонала

2.2     Расчет основного фонда заработной платы персонала

.3       Расчет расхода материалов для ремонта

.4       Составление сметы затрат

.5       Экономическая эффективность

Заключение

Список использованных источников

Информативный реферат

Курсовая работа на тему: «Расчет технико-экономических показателей электрооборудования подстанции «Федосеевка» 35/6кВ филиала ОАО «МРСК-Центра»-«Белгородэнерго»» состоит из 27 листов, 5 таблиц, 3 рисунков и включает в себя организационную и экономические части.

В организационной части была представлена технико-экономическая характеристика предприятия, общая характеристика работ на участке, организация работ на участке и составлен годовой график ППР.

В экономической части была рассчитана численность персонала, рассчитан основной фонд заработной платы персонала, рассчитан расход материалов для ремонта, составлена смета затрат и рассчитана экономическая эффективность ремонта.

Подстанция «Федосеевка» может работать гораздо более эффективно за счет сокращения времени на ремонт и обслуживание электрооборудования, за счет сокращения потерь электроэнергии.

В ходе написания курсовой работы были успешно реализованы следующие задачи: приведена технико-экономическая характеристика предприятия; составлен годовой график ППР, который включает в себя анализ планового ремонта, капитального ремонта. Рассчитана трудоемкость ремонтных работ, которая составила 24 часа, рассчитана численность персонала - 3 человека.

Рассчитан фонд заработной платы, сумма - 2195,34 руб. Сметная стоимость ремонта составила - 77879,4 руб. Экономическая эффективность проведения ремонта - 347876,6 рублей.

В курсовой работе были использованы источники нормативно-техничекой документации и таких авторов как Белых, Прыкина, Сергеев, Семенов, Скляренко, Сибикин и Туровец.

Введение

Ремонт, является неотъемлемой частью любого производства. Экономическая эффективность ремонта заключается в том, что можно не расходуя деньги на новое оборудование, сохранить в состоянии готовности и эффективному использованию - старое.

Филиал ОАО «МРСК-Центра»-«Белгородэнерго» сегодня - перспективное, клиентоориентированное предприятие, обеспечивающее надежное электроснабжение потребителей Белгородской области. Оно является монополистом в регионах деятельности, контролируя в денежном выражении 83% рынка передачи электроэнергии и порядка 85% технологических присоединений.

Одним из его структурных подразделений, являются Старооскольские электрические сети, сокращенно СОЭС. Которые осуществляют передачу электрической энергии по распределительным сетям 0,4-110 кВ, технологическое присоединение электроустановок потребителей к сетям, ремонт и модернизацию оборудования и сетей, электроснабжение объектов промышленных предприятий района., а также освещение магистралей и улиц города.

Целью данной курсовой работы - является расчет технико-экономических показателей электрооборудования подстанции «Федосеевка» 35/6 кВ филиала ОАО «МРСК-Центра»-«Белгородэнерго».

Предметом курсовой работы - является расчет технико-экономических показателей электрооборудования.

Объектом - электрооборудования подстанции «Федосеевка» 35/6 кВ филиала ОАО «МРСК-Центра»-«Белгородэнерго».

В данной работе были поставлены следующие задачи: рассмотрена технико-экономическая характеристика предприятия; представлена общая характеристика работ на участке, рассмотрена организация работ на участке; приведен анализ выполнения графика ППР; выполнен расчет численности персонала; произведен расчет основного фонда заработной платы персонала; выполнен расчет расходов материала для ремонта; составлен смета затрат и рассчитана экономическая эффективность.

При написании курсовой работы использовались нормативные материалы предприятия, учебники и учебные пособия.

1.   Организационная часть

.1   Технико-экономическая характеристика предприятия

Фундамент энергетики Белгородчины был заложен ещё в начале XX бека. В 1923 году при железнодорожной станции «Белгород» установлен и введен в эксплуатацию нефтяной двигатель мощностью 50 лошадиных сил первой транспортной электростанции. Появился электрический свет в центре города Белгород. В 1927 году построена вторая небольшая электростанция. К началу 1929 года энерговооруженность Белгорода. Вместе с железнодорожным узлом в три раза превысила дореволюционный уровень.

В 1934 году для обеспечения растущих потребностей Белгорода в электроэнергии было начато строительство Белгородской центральной электростанции (ЦЭС) - одной из 30 станций, строительство которых предусматривалось Государственным планом электрификации России. Спустя четыре года, в ноябре 1938 года, введена первая очередь Белгородской ЦЭС с турбогенератором в 1600 кВт. Зажглись электрические лампы в 1750 домах белгородцев. Начался перевод промышленности и коммунального хозяйства города на электроснабжение.

В годы войны здание Белгородской ЦЭС было полностью разрушено, а оборудование эвакуировано на ТЭЦ станции «Курган» Южно-Уральской железной дороги. «Второе рождение» Белгородской ЦЭС состоялось в 1945 году когда был осуществлен повторный пуск.

Новый этап в развитии энергетики Белгородчины начался с момента образования области в 1954 году. Бурный рост промышленности, вызванный освоением богатств Курской магнитной аномалии, дал толчок строительству в Старооскольском районе крупной электрической станции. 31 декабря 1954 года параллельно с энергопоездом введена в работу первая очередь Губкинской ТЭЦ мощностью 12 МВт. По окончании строительства, в 1959 году, ее общая мощность достигла 61 МВт, что обеспечило электро- и теплоснабжение предприятий горнорудного края.

год вошел в историю белгородской энергетики как год рождения районного энергетического управления «Белгородэнерго». Основными задачами вновь созданного предприятия были определены: обеспечение надежного энергоснабжения промышленности, сельского хозяйства, объектов соцкультбыта, разбитие энергетики области.

В 1998 году ОАО «Белгородэнерго» удалось преодолеть негативные тенденции и выйти на путь стабильного, устойчивого разбития. Существенно снизилась задолженность на ФОРЭМ, перед бюджетами всех уровней, по заработной плате. Руководство компании взяло курс на создание собственной коммуникационной инфраструктуры.

В ноябре 2001 года между Администрацией Белгородской области, РАО «ЕЭС России» и ОАО «Белгородэнерго» заключено «Соглашение о реформировании энергетического комплекса Белгородской области». Акционерное общество в числе первых энергосистем РАО «ЕЭС России» вышло на путь преобразований с целью создания необходимых условий для перспективного развития энергетики области: привлечения инвестиций, реализации проектов по энергосбережению, оптимизации энергосбытовой деятельности, снижения издержек.

год охарактеризован изменениями в организационной структуре Акционерного общества. В состав ОАО «Белгородэнерго» вошли предприятия коммунальной энергетики. Кроме этого, ряд отделов и служб энергокомпании были выделены в обособленные структурные подразделения и далее в филиалы.

августа 2003 г. намерения о сотрудничестве между администрацией Белгородской области и РАО «ЕЭС РФ» были закреплены еще одним соглашением сторон. 20 сентября 2007 г. председатель Правления РАО_ЕЭС Анатолий Чубайс и губернатор Белгородской области Евгений Савченко подписали Соглашение о взаимодействии по развитию энергосистемы и обеспечению надежного энергоснабжения потребителей региона, результатом которого стали масштабные инвестиции в энергетический комплекс региона.

января 2004 г. на внеочередном собрании акционеров ОАО «Белгородэнерго» принято решение о реорганизации энергокомпании путем выделения и создания новых Обществ. Государственная регистрация региональной распределительной сетевой компании «Белгородэнерго» состоялась 1 апреля 2005 г.. 31 марта 2008 г. компания стала филиалом ОАО «МРСК Центра».

С 2008 г. компания внедряет на территории региона автоматизированную систему коммерческого учета электрической энергии (АСКУЭ) бытовых и мелкомоторных потребителей с интеллектуальными счётчиками «Нейрон». АСКУЭ обеспечивает точность расчетов с потребителями и позволяет значительно снизить величину коммерческих потерь электрической энергии.

Внедряемая в области с 2007 г. автоматизированная система управления уличным освещением «Гелиос» дает возможность дистанционно контролировать состояние сетей, управлять режимами освещения. Сократить время восстановления электроснабжения жителей области в аварийных ситуациях помогает система мониторинга ТП 0,4-10 кВ.

Большое внимание специалисты «Белгородэнерго» уделяют применению современных технологий и материалов. С 2003 г. используются реклоузеры - аппараты, позволяющие сокращать перерывы электроснабжения потребителей в нештатных ситуациях, с 2007 г. - вольтодобавочные ТС (бустеры), служащие для стабилизации напряжения и увеличения пропускной способности сети 0,4 кВ. В 2009 г. филиал приступил к установке столбовых ТП 10/0,4 кВ, которые позволяют существенно сократить потери в сети 0,4 кВ за счет уменьшения протяженности воздушной линии. При строительстве и реконструкции кабельных линий 0,4-10 кВ в компании применяют термоусаживаемые муфты и кабель из сшитого полиэтилена, воздушных линий - надежные и безопасные самонесущие изолированные провода.

Для диагностики кабельных сетей 6-10 кВ приобретена передвижная электротехническая автоматизированная лаборатория немецкого производства SEBA KMT.

В новых микрорайонах энергетики устанавливают учетно-распределительные шкафы для потребителей и подстанции киоскового типа. В процессе строительства Л.Э.П. 110 кВ применяются многогранные металлические опоры, которые значительно надёжнее, особенно в сложных гололёдно-ветровых условиях. Внедряется современное коммутационное оборудование, системы диспетчерского и технологического управления на основе цифровых устройств, взамен устаревших на подстанциях устанавливаются современные, элегазовые и вакуумные выключатели. Помимо модернизации энергооборудования компания реконструирует производственные базы районов электрических сетей с использованием новейшего инженерно-телекоммуникационного оборудования.

В 2009 г. произошло важное для белгородской энергетические системы событие - подписано Соглашение о взаимодействии правительства Белгородской области и ОАО «Холдинг МРСК» по развитию распределительного электросетевого комплекса региона и обеспечению надежного электрического снабжения потребителей. В соответствии с Соглашением компания стала участником энергосберегающего проекта «Умный город». Инфраструктура такого города должны быть построена на новых технологиях, позволяющих рационально использовать источники энергии.

января 2009 г. филиал ОАО «МРСК Центра» - «Белгородэнерго» одним из первых в РФ перешел на новую систему тарифообразования на услуги по передаче электрической энергии с применением метода доходности инвестированного капитала (R.A.B. - Regulatory Аsset Base - регулируемая база задействованного капитала). Принципиальным отличием тарифного регулирования по методу R.A.B. является возможность реализации масштабных инвестиционных программ в электросетевом комплексе без существенного одномоментного роста тарифов на электрическую энергию для всех категорий потребителей. Благодаря новому методу тарифорегулирования компания в 2009 г. построила современную ПС 110 кВ «Майская», которая обеспечила электроэнергией более 26 тысяч жителей региона.

декабря 2009 г. в Белгородской области зафиксирован рекорд энергопотребления. В этот день потребление электрической мощности предприятиями и населением региона превысило исторический максимум, достигнув 2144 МегаВт. Чтобы растущее потребление электрической энергии не влияло на уровень надежности электрического снабжения жителей области, а запас мощности соответствовал темпам развития экономики, Белгородэнерго постоянно модернизирует энергетический комплекс области.

Принимая активное участие в реализации приоритетных национальных проектов «Развитие АПК» и «Достойное жилье - гражданам РФ» на территории Белгородской области, компания ежегодно вводит в эксплуатацию новые питающие центры и линии электропередачи. С 2006 по 2010 г. построены оснащенные по последнему слову электротехники подстанции 110 кВ «Северная», «Донец», «Майская», «Крапивенская», ПС 35 кВ «Малиновка», 11 воздушных линий электропередачи 110 кВ от ПС 330 кВ «Фрунзенская». Не остаются в стороне такие проекты, как «Семейные молочные эко-фермы», «Домашняя птица» и «Домашнее молоко», «500 парков Белогорья», «Зеленая столица», областные программы по улучшению качества жизни населения.

На протяжении последних лет Белгородэнерго активно занимается ликвидацией дефицита мощности в регионе, устанавливая на питающих центрах силовые ТС большей мощности. Благодаря замене силового оборудования энергетики обеспечили возможность подключения к электрическим сетям новых потребителей в тех районах, где возможен существенный рост энергопотребления.

Однако сколько бы ни говорили о производственных технологиях, главная ценность компании - это люди, как работающие на предприятии, так и те, для кого коллектив трудится. Белгородэнерго непрерывно совершенствует взаимодействие с клиентами. Базовыми принципами деятельности компании сегодня являются клиентоориентированность и социальная ответственность. На территории области создана сеть Центров обслуживания клиентов, успешно функционирует круглосуточная прямая телефонная линия энергетиков 115, открыта Интернет-приемная. Благодаря этим каналам взаимодействия жители региона могут оперативно решить все вопросы, связанные с электроснабжением.

Одной из важных составляющих деятельности Белгородэнерго является работа с персоналом. Кадровая политика направлена на социальную защищенность сотрудников и их постоянное профессиональное развитие. В 2006 г. Белгородэнерго наряду с энергохолдингом РАО «ЕЭС Рф» стало победителем национальной премии «Лучший работодатель Рф». Компания стала лауреатом за социальную ответственность бизнеса.

Энергетики проводят большую работу, направленную на повышение безопасности и улучшение условий труда персонала. Сотрудники в полном объеме обеспечены спецодеждой и средствами индивидуальной защиты, специальными приспособлениями и техникой, позволяющей выполнять все виды электротехнических работ с неукоснительным соблюдением требований техники безопасности и охраны труда. В компании создан специальный учебный класс, где проводятся семинары по охране труда. Свое здоровье энергетики могут поправить в медико-психологическом центре.

Результатом деятельности в этом направлении стала победа Белгородских электрических сетей (БЭС) филиала ОАО «МРСК Центра» - «Белгородэнерго» в смотре-конкурсе «Безопасные условия труда - фактор повышения качества жизни» в номинациях «Лучшее предприятие топливно-энергетического комплекса и ЖКХ» и «Лучший кабинет охраны труда» по итогам 2008 г.. Кроме того, БЭС стали победителем Всероссийского конкурса и были признаны лучшим предприятием жилищно-коммунального хозяйства страны за 2008 г..

Филиал ОАО «МРСК Центра» - «Белгородэнерго» сегодня- перспективное, клиентоориентированное предприятие, обеспечивающее надежное электроснабжение потребителей Белгородской области. Компания обслуживает 45,985 тысяч км линий электропередачи, 175 ПС 35-110 кВ общей мощностью 3185 МВА, более 11 тысяч трансформаторных и распределительных пунктов. Белгородэнерго осуществляет передачу электрической энергии по распределительным сетям 0,4-110 кВ, технологическое присоединение электроустановок потребителей к сетям, а также ряд дополнительных сервисов.

На предприятии введена система технического обслуживания и ремонта. Эта система представляет комплекс организационных и технологических мероприятий по заблаговременной подготовке к техническому уходу, надзору и ремонты оборудования. Система технического обслуживания и ремонта предусматривает следующие виды ремонтного обслуживания и ремонта оборудования: текущее межремонтное обслуживание, проверки, ревизии, текущие и капитальные ремонты.

1.2 Общая характеристика работ на участке

«Старооскольские электрические сети», города Старый Оскол, было создано в 1968 году путем выделения из предприятия «ВодосВет». За три десятилетия со дня основания, предприятие не просто обновилось, но и зажило новой жизнью.

Основной задачей предприятия является преобразование, распределение, передача электроэнергии, ремонт и модернизация оборудования и сетей, электроснабжение объектов, промышленных предприятий района, среди которых• АВИДА, котельная и другие, а также освещение магистралей и улиц города.

К настоящему времени сложилась следующая структура предприятия:

ОМС - оперативно-диспетчерская служба;

УРС-1, УРС-2, УРС-3 - участки распределительных сетей;

УНО - участок наружного освещения,

РРУ - ремонтно-ревизионный участок,

ОСЗ - отдел сбыта электроэнергии;

СМиТ - служба механизации транспорта;

УРЗП - участок по ремонту электрических плит;

СБО - служба бытового обеспечения.

Управление производством:

Руководящий состав предприятия во главе с директором и ведущими специалистами осуществляет общее руководство предприятием. Ежедневно проводятся оперативные совещания, на которых решаются производственные вопросы.

Бухгалтерия:

Работниками этой службы осуществляется учет движения всех денежных средств предприятия. Также ведутся операции по приему, выдаче и хранению денежных средств и ценных бумаг. Производится начисление и Выдача зарплаты работникам предприятия.

Производственно-техническая служба:

Производственно-техническая служба выполняет функции по организации и техническому руководству эксплуатацией, текущим и капитальным ремонтами и развитием сетей района.

Развитие предприятия - непрерывный рост технического мастерства рабочих и инженерно-технических работников, с обязательным выполнением норм и требований охраны труда и техники безопасности. Для этого проводятся практические занятия по вопросам ОТ и ТВ.

Оперативно-диспетчерская служба:

Оперативно-диспетчерская служба является одной из крупных и основных структурных единиц предприятия. Сюда стекается вся оперативная информация о состоянии электрических сетей города. Диспетчер - опытный специалист, обязан четко и грамотно осуществлять оперативный контроль за состоянием всей электрической сети города.

Участок №1 по ремонту и техническому обслуживанию распределительных сетей:

Эксплуатацией электрических сетей Юго-Западной части Старого Оскола занимается УРС-1. В зону обслуживания входят 83 трансформаторные подстанции, воздушные и кабельные линии протяженностью 399 км. В своей работе при ремонте кабельных линий применяются муфты Подольского электромеханического завода.

Участок №2 по ремонту и техническому обслуживанию распределительных сетей:

Центральную часть города обслуживает УРС-2. Здесь расположены 75 трансформаторных подстанций. Электроснабжение этого района осуществляется по воздушным и кабельным линиям, протяженность которых составляет 352 км. На базе этого участка создана бригада по капитальному ремонту и реконструкции воздушных линий электропередачи.

Участок №3 no ремонту и техническому обслуживанию распределительных сетей:

УРС-3 обслуживает Северо-Восточную часть города, где находятся 57 трансформаторных подстанций и 178 км Воздушных и кабельных линий, включая линии двух Водозаборов города.

Участок наружного освещения:

Эксплуатацией и ремонтом сетей наружного освещения улиц и магистралей города занимается участок наружного освещения. На обслуживании участка находится 5727 светильников наружного освещения. Протяженность сетей составляет 230 км. В целях экономии электроэнергии, электроустановки наружного освещения города работают в двух режимах: вечерний и ночной. Участок занимается также изготовлением и монтажом светодинамической иллюминации для празднично оформления улиц и площадей Старого Оскола.

Ремонтно-ревизионный участок:

Специалисты этого участка выполняют наладку и ремонт релейной защиты и автоматики на ТП и РП, производят высоковольтные испытания оборудования и защитных средств. Система телемеханики на базе ТК «Гранит» помогает в оперативной работе персоналу ОДС. Обслуживание этой сложной техники осуществляют инженерно-технические работники РУ.

Отдел сбыта электроэнергии:

Большую работу по учету за получением и реализацией электроэнергии, а также своевременными и правильными расчетами с потребителями осуществляет отдел сбыта электроэнергии. Этот отдел состоит из двух подразделений. Первый отвечает за работу с абонентами частного жилого сектора, второй работает с крупными и мелкими предприятиями города.

Служба механизации и транспорта:

Обеспечением подразделений предприятия спецавтотранспортом занимается СМиТ. Здесь созданы все необходимые условия для поддержания в исправном состоянии и ремонта автотехники и механизмов, от которых зависит эффективная работа производства в целом. Для сокращения расхода горюче-смазочных материалов и увеличения времени работы на объектах, введена в работу автозаправочная станция.

Участок по ремонту электрических плит:

В структуре предприятия находится участок по ремонту электрических плит. Необходимость в его создании вызвана тем, что большая часть жилых домов Старого Оскола оборудована напольными электроплитами. Замена и ремонт вышедших из строя деталей электрических плит мастера этого участка выполняют на дому у заказчика. За год участок обслуживает до 2000 электроплит.

Служба бытового обеспечения:

На предприятии большое значение уделяется улучшению социально-бытовых условий и укреплению здоровья трудящихся. Для этого создана служба бытового обеспечения. На территории предприятия функционирует удобная столовая, где можно хорошо пообедать. А также оборудованы две сауны, в которых работники предприятия с удовольствием проводят свободное время.

Важное место в жизни коллектива занимает физическая культура и спорт. Созданы секции по настольному теннису и волейболу. Есть клуб любителей шахмат и шашек.

Общественная жизнь предприятия:

Предприятие оказывает шефскую помощь муниципальной гимназии №15, с которой сложились дружеские и теплые взаимоотношения. Коллективы совместно проводят торжественные и праздничные мероприятия. Коллектив предприятия принимает активное участие в общественной жизни города.

Городская администрация по достоинству оценивает вклад работников предприятия в развитие электроэнергетики города. Многие работники награждены грамотами и ценными подарками.

Общая численность предприятия на конец отчетного периода составляет - 329 человека, в том числе - ИТР-95 человек, служащих - 1 человека, рабочих - 233 человек.

На балансе предприятия находятся:

Распределительные пункты РП - 25 шт.

Трансформаторные подстанции ТП - 767 шт.

Количество трансформаторов-688 шт., с общей установленной мощностью 650515 кВА.

Протяженность /13/7 - 6-10 кВ составляет 1164,32 км., кабельные линии 1810,66 км.

Протяженность ЛЭП - 0,4 кВ составляет 2333,57 км., кабельные линии 2847,8 км.

Протяженность сетей наружного освещения 250,3 км., в том числе: кабельных линий - 43,3 км., воздушных - 207 км., в том числе с совместной подвеской -140 км.

Общее количество светильников составляет - 7538 шт. в том числе- с лампами накаливания - 523 шт., с лампами ДРЛ - 7015 шт., сборок НО -100 шт.

Ремонт напольных электроплит за год 1950 шт.

Основные направления организационно-технической деятельности СОЭС в 2010 году:

Основные направления организационно-технической работы СОЭС являлось повышение надежности электроснабжения потребителей города при нормированном качестве электрической энергии. Для этих целей проделана работа: текущий ремонт оборудования ТП, РП и Эл. сетей выполнены в полном объеме согласно графика ППР.

Для стабильной работы сетей электроснабжения города составлены мероприятия которыми предусмотрены работы

. Планово-предупредительные работы и текущие ремонты ЛЗП - 6-10, 0,4 кВ, оборудование РП, ТП, наружного освещения (согласно графика ППР)

. Капитальный ремонт и реконструкция сетей (замена ветхих сетей).

. Повышение надежности работы сетей и оборудования, ликвидация отступлений от ПУЭ.

. Подготовка базы СОЭС к работе в зимних условиях.

. Подготовка автотракторной техники.

6. Создание аварийного запаса.

1.3 Организация работ на участке

На подстанции «Федосеевка» используется непрерывный режим работы.

Непрерывный режим - это режим, при котором в течении установленного периода времени (час, смена, сутки, год) происходит непрерывное превращение исходных материалов или полуфабрикатов в готовую продукцию.

Достоинством непрерывного режима работы является высокая производительность продукции, в нашем случае это распределение электрической энергии.

Недостатком непрерывного режима работы участка подстанции «Федосеевка» является необходимость создания стабильных условий работы электрооборудования, обеспечение непрерывности и поточности, распределения электроэнергии.

Непрерывный режим обеспечивается двухсменным четырехбригадным графиком работы (Таблица 1).

Таблица 1

График работы обслуживающей бригады

Бригада

Дни недели


Пн

Вт

Ср

Чт

Пт

Сб

Вс

1

А

Б

О

О

А

Б

О

2

Б

О

О

А

Б

О

О

3

О

О

А

Б

О

О

А

4

О

А

Б

О

О

А

Б


На подстанции существует следующая организационная структура управления, представленная на рисунке 1.

Рисунок 1 - Организационная структура управления на участке

Во главе участка - один руководитель, начальник участка УРС-3.

В его функции входит обеспечение выполнения плана производства работ на участке. Он выдает ежедневно сменное задание старшему мастеру.

Мастер осуществляет надзор за состоянием важных частей оборудования и бригады, выполнения особо ответственных работ а также ряда функций по подготовке производства.

Бригадир постоянно наблюдает за работой бригады, руководит процессом и доводит сменное задание непосредственно до рабочих.

Сущность линейной (иерархической) структуры управления состоит в том, что управляющее воздействие на объект могут предаваться только одним доминантным лицом - руководителем, который получает официальную информацию только от своих, непосредственно ему подчиненных лиц; принимает решения по всем вопросам относящимся к руководимой им части объекта и несет ответственность за его работу перед вышестоящим руководителем.

В настоящее время такая структура используется в системах управления производственными участками, отдельными небольшими цехами и т.д.

1.4 Составление годового графика ППР

Ремонтный цикл - это наименьшие интервалы времени или наработки электрооборудования, в течение которых выполняются в определённой последовательности в соответствии с требованиями нормативно-технической документации все установленные виды ремонта. Под ремонтными циклами понимают продолжительность работы электрооборудования между двумя плановыми капитальными ремонтами, а для вновь вводимого электрооборудования - от начала эксплуатации до первого планового капитального ремонта.

Межремонтным периодом называют промежуток времени между двумя последовательными плановым ремонтами.

Структура ремонтного цикла - это порядок чередования различных видов ремонта в определённой последовательности в пределах одного ремонтного цикла.

Продолжительность ремонтных циклов и межремонтных периодов для каждого вида электрооборудования определяют в соответствии с его мощностью, конструктивными способностями, режимом работы, приоритетом или значением в технологическом процессе производства, ремонтопригодностью и другими факторами.

Продолжительность ремонтного цикла должна быть объектом систематического изучения и обобщения по всем его компонентам, включая затраты времени и средств на все виды ремонтов. На этой основе должны обеспечиваться сокращения продолжительности ремонтов, материальных и трудовых затрат, общее снижение стоимости ремонтов.

На основе анализа производственной деятельности установлено, что организация подготовки и проведения ремонтов осуществляется в соответствии с утверждёнными планами и графиками проведения ремонтов в планируемом периоде.

Исходными данными для построения планов - графиков ремонта оборудования служат: материалы тщательного обследования состояния оборудования подстанции на начало планового периода; фактическая стоимость деталей, узлов, сменного оборудования и др.; фактический расход запасных частей и сменного оборудования в отчётном периоде; расчётные нормативы стойкости деталей и узлов, а также трудоёмкости ремонтов, продолжительности межремонтных периодов, ремонтных циклов и их структуры; сведения о наличии деталей, запасных частей, узлов. При этом учитываются производственные связи между отдельным оборудование и участками. Перечисленные и другие материалы используются, прежде всего, для определения содержания и объёмов ремонтных работ. Для установления же продолжительности ремонтов необходимо с учётом трудоёмкости ремонта определить нормативы длительности ремонта каждой единицы и всего комплекса одновременно ремонтируемого оборудования. Поэтому для каждого вида ремонта и каждого агрегата разрабатываются специальные технологические графики, предусматривающие порядок демонтажа, замены и последующего монтажа отдельных узлов, время выполнения каждой ремонтной операции, число рабочих по квалификации, занятых на соответствующих операциях.

Годовой график ремонта отражает периодичность и длительность нахождения в ремонте определённых видов электрооборудования.

Годовой график ремонта электрооборудования составим на основе ТОиРа. Сроки проведения ремонтов, их вид, трудоёмкость,

периодичность, состав работ регламентируются ТОиРом.

Технологический пооперационный график показывает порядок и длительность выполнения отдельных этапов работы.

Поэтому, становится понятно, что для построения технологического графика ремонта в максимальной мере должны быть учтены и предусмотрены возможности параллельного выполнения ремонтных операций с перекрытием во времени.

Продолжительность ремонтных операций устанавливается методами технического нормирования с учётом передового опыта.

Согласно ТОиР средний ремонт оборудования содержит следующие операции:

1)   Техническое обслуживание.

2)   Частичная разборка оборудования.

3)      Проверка исправности, ремонт, а при необходимости, частичная замена

)        Чистка и протирка всех узлов и деталей.

5)   Проверка взаимодействия отдельных механизмов и узлов.

6)      Проверка крепления проводов.

)        Изолировка и подсоединение проводов.

8)   Сборка оборудования.

9)      Пробный пуск и испытание электрооборудования.

)        Сдача в работу.

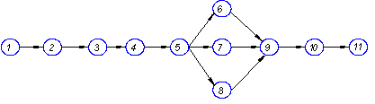
Проанализировав операции технологического пооперационного графика среднего ремонта электрооборудования участка подстанции» Федосеевка», мы можем составить сетевой график.

Сетевой график состоит из безмасштабных стрелок, обозначающих работы, и кружочков, обозначающих события. Работа означает определённый производственный процесс ремонта (или совокупность ремонтов), требующий затрат времени или материалов, применения различных инструментов или приспособлений. Событие представляет собой промежуточный или окончательный результат одной или нескольких работ, необходимый для начала каких-либо других работ, предусмотренных технологией ремонта.

Таким образом, сетевой график является схематическим изображением операций и элементов производственного процесса ремонта, а так же взаимных связей между ними, порядка и технологической последовательности их выполнения.

Известно, что составление сетевого графика ремонта электрооборудования начинают после предварительного установления взаимных связей между работами и согласования их с технологической последовательностью выполнения планируемых электроремонтных работ. При этом стрелки, изображающие направление (работы), должны идти слева направо.

Средний ремонт оборудования включает в себя:

)  Отключение питающей сети

2)      Внешний осмотр и чистка корпусов электрооборудования, шкафов управления и теплового контроля, контактов аппаратуры от нагрева и окиси

)        Проверка всей электрической части электрооборудования

)        Проверка наличия и исправности заземления

)        Проверка исправности кабельных линий и их выводов

)        Проверка наличия и исправности крепления

)        Проверка электрических цепей мегаомметром

)        Высоковольтные испытания (испытания повышенным напряжением)

)        Устранение обнаруженных дефектов

10) Изолировка и подсоединение проводов

11) Пробный пуск и сдача оборудования в работу

Рисунок 2 - Сетевой график среднего ремонта

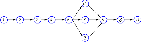
Рисунок 3-Сетевой график капитального ремонта

Согласно ТОиР капитальный ремонт оборудования подстанции содержит следующие операции:

1)   Техническое обслуживание

2)      Полная разборка оборудования

)        Замена всех изношенных частей и деталей оборудования

)        Проверка взаимодействия отдельных узлов

)        Ревизия электрического оборудования

)        Снятие и проверка

)        Определение состояния электрического оборудования, при необходимости замена

)        Ревизия неисправного оборудования

)        Проверка изоляции проводов и кабелей

)        Изолировка и подсоединение проводов

)        Сборка оборудования

)        Окраска оборудования

)        Подсоединение питающего кабеля

)        Пробный пуск

)        Сдача в работу

1.5 Анализ выполнения графика ППР

Работы по поддержанию электрического оборудования в работоспособном состоянии, такие как техническое обслуживание и текущие и капитальные ремонты, проводятся для обеспечения бесперебойной и надежной работы оборудования. Для ремонта электрооборудования подстанции «Федосеевка» был установлен срок- 3 дня.

В ходе текущего, капитального ремонта отклонений от графика ППР не было. С заданной работой, рабочий персонал справился в срок в связи с тем, что он имеет высоко квалификацию, хорошо знаком с электрооборудованием.

подстанция ремонт смета затрата

2.   Экономическая часть

.1   Расчет численности персонала

Трудоемкость ремонта и модернизации электрооборудования подстанции «Федосеевка» зависит от ее конструктивных особенностей, технологического состояния и измеряется количеством затрат труда ремонтного персонала в человеко-часах, необходимых для выполнения данного вида работ по ремонту.

При анализе и планировании деятельности промышленного предприятия, а также для оценки производительности живого труда, используется трудоемкость.

Преимущества показателя трудоемкости состоит в том, что она позволяет судить об эффективности затрат живого персонала на разных стадиях изготовления конкретного вида продукции, не только по предприятию, но и в цехе, на участке и на рабочем месте.

Трудоемкость - затраты рабочего времени на производство единицы продукции. Для наглядности трудоемкость приведена в таблице 2.

Исходя из таблицы 2 трудоемкость работ считают как 1/5 от общей трудоемкости работ и составляет:

*1,5=14 (чел./час)

Таблица 2

Проведение ремонтных работ

№ п/п

Наименование работы

Трудоемкость (чел/час)

1

Ремонт вакуумного выключателя 6 кВ

9,6

2

Монтаж кабеля

20

3

Ремонт коммутационной аппаратуры

18

4

Испытания и пусконаладочные работы

22,4

Итого

70


Для того чтобы рассчитать численность персонала на ремонт и обслуживание всего оборудования необходимо учитывать коэффициенты, которые зависят от расположения электрооборудования (от 2,2 до 2,6) и количества единиц электрооборудования, расположенных на участке (от 0,4 до 1)

,5*70+2,2*1,4=65,8

Численность ремонтного персонала находится по следующей формуле:

Uрем = Трем /tэф. (1)

где Трем -численность ремонтного персонала

tэф. -эффективное рабочее время за период ремонта

Эффективное рабочее время за период ремонта составляет 3 дня, т.к. рабочая смена ремонтного персонала состовляет восьмичасовой рабочий день, то эффективное время составляет 24 часа.

Число необходимого персонала:

Uрем =65,8/24=3

Расчет показал, что для проведения ремонта требуется 3 человека.

2.2 Расчет основного фонда заработной платы персонала

Заработная плата является формой распределения общественного порядка. В «МРСК-Центра»- «Белгородэнерго» соответствует свой особый способ его распределения, который активно влияет на развитие этого производства, отражая участие работника в нем.

Заработная плата работников СОЭС является основным, но не единственным источником дохода. Существенное дополнение к заработной плате работников составляют различные льготы и доплаты.

Основой организации заработной платы электромонтеров (всех рабочих), является тарифная система, представляющая собой совокупность нормативов, определяющих уровень заработной платы. Тарифная система включает в себя тарифно-квалифицированные справочники, тарифные ставки и тарифные сетки.

Тарифно-квалифицированный справочник характеризует содержание работ, работы определенной профессии и квалификации рабочего.

Тарифные ставки определяют уровень заработной платы рабочих, в зависимости от значения участка, выполняемых работ и условий труда.

Тарифная сетка - дифференцирует оплату труда рабочих в зависимости от квалификации, которая определяется разрядом.

В СОЭС используется следующая тарифная сетка:

III разряд - 15,34 руб. в час;

IV разряд - 17,18 руб. в час;

V разряд - 19,75 руб. в час;

Для определения отработанного времени, следует сложить трудоемкость работ по ремонту электрооборудования, т.е. определить эффективное рабочее время за период ремонта, которое составляет 3 рабочих дня. Так как рабочая смена ремонтного персонала 8 часов, то эффективное составляет 24 часа.

Таблица 3

Расчет заработной платы электроперсонала

№1

Профессия

Электромонтер (ремонтный персонал)

№2

Разряд

III IV V

№3

III разряд IV разряд V разряд

15,34 руб. в час; 17,18 руб. в час; 19,75 руб. в час;

№4

Отработано времени

24 часа

№5

Фонд заработной платы по тарифу III разряд IV разряд V разряд

 368,16 руб. 412,32 руб 474 руб

№6

Премия: III разряд IV разряд V разряд

 276,12 руб. 309,24 руб 355,5 руб

№7

Фонд заработной платы с премией: III разряд IV разряд V разряд

 644,28 руб 721,56 руб 829,5 руб

№8

Списочный штат: III разряд IV разряд V разряд

 1 человек 1 человек 1 человек

№9

Основной фонд заработной платы: III разряд IV разряд V разряд

 644,28 руб. 721,56 руб. 829,5 руб.

№10

Итого

2195,34 руб.


Фонд заработной платы определяется по формуле:

ФЗЛ= те * tэф (2)

где те- тарифная ставка (руб. в час.)

ФЗЛ1 =15,34*24=368,16 (рублей) для III разряда;

ФЗЛ2 =17,18*24=412,32 (рублей) для IV разряда;

ФЗЛ3 =19,75*24=474 (рублей) для V разряда;

Данные расчетов заносим в графу 5.

Графа 6 - премия, начисляется к фонду заработной платы в размере 75% от тарифной ставки.

,16*0,75=276,12 (рублей) для III разряда;

,32*0,75=309,24 (рублей) для IV разряда;

*0,75=355,5 (рублей) для V разряда;


,16+276,12=644,28 (руб.) для III разряда;

,32+309,24=721,56 (руб.) для IV разряда;

+355,5=829,5 (руб.) для V разряда;

Данные заносим в графу 7.

В графе 10 итого сумма всех разрядов основного фонда заработной платы

,28+721,56+829,5=2195,34 (руб.)

2.3 Расчет расходов материала для ремонта

Таблица 4

Расчет стоимости материалов для эксплуатации и ремонта электрооборудования подстанции «Федосеевка»

№ п/п

Перечень материалов

Единица измерения

Количество

Цена за единицу (руб.)

Стоимость материала (руб.)

1

Провод гибкий медный

м.

50

24,5

1225

2

Припой оловянно-свинцовый

кг

2

247

494

3

Картон изоляционный

кг

1,1

28,75

31,625

4

Гетинакс

кг

152

30

4560

5

Лента изоляционная

шт.

15

28,5

427,5

6

Эмаль

кг

10

62

620

7

Смазки

кг

16,7

38,75

647,12

8

Растворитель

кг

154

46

6670

9

Провод алюминиевый А240

м

40

40,68

1627,2

10

Сталь круглая (катанка)

кг

46

145,7

6702,2

11

Изоляторы 6кВ

шт

45

345

15525

12

Предохранитель 6кВ

шт

20

456

9120

13

Герметик

кг

1

2564

2564

14

Соединительная кабельная муфта 6кВ

шт

4

2120

8480

15

Концевая заделка 6кВ

шт

8

856

6848

16

Эпоксид

кг

5

1545

7725

Итого

74937,65


Стоимость материала = р*q (3)

где р-цена за изделие (руб.); q-количество (шт.)

.  50*24,5=1225 (руб.) для гибкого медного провода;

2.       2*247=494 (руб.) для припоя;

.        1,1*28,75=31,62 (руб.) для картона;

.        152*30=4560 (руб.) для гетинакса;

.        15*28,5=427,5 (руб.) для изоленты;

.        10*62=620 (руб.) для эмали;

.        16,7*38,75=647,12 (руб.)для смазки;

.        154*46=6670 (руб.) для растворителя;

.        40*40,68=1627,2 (руб.) для провода А-240;

.        46*145,7=6702,2 (руб.) для круглой стали

.        45*345=15525 (руб.) для изоляторов

.        20*456=9120 (руб.) для предохранителей;

.        1*2564=2564 (руб.) для герметика;

.        4*2120=8480 (руб.) для муфт;

.        8*856=6848 (руб.) для концевых заделок

.        5*1545=7725 (руб.) для эпоксида

Итоговая стоимость материала находится как сумма стоимости материалов и заносится в ячейку итого:

Итого=1225+494+31,62+4560+427,5+620+647,12+6670+1627,2+6702,2+

+9120+2564+8480+6848+7725=74937,65 (руб.)

2.3 Составление сметы затрат

Смета затрат - это определение издержек в денежной форме на выполнение определенного вида работ.

В сметную стоимость ремонта будут входить статьи представленные в таблице 5.

Таблица 5

Сметная стоимость ремонта и обслуживания электрооборудования подстанции «Федосеевка»

Наименование статей затрат

Суммы статей затрат (руб)

Материалы на ремонт

74937,65

Фонд заработной платы электромонтеров

2195,34

Отчисления во внебюджетные фонды - 34%

746,41

Итого

42574,66


Отчисления во внебюджетные фонды (34%) - это денежное отчисление организаций в Фонд социального страхования, Пенсионный фонд, Фонд обязательного медицинского страхования, осуществляемый в процентной доли от общей величины средств на оплату труда работников организации.

2.5 Экономическая эффективность проведения ремонта

Техническое обслуживание и ремонт или ТОиР - это комплекс операций или операция по поддержанию работоспособности или исправности изделия по использовании по назначению, ожидания, хранении и транспортировки.

Если бы на участке подстанции «Федосеевка» решили списать электрооборудования, то стоимость нового оборудования составила бы 425756 руб., а проведенный нами ремонт согласно сметной стоимости (таблица 5) составляет 77879,4руб. Исходя из этого экономия составит:

-77879,4 = 347876,6 руб.

Экономия в дальнейшем будет достигаться за счет: сокращения численности дежурного и ремонтного персонала, заработной платы, сокращения сроков ремонта и так далее.

Заключение

Подстанция «Федосеевка» может работать гораздо более эффективно за счет сокращения времени на ремонт и обслуживание электрооборудования, за счет сокращения потерь электроэнергии.

В ходе написания курсовой работы были успешно реализованы следующие задачи: приведена технико-экономическая характеристика предприятия; составлен годовой график ППР, который включает в себя анализ планового ремонта, капитального ремонта. Рассчитана трудоемкость ремонтных работ, которая составила 24 часа, рассчитана численность персонала - 3 человека.

Рассчитан фонд заработной платы, сумма - 2195,34 руб. Сметная стоимость ремонта составила - 77879,4 руб.

Главной комплексной задачей проведения ремонта является обеспечение эффективной и безаварийной работы при наименьшей затраты времени, труда, средств. Экономическая эффективность проведения ремонта - 347876,6 рублей.

Список использованных источников

1. Белых, Л.П. Реконструкция предприятия [Текст]: учеб. пособие/Л.П. Белых, М.А. Федотова - М.: Юнити-Дана, 2007.-287с.

2.       Прыкина, Л.В. Экономический анализ предприятия [Текст]: учеб. пособие/Л.В. Прыкина- М.: Юнити-Дана, 2008. - 205 с.

.        Сергеев, И.В. Экономика организации (предприятий) [Текст]: учеб./ И.В. Сергеев, И.И. Веретенникова, под редакцией И.В. Сергеева.- 3-е изд., перераб. И доп. - М.: ТК Велби, изд-во Простени, 2006.-560с.

.        Сергеев, И.В. Экономика предприятия [Текст]: учеб. пособие/И.В. Сергеев - 2-е изд., перераб. и доп. - М.: Финансы и статистика, 2005. - 304 с.

.        Семенов, В.М. Экономика предприятия [Текст]: учеб. пособие. В.М. Семёнов, И.А. Баев - М.: Центр экономики и маркетинга, 2007. - 353 с.

.        Скляренко, В.К. Экономика предприятия (в схемах, таблицах, расчётах) [Текст]: учеб. пособие/под ред. проф. В.К. Скляренко, В.М. Прудникова. - М: ИНФРА - М, 2008. - 256 с.

.        Сибикин, Ю.Д. Технология электромонтажных работ [Текст]: учеб. пособие дляпроф. Учеб. завед./ Ю.Д. Сибикин, М.Ю. Сибикин -М.: Высш. шк.; Изд. Центр « Академия», 2008.-301 с.

.        Туровец, О.Г. Организация производством и управление предприятием [Текст]: учебник/ Туровец О.Г., Бупомков М.И., Родионов В.Б. и др; под ред. О.Г. Туровца - 2-е изд. - М.: Инфра - М., 2005 - 544с.

Похожие работы на - Расчет технико-экономических показателей электрооборудования подстанции 'Федосеевка'

 

Не нашли материал для своей работы?
Поможем написать уникальную работу
Без плагиата!
Без нейросетей!