Расчёт частотозадающих элементов принципиальной схемы передатчика радиолюбительского маячка
Реферат
Курсовая работа: страниц 20, рисунков 3, таблиц
0, приложений 1, источников 5.
Объект исследования - передатчик
радиолюбительского маячка.
Цель работы - приобретение умений и навыков
разработки и расчёта элементов принципиальной схемы.
Выполнен - расчёт частотозадающих элементов
принципиальной схемы передатчика радиолюбительского маячка.
Содержание
Условные обозначения
Введение
1. Анализ
ТЗ
2. Разработка
структурной схемы
3. Разработка
принципиальной схемы
4. Расчёт
автогенератора
5. Расчёт
усилителя мощности
6. Расчёт
сложной схемы антенного контура
Заключение
Список используемой литературы
Приложение
Условные обозначения
РПУ - радиопередающее устройство.
УМ - усилитель мощности.
АГ - автогенератор.
VT -
транзистор.
A - антенна.
R - резистор.
C - конденсатор.
L - индуктивность.
LC -
колебательный контур.
Введение
В настоящей курсовой работе были приобретены
умения и навыки расчёты частотозадающих элементов принципиальной схемы
автогенератора, транзисторного усилителя мощности, схемы сложного выхода РПУ.
Разработанная принципиальная схема - не содержит
дефицитных деталей, настройка данного устройства осуществляется элементами
колебательного контура выхода РПУ. Для запитывания данного устройства
необходимо использовать 2х полярные батареи обычных гальванических элементов
или малогабаритных аккумуляторов. Простота принципиальной схемы и
радиоэлементов, использованных в передатчике радиолюбительского маячка
(телеграфа Морзе), точно подтверждают надёжность его работы, а также с большим
временем наработки всего устройства на отказ.
1. Анализ ТЗ
Необходимо произвести расчет схемы передатчика
радиолюбительского маячка (телеграфа Морзе), который должен соответствовать
следующим требованиям:
1. Колебательная мощность,
обеспечиваемая оконечным каскадом РПУ, 1 Вт;
2. Работа на фиксированной
частоте 28,2 МГц;
3. Температура корпуса
транзистора tК=
25˚С;
. Тип модуляции - телеграфия
Морзе;
. Тип антенны и её параметры выбираются
самостоятельно.
В данной схеме используется
тип модуляции- телеграфия Морзе, то в связи с этим, можно не использовать
задающий генератор низких частот и амплитудную модуляцию, а собирать схему
"напрямую", состоящую из автогенератора и усилителя мощности со
сложным выходом.
Для обеспечения заданной выходной
мощности достаточно применить один транзистор в оконечном каскаде усилителя мощности,
предварительно сигнал будет проходить через усилитель
выполненный
по схеме "эмиттерного повторителя".
В качестве излучателя
будет использован четверть волновой несимметричный вибратор,так
как данный тип антенн обладает ненаправленной диаграммой направленности, что в
идеале подходит для передатчика подвижной связи. Длинна
штыря составляет 0,55 метра (полуволновой вибратор).
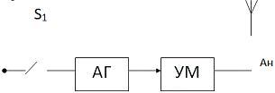
2. Разработка
структурной схемы
Согласно заданию курсового проекта, маячок
должен состоять из автогенератора, усилителя мощности и антенны.
Рис.1 Структурная схема передатчика
S1 -
ключ
АГ - автогенератор;
УМ - усилитель мощности;
Ан - антенна
. Разработка
принципиальной схемы передатчика
В качестве АГ будет выступать классическая схема
Клаппа (ёмкостная 3-х точка),собранная на транзисторе VT1
по схеме с общим эмитором, в которой присутствуют : делители напряжения (R1,R2),
блокировочный дроссель (
) необходимый для
предотвращения попадания переменной составляющей в источник питания,
разделительный конденсатор (
) необходимый для
разделения постоянной и переменной составляющих, также устраняет паразитную
ёмкость между каскадами через общий источник питания, чем повышает устойчивость
усилителей, элементы емкостной 3-х точки (L1,C1,C2,C3)
, а так же колебательный контур (Lк,Ск)
необходимый для обеспечения перехода с мягкого режима работы автогенератора в
жесткий, колебательный контур (Lэ,Сэ)
обеспечивающий температурную стабилизацию и ООС.
Усилитель мощности выполнен на транзисторе VT2
по схеме с общим эмиттером. Выходной каскад вместе с антенной состоит из
промежуточного и антенного контуров, между которыми существует трансформаторная
связь.
В данной схеме присутствуют: R3R4
-
делитель напряжения. Rэ
Cэ
обеспечивают температурную стабилизацию по постоянному току. L2C4
- промежуточный контур. Lдр
используется для исключения попадания переменной составляющей в источник
питания. Антенный и промежуточный контур связаны трансформаторной связью.
Элементы Lсв,
Lн,
СА образуют антенный колебательный контур. Миллиамперметр
используется для настройки антенного контура в резонанс. C5
и Lн
- элементы настройки.
Антенна имеет активную нагрузку rA
и
ёмкость
СА. Хш используется при больших значениях rA
для получения сильной связи антенного и промежуточного контуров.
4. Расчёт
автогенератора
Автогенератор выполняется по схеме Клаппа. Для
его расчета зададимся следующими параметрами:
f0=
15 МГц
QХХ=
250;
L1=
6,0 мкГн
RН=
3 кОм
CСВ=
пФ
Выходной нагрузкой автогенератора служит
резисторный делитель R3R4,
общее сопротивление которого определится как RН.
Произведём пересчёт параметров последовательной RC-цепочки
в параллельную.
Полное сопротивление последовательной цепи на f
=28,2·106 Гц.
кОм
Соотношение сопротивлений на частоте f.
Общее выражение для параллельной RC-цепи.

3кОм
пФ
Частота колебательно контура
Определяется по формуле
Выразим
:
пФ
Результирующую ёмкость контура можно
представить в виде
,
где
.
Коэффициент включения коллектора транзистора в
коллекторную систему АГ выбирают как правило p=0.2..0.5.
пФ
Коэффициент обратной связи АГ
принимают, как правило Koc = 1.
пФ
Определим значения емкостей
и
.
пФ
0 пФ
Определим характеристическое сопротивление
контура АГ.
;
(Ом)
- эквивалентное сопротивление нагрузки коллектора
радиолюбительский маяк автогенератор антенна
;
(Ом)
кОм
5. Расчёт
усилителя мощности
Расчёт транзисторного усилителя мощности,
выполненного по схеме с ОЭ на транзисторе типа КТ904А с выходной мощностью
при
частоте
и
температуре корпуса транзистора
.
. На основании справочных данных
выписываются усредненные значения основных электрических параметров КТ904А,
необходимые для осуществления расчёта усилителя мощности РПУ:
.1. Крутизна статистической характеристики
коллекторного тока
.
.2. Крутизна линии критического режима
1.3. Граничная частота
.4. Сопротивление базы
1.5. Индуктивность эмиттерного вывода
. Значение частоты
относиться
к области высших частот. Выбираем критический режим работы усилителя мощности.
Принимаем напряжение питания
и угол отсечки
.
. Определяем дополнительные параметры
транзистора. Крутизна по эмиттерному переходу:
4. Эквивалентная ёмкость эмиттерного
перехода в открытом состоянии:
5. Ёмкость эмиттерного перехода в закрытом
состоянии при
.
6. Коэффициент:
Сопротивление:
7. Постоянная времени при открытом
эмиттерном переходе:
. Постоянная времени при закрытом
эмиттерном переходе:
. Характерные значения
частот:
10. Обобщенные параметры при
:
Угол отсечки
Согласно
графику рис. 2 при
с учётом
поправочного коэффициента
имеет
.
.
Рис.1 - График функции угла отсечки φвч
-
1 - при ωτз
≈
0, 2 - при τз
= τ0
11. Обобщенные коэффициенты для первой
гармоники:
для постоянной составляющей:
Значение
определено
по графику рис. 3 с учётом поправочного коэффициента
.
Рис.2 - График функции коэффициента КА -
1 - при ωτз
≈
0, 2 - при τз
= τ0
12. Коэффициент использования напряжения в
критическом режиме:
13. Амплитуда напряжения высокой частоты на
коллекторе:
14. Амплитуда первой гармоники коллекторного
тока:
. Требуемое сопротивление
коллекторной нагрузки:
16. Постоянная составляющая
коллекторного тока:
17. Мощность, потребляемая на коллекторной
цепи:
. Мощность, рассеиваемая на
коллекторе:
19. Величина КПД по коллекторной цепи:
20. Требуемая амплитуда напряжения на входе
транзистора:
. Требуемая мощность
возбуждения:
млВт
. Коэффициент усиления по
мощности:
23. Суммарная мощность, рассеиваемая в
приборе:
Вт
. Температура перехода:
6. Расчёт
сложной схемы антенного контура
Согласно индивидуальному заданию f=28,2
МГц.
Зададимся необходимыми параметрами
для расчёта:
rА=
125 Ом;
СА=0,4 нФ;
С=510 пФ;
LН/LСВ=0,25.
Активное сопротивление антенного контура на
резонансной частоте будет определяться активным сопротивлением антенны.
Следовательно rАК
≈ rА.
Так как rА>100,
то требуется сильная связь антенного и промежуточных контуров. Следовательно
необходимо наличие шунтирующего сопротивления.
Рассчитаем сопротивление шунта:
;
;
Ом;
Знак "-" свидетельствует о емкостном
характере нагрузки. Найдем её значение:
;
Ом.
;
пФ.
Рассчитаем оставшиеся элементы:
;
нГн;
нГн;
;
;
;
нГн;
нГн.
Заключение
В данной курсовой работе была
выполнена поставленная цель - разработана принципиальная и структурная схемы
любительского радиомаячка. Надёжность и экономичность РПУ была основной задачей
работы, что и было достигнуто. Простоту работы устройства обеспечивает
подобранная простая элементная база. Разработанное РПУ может использоваться для
вещания в эфир информации на фиксированной частоте.
Список используемой литературы
1. Окунь Е.Л. Радиопередающие
устройства. изд. 4-е, перераб. и доп. Учебник для
техникумов.-М.: Сов. радио, 1973.
2. Каганов В.И. Транзисторные
радиопередатчики.-М., Энергия, 1970.
. Гоноровский И.С.
Радиотехнические цепи и сигналы. Часть II.-М.:
"Сов. радио", 1967.
. Шахгильдян В.В.
Проектирование радиопередатчиков, 2000.
. Полупроводниковые приборы
транзисторы, 1985 Н.Н. Горюнова