|
Название
|
Обозначение
|
Характеристика
|
|
Сопротивление
|
|
|
|
Конденсатор
|
|
|
|
Источник питания
|
|
|
|
Транзистор
|
|
3. Расчёт схемы по постоянному току
Независимо от типов электронных приборов, применяемых в усилителе,
принцип усиления остается единым и сводится к тому, что в цепи, в состав
которой входит активный электронный прибор, устанавливаются определенные
постоянные токи. Этот режим работы называют режим по постоянному току. Он
характеризуется постоянным падением напряжения на компонентах, входимых в состав
усилительного каскада. При подаче сигнала переменного тока на управляющие
электроды активного прибора ток в цепях начинает изменятся в соответствии с
приложенным сигналом. Этот переменный ток создает переменное падение напряжения
на компонентах.
Определить ток и падение напряжения нелинейной цепи можно аналитическим и
графоаналитическим методами. Последний широко распространен в электронике в
связи с тем, что позволяет проводить расчеты с помощью экспериментально
определенных характеристик электронного прибора.
При использовании графоаналитического метода строится линия нагрузки по
постоянному току. Она представляет собой ВАХ той части обобщенной цепи, в
состав которой не входит нелинейный, управляемый внешним сигналом активный
прибор.
, т.к.
, то
Последнее
уравнение и есть уравнение линии нагрузки, которая наносится на выходные ВАХ
транзистора.
При
=0,
При
,
При
этом выбираем рабочую точку, достраивая ВАХ. Получаем IКА=1мА, UКЭА=1,5В,
Iбрт=10мкА. По входной ВАХ определяем Uбэ=0,55 В.
Построим
линию нагрузки.
4.
Идентификация моделей компонентов
При
представлении транзистора как четырехполюсника чаще всего используется схема
h-параметров, которые измеряются для транзистора со стороны внешних зажимов как
отношения токов и напряжений в зажимах.
схема
биполярного транзистора как четырёхполюсника.
Составим
для этой схемы систему уравнений:
где
h11 - входное сопротивление транзистора, как четырехполюсника12
- коэффициент внутренней обратной связи по напряжению 21 -
коэффициент прямой передачи тока 22 - обратная проводимость
транзистора как четырехполюсника
По
ВАХ транзистора определим эти параметры. Для схемы с ОЭ:
По
найденным коэффициентам определим параметры эквивалентной схемы замещения
транзистора. А б
кОм
,
,
мВ
Ом
Ом
Найдём
ёмкости 

Где

Найдём
тепловые токи транзистора
,
,
,:
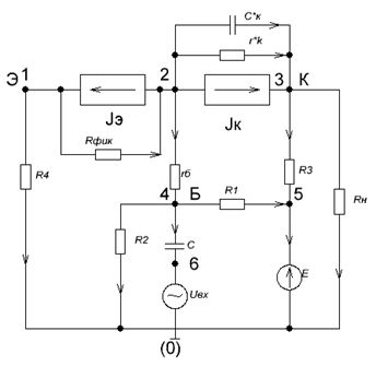
5. Топологическое описание схемы
Топология электрических схем - это способ соединения отдельных
компонентов схем (конфигурации схем).
Топологическое описание схемы выполняется разными способами, например,
графами. Граф - это совокупность отрезков произвольной длины и формы,
называемых ветвями (ребрами) и точек пересечения ветвей - вершин.
Для составления графа воспользуемся эквивалентной схемой. Такой моделью
будет - модель Молла-Эберса.
Эквивалентная схема замещения
Составим граф схемы замещения и сразу выделим дерево графа.
Граф схемы
Составим матрицу F.
Также определим вид матриц -F и FT

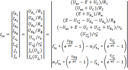
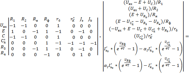
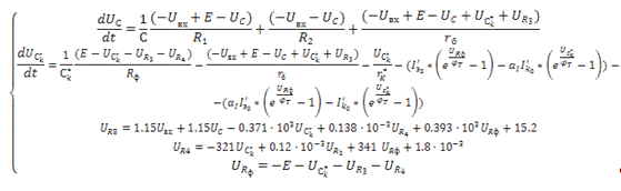
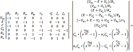
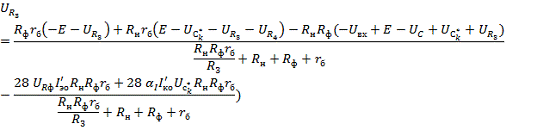
6. Математическая модель схемы
Сформируем вектор UСВ
по известному
вектору UВ:
Найдём
напряжения на связях по формуле Uсв=-F
Uв:

Это
эквивалентно следующей системе уравнений:
Подставим
найденные напряжения ветвей связи в ММК:

;
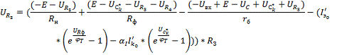
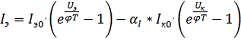
Откуда токи связей:
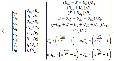
Найдем токи ветвей, используя соотношение IB = FT * ICB:
=
=
Это
эквивалентно следующей системе уравнений:
Подставим
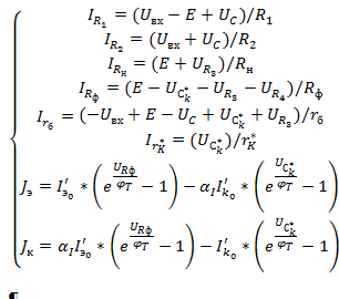
найденные токи связей в уравнения токов ветвей:
Полученные
уравнения подставим в математические модели компонентов с учетом того, что IUвх и
подставлять не нужно:
Данная
система является математической моделью схемы. Она состоит из двух
дифференциальных и двух линейных уравнений.
Представим

через
переменные состояния.


Представим

через
переменные состояния.
В
итоге получаем:
7.
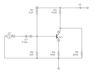
Моделирование схемы с применением ППП "MicroCap"
Схема
имеет вид:
Передаточная характеристика:
Входной и выходной сигналы:
Графики зависимости выходного сигнала от входного в режиме анализа
переходного процесса Transient ( на частоте 90 Гц)
Заключение
ток транзистор каскад эмиттер
В данной курсовой работе было произведено рассмотрение усилительного
каскада с общим эмиттером с распределенной нагрузкой. Рассмотренный усилитель
соответствует данным технического задания. Также был произведен расчет токов и
напряжений для всех элементов схемы методом постоянных состояния. С помощью ЭВМ
были смоделировали переходные и частотные характеристики каскада в ППП
"MicroCap". Результаты моделирования отражают статический и
усилительный режим работы транзистора, а также доказывают, что каскад с общим
эмиттером инвертирует фазу входного сигнала.
Библиографический список
1. Ногин В.Н. Аналоговые электронные устройства: Уч. пособие,
М. 1992.
. Справочники по полупроводниковым приборам (В.Ю. Лавриенко,
А.В. Голомедов, Н.Н. Горюнов и др.)
. Баскакова И.В. Лекции по основам электронике и
электротехники, 2011 г.