Совершенствование процесса стратегического управления на примере предприятия ЗАО 'Конфи'

  • Вид работы:
    Дипломная (ВКР)
  • Предмет:
    Менеджмент
  • Язык:
    Русский
    ,
    Формат файла:
    MS Word
    70,92 kb
  • Опубликовано:
    2011-07-15
Вы можете узнать стоимость помощи в написании студенческой работы.
Помощь в написании работы, которую точно примут!

Совершенствование процесса стратегического управления на примере предприятия ЗАО 'Конфи'

Содержание

Введение

1. Общая характеристика предприятия

2. Анализ внутренней среды предприятия

2.1 Оценка исходного состояния предприятия

2.2 Анализ морального состояния и продуктивности коллектива в зависимости от стадии развития коллектива

2.3 Определение фактического уровня знаний и умений лидера, команды и коллектива предприятия

2.4 Выявление стратегических способностей работников

2.5 Выявление внутри предприятия возможных элементов и «стратегического встраивания» в партнерские связи

3. Анализ внешней среды предприятия

3.1 SWOT-анализ. Структурирование возможностей и опасностей

3.2 Определение возможностей увеличения доли рынка

3.3 Определение возможностей выхода на новые рынки

3.4 Определение возможностей «стратегического встраивания» в партнерские связи

3.5 Определение емкости рынка (сегмента)

3.6 Экспресс-оценка состояния сбытовой деятельности

3.7 Анализ клиентских потребностей

4. Разработка «стратегии встраивания» в партнерские связи

4.1 Развитие приемлемого и стратегического уровня знаний и умений лидера, команды

4.2 Развитие приемлемого и стратегического уровня знаний и умений кадрового резерва

4.3 Распределение полномочий между лидером и командой при разработке стратегии

4.4 Группировка товарных ценностей по балансу

4.5 Обеспечение постоянства клиентов и выход на новых потребителей

4.6 Формирование цепочек «стратегического встраивания» в партнерские связи

4.7 Составление программ изготовления и продаж товара

4.8 Выбор стратегического подхода на международных рынках

Заключение

Библиографический список

Приложения

Введение


Любая организация находится и функционирует в среде. Каждое действие всех без исключения организаций возможно только в том случае, если среда допускает его осуществление.

Внешняя среда является источником, питающим организацию ресурсами, необходимыми для поддержания ее внутреннего потенциала на должном уровне. Организация находится в состоянии постоянного обмена с внешней средой, обеспечивая тем самым себе возможность выживания. Задача стратегического управления состоит в обеспечении такого взаимодействия организации со средой, которое позволяло бы ей поддерживать ее потенциал на уровне, необходимом для достижения ее целей, и тем самым давало бы ей возможность выживать в долгосрочной перспективе.

Для того чтобы определить стратегию поведения организации и провести эту стратегию в жизнь, руководство должно иметь углубленное представление не только о внутренней среде организации, ее потенциале и тенденциях развития, но и о внешней среде, тенденциях ее развития и месте, занимаемом в ней организацией. При этом внешнее окружение изучается стратегическим управлением в первую очередь для того, чтобы вскрыть те угрозы и возможности, которые организация должна учитывать при определении своих целей и при их достижении. Поэтому исследование стратегического управления организацией сегодня выступает весьма актуальным.

В связи с актуальностью данная тема была выбрана для исследования в работе.

Целью работы выступает исследование процесса стратегического управления на примере предприятия ЗАО «Конфи».

Поставленная цель конкретизируется рядом задач:

. рассмотреть общую характеристику предприятия

. провести анализ внутренней среды предприятия

. провести анализ внешней среды предприятия

. разработать стратегию «встраивания» в партнерские связи

Объектом исследования в работе выступает организация ЗАО «Конфи» - один из известных производителей шоколадной продукции на территории г. Новосибирска.

В рамках данной работы предлагается достаточно новая для предприятия стратегия «встраивания» в партнерские связи, в то время как ранее использовались стандартные стратегии, представленные в литературе по стратегическому менеджменту.

В результате реализации на предприятии предлагаемой стратегии возможно увеличение объемов продаж и совершенствование производственного процесса на предприятии на сегодняшний день.

Структура курсового проекта отвечает требованиям логики разработки стратегии. В начале работы дается краткое описание предприятия и его современное состояние. Далее проводится анализ внешней и внутренней среды предприятия. На основе результатов анализа предлагается к внедрению стратегия «Встраивания» в партнерские связи.

1. Общая характеристика предприятия


В качестве объекта исследования в данной работе выступает кондитерская организация Закрытое акционерное общество «Конфи», которое было основано и зарегистрировано в Новосибирской городской регистрационной палате 8 июня 1998 года (свидетельство № 15763).

Местонахождение общества: г. Новосибирск, ул. Степная 5.

Основная цель деятельности ЗАО «Конфи» - получение прибыли и наиболее полное удовлетворение потребности населения в кондитерских изделиях.

Основной вид деятельности организации, согласно Уставу предприятия производство кондитерских изделий.

Кондитерские изделия организации на рынке отличаются индивидуальным дизайном и неповторимостью вкуса, что является большим преимуществом для потребителей.

В процессе производства и реализации продукции свои собственные ресурсы (прибыль, оборотные средства и т. д.), а также планирует привлечение определенной доли заемных средств в банках.

В процессе планирования руководство учло возможность возникновения ряда финансово- экономических рисков. Для их устранения в организации используется страхованием части рисков. Краткосрочная стратегия организации на сегодняшний день заключается в завоевании доли рынка кондитерских изделий, краткосрочная стратегия состоит в укреплении своих позиций и захвате существенной доли рынка. Уже в ближайший плановый год (2011 год) организация, судя по проведенным расчетам, планирует получить прибыль, превышающую значение предшествующих лет более чем в 6- 7 раз. Бухгалтерский баланс организации представлен в приложениях 1и 2.

Как прописано в Уставе, ЗАО «Конфи», основной вид деятельности - производство сахаристых кондитерских изделий (конфет, шоколада, ириса, восточных сладостей). Организация является универсальным кондитерским предприятием. Управленческий персонал организации весьма квалифицирован в области исследований рынка кондитерских изделий, что весьма положительно сказывается на хозяйственной деятельности организации. На сегодняшний день по большинству экономических показателей (рентабельность, ликвидность, платежеспособность) ЗАО «Конфи» можно считать вполне процветающим и устойчивым в финансовом плане. В целом, финансовое положение ЗАО «Конфи» на сегодняшний день является устойчивым, о чем свидетельствует ряд финансовых показателей на сегодняшний день.

Основная стратегия фирмы «Конфи» сегодня- это стратегия прибыли. Так как организация находится на зрелой стадии жизненного цикла, когда конкуренция уже достаточно стабильна и темпы роста рынка уже слегка замедлены, то основной целью компании становится повышение ее рентабельности, а не рост (хотя рост по- прежнему продолжается, как и освоение новых сегментов). Инвестиции в организации сохраняются на уровне, необходимом для поддержания соответствующих объемов, а прибыль доведена до максимума. Повышение рентабельности в организации достигается в результате квалифицированной сегментации рынка и эффективного использования имеющихся активов. Для повышения эффективности использования ресурсов в организации определяются те капиталовложения, где расходы могут быть снижены, доходы увеличены, и потенциал синергетического эффекта предельно используется. Можно сказать, что стратегия роста прибыли в компании «Конфи» успешно разработана, так как в итоге она приводит к увеличению положительного потока денежной наличности в организации.

Основными задачами компании «Конфи» на современном этапе является организация единых органов снабжения и сбыта; улучшение качества продукции, расширении ассортимента, модернизации знакомых сортов с целью более точного удовлетворения требований потребителя и разработка новых сортов.

 

2. Анализ внутренней среды предприятия

 

.1 Оценка исходного состояния предприятия


Основной финансовый результат деятельности организации - выручка от реализации. В приложении 3 представлен отчет о прибылях и убытках организации в агрегированной форме.

В таблице 1 отражена динамика основных показателей финансовых результатов деятельности организации.

Таблица 1

Динамика основных финансовых показателей ЗАО «Конфи», тыс. руб.

№ п/п

Наименование показателя

2009 год

2010 год

Динамика

1

Выручка от реализации

4679,00

6324,00

1645,00

2

Валовая прибыль

432,00

1059,00

627,00

3

Прибыль от продаж

432,00

1059,00

627,00

4

Прибыль до налогообложения

499,00

1240,00

741,00

5

Прибыль от обычной деятельности

487,00

1197,00

710,00

6

Чистая прибыль

487,00

1197,00

710,00


Как видно из таблицы 1, в 2009 году наблюдался рост всех показателей прибыли и финансовых результатов деятельности предприятия. Значение чистой прибыли в 2010 году выросло на 710 руб., что означает, что организация работает хорошо.

В таблице 2 отражены основные показатели эффективности деятельности предприятия в 2009- 2010 годах

Таблица 2

Показатели эффективности деятельности ЗАО «Конфи» в 2009- 2010 годах

Наименование показателей

Значение, руб.


2009 год

2010 год

Рентабельность продукции

1,16

3,46

Рентабельность продаж

1,16

3,46

Рентабельность производства

1,12

9,8

Рентабельность предприятия

1,95

2,46

Рентабельность собственного капитала

1,063

9,42

Рентабельность акционерного капитала

12,3

19,7


Как видно из таблицы 2, в 2010 году происходит рост всех показателей эффективности производства предприятия. Особенно резко растет значение рентабельности собственного капитала (с 1,063% до 9,42 %) и производства (с 1,12 % до 9,8%). В целом, организацию можно назвать процветающей в связи с соответствием рентабельностей рекомендуемым значениям.

Таким образом, деятельность ЗАО «Конфи» в целом можно охарактеризовать с положительной точки зрения, так как практически по всем основным показателям наблюдается рост и соответствие нормативным значениям.

 

.2 Анализ морального состояния и продуктивности коллектива в зависимости от стадии развития коллектива


Анализ морального состояния

Определение степени сплоченности коллектива при анализе морального состояния можно проводить на основе социометрических исследований по методике Дж. Морено[6,с. 188].

Исходными данными для проведения расчетов служат результаты социометрического опроса, при котором каждому опрашиваемому вручается социометрическая карточка в виде таблицы 3.

Таблица 3

Пример социометрического опроса в группе ЗАО «Конфи»

№ п\п

Кто выбирается

Кого выбирают среди членов группы

Количество отданных голосов



Серов

Ардов

Кучеров

Дуров

Смехов

Петров

+

_

Всего

1

Серов


+

_-

0

0

-

1

2

3


Из таблицы 4 видно, что члены группы: Серов, Кучеров, Дуров, Смехов, Петров проявляют умеренную потребность в общении, Ардов обнаруживает самую наименьшую потребность в общении.

Таблица 4

Результаты социометрического опроса в группе ЗАО «Конфи»

№ п\п

Кто выбирается

Кого выбирают среди членов группы

Количество отданных голосов



Серов

Ардов

Кучеров

Дуров

Смехов

Петров

+

_

Всего

1

Серов


+

-

0

0

-

1

2

3

2

Ардов

0


0

0

0

+

1

0

1

3

Кучеров

0

+


+

+

0

3

0

3

4

Дуров

0

0

+


+

0

2

0

2

5

Смехов

0

0

+

+


0

2

0

2

6

Петров

-

0

+

0

0


1

1

2

Кол. Полученных выборов

+

0

2

3

2

2

1

10

-

-


-

1

0

1

0

0

1

-

3

-


Всего

1

2

4

2

2

2

-

-

13


Структура анализируемых отношений в группе ЗАО «Конфи» представлена на рисунке ниже.

Рис. 1. Социограмма отношений в группе

Обозначения на рисунке:

                            Положительное отношение

                            Отрицательное отношение

                            Взаимно-положительное отношение

                                      Взаимно отрицательное отношение

Сплоченность группы может быть охарактеризована соотношением положительных, отрицательных и нейтральных выбросов.

Используя исходные данные, можно получить соотношения, представленные в таблице 5.

Таблица 5

Сплоченность группы

Всего получено выборов по группе

В том числе

Шт.

%

положительных

отрицательных

нейтральных



Шт.

%

Шт.

%

Шт.

%

30

100

10

33

3

10

17

57


По полученным результатам группа характеризуется средней степенью сплоченности (57 % составляют нейтральные выборы, и только 33 % - положительные выборы).

Интегральную характеристику сплоченности группы можно получить с помощью индекса сплоченности группы:

И гр = ((ВП - ВО): (Н*(Н-1))* 100                                         (1)

Где ВП - количество взаимно- положительных выборов в группе

ВО - количество взаимно- отрицательных выборов в группе

Н - количество членов группы, участвующих в опросе

И гр = ((6-2)::*(6-1)) * 100 = 13 (%)

Подученное значение подтверждает вывод о невысоком уровне сплоченности группы.

Анализ продуктивности коллектива в зависимости от стадии развития коллектива

В целом данные анализа состояния социально- психологического климата и продуктивности в организации можно получить при проведении анкетного опроса среди сотрудников по форме анкеты, представленной в приложении 4.

По опроснику, представленному в приложении 4, были опрошены 10 сотрудников компании и результаты, полученные при этом, были обработаны следующим образом[2,с. 190]:

1)      по каждому вопросу первый вариант ответа оценивается в 5 баллов, второй - 4 балла, 3 - 3 балл, 4 - 2 балла, 5 - 1 балл.

2)      Составляется итоговая таблица по результатам расстановки баллов по каждому вопросу (первый вопрос не оценивается никак)

Таблица 6

Результаты анкетирования 10 опрошенных

Номер вопроса

Результаты опроса (5 балльная шкала) по респондентам

 Сумма баллов по вопросу

 Средний балл по вопросу


1 опрошенный

2 опрошенный

3 опрошенный

4 опрошенный

5 опрошенный

6 опрошенный

7 опрошенный

8 опрошенный

9 опрошенный

10 опрошенный



2

5

5

1

3

1

2

2

1

4

4

28

2,8

3

4

4

2

4

2

3

2

1

5

4

31

3,1

4

5

2

3

2

2

4

1

5

5

32

3,2

5

5

1

4

5

2

5

3

1

5

3

34

3,4

6

3

1

5

1

2

5

3

1

5

3

29

2,9

7

2

5

5

3

4

5

4

1

4

3

36

3,6

8

5

4

5

4

4

2

5

1

4

3

37

3,7

9

4

5

3

5

4

1

5

1

5

2

35

3,5

10

5

1

4

2

5

1

5

1

4

3

31

3,1


В таблице средняя оценка по каждому вопросу определяется как деление общей сумы балов по каждому вопросу на количество опрошенных (10 человек).

Рис. 2. Сравнение средних оценок по каждому вопросу

Как видно из рисунка 2, наибольший средний балл среди опрошенных получил вопрос № 8, а наименьший - вопрос № 2.

) Рассчитываем средний балл в целом по организации делением общей суммы средних баллов на количество оцениваемых вопросов:

,3/ 9 = 3,26 (балла).

) Дадим характеристику организации по среднему баллу

Таблица 7

Ранжирование по среднему баллу

Средний балл

Характеристика

от 0 до 1

Стадия появления коллектива. Социально- психологический климат в организации очень напряженный, надо срочно принимать меры, иначе коллектив развалиться

от 1 до 2

Стадия роста коллектива. Социально- психологический климат все же требует пересмотра по ряду компонентов, так как оставляет желать лучшего

от 2 до 3

Стадия развития коллектива. Социально- психологический климат по большинству показателей можно охарактеризовать положительно, но много недостатков

от 3 до 4

Стадия зрелости коллектива. Социально- психологический климат отвечает нормам

от 4 до 5

Самая наивысшая стадия развития коллектива. Очень благоприятная обстановка в коллективе


Согласно данным таблицы 7, можно сделать вывод, что социально- психологический климат, сложившийся в организации на сегодня весьма благоприятен и находится на стадии зрелости коллектива.

 

.3 Определение фактического уровня знаний и умений лидера, команды и коллектива предприятия


Рассмотрим более подробно методику проведения оценки личностных характеристик кандидата при отборе, используемую в ЗАО «Конфи» на конкретном примере - оценка кандидата на должность главного бухгалтера.

Этапы проведения экспертной оценки[8, 15 и др.]:

1)      выбор менеджера для его оценки

Для исследования в данной работе выбран кандидат - Семенова О.П. Образование - высшее профессиональное. Стаж работы по специальности - 5 лет. Возраст - 32 года. Обладает рядом наиболее ярких и сильных характеристик личности.

2)      выбор группы экспертов (о 5 до 9 человек) среди членов руководства и директоров других отделов организации. Обязательные требования к экспертам:

- должны хорошо знать Семенову О.П.;

должны находиться на том же уровне управления, что и Семенова О.П.;

должны уметь отстаивать свое мнение.

) Разработка листа для оценки качеств кандидата в форме анкеты приложения 5

В результате проведенного опроса о качествах кандидата Семеновой О.П. были получены результаты, представленные в таблице 8

Таблица 8

Суммарная оценка качеств по проведенному опросу

Группа качеств

Фактическое набранное количество баллов (средняя оценка по всем экспертам)

Максимально возможное количество баллов

Коэффициент или оценка

1. Личностные качества и моральные

29

35

0,83

2. Профессиональная подготовка и навыки

31

35

0,89

3. Умение организовывать свой труд и труд подчиненных

31

35

0,89

4. Общение с подчинен.

29

35

0,83

Итого

120

140

0,86


Таким образом, на 86 % качества Семеновой О.П. соответствуют должности бухгалтера.

Далее проводим анализ навыков и умений команды и коллектива в целом при разрешении различных конфликтных ситуаций в организации.

Определение типов умений и навыков в поведении людей в конфликте проводим с использованием методики К. Томаса [1,с.109]

Для использования методики Томаса необходимо провести анкетирование в форме приложения 6.

Обработка полученных результатов

После того, как каждый испытываемый заполнит бланк для ответов (приложение 7), его можно расшифровать с помощью ключа (приложение 8). В ключе каждый ответ А или В дает представление о количественном выражении соперничества, сотрудничества, компромисса, избегания и приспособления.

Результаты анкетирования по 8 сотрудникам представлены ниже в (образец в приложении 9.

ВЫВОД по 1 сотруднику: избегание - 6 шт., компромисс - 7 шт., приспособление - 6 шт., сотрудничество - 5 шт., соперничество - 6 шт.

Как видно у сотрудника № 1 в набольшей степени проявляется качество компромисса.

ВЫВОД по 2 сотруднику: избегание - 9 шт., компромисс- 4 шт., сотрудничество - 5 шт., соперничество - 9 шт., приспособление - 3 шт. В наибольшей степени проявляются качества: соперничество и избегание.

ВЫВОД по 3 сотруднику: избегание - 7 шт., соперничество - 7 шт., сотрудничество - 6 шт., приспособление - 5 шт., компромисс - 5 шт. В наибольшей степени проявляются качества: избегания и соперничества

ВЫВОД по 4 сотруднику: избегание - 8 шт., сотрудничество - 4 шт., соперничество- 6 шт., компромисс - 6 шт., приспособление - 6шт. В наибольшей степени проявляется избегание.

ВЫВОД по 5 сотруднику: соперничество - 5 шт., сотрудничество - 6шт., избегание - 7 шт., компромисс - 5 шт., приспособление - 7 шт.. В наибольшей степени проявляются избегание и приспособление.

ВЫВОДЫ по 6 сотруднику: сотрудничество - 6 шт., соперничество - 4 шт., приспособление- 4 шт., компромисс - 8 шт., избегание - 8 шт. В набольшей степени проявляется компромисс и избегание.

ВЫВОД по 7 сотруднику: избегание- 8 шт., сотрудничество - 5 шт., компромисс- 3 шт., соперничество - 7 шт., приспособление - 7 шт., В наибольшей степени проявляется избегание.

Таким образом, можно сделать вывод, что в большинстве случаев при решении конфликтов в ЗАО «Конфи» сотрудники применяют качества и умения, характерные для тактики избежания и компромисса. Тактика соперничества используется очень редко.

 

.4 Выявление стратегических способностей работников


В рамках данного параграфа проводим SWOT - анализ на выявление стратегических способностей работников внутри организации.

SWOT - анализ заключается в выявлении сил и слабостей работников организации[16,с. 234].

В таблице 9 приведен пример SWOT- анализа при выявлении стратегических способностей работников.

Для выявления стратегических способностей в организации было проведено анкетирование. В результате после обработки были получены средние значения по параметрам оценки способностей по сравнению с организациями - конкурентами[11, с. 65]:

Таблица 9

SWOT-анализ при выявлении стратегических способностей работников

Внешняя среда

Возможности O 1.Расширение объемов товара в следующем году 2. в офисе намечается празднование 5-летия существования предприятия 3. Посещение в следующем месяце мероприятий по обучению руководства и управления людьми

Угрозы T 1. У конкурентов выше объемы производства и ассортимент

Внутренняя среда



Сильные стороны S 1.семь лет опыта работы руководителя организации  2. Внимание к деталям со стороны руководства 3. Хорошие деловые отношения с начальством в организации

Реализация возможностей SO 1.использование опыта работы наиболее старших работников  2. повышение квалификации работников

Избежание угроз ST 1.использование умений опытных работников для привлечения посетителей и постоянных клиентов

Слабые стороны W 1. Нетерпение 2. Конфликты с некоторыми работникам

Упущенные возможности WO 1. в организации были случаи, когда из-за конфликтов уходили очень ценные и умелые работники

Опасное сочетание WT 1.уход опытных специалистов из- за отсутствия необходимого стимулирования труда (в частности, заработной платы)


Таблица 10

Оценка стратегических способностей работников в ЗАО «Конфи» по сравнению с показателями у основных конкурентов

                           Фирма

ЗАО «Конфи»

ЗАО «Сластена»

ЗАО «Конфета»

ЗАО«Сладкоежка»

ОАО «Корона»

1. Средний срок пребывания в одной должности 2. Степень участия работников в каждом виде продвижения 3. Степень независимости каждого вида продвижения 4. Качество подбора отдельных кандидатов на продвижение

7,1   6,8    6,5    3,2

7,4   6,7    5,8    3,5

5,0   4,8    4,1    1,7

3,8   3,1    4,3    2,1

5,0   4,9    4,5    2,0


Таблица 11

Результирующая таблица

Фирма Свойства

вес

ЗАО «Конфи»

ЗАО «Сластена»

ЗАО «Конфета»

ЗАО«Сладкоежка»

ОАО «Корона»



н.о.

в.о.

н.о.

в.о.

н.о.

в.о.

н.о.

в.о.

н.о.

в.о

Средний срок пребывания в одной должности

0,4

7,1

2,84

7,4

2,96

5

2

3,8

1,52

5

2

Степень участия работников в каждом виде продвижения

0,3

6,8

2,04

6,7

2,01

4,8

1,44

3,1

0,93

4,9

1,47

Степень независимости каждого вида продвижения

0,2

6,5

1,3

5,8

1,16

4,1

0,82

4,3

0,86

4,5

0,9

Качество подбора отдельных кандидатов на продвижение

0,1

3,2

0,32

3,5

0,35

1,7

0,17

2,1

0,21

2

0,2


Анализируя интегральную взвешенную оценку конкурентоспособности ЗАО «Конфи» по показателям стратегических способностей работников можно отметить, что организация уступает только ЗАО «Сластена» по показателю среднего срока пребывания в одной должности.

 

.5 Выявление внутри предприятия возможных элементов и «стратегического встраивания» в партнерские связи


Основными элементами стратегии «встраивания» внутри предприятия ЗАО «Конфи» выступают мероприятия по налаживанию партнерских связей между подчиненными и руководством, среди которых можно выделить:

. внимание руководства к предложениям работников по вопросам оптимальной организации трудового процесса

. общение и дискуссии между руководством и работниками в виде еженедельного проведения семинаров и встреч с руководителем предприятия.

 

3. Анализ внешней среды предприятия

 

.1 SWOT-анализ. Структурирование возможностей и опасностей


SWOT - анализ заключается в выявлении сил и слабостей фирмы путем сравнения своего продукта с продуктами конкурентов по наиболее значимым параметрам.

В результате проведения опроса среди потребителей были получены средние значения по всем потребителям.

Таблица 11

Результаты анкетирования для выявления оценок потребления конфет

                             Фирма

Конфи

Русская конфета

Нока-М

Вариант

 Гулливер

Цена Вкус Упаковка Вид фасовки

7,1 6,8 6,5 3,2

7,4 6,7 5,8 3,5

5,0 4,8 4,1 1,7

3,8 3,1 4,3 2,1

5,0 4,9 4,5 2,0


Таблица 12 является результирующей.

Таблица 12

Результирующая таблица

                         Фирма Свойства

вес

Конфи

Русская конфета

Нока-М

Вариант

 Гулливер



н.о.

в.о.

н.о.

в.о.

н.о.

в.о.

н.о.

в.о.

н.о.

в.о

вкус

0,4

7,1

2,84

7,4

2,96

5

2

3,8

1,52

5

2

цена

0,3

6,8

2,04

6,7

2,01

4,8

1,44

3,1

0,93

4,9

1,47

упаковка

0,2

6,5

1,3

5,8

1,16

4,1

0,82

4,3

0,86

4,5

0,9

вид фасовки

0,1

3,2

0,32

3,5

0,35

1,7

0,17

2,1

0,21

2

0,2


1

23,6

6,5

23,4

6,48

15,6

4,43

13,3

16,4

4,57


Рис. 3. Оценка различных свойств конфет компании «Конфи»

Анализируя интегральную взвешенную оценку конкурентоспособности производимых компанией «Конфи» кондитерских изделий можно сказать, что продукция уступает по некоторым параметрам лишь продукции компании “Русская конфета”.

 

.2 Определение возможностей увеличения доли рынка


По подсчетам Союза кондитеров России, в прошлом году производство кондитерских изделий выросло на 5 %.

Этот рыночный сегмент динамично развивается, растет и производство, и потребление. Если для 90-х годов было характерно буквально взрывное увеличение числа операторов, то сейчас новые производители появляются все реже. Нынче "новости с фронтов" сводятся, скорее, к сообщениям о реструктурировании: кто-то укрупняется, объединяясь в союзы и альянсы, а кто-то сходит с арены.

В экономической литературе изучена динамика основных показателей исследуемого рыночного сегмента производства и реализации кондитерских изделий, которая отражена на рисунке 4.

Рис. 4. Годовые объемы производства кондитерских изделий в России в 1990- 2010 годах.

Как видно из рисунка 4, к началу 90-х годов рынок производства кондитерских изделий во времена существования плановой системы хозяйствования был развит достаточно хорошо. В связи с переходом на рыночные рельсы, экономика страны попала в серьезный кризис, большинство предприятий не смогли существовать в новых условиях. Поэтому к середине 90 - х годов наблюдается тенденция падения объемов продаж. Однако ситуация в отрасли после 1997 ода меняется в лучшую сторону в связи с рядом положительных тенденций в политической и экономической жизни страны.

В настоящее время российский рынок кондитерских изделий растет, хоть и медленными темпами. По оценкам экспертов, за прошлый год потребление кондитерских изделий выросло почти на 10 %.

Однако, все же положение многих средних и мелких фирм - производителей в отрасли достаточно сложное. Дорожает сырье, приходится выдерживать серьезную конкуренцию с более крупными производителями. Тем не менее, производство кондитерских изделий как отрасль промышленности является высокорентабельным.

3.3 Определение возможностей выхода на новые рынки


Непростая экономическая ситуация (низкая платежеспособность населения, высокие ставки налогов и ставки платы за кредиты, высокая стоимость сырья и энергоресурсов) привела к резкому спаду производства на отечественных предприятиях и, следовательно, к уменьшению коэффициента использования производственных мощностей[8, с. 133].

Изменение курса рубля в августе 1998 года серьезно повлияло на рынок кондитерских изделий. Прекратились поставки сырья в кредит, что привело к остановке некоторых заводов и переходу на одну смену работы. Производители оказались в жестокой зависимости от поставщиков сырья (шоколада, молока и прочих ингредиентов). Если сырье подорожало в 3-4 раза, то цены на кондитерские изделия по данным прошлого года выросли примерно в 2- 2,5 раза. Больше превышать цены было невозможно из- за ограниченной покупательской способности населения России. Результатом стали существенные финансовые потери предприятий.

Другой действующей силой в отрасли производства кондитерских изделий является наличие барьеров для входа в отрасль. Барьеры входа во всю отрасль пищевой промышленности в целом существенны и носят различный характер для предприятий разной мощности. Для крупных предприятий, желающих войти на российский рынок кондитерских изделий барьер заключается в отсутствии каналов дистрибьюции и недоверие местных жителей к новой продукции. Преодолеть этот барьер позволяет приобретение крупными фирмами акций крупных предприятий отрасли (особенно это касается зарубежных инвесторов).

Следует подчеркнуть, что рост производства кондитерских изделий в последние два- три года в том числе был обеспечен предприятиями, построенными за счет иностранных вложений и инвестиций, так как эта отрасль привлекательна по широкому спектру позиций, в частности, своим коротким циклом и высокими доходами. На рисунке 5 отображена структура общих иностранных инвестиций в целом в пищевую отрасль в 2010 году по данным Госкомстата.

Рис. 5. Структура иностранных инвестиций в пищевую отрасль в России в 2010 году, млн. $

Характерной особенностью отрасли является тот факт, что инвестиционные средства стали использоваться преимущественно на установку нового оборудования. На эти цели выделяется около 60 % средств. Эту тенденцию следует признать положительной, так как в промышленности кондитерских изделий имеются свободные производственные площади. При обновлении производства, замене устаревшего оборудования затраты на строительную часть незначительны.

Ряд крупных предприятий отрасли производства кондитерских изделий целиком изменил форму собственности, их пакет акций находится у отечественных и зарубежных представителей и инвесторов. Многие предприятия отрасли объединяются друг с другом в концерны. В такие концерны объединяются несколько фабрик, каждая из которых имеет свою историю, узнаваемое название, сложившийся круг потребителей, но переживает сейчас не лучшие времена. Объединение таких фабрик в концерны позволяет в целом снизить себестоимость продукции местных фабрик при производстве кондитерских изделий, соответственно, отпускные цены на готовую продукцию, а также создает условия для повышения качества производимой продукции. Примером может служить объединение ЗАО «Шоколадная фабрика «Россия» и АО «Кондитер. Результатом стало единое акционерное общество, получившее название «Кондитерское объединение «Россия» под руководство фирмы «Nestle».

Позитивным сдвигам в производстве кондитерских изделий, безусловно, способствовали принятые в последние годы федеральные законы, указы Президента, и Постановления Правительства РФ, направленные на поддержку отечественных производителей. К числу мер государственного регулирования следует отнести регулирование таможенных пошлин на поступающее по импорту сырье и продовольствие для предприятий отрасли.

Однако, несмотря на наметившийся в последние годы рост производства кондитерских изделий в целом объемы его выпуска по сравнения с 1990 годом остаются на уровне 40- 60 %.

Несмотря на общую тенденцию 90- х годов снижения покупательской способности потребления кондитерских изделий (с 19 кг на душу населения в 1990 году до 8 кг в 1996 году) к 2001 году потребление кондитерских изделий увеличилось до 10,2 кг на душу населения.

Рис. 6. Потребление кондитерских изделий питания на душу населения в 1990 - 2004 годах в России, кг.

В целом потребление кондитерских изделий на территории Новосибирской области по данным статистики потребление в год колеблется от 6,7 кг у населения с доходом до 1000 руб. в месяц и 22 кг у населения с доходом свыше 2500 рублей на человека (то есть в 3,3 раза больше)[15].

Товарная политика организации занимает очень важное место в повышении конкурентоспособности предприятия, так как именно товар, его качество, ассортиментный набор влияют на конкурентные позиции продукции и успех предприятия. Осуществление товарной политики в компании «Конфи» представляет собой серию конкретно реализуемых маркетинговых мер воздействия на рынок потребителей. Эти меры касаются потребительских свойств выпускаемой продукции, разработки новых ее видов, оптимизации ассортимента и преследуют, прежде всего, цель - довести качественные характеристики товара до уровня конкретных запросов покупателей выбранного сегмента рынка и обеспечить эффективный сбыт.

 

.4 Определение возможностей «стратегического встраивания» в партнерские связи


Среди основных возможностей стратегического встраивания в партнерские связи можно выделить:

. налаживание связей с новыми клиентами

. использование выгодных условий при больших объемах закупок

. работа с постоянными клиентами и партнерами

 

.5 Определение емкости рынка (сегмента)


Долю рынка в случае выхода на рынок фирмы ЗАО «Конфи» можно определить по формуле:

Δd = 100 (1/N - 1/ (N - n))= 100 (1/32 - 1/ (32-1)) = 1,53 %,

ГдеN - количество функционирующих фирм на рынке;

n - количество вновь создаваемых фирм

Суммарный ассортимент продукции производимой компанией «Конфи» очень велик. Среди них имеются уникальные и унифицированные продукты (йогуртовые конфеты), пользующиеся повышенным спросом и не пользующиеся спросом. Кроме того, есть вновь разработанная интересная продукция, нуждающаяся в раскрутке. Принятие окончательного решения по реструктуризации ассортимента, снятию с производства одних наименований и увеличению производства других, осуществляется после соответствующих исследований.

По методике Бостонской консалтинговой группы выбирается направление, заслуживающее большего финансирования[19,.с 176].

Таблица 13

Характеристика различных групп продукции компании

Группа продукции

Объем рынка в 2010г., тыс. т

Объем рынка в 2009 г., тыс. т

Средне -экономические темпы роста, %

Доля “Конфи” на рынке, %

Доля “Русская конфета” на рынке, %

Фруктовые конфеты

345,6

322,4

6%

12,3

8,4

Конфеты с добавлением печенья, орехов, мармелада и т.д.

386,7

378,5

6%

9

14,5

Карамель

196,8

179,4

6%

2,8

4


Фруктовые конфеты - «денежный мешок»: сбыт в отрасли падает, но доля на рынке велика.

Производство карамели растет наибольшими темпами, что объясняется повышенным спросом на эту группу конфет людей со средним и небольшим достатком. Необходимо сделать дополнительные вложения в данный продукт чтобы он был способен конкурировать с продукцией “Русская конфета” и других крупных производителей.

 

.6 Экспресс-оценка состояния сбытовой деятельности


Сбытовая деятельность за 6 месяцев 2010 года представлена в виде таблицы 14. Объем продаж определяется с учетом множества факторов: деятельность конкурентов, положение на рынке, стабильность поставщиков и покупателей, результатов маркетинговых исследований, сезонности, цикличности, политики ценообразования в ЗАО «Конфи», рентабельности продукции [10,с. 36].

Таблица 14

Сбытовая деятельность ЗАО «Конфи» за 6 месяцев 2009 года

№ п\п

Виды продукции

Продажи, тонн

Средняя цена реализации за кг, руб.

1

Шоколадные конфеты

22

60

2

Карамель и печенье

11

70


Таблица 15

Продажи за 1 полугодие 2009 года в ЗАО «Конфи»

№ п\п

Виды продукции

Планируемые продажи, тонн

Средняя цена реализации за кг, руб.

Объем продаж, руб.

1

Шоколадные конфеты

22

60

1320000

2

Карамель и печенье

11

70

770000


Итого

-

-

2090000


3.7 Анализ клиентских потребностей


В целом по кондитерским изделиям на территории Новосибирской области по данным статистики потребление в год колеблется от 6,7 кг у населения с доходом до 1000 руб. в месяц и 22 кг у населения с доходом свыше 2500 рублей на человека (то есть в 3,3 раза больше).

Рис. 7. Среднедушевое потребление различных типов сладостей фирмы «Конфи» в Новосибирской области в 2009 году, руб./мес.

На рисунке 7 видно, что наиболее потребляемый тип - это шоколад и шоколадные конфеты

финансовый стратегия встраивание партнерский

 

4. Разработка «стратегии встраивания» в партнерские связи

 

.1 Развитие приемлемого и стратегического уровня знаний и умений лидера, команды


Подготовка персонала в ЗАО «Конфи» представляет собой процесс приобретения работниками теоретических знаний и практических навыков в объеме требованной квалификационной характеристики начального уровня квалификации.

Переподготовка персонала в ЗАО «Конфи» - означает обучение квалификационных работников с целью изменения их профессионального профиля для достижения соответствия квалификации кадров требованиям.

Повышение квалификации персонала в ЗАО «Конфи» - это процесс совершенствования теоретических знаний и практических навыков с целью повышения профессионального мастерства работников, освоение передовой техники и технологии, ориентации труда, производства и управления.

В ЗАО «Конфи» существует непрерывная система профессионального обучения работников, а количество ступеней обучения зависит от сложности профессии и специальности.

Переподготовка кадров в ЗАО «Конфи» ранее во многих случаях носила формальный характер, так как повышать квалификацию работники посылались часто потому, что по плану надо было побывать на курсах один раз в 5 лет.

В ЗАО «Конфи» используют индивидуальную форму обучения. При индивидуальной форме каждому обучающемуся в организации прикрепляется высококвалифицированный рабочий или мастер, которые и ведут его обучение.

Повышение квалификации руководителей и специалистов в ЗАО «Конфи» осуществляется:

1) в институтах повышения квалификации;

2) на факультетах повышения квалификации при ВУЗах. Время обучения руководителей и специалистов в ЗАО «Конфи» засчитывается им в общий стаж, за это время им выплачивается средний заработок, другие вознаграждения.

Повышение квалификации работников в ЗАО «Конфи» проводится один раз в 5 лет. За последний год такие курсы прошли 16 работников. Они были организованы в учебных группах на специально созданной для этого учебно-производственной базе училища. В октябре 2011 года планируется провести такие курсы для остальных работников, которые будут организованы на рабочих местах.

Таблица 16

Затраты ЗАО «Конфи» в 2009- 2010 годах на развитие и мотивацию управления персоналом

№ п/п

Наименование компонента социальной мотивации

Затраты, руб.

Отклонение в руб.

Отклонение в %

Тенденция



2009 год

2010 год




1

Повышение квалификации сотрудников

23789

34567

10778

45,31

 ↑


Как видно из таблицы 16, в организации в 2010 году на повышение и квалификацию сотрудников потрачено 34567 руб.

 

.2 Развитие приемлемого и стратегического уровня знаний и умений кадрового резерва


Для развития приемлемого и стратегического уровня знаний и умений кадрового резерва рекомендуется соблюдение следующих последовательных этапов со стороны руководства:

1)      сбор информации о кандидатах для выдвижения на вакантную должность;

2)      обработка полученной информации по определенной системе для целей сопоставления;

)        оценка качеств каждого кандидата по методике, представленной в разделе выше, составление характеристик;

)        сопоставление качеств каждого кандидата и тех требований, которые необходимы для выполнения функций по данной вакантной должности;

)        сравнение кандидатов друг с другом при возможном выдвижении на одну должности и выбор того, кто больше других подходи для выполнения функций по должности;

)        назначение кандидата на вакантную должность.

Предлагается следующие наиболее удачные процедуры побора и расстановки кадров из резервов на продвижение: конкурсный порядок, выборность, аттестация. Смысл конкурсного порядка в испытании кандидатов в одинаковых условий с последующей оценкой результатов компетентной комиссией.

 

.3 Распределение полномочий между лидером и командой при разработке стратегии


Распределение полномочий при разработке стратегии между лидером и командой представлено в таблице 17.

Таблица 17

Распределение полномочий при разработке стратегии

№ п\п

Уровень

Полномочия

1

Руководство

Определение стратегических целей и направлений при разработке стратегии

2

Уровень исполнителей

Исполнение предписаний начальства по этапам реализации стратегии

 

4.4 Группировка товарных ценностей по балансу


Таблица 18

Распределение чистой прибыли (планирование средств фондов накопления и потребления) ЗАО «Конфи» на 2011год, тыс. руб.

№ п/п

Показатели

2010 год


ФОНД НАКОПЛЕНИЯ


1

Чистая прибыль

1207,7

2

Источники формирования средств фонда


2.1

Остатки средств фонда на начало года

34

2.2

Амортизационные начисления

240

2.3

Отчисления от чистой прибыли

845,4

2.4

Прирост устойчивых пассивов

1672

2.5

Долгосрочный кредит банка

176

3

Всего источников

2967,4

4

Направления использования средств фонда накопления


4.1

Уплата процентов за пользование долгосрочным кредитом

3,4

4.2

Затраты на приобретение основных фондов

1675

4.3

Затраты на прирост оборотных средств

1240

4.4

Погашение долгосрочного кредита банка

35

5

 Всего затрат

2953,4

6

Излишек средств

14

7

Недостаток средств

-

1

Чистая прибыль

1207,7

2

Источники формирования фонда


2.1

Остатки средств фонда на начало периода

97

2.2

Отчисления от чистой прибыли

362,3

2.3

 Прочие поступления

165

2.4

Фонд оплаты труда

1407

3

Всего источников

2031,3

4

Направления использования средств фонда


4.1

Оплата труда

1335

4.2

Долевое участие в строительстве жилого дома для сотрудников

13

4.3

Социальные и трудовые выплаты работникам

24

4.4

Премирование

10

5

Всего затрат

1382

6

Излишек средств

649,3

7

Недостаток средств

-


В таблице 19 представлен баланс денежных средств ЗАО «Конфи».

Таблица 19

Баланс денежных средств ЗАО «Конфи» в 2011 году, тыс. руб.

Показатели

2010 год

1. Денежные средства на начало года

131

2. Денежные поступления:


- выручка от продаж с НДС

12035

- кредиты

176

- прирост устойчивых пассивов

1672

3. Всего поступлений

13883

4. Платежи в сторону:


- затраты на производство без амортизации

9645,3

- уплата налогов

424,4

- затраты на приобретение основных фондов

1675

- уплата процентов за кредит

3,4

- норматив оборотных средств

-

- прирост оборотных средств

1240

- погашение кредита

35

- уплата НДС

-

- уплата налога на прибыль

517,6

5. Всего платежей

13540,7

6. Остаток денежных средств на конец периода

473,3


В таблице 20 представлены доходы и затраты организации в 2011 году

Таблица 20

Доходы и затраты ЗАО «Конфи» в 2010 году, тыс. руб.

Показатели

2010 год

1. Доходы от реализации (без НДС)

12035

2. Полная себестоимость - всего

9885,3

В том числе:


условно- переменные расходы

8101

условно- постоянные затраты

1784,3

3. Налоги, относимые на финансовые результаты

424,4

4. Балансовая прибыль

1725,3

5. Налог на прибыль

517,6

6. Чистая прибыль

1207,7

7. Рентабельность продукции, %

12

8. Рентабельность продаж, %

10


Таблица 21

Баланс активов и пассивов ЗАО «Конфи» на 2011 год

Актив

2011 год

Пассив

2011 год

1.Внеоборотные активы 1.1.Основные фонды по балансовой стоимости 1.2.Амортизация 1.3.Основные фонды по остаточной стоимости

3009  240 2769

4. Капитал и резервы 4.1. Уставной фонд 4.2. Специальные фонды 4.3. Нераспределенная прибыль

150 2967,4

Итого по разделу 1

2769

Итого по разделу 4

3117,4

2.Оборотные активы 2.1. Запасы 2.2. Дебиторская задолженность 2.3. Денежные средства- всего

 2,9 8190 226

5. Долгосрочные пассивы

176

В том числе: - касса - счета

50 176



Итого по разделу 2

8418,9

Итого по разделу 5

176

3. Убытки

-

6. Краткосрочные пассивы 6.1. Кредиторская задолженность: - поставщикам - по оплате труда - прочие кредиторы 6.2. Фонд потребления

    7891,1 - 3,4

Итого по разделу 3

-

Итого по разделу 6

7894,5

Итого по разделам

11187,9

Итого по разделам

11187,9

«Пробка»


Баланс

11187,9

Баланс

11187,9


4.5 Обеспечение постоянства клиентов и выход на новых потребителей


В процессе разработки стратегии предлагаются мероприятия по обеспечению постоянства клиентов:

. использование системы скидок при определенных объемах закурки товаров (особенно это касается оптовиков)

. индивидуальная работа с VIP - клиентами

. бесплатная доставка при больших партиях заказ

Среди мероприятий выхода на новых потребителей для ЗАО «Конфи» предлагаются следующие:

. создание представительств компании на территории соседних регионов.

. налаживание связей с оптовиками - клиентами из других регионов и областей (например, Красноярск, Иркутск и так далее).

 

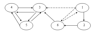
.6 Формирование цепочек «стратегического встраивания» в партнерские связи


Формирование цепочек стратегического встраивания в партнерские связи представлено на рис. 8 в виде последовательности этапов (приложение 10).

 

.7 Составление программ изготовления и продаж товара


Таблица 22

Производственная программа ЗАО «Конфи» на 1 полугодие 2011 года

№ п\п

Показатели

Шоколадные конфеты

Карамель, печенье

1

Плановый объем продаж, тонн

22

11

2

Остатки готовой продукции на конец периода, тонн

5

3,5

3

Всего потребность (1 + 2), тонн

27

14,5

4

Остатки готовой продукции на начало периода, тонн

1,5

1,5

5

Производственная программа (3 - 4), тонн

25,5

13

 

.8 Выбор стратегического подхода на международных рынках


На данном этапе развития руководство организации пока еще не в состоянии реализовать выход на международные рынки, однако в стратегических планах такие мероприятий разрабатываются:

1.       исследование спроса на кондитерских изделия на международном уровне

2.       поиск стратегических партнеров на международном уровне

.        поиск путей реализации товаров в международном аспекте

.        налаживание партнерских связей с транспортными организациями

.        привлечение иностранных клиентов к продукции собственного производства методами рекламы, в частности через Интернет.

Заключение


В ходе выполнения работы была достигнута ее основная цель и решены все задачи, поставленные во введении. В заключение сделаем несколько выводов по работе.

Стратегия «встраивания» в партнерские связи предполагает предварительный анализ внешней и внутренней среды и разработку мероприятий в рамках данной стратегии.

Основная цель деятельности ЗАО «Конфи» - получение прибыли и наиболее полное удовлетворение потребности населения в кондитерских изделиях.

Основной вид деятельности организации, согласно Уставу предприятия, производство кондитерских изделий.

Деятельность ЗАО «Конфи» в целом можно охарактеризовать с положительной точки зрения, так как практически по всем основным показателям наблюдается рост и соответствие нормативным значениям.

Социально-психологический климат, сложившийся в организации на сегодня весьма благоприятен и находится на стадии зрелости коллектива.

В большинстве случаев при решении конфликтов в ЗАО «Конфи» сотрудники применяют качества и умения, характерные для тактики избежания и компромисса. Тактика соперничества используется очень редко.

Анализируя интегральную взвешенную оценку конкурентоспособности ЗАО «Конфи» по показателям стратегических способностей работников можно отметить, что организация уступает только ЗАО «Сластена» по показателю среднего срока пребывания в одной должности.

По подсчетам Союза кондитеров России, в прошлом году производство кондитерских изделий выросло на 5 %.

Этот рыночный сегмент динамично развивается, растет и производство, и потребление. Если для 90-х годов было характерно буквально взрывное увеличение числа операторов, то сейчас новые производители появляются все реже. Нынче "новости с фронтов" сводятся, скорее, к сообщениям о реструктурировании: кто-то укрупняется, объединяясь в союзы и альянсы, а кто-то сходит с арены.

Суммарный ассортимент продукции производимой компанией «Конфи» очень велик. Среди них имеются уникальные и унифицированные продукты (йогуртовые конфеты), пользующиеся повышенным спросом и не пользующиеся спросом. Кроме того, есть вновь разработанная интересная продукция, нуждающаяся в раскрутке. Принятие окончательного решения по реструктуризации ассортимента, снятию с производства одних наименований и увеличению производства других, осуществляется после соответствующих исследований.

Библиографический список


1)       Андреев А.А., Радичка Д.М. Стратегическое управление: Учеб. пособ. - Омск.: ЦОАУ, 2008.- 160 с.

2)      Академия рынка. Маркетинг: Пер. с фр. М.: Экономика. 2004 г.

)        Афанасьев М.П. Маркетинг: стратегия и практика фирмы. М.: Финстатинформ 2009 г.

)        Баззел Р., Кокс Д., Браун Р. Информация и риск в маркетинге: Пер. с англ. М.: Финстатинформ. 2010 г.

)        Б. Берман. “Маркетинг”. Москва, Экономика, 2002 г.

)        Бизнес-план ТПП «Кондитерское производство», 2008 г.

)        Бизнес-план. Примеры реальных бизнес-планов. 2 часть, под ред. В.А. Горемыкина, М.: МГИУ, 2000 г.

)        В.П. Буров. “Бизнес-план: методика составления”. Москва, 2003 г.

)        Гаврилин Ю.Ф. Маркетинг. Челябинск: ЧГТУ. 2002 г.

)        Голубкова Е.П. Маркетинг: выбор лучшего решения. М.: Экономика. 2010 г.

)        Ефремов В.С. Стратегия бизнеса. Концепции и методы планирования. - М.: Финпресс, 1998.- 286 с.

)        Зайцев В.А. "Маркетинг" - М.: ГИНФО, 2009 г. - 184с

)        Завьялов П.С., Демидов В.Е. Формула успеха: Маркетинг (сто вопросов - сто ответов о том, как эффективно действовать на внешнем рынке). М.: Международные отношения. 2003 г.

)        Котлер Ф. Основы маркетинга: Пер. с англ. М.: Прогресс. 2004 г.

)        Кретов И.И. Маркетинг на предприятии: практическое пособие. М.: Финстатинформ. 2001 г.

)        Ф. Котлер «Основы маркетинга»,М.:1998 г.

)        Маркетинг/ Под ред. Э.А. Уткина, М.: ЭКСМОС, 2001 г.

)        Менеджмент: Учебное пособие, В.Е. Гребцова, Ростов-на-Дону: ФЕНИКС, 2000 г.

)        Основы маркетинга/ Под ред. Е.П. Голубкова, М.: ФИНПРЕСС, 1999 г.

)        Предприятие: стратегия, структура, положения об отделах и службах, должностные инструкции. - М.: ОАО «издательство «экономика»», НОРМА 2003 г.

)        Сборник бизнес-планов с комментариями и рекомендациями

)        Справочно-правовая система «Гарант» от 10.02.2011г.

)        Хруцкий В.Е., Корнеева И.В., Автухова Е.Э.. Современный маркетинг. М.: Финансы и статистика. 2001 г.

)        Эванс Дж., Берман Б. «Маркетинг»: Сокр. пер. с англ. М.: Экономика. 2000 г.

Приложение 1

Актив баланса ЗАО «Конфи» за 2009-2010 годы

АКТИВ

Код показателя

Начало 2009 года

Конец 2009 года

Начало 2010 года

Конец 2010 года

1

2

3

4

3

4

I. ВНЕОБОРОТНЫЕ АКТИВЫ






Нематериальные активы

110





Основные средства

120

3040

2823

2823

2570

Незавершенное строительство

130





Доходные вложения в материальные ценности

135





Долгосрочные финансовые вложения

140





Отложенные финансовые активы

145





Прочие внеоборотные активы

150





ИТОГО по разделу I

190

3040

2823

2823

2570

II. ОБОРОТНЫЕ АКТИВЫ






Запасы

210

294

403

403

56

в том числе:






сырье, материалы и другие аналогичные ценности


291

400

400

52

животные на выращивании и откорме






затраты в незавершенном производстве






готовая продукция и товары для перепродажи






товары отгруженные






расходы будущих периодов


3

3

3

4

прочие запасы и затраты






Налог на добавленную стоимость по приобретенным ценностям

220

128

91

91

79

Дебиторская задолженность (платежи по которой ожидаются более чем через 12 месяцев после отчетной даты)

230





в т. ч. покупатели и заказчики






Дебиторская задолженность (платежи по которой ожидаются в течение 12 месяцев после даты)

240

4818

5096

5096

7292

в т. ч. покупатели и заказчики


3923

4831

4813

6122

Краткосрочные фин. вложения

250





Денежные средства

260


<#"515898.files/image006.gif">

Последовательность формирования цепочек» стратегического встраивания» в партнерские связи

Похожие работы на - Совершенствование процесса стратегического управления на примере предприятия ЗАО 'Конфи'

 

Не нашли материал для своей работы?
Поможем написать уникальную работу
Без плагиата!
Без нейросетей!