Исследование функций управления

  • Вид работы:
    Дипломная (ВКР)
  • Предмет:
    Менеджмент
  • Язык:
    Русский
    ,
    Формат файла:
    MS Word
    236,97 kb
  • Опубликовано:
    2011-08-04
Вы можете узнать стоимость помощи в написании студенческой работы.
Помощь в написании работы, которую точно примут!

Исследование функций управления


 

 

 

 

 

 

 

 

 

 

 

Курсовая работа

по дисциплине "Основы менеджмента"

тема: "Анализ функций управления"

 

Содержание

Введение

1. Теоретические аспекты функций управления

1.1 Функциональное разделение труда в процессе управления и его характеристика

1.2 Классификация и содержание функций управления (менеджмента)

2. Характеристика ЗАО "ГОТЭК"

1   Структура ЗАО "ГОТЭК" и виды производимой продукции

2   Анализ основных технико-экономических и финансовых показателей

ЗАО "ГОТЭК"

2.3 Характеристика распределения функций управления по уровням и звеньям аппарата управления ЗАО "ГОТЭК"

3. Совершенствование функций управления

3.1 Предложения по совершенствованию функций управления в ЗАО "ГОТЭК"

3.2 Оценка эффективности предложений по совершенствованию функций управления ЗАО "ГОТЭК"

Заключение

Список использованной литературы

Приложение

Введение

Менеджмент - это управление социально-экономическими и социально-техническими системами для получения конкретного результата. Менеджмент - это особый тип управления организацией в рыночной системе хозяйствования, для которой характерны: рыночные механизмы развития экономики, предполагающие наличие конкуренции, свободы предпринимательства и принятия хозяйственных решений, миграционные механизмы при движении капитала, рабочей силы, свободного ценообразования, что, в свою очередь, приводит к необходимости гибкости и адаптации в поведении фирмы па рынке. А это невозможно без: ориентации на человеческий фактор, высокого профессионализма, творчества менеджера. Любое предприятие для поддержания своего существования, реализации корпоративных целей выполняет различные виды деятельности, называемые функциями. Впервые основные виды управленческой деятельности описал и формализовал А. Файоль. Он утверждал, что управлять - это значит планировать, организовывать, распоряжаться, координировать и контролировать.

Менеджмент - это процесс управления в организациях, наука об управлении, искусство управления и люди, составляющие орган управления.

Функция управления - это обособившийся вид управленческой деятельности.

Актуальность исследования обусловлена тем, что функции управления имеют большое практическое значение, поскольку они в значительной мере определяют структуру органов управления. Процесс реализации функции отвечает на вопрос: какова логическая последовательность действий, чтобы функция осуществлялась без перебоя. Структура функции отвечает на вопрос: как или каким образом связаны между собой все действия. Как правило, на предприятии функцию планирования осуществляет не одно подразделение, а несколько. И ведущую роль играет отдел (служба) планирования. При этом не следует умалять вклада финансового отдела, бухгалтерии, отдела снабжения, сбыта, маркетинга и т. д. На основе содержания, процесса и структуры функции проводится анализ, результаты которого служат основой для развития той или иной функции. Кроме того, данная деятельность позволяет выделить новые функции или, наоборот, изъять функции за ненадобностью.

Процесс управления хозяйственной деятельностью заключается в выполнении общих и специфических функций. В практике управления между органами управления функции распределяются неравномерно: порой они распыляются или дублируются.

Объект исследования: ЗАО "ГОТЭК".

Предмет исследования: анализ функций управления на примере ЗАО "ГОТЭК".

Цель исследования: исходя из теоретических и методологических особенностей управления, провести анализ функций управления по уровням и звеньям аппарата управления.

Выделяем следующие задачи:

1. Изучить функциональное разделение труда в процессе управления;

2. Охарактеризовать функции управления;

3. Исследовать теоретические аспекты разделения труда на предприятиях;

4. Дать характеристику основных производственных показателей ЗАО "ГОТЭК";

5. Сделать анализ функций управления данного предприятия;

6. Разработать рекомендации по улучшению функций управления ЗАО "ГОТЭК";

Методы исследования: теоретический анализ литературы по исследуемой проблеме, сравнительно-исторический метод, монографический, аналитический, логический и другие.

Информационной базой для написания работы послужили: учебная, научная, методическая литература по рассматриваемому вопросу, проблемные статьи, электронные ресурсы удаленного доступа.

Структура курсовой работы: введение, основная часть, состоящая из трех глав, каждая из которых состоит из трех разделов, заключение, список использованной литературы и приложения.

1. Теоретические аспекты функций управления

1.1 Функциональное разделение труда в процессе управления и его характеристика

Управление - элемент, функция организованных систем различной природы (биологических, социальных, технических), обеспечивающая сохранение их определенной структуры, поддержание режима деятельности, реализацию их программ и целей. Таким образом, технологию управления можно определить как совокупность методов, реализуемых в процессе функционирования системы, которые обеспечивают сохранение ее структуры и поддерживают режимы ее деятельности.

Управление предприятием предназначено для сохранения его миссии и осуществляется путем противодействия разрушению предприятия в результате его взаимодействия с внешней средой. Рассматривая процесс управления предприятием как технологию, можно представить его совокупностью циклов, выполняемых работниками аппарата управления, на основе разделения труда. В соответствии с элементами управляемого объекта (труд, средства труда, технология производства, предметы труда, экономические связи и отношения) можно определить и содержание процесса управления как:

управление процессом труда (основного и вспомогательного персонала предприятия);

управление движением и запасами предметов труда (материальными потоками - ресурсами);

управление орудиями и средствами труда (зданиями, сооружениями, оборудованием);

управление процессами производства (основного и вспомогательного);

управление экономическими связями и отношениями как выраженной стоимостной формой производственного процесса.

Все элементы объекта управления связаны между собой через труд в рамках определенной кооперации. Поэтому главным в процессе управления является управление системой совместного труда.

Разделение труда - один из главных принципов организации процесса управления. Он основан на функциональном, профессиональном, квалификационном и операционно-технологическом разделении труда. Функциональное разделение труда в процессе управления основано на иерархии функций управления предприятием (исследовательские, проектные, нормативные, плановые, технические, организационные, координационные, обеспечивающие, учетные и сбытовые) и представляет собой сочетание определенных групп, комплексов операций, устойчиво повторяющихся при их выполнении. Профессиональное разделение труда в процессе управления обусловлено усложнением управленческой деятельности и дифференциацией функций управ-ления, что потребовало привлечения в сферу управления различных специалистов. Квалификационное разделение труда в процессе управления предполагает наличие различных по уровню сложности процедур и операций. Это требует использование различных должностных категорий в штате управленческого аппарата. Содержание труда упомянутых категорий работников определяется процессами. Операциями, приемами труда, существующими связями в системе управления, которые возникают при выполнении тех или других функций управления.

Операционно-техническое разделение труда в процессе управления обусловлено его динамикой. Процесс управления в динамике можно представить с помощью элементов, (трудовые движения), операций и процедур. Сочетание элементов процесса составляет его технологию. Понятие "операция" имеет широкий смысл и охватывает всякие целесообразные действия: производственные, коммерческие, технологические, экономические, управленческие и другие. Операцию можно рассматривать как совокупность элементов трудовых процессов, выполняемых работниками управленческого аппарата. Операция является первичным звеном в совместном процессе труда по управлению предприятием и имеет особое значение с точки зрения организации этого процесса. Операции в процессе управления определяют разделение труда между его участниками. Комбинирование операций определяет кооперацию труда.

Рациональное комбинирование операций обеспечивает сочетание операций во времени и в пространстве. Операцию управления расчленяют на отдельные элементы, выполнение которых необходимо для выполнения всей операции. Научный подход к анализу и проектированию управленческих операций возможен при условии разработки организационной модели, достаточно хорошо отражающей свойства и характеристики объекта и пригодной для изучения ее качественными и количественными методами. Закономерное, последовательное прохождение операции во времени и пространстве в совокупности составляет процесс управления предприятием. Таким образом, управленческий процесс складывается из большего или меньшего числа последовательных или параллельных операций и процедур, составляющих в целом технологию управления.

Чтобы правильно организовать каждый функциональный процесс в системе управления, необходимо:

· определить количество, последовательность и характер операций, составляющих процесс;

· подобрать (разработать) для каждой операции соответствующие способы, приемы (методику),

· технические средства; определить оптимальные условия протекания процесса во времени и среде.

Большое значение имеет анализ, исследование организационных операций, описание их, типизация и стандартизация, а отсюда и проектирование, совмещение однородных операций, перевод их на машинное исполнение в целях снижения трудоемкости процесса управления.

Смена операций, их сочетание, взаимосвязь, переход друг в друга определяется процедурами, которые представляют собой совокупность разнообразных управленческих операций, выполняемых по определенной схеме (алгоритму).

Понятие "процедура" отражает порядок подготовки, рассмотрения, обсуждения, выполнения ряда последовательных и параллельных операций в процессе управления, предписание о порядке выполнения какой-либо работы в аппарате управления. Понятие "технология управления" тесно связано с процессом алгоритмизации операций и процедур в рамках тех или иных функций управляющей системы. Алгоритм исследуемого (проектируемого) организационного или информационного процесса представляет собой правила последовательной организации определенных, связанных друг с другом операций, на которые этот процесс может быть разложен и которые должны быть осуществлены для достижения цели, стоящей перед данной управляющей системой. При этом весь процесс как бы разлагается сверху вниз, т.е. от конкретной функции управленческого аппарата к подфункции (части функции), от подфункции к конкретной процедуре и далее к операции. Управленческая процедура представляет собой систему последовательно реализуемых предписаний (правил) о выполнении в определенном порядке организационных, информационных и других операций, приводящих к решению задач, стоящих перед системой управления.

Операции и процедуры различаются по ряду признаков и подразделяются на:

1. По должностным признакам: творческие, логические, технические. Удельный вес творческих операций у руководителей составляет до 60%, у специалистов - 40%, у технических исполнителей - до 20%.

2. По содержанию: информационные, логико-мыслительные, организационные.

3. По степени повторяемости: повторяющиеся, неповторяющиеся.

4. По уровню механовооруженности: ручные, механизированные,

автоматизированные, машинно-ручные.

5. По характеру сочетания во времени: последовательные; параллельные; последовательно-параллельные.

Технология процесса управления состоит из четырех основных функций: планирование, учет, анализ и регулирование.

Планирование - процесс принятия решения, которое вырабатывается на основе целей, формулируемых вышестоящей организацией, и альтернатив, генерируемых на фазе "Анализ".

Учет - процесс получения объективной информации о складывающейся на объекте ситуации путем сбора фактических значений параметров и их обработки по заданным алгоритмам.

Анализ - процесс генерирования альтернатив на основании складывающейся на объекте ситуации и желаемых значений параметров, задаваемых ЛПР на фазе "Планирование", с одной стороны, и постановка диагноза и выявление причин отклонения движения системы от заданной траектории, с другой стороны.

Регулирование - процесс формирования и контроль исполнения заданий предприятию и его подразделениям для реализации выбранного на фазе "Планирование" решения.

Решение - нахождение связи между существующим и желаемым состоянием.

Качество управления определяется заданным критерием, правилами принятия решения и используемой информацией. Рассматривая пути становления и развития управленческих технологий, следует отметить, что базой управления являются информационные технологии, потому история управления тесно связана с историей становления информационных технологий. Долгое время основными инструментами подготовки информации для принятия решений была память человека, а устройствами ввода/вывода выступали только его язык и слух. Первая и вторая информационные революции наступили после изобретения письменности и книгопечатания. Эти две революции создавали принципиально новые информационные технологии накопления и распространения информации, усиливая память человеку. Поскольку в эпоху книгопечатания основным носителем информации являлась бумага, то такие информационные технологии называют бумажными технологиями. Следует отметить, что с появлением бумаги модернизации подвергались лишь процессы хранения информации, а процессы обработки информации традиционно возлагались на человеческий мозг. Ситуация существенно изменилась с изобретением ЭВМ, (третья информационная революция).

Понятие персонала предприятия характеризуется численностью и составом занятых на нем работников. В целях эффективного управления процессом формирования и использования персонала на предприятиях применяется классификация работников по категориям. В составе персонала предприятий выделяют три категории работников:

а) персонал управления;

б) оперативный персонал;

в) вспомогательный персонал.

Деление персонала предприятия по категориям работников представляет собой наиболее общую форму функционального разделения их труда. Основной целью управления численностью и составом персонала является оптимизация затрат живого труда на выполнение основных видов

работ, связанных с деятельностью предприятия, и обеспечение заполнения необходимых рабочих мест работниками соответствующих профессий, специальностей и уровней квалификации.

Проектирование трудовых процессов на предприятиях предусматривает определение общего объема работ и их распределение в разрезе отдельных групп исполнителей. Общий объем выполняемых работ должен быть распределен между отдельными группами исполнителей. Такое распределение основано на разделении труда, т.е. на относительном обособлении различных видов деятельности предприятия. Основными видами разделения труда являются функциональное, технологическое и квалификационное.

Функциональное разделение труда осуществляется, прежде всего, в разрезе основных категорий персонала - управления, оперативного и вспомогательного. На крупных предприятиях, имеющих сложную структуру управления, труд персонала управления подлежит более углубленному функциональному разделению, которое получает свое отражение в схеме организационной структуры управления данным предприятием.

Технологическое разделение труда осуществляется, как правило, по категориям оперативного и вспомогательного персонала. Разделение этих категорий персонала в разрезе профессий определяется объемом отдельных операций основного и вспомогательного технологических процессов.

Квалификационное разделение труда определяется различием функций, выполняемых на предприятии, по уровню их сложности.

Глубина разделения труда на предприятиях диктуется в первую очередь их размерами и общим объемом их деятельности. На небольших предприятиях возможности разделения труда существенно ограничены, что определяет необходимость его совмещения при проектировании трудовых процессов.

Нормирование затрат труда на выполнение отдельных работ предусматривает разработку и использование на предприятиях определенной системы норм труда. Эта система, чаще всего включает в себя: нормы численности, нормы времени, нормы выработки, нормы обслуживания.

Итак, повышение эффективности процессов управления, рационализация структуры и методов деятельности управленческого аппарата, обеспечение должного соотношения прав и ответственности органов и служащих в принятии и исполнении решений зависят от содержания работы органов управления, от правильного определения их функций. Четкое представление о том, что должен делать орган управления и что он делает, позволяет искать наиболее эффективные пути реализации его задач, обеспечивать деятельность этого органа материальными, техническими, организационными, правовыми средствами, обогащать формы и методы его работы.

1.2 Классификация и содержание функций управления (менеджмента)

В целом область деятельности, называемая менеджментом фирмы, может быть разделена на отдельные функции, которые сосредоточены в трех основных группах:

·   общее управление (установление нормативных требований и политики управления, политики инноваций, планирование, организация работы, мотивация, координация, контроль, ответственность);

·   управление структурой предприятия (его создание, предмет деятельности, правовые формы, связи с другими предприятиями, территориальные вопросы, организация, реконструкция, ликвидация);

- конкретные области управления (маркетинг, НИОКР, производство, кадры, финансы, основные фонды).

Если структурные стороны деятельности предприятия определены, то все функции управления разделяются на общие и конкретные.

Функция управления - вид деятельности, основанный на разделении и кооперации менеджмента и характеризующийся определенной однородностью, сложностью и стабильностью воздействий на объект со стороны субъекта управления.

Функции управления и установление объема работ по каждой функции являются основой для формирования структуры управляющей системы и взаимодействия ее компонентов.

Общие функции выделяются по этапам (стадиям) управления. К ним относятся:

· прогнозирование и планирование;

· организация работы;

· мотивация;

· координация и регулирование;

· контроль, учет, анализ.

Функции, выделяемые по сфере деятельности, называются конкретными. ГОСТ рекомендует их типовой состав:

· перспективное и текущее экономическое и социальное планирование;

· организация работ по стандартизации;

· учет и отчетность;

· экономический анализ;

· техническая подготовка производства;

· организация производства;

· управление технологическими процессами;

· оперативное управление производством;

· метрологическое обеспечение;

· технологический контроль и испытания;

· сбыт продукции;

· организация работы с кадрами;

· организация труда и заработной платы;

· материально-техническое снабжение;

· капитальное строительство;

· финансовая деятельность.

Конкретные функции управления тесно связаны со спецификой предприятия и основными сферами его деятельности (общее управление, финансовое управление, производство, НИОКР, маркетинг).

Общее управление предприятия заключается в его структуризации, организации деятельности, планировании, управлении персоналом, контроле, учете и анализе результатов деятельности, что подробно будет рассмотрено в дальнейшем.

При управлении производством решаются задачи экономики производства (издержки, цены) и планирования производства продукции. К задачам планирования производства относят:

· выбор технологического процесса;

· планирование программы производства;

- планирование последовательности производства (оперативное планирование);

· формирование производственных систем (систем оборудования);

· содержание и эксплуатация оборудования;

· организацию материально-технического снабжения.

При управлении НИОКР (инновациями) реализуются следующие конкретные функции управления:

· организация инновационного процесса;

· выбор и реализация стратегии НИОКР;

· оптимальное распределение ресурсов на НИОКР;

· внедрение результатов НИОКР;

· защита результатов НИОКР.

Реализация функций в области маркетинга включает:

· организацию сбора и обработки маркетинговой информации;

· выбор целевых рынков и их сегментирование;

· применение маркетинговых решений по продукту;

· выбор и взаимодействие с каналами товародвижения;

· продвижение товара;

· выбор и реализацию ценовой политики;

· планирование и анализ эффективности маркетинговой деятельности. Финансовое управление предприятием включает:

· приобретение финансовых средств;

· использование финансовых средств;

· управление ликвидностью;

· структурирование капитала и имущества;

- управление платежными средствами и проведение платежного оборота;

- финансовое планирование и финансовый контроль.

Таким образом, конкретные функции управления фирмой можно рассматривать как системные компоненты ее менеджмента.

2. Характеристика ЗАО "ГОТЭК"

труд управление менеджмент продукция

2.1 Структура ЗАО "ГОТЭК" и виды производимой продукции

Объектом изучения данной курсовой работы является группа предприятий "ГОТЭК" - крупнейший в Российской Федерации производитель современной упаковки и упаковочных материалов, лидер отечественного рынка по ассортименту выпускаемой продукции. Свою миссию компания "ГОТЭК" видит в том, чтобы создавать рациональные упаковочные решения для каждого клиента, точно зная как это сделать лучше и эффективнее всех на рынке.

Компания начала серийный выпуск продукции еще в конце 60-х годов XX века.

На протяжении всех лет существования предприятие ЗАО "ГОТЭК" участвует в различных областных, всероссийских и международных конкурсах и выставках, занимает призовые места, получает дипломы и становится лауреатом премий. Кроме того постоянно внедряется новейшее оборудование, применяются современные технологии, достижения науки и техники.

По мнению экспертов отечественного потребительского рынка, группа "ГОТЭК" входит в сотню наиболее успешных и самых быстрорастущих компаний России.

Демонстрируя приверженность общепринятым в мировой практике нормам ведения бизнеса, "ГОТЭК" всецело придерживается высоких международных стандартов корпоративного управления и декларирует свою полную открытость. Компания следует политике высокой социальной ответственности перед собственными сотрудниками и членами их семей, перед населением ряда регионов, в которых она работает, перед всем гражданским обществом в целом. Сегодня она представляет собой объединение из 12 юридических лиц (таблица 1). Центром является Управляющая компания группы предприятий "ГОТЭК", определяющая стратегию развития всех бизнес-единиц (схема 1).

Схема 1. Виды компаний ЗАО "ГОТЭК".

ЗАО "Управляющая компания группы предприятий ГОТЭК" - компания, осуществляющая единое стратегическое развитие группы предприятий и определяющая их инвестиционную политику.

Таблица 1. Компании ЗАО "ГОТЭК"

№ п\п

Наименование производственной компании

Вид деятельности

ПРОИЗВОДСТВЕННЫЕ КОМПАНИИ:

1

ЗАО "ГОТЭК", ЗАО "ГОТЭК-ЦЕНТР", ЗАО "ГОТЭК Северо-Запад"

Предприятия по производству гофрированного картона, транспортной и потребительской упаковки с многоцветной флексографской печатью

2

ЗАО "ПОЛИПАК"

Компания по производству гибкой упаковки на основе полимерных и бумажных материалов с многоцветной флексографской печатью

3

ЗАО "ГОТЭК-ЛИТАР"

Компания по производству упаковки из формованной бумажной массы

4

ЗАО "ГОТЭК-ПРИНТ"

Полиграфическая компания по производству упаковки из картона и пластика с многоцветной офсетной печатью

КОМПАНИИ ОКАЗЫВАЮЩИЕ УСЛУГИ:

1

ООО "ГОТЭК-ЦПУ" (Центр предоставления услуг)

Компания, осуществляющая функции финансового, бухгалтерского учета и логистики для всех предприятий группы "ГОТЭК"

2

ЗАО "ГОТЭК-АВТО"

Автомобильная компания, оказывающая транспортные услуги предприятиям группы "ГОТЭК"

3

ЗАО "ГОТЭК-СТРОЙ"

Компания, оказывающая строительные услуги предприятиям группы "ГОТЭК"


Планомерное следование стратегии развития позволяет компании успешно конкурировать, развивать существующие и осваивать новые направления бизнеса. А также реализовать стратегию географического расширения группы предприятий "ГОТЭК", которая позволит ей не только территориально приблизиться к стратегическим клиентам, но и стать игроком № 1 на российском рынке упаковки из гофрокартона. Наличие мощной производственно-технологической базы, финансовая мощь, национальный масштаб бизнеса и профессионализм сотрудников гарантируют это лидерство. На протяжении вот уже сорока лет, являясь лидером упаковочной отрасли, группа предприятий "ГОТЭК" незыблемо следует принципам эффективного и ответственного корпоративного управления. Оно является важным аргументом в пользу успешности группы в глазах всех заинтересованных сторон, включая инвесторов, клиентов, поставщиков, партнеров, сотрудников и акционеров нашей компании.

Наименование предприятия: ЗАО "ГОТЭК".

Организационно-правовая форма данной организации: закрытое акционерное общество. Форма собственности: частная. Размеры организации: оценивается как крупное, так как численность рабочих для производства около 30000 человек. Организационная структура управления ЗАО "ГОТЭК" имеет линейно-функциональный вид и относится к бюрократическому типу (приложение А). Основные достоинства данной организационной структуры на предприятии:

высокие требования по качеству выпускаемой продукции, которые контролируются на нескольких этапах работы;

возможность ввода новых отделов без изменения вида организационной структуры.

К числу недостатков организационной структуры предприятия следует отнести:

- несвоевременность выполнения работ, запаздывания, задержки или отсутствие необходимых средств, информации и т.д.

- незавершённость, неподготовленность предоставляемых средств, информации, материалов, требующих исправления и т.п.

- избыточность, в том числе невыполнение ненужных работ, указаний по выполнению несвойственных функций.

Основные виды деятельности и характеристика выпускаемой продукции: группа предприятий "ГОТЭК" - одна из крупнейших компаний упаковочной отрасли России, лидер по ассортименту выпускаемой продукции. Компания производит широкий спектр различных видов продукции:

1. Упаковку из гофрокартона с флексографской печатью. Ассортимент продукции: четырехклапанные ящики, изделия сложной конфигурации (высечная продукция), крупногабаритная тара, гофрокартон.

2. Упаковку с офсетной печатью из картона и пластика. Ассортимент продукции: упаковка из металлизированного картона и пластика, новогодняя подарочная упаковка, упаковка из картона хром-эрзац, упаковка из кашированного гофрокартона.

3. Гибкую упаковку на основе полимерных и бумажных материалов. Ассортимент продукции: пленка полиэтиленовая без печати, пленка полиэтиленовая с печатью, пленки однослойные, пленки многослойные, упаковка на бумажной основе.

4. Упаковку из формованной бумажной массы. Ассортимент новой продукции: транспортный лоток для 10 яиц (Эконом-10), розничная упаковка Эмери 2x6 для 12 яиц.

Долгосрочная стратегия развития бизнеса ЗАО "ГОТЭК" позволила выйти на новые рынки сбыта, наладить партнерские отношения с крупными клиентами, поставщиками оборудования и материалов.

2.2 Анализ основных технико-экономических и финансовых показателей ЗАО "ГОТЭК"

Для анализа финансового состояния предприятия необходимо проанализировать основные показатели ликвидности, платежеспособности, рентабельности, финансовой устойчивости и оборачиваемости активов, а также проанализировать динамику выручки, себестоимости и прибыли предприятия. За основу были взяты официальные данные бухгалтерской отчетности - формы 1-2 (приложение Б). Рассмотрим Экономический потенциал предприятия ЗАО "ГОТЭК" в таблице 1.

Таблица 1- Производственный потенциал предприятия ЗАО "ГОТЭК" (данные взяты из бухгалтерского баланса приложение Б)

Разделы и статьи актива баланса

2007г.

2008г.

2009г.

2009 г. в % к 2007 г.

 Имущество, всего:

24217

 35594

60645

250,4

 Внеоборотные активы

10302

 20035

 22378

217,2

 в % ко всему имуществу

42,5

 56,3

 36,9

-

 Оборотные активы

13915

15559

 38267

275,0

 в % ко всему имуществу

57,5

 43,7

 63,1

-

 Запасы

4894

 10164

 6583

134,5

 в % к оборотным активам

35,2

 65,3

 17,2

-

 Денежные средства

255

278

 47

18,4

 в % к оборотным активам

1,8

 3,8

 0,4

-

 Дебиторская задолженность

8735

 4802

31534

361,0

 в % к оборотным активам

63

 30,9

 82,4

-


За аналогичный период имущество предприятия увеличилось в 2.5 раза.

При этом следует обратить внимание, что увеличение произошло за счет роста дебиторской задолженности. Так в 2009 г. по сравнению с 2007г. увеличилось в 3.6 раза дебиторская задолженность. Поэтому оборотные активы предприятия увеличились в 2.8 раза.

В результате их доля в имуществе предприятия повысилась на 5.6 процентных пунктов, что соответственно повлекло снижение удельного веса внеоборотных активов. Значительный рост дебиторской задолженности является отрицательной тенденцией, так как свидетельствует о несовершенствовании организации расчетов и взаимоотношений с покупателями продукции.

В конечном счете повышается риск невозврата дебиторской задолженности и получение убытка.

Большое влияние на финансовые результаты оказывает уровень обеспеченности его основными средствами.

Основные средства являются одним из важнейших факторов эффективности любого производства. Отличительной особенностью основных средств является их многократное использование в процессе производства, сохранение первоначального внешнего вида в течение длительного периода и постепенный перенос первоначальной стоимости на затраты производства. Экономическая эффективность их использования характеризуется долей амортизации в стоимости продукции.

Конечные результаты производства во многом определяются наличием и состоянием основных производственных фондов предприятия. Поэтому характеристика деятельности предприятия предполагает изучение обеспеченности основными производственными фондами.

Состав и структуру основных фондов анализируемого предприятия характеризуют показатели таблицы 2.

Таблица 2 - Состав и структура основных фондов ЗАО "ГОТЭК"

Виды основных фондов

2007г.

2008г.

2009г.

2009г. в% к 2007г.


Тыс. руб.

Уделвес, %

Тыс. руб.

Удел вес, %

Тыс. руб.

Уделвес , %


Здания

17471

70,4

17439

48,5

16962

42,1

97,1

Сооружения

 967

 3,9

 967

 2,7

1 444

 3,6

149,3

Машины и оборудование

5764

23,2

16664

46,4

19 614

48,6

340,3

Транспортные средства

479

1,9

765

2,1

2 004

5,0

418,4

Производственный и Хозяйственный инвентарь

147

0,6

105

0,3

307

0,7

208,8

Итого:

24828

100

35940

100

40331

100

162,4


По данным таблицы можно сделать вывод о том, что произошло увеличение стоимости основных средств за три года в 1.6 раз, что обусловило изменения в их структуре.

В 2007 г. наибольший удельный вес основных фондов занимали здания - 70,4 %; машины и оборудование - 23,2 %. В последующие периоды наблюдается снижение удельного веса зданий и повышение доли машин и оборудования.

В 2009г. удельный вес зданий составил 42,1 % , что на 28,3 процентных пунктов меньше по сравнению с 2007 г., а доля машин и оборудования повысилась на 25.4 процентных пунктов.

За анализируемый период на предприятии происходило обновление основных фондов, о чем свидетельствует повышение коэффициента обновления и значительный коэффициент роста в 2008 г. При снижении коэффициента выбытия, значимость которого ниже показателей обновления эта тенденция характеризует процесс расширенного воспроизводства основных фондов.

Позитивной динамикой является и снижение коэффициента износа, который за три года понизился на 13.2 процентных пунктов. Следовательно, на предприятии происходит улучшение технического состояния основных фондов, что будет способствовать повышению эффективности их использования.

Следует отметить, что за три года стоимость зданий изменилась незначительно. Поэтому повысилась доля активной части основных средств, что является позитивной тенденцией, так как это будет способствовать повышению фондоотдачи.

Показатели состояния и движения основных фондов представлены в таблице 3.

Основные средства представляют собой один из видов производственных ресурсов. Оценка эффективности их использования основана на применении общей для всех видов ресурсов технологии, которая предполагает расчёт и анализ показателей фондоотдачи и фондоёмкости. Показатели фондоотдачи характеризуют выход готовой продукции на 1руб.ресурсов. Показатели фондоёмкости характеризуют затраты ресурсов на 1руб.выпуска продукции.

Таблица 3 - Состояние и оценка воспроизводства основных фондов ЗАО "ГОТЭК" (данные взяты из бухгалтерского баланса приложение Б)

Наименование показателя

2007 г.

2008 г.

2009 г.

Отклонение 2009г. от 2007г.

Коэффициенты: роста

88,7

195,3

109,8

+21,1

 обновления

8,0

12,1

+4,1

 выбытия

12,0

1,8

1,2

-10,8

Износа: на начало года

56,6

64,5

51,3

-5,3

 на конец года

58,9

44,5

45,7

-13,2


Таблица 4 - Показатели обеспеченности основными фондами и эффективности их использования ЗАО "ГОТЭК" (данные взяты из бухгалтерского баланса приложение Б)

Наименование показателя

2007г.

2008г.

2009г.

2009г. в % к2007г.

 Фондовооруженность, тыс. руб.

44,2

31,8

61,3

138,7

 Фондоотдача, руб.

8,9

7,5

7,0

78,7

 Фондоемкость, руб.

0,11

0,13

0,14

127,3

 Фондорентабельность, %

18,0

13,0

12,0

-


Из данных таблицы 4 следует, что показатели эффективности использования основных фондов в 2009г. незначительно снизились по сравнению с 2007г.

При значительном росте фондовооруженности, которая за три года повысилась на 38.7% фондоотдача снизилась на 21.3%. Наряду с этим произошло и снижение фонда рентабельности на 6.0 процентных пунктов. Поэтому приходится констатировать, что темпы роста фондовооруженности опережают темпы роста производительности труда.

Важнейшим элементом процесса производства является оборотный капитал.

Оборотный капитал может находиться в сфере производства (запасы, незавершённое производство, расходы будущих периодов)и сфере обращения(готовая продукция на складах и отгруженная покупателям, средства в расчётах, краткосрочные финансовые вложения, денежная наличность в кассе и на счетах в банках, товары и др.).Оборотный капитал может функционировать в денежной и материальной форме.

Показатели, характеризующие состав и структуру оборотных средств, представлены в таблице 5.

Таблица 5 - Состав и структура оборотных средств ЗАО "ГОТЭК" (данные взяты из бухгалтерского баланса приложение Б)

Показатели

2007г.

2008 г.

2009 г.

2009 г. в % к 2007 г.

 Запасы, тыс.руб. в % к оборотным средствам в т.ч. сырье и материалы в % к запасам готовая продукция в % к запасам расходы будущих периодов в % к запасам

4894 35,2 4196 85,7 515 10,5 183 3,8

10164 65,3 9724 95,7 248 2,4 192 1,9

6583 17,2 6072 92,2 379 5,8 132 2,0

134,5 - 144,7 - 73,6 - 72,1 -

НДС в % к оборотным средствам

31 0,2

315 2,0

103 0,3

332,3 -

Дебиторская задолженность в % к оборотным средствам

8735 62,8

4802 30,9

31534 82,4

361 -

 Денежные средства в % к оборотным средствам

255 1,8

278 1,8

47 0,1

18,4 -

Итого оборотных средств

13915

15559

38267

275


В 2009г. по сравнению с 2007г. стоимость оборотных средств увеличилась в 2,8раза. В 2007г. наибольший удельный вес в оборотных средствах составляла дебиторская задолженность - 62,8%,запасы - 35,2%. А из запасов наибольший удельный вес составили сырьё и материалы - 85,7%,готовая продукция - 10,5% и расходы будущих периодов - 3,8%.

В 2008г. наибольший удельный вес был у запасов и составил 65,3%,а дебиторская задолженность - 30,9%.Из запасов наибольший удельный вес занимали сырьё и материалы - 95,7%.

В 2009г. дебиторская задолженность увеличилась в 36 раз и составила наибольшую часть всех оборотных средств - 82,4%.

Значительное увеличение дебиторской задолженности является негативной тенденцией, так как произошло изъятие средств из оборота, оказало отрицательное влияние на оборачиваемость капитала.

Таблица 6- Эффективность использования оборотных средств ЗАО "ГОТЭК" (данные взяты из бухгалтерского баланса приложение Б)

Показатели

2007г.

2008г.

2009г.

2009г. в%к 2007г.

Материалоемкость, руб.

0,72

0,57

0,66

91,7

Материалоотдача, руб.

1,39

1,76

1,52

109,4

Коэффициент оборачиваемости оборотных средств

9,02

7,71

5,47

 -

Коэффициент закрепления оборотных средств

11,1

13

18,3

 -


В 2009 г. по сравнению с 2007 г. на предприятии повысилась материалоотдача, а поэтому произошло снижение материалоемкости. Однако, по сравнению с предшествующим годом наблюдается снижение эффективности использования материальных ресурсов, так как материалоемкость производства понизилась на 8.3%. Кроме того, рост дебиторской задолженности обусловил снижение скорости оборота оборотных средств.

Таблица 7 - Производство и реализация продукции ЗАО "ГОТЭК" (данные взяты из отчета о прибылях и убытках приложение Б)

 Показатели

2007г.

2008г.

2009г.

2009 г. в%к 2007г.

Денежная выручка от реализации, тыс.руб.

96943

113685

147197

151,8

Стоимость продукции всего

94407,6

126513

140810,6

149,15

Картонной продукции тыс.руб.

74620,5

86539

104852,7

140,51

Упаковочной продукции, тыс.руб. Выпуск продукции, тонн

19787,1 11087,1

39974 10331,7

35957,9 10335,3

181,72 93,22

картон, т.

10551,3

9614,7

9685,8

91,8

упаковка, т.

535,8

717,0

649,5

121,22


За анализируемый период структура выпуска продукции существенно не изменилась. Однако наблюдается повышение удельного веса картонных изделий, что обусловлено увеличением объема их выпуска и реализации который повысился на 21.2 %, при сокращении выпуска упаковочной продукции. Объемы производства и продажи продукции оказывают большое влияние на показатели экономической эффективности.

По данным таблицы 8 видно, что денежная выручка в 2009 г. увеличилась по сравнению с 2007 г. на 50254 тыс. руб. Выручка, приходящаяся на одного работника также увеличилась, увеличение составило 147.4 тыс. руб., а выручка на 100 руб. основных фондов и 1 руб. оборотных средств уменьшилась в 2009 г. по сравнению с 2007 г.

В таблице 8 рассмотрим экономическую эффективность производства.

Таблица 8 - Экономическая эффективность производства ЗАО "ГОТЭК" (данные взяты из отчета о прибылях и убытках приложение Б)

Наименование показателя

2007г.

2008 г.

2009 г.

2009 г. в % к





2007 г.

2008 г.

Денежная выручка, тыс.руб. в т.ч. в расчете на:

96943

113685

147197

151,8

129,5

1 работника

284,3

333,4

431,7

151,8

129,5

100 руб. основных фондов, руб.

892,7

754,4

704,0

78,9

93,3

1 руб. оборотных средств, руб.

9,0

7,7

5,5

61,1

71,4

Прибыль от продаж, тыс.руб. в т.ч. в расчете на:

2562

3839

5656

220,8

147,3

1 работник, тыс.руб.

 7,5

11,3

16,6

221,3

146,9

100 руб.основных средств, руб.

23,6

25,5

27,0

114,4

105,9

1 руб. оборотных средств, руб.

0,24

0,26

0,21

87,5

80,8

Уровень рентабельности продаж, %

 3,0

 4,2

 4,7

 -

 -


Уменьшение произошло из-за того, что темп роста основных и оборотных средств больше темпа роста денежной выручки. Позитивной тенденцией в деятельности предприятия является повышение уровня рентабельности, что оказывает положительное влияние на его финансовое состояние.

.3 Характеристика распределения функций управления по уровням и звеньям аппарата управления ЗАО "ГОТЭК"

Решение о выборе организационной структуры принимается высшим руководством организации. Среднее и низшее звенья управления предоставляют исходную информацию, а иногда и предлагают свои варианты структуры подчиненных им подразделений. Наилучшей структурой организации считается такая структура, которая позволяет оптимально взаимодействовать с внешней и внутренней средой, удовлетворять потребности организации и наиболее эффективно достигать поставленных целей.

Процесс выбора организационной структуры состоит из трех этапов:

- деление организации на укрупненные блоки по горизонтали, в соответствии с осуществляемыми направлениями деятельности;

· установление соотношения полномочий должностей;

· определение должностных обязанностей и поручение их выполнения конкретным лицам.

Типы организационных структур:

Функциональная (классическая). Такая структура предполагает деление организации на отдельные функциональные элементы, каждый из которых имеет четкую конкретную задачу и обязанности. Такая структура типична для средних фирм или организаций, которые выпускают относительно ограниченную номенклатуру товаров, действуют в стабильных внешних условиях, и где чаще всего достаточно стандартных управленческих решений.

Дивизиональная. Это деление организации на элементы и блоки по видам товаров или услуг, или по группам потребителей, или по регионам, где реализуются товары.

Продуктовая. При этой структуре полномочия по производству и сбыту какого-либо товара передается одному руководителю. Эта структура наиболее эффективна при разработке, освоении производства и организации реализации новой продукции.

Региональная. Эта структура обеспечивает наилучшее решение проблем, связанных с учетом особенностей местного законодательства, а так же традиций, обычаев и нужд потребителей. Структура рассчитана, в основном, на продвижение товаров в отдаленные регионы страны.

Структура, ориентированная на потребителя. При такой структуре все подразделения объединяются вокруг определенных групп потребителей, которые имеют сходные или специфические потребности. Целью такой структуры является наиболее полное удовлетворение этих потребностей.

Проектная. Это временно создаваемая структура для решения какой-то конкретной проблемы, или для осуществления сложного проекта.

Матричная. Это структура, которая получается в результате наложения проектной структуры на функциональную, и предполагает принцип двойного подчинения (как функциональному руководителю, так и руководителю проекта).

Конгломератная. Она предполагает соединение различных подразделений и отделов, работающих функционально, но ориентированных на достижение целей других организационных структур конгломерата. Чаще всего такая структура находит применение в крупных национальных и международных корпорациях.

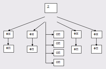
В ЗАО "ГОТЭК" используется линейно-функциональная организационная структура приложение А, краткая схема линейно-функциональной структуры управления изображена на рисунке 4.

Д- директор; ФН - функциональный начальники; ФП -функциональные подразделения; ОП - подразделения основного производства.

Рисунок 4 - Структура управления ЗАО "ГОТЭК"

Это наиболее распространенный подход. В данном случае линейное управление подкрепляется специальными вспомогательными службами.

Среди недостатков линейного и функционального построения -разногласия между линейными и функциональными служащими. Линейные служащие часто противодействуют работе функциональных экспертов; возникающие разногласия могут выразиться в неправильном толковании полученной от экспертов информации, которая передается линейными служащими непосредственным исполнителям.

Важную роль играет степень централизации организационной структуры. В централизованной организации все функции управления сосредоточены у высшего руководства. Преимуществом этой структуры является высокая степень контроля и координации деятельности организации. В децентрализованной организации некоторая часть управленческих функций передается своим филиалам, управлениям и т.д. Эту структуру применяют тогда, когда внешняя среда характеризуется сильной конкуренцией, динамичными рынками и быстро меняющейся технологией.

Делегирование полномочий является составной частью децентрализации. При отсутствии делегирования полномочий управление становится слишком централизованным.

Главная цель делегирования полномочий - сделать возможной децентрализацию управления организацией, когда масштабы управления слишком велики и сам процесс включает в себя передачу полномочий нижестоящим руководителям на выполнение специальных заданий. Передаются лишь полномочия, всю ответственность продолжает нести старший руководитель. Распределение полномочий в ЗАО "ГОТЭК" является децентрализованным. Уровень децентрализации можно расценивать как средний т.к.:

- количество решений, принимаемых на нижестоящих уровнях управления, составляет около 50% от общего объема решений (чем больше количество тех решений, которые принимают нижестоящие руководители, тем большая степень децентрализации);

- некоторые руководители среднего и нижнего звена могут принимать решения, связанные с затратами значительных материальных и трудовых ресурсов;

- руководство высшего звена проверяет повседневные решения подчиненных, ему руководителей, но не достаточно часто, исходя из предположения, что все эти решения правильные. Оценка действий руководства делается на основании суммарных достигнутых результатов, в особенности, уровня прибыльности и роста организации.

Главным источником недостатков в системе управления является высшее руководство ЗАО.

Существование столь большого разнообразия типов построения организации, безусловно, ведет к установлению разных видов взаимоотношений между членами организации, занимающими различные посты и должности. Виды отношений внутри организации аналогичны типу построения структуры ее управления. Они включают следующие варианты:

· линейные отношения;

· функциональные отношения;

· отношения управленческого аппарата;

· литеральные отношения.

Линейные отношения - это отношения между руководителем и его подчиненными.

Функциональные отношения - это отношения специалиста, который уполномочен выполнять ту или иную функцию в рамках всей организации, с другими членами организации. Обычно такая производственная миссия имеет рекомендательный характер. Например, начальник отдела кадров поддерживает функциональные отношения с начальником цеха в вопросах приема на работу, обучения и социального обеспечения работников. Причем и сам функциональный руководитель находится в рамках своей линейной организации, например начальник отдела кадров по отношению к сотрудникам своего отдела.

Отношения управленческого аппарата. Данный тип отношений имеет место в случае представления чьих-либо прав и полномочий. Должностные обязанности при этом состоят в предоставлении рекомендаций, советов. Например, помощник начальника управления вступает в отношения с линейными руководителями как бы по поручению начальника управления, выражая волю и желания последнего. В этом случае помощник осуществляет полномочия, которыми обладает начальник управления. Не располагая лично полномочиями, помощник не принимает решения, но его обязанность состоит в предоставлении рекомендаций своему непосредственному руководителю по тем или иным производственным, коммерческим и другим вопросам, связанным с предпринимательством.

Литеральные отношения могут быть двух категорий. Во-первых, коллегиональные - это отношения между служащими одного отдела, подчиненными одному начальнику. Во-вторых, параллельные - это отношения, которые вызваны необходимостью обмена информацией, идеями и мнениями между служащими, занимающими одинаковое положение в организации, но работающими в разных отделах.

В ЗАО "ГОТЭК" имеют место все перечисленные виды взаимоотношений, но наиболее преобладающими являются линейные, функциональные и отношения управленческого аппарата.

Преимущества: экономия рабочего времени для высшего звена руководителей, освобождение от ежедневной чисто административной работы.

Недостатки проявляются в том, что помощники руководителей часто превышают свои полномочия, неофициально приобретая дополнительные власть и влияние; руководители, ответственные за решение кадровых вопросов, могут пытаться оказывать влияние на линейных руководителей. Используется не достаточно хороший метод обучения и подготовки будущих руководителей.

Проанализируем следующие функции управления ЗАО "ГОТЭК":

- определение целей и планирование;

- организация исполнения, координация и стимулирование деятельности исполнителей;

- учет и контроль исполнения.

Существующая на данный момент времени организационная структура ЗАО "ГОТЭК" формально соответствует документально определенной цели - получение прибыли.

Однако она не позволяет эффективно развивать бизнес, в том числе и увеличивать прибыль. Этому способствует отсутствие четко разработанных организационных документов, которые должны представлять комплекс взаимоувязанных документов, регламентирующих структуру, задачи и функции ЗАО "ГОТЭК", организацию его работы, права, обязанности и ответственность руководителей, менеджеров и обеспечивающего персонала. Практически руководством ЗАО "ГОТЭК" разработан один документ -"Структура и задачи ЗАО "ГОТЭК" и его подразделений, должностные обязанности сотрудников", который не в полной мере отвечает требованиям, предъявляемым к организационным документам.

У руководителей ЗАО "ГОТЭК" отсутствует единый подход к определению целей, стоящих перед ЗАО "ГОТЭК" и формулированию задач, с помощью которых эти цели могут быть достигнуты.

Текущая организация работы по привлечению новых клиентов находится, мягко говоря, в удрученном состоянии. Результаты проведенной оценки эффективности воздействия на потенциальных клиентов типовых макетов рекламы фирмы позволяют отнести их к разряду объявлений. Следовательно, высока вероятность того, что в ЗАО "ГОТЭК"обращаются только те клиенты, которые для себя ранее уже приняли решение воспользоваться услугами, а ЗАО "ГОТЭК" выбран ими по случайному признаку.

В своей практической деятельности руководители слабо претворяют в жизнь (реализуют) основные функции, которые обязан комплексно выполнять любой управленец:

· планирование;

· организация;

· управление персоналом;

· руководство;

· контроль.

Основная причина - недостаточно развитые управленческие навыки, знания и умения.

Общая система управления имеет четко выраженные т. н. "вертикальные" связи и гораздо менее - "горизонтальные", что делает ее крайне неустойчивой по отношению к внешним воздействиям а, по сути, зависимой по критерию эффективность только от физического здоровья и желания трудиться Генерального директора. При таком подходе практически исключается творчество и инициатива со стороны руководителей отделов -они выполняют только исполнительские функции.

Функция планирования предполагает, что в организации осуществляются следующие действия:

1. на основе изучения внешней среды и интересов основных групп влияния формулируется миссия организации;

2. исходя из требований рынка и возможностей организации устанавливаются ее цели;

3. исходя из установленных целей организации и состояния внешней и внутренней среды определяются альтернативные стратегии;

4. для реализации стратегий в организации разрабатываются политика и процедуры, устанавливающие стандарты и нормы в действиях членов организации;

5. практическая работа в подразделениях строится на основе оперативных планов;

6. планы организации и ее частей обеспечиваются системой показателей и финансовыми ресурсами для их реализации.

В ЗАО "ГОТЭК" функция планирования выполняется многими подразделениями. Ведущую роль несомненно играет служба планирования. Однако значительную часть работы по планированию выполняют в свой области финансовый отдел, бухгалтерия, отдел снабжения, сбыта, маркетинга, НИОКР и др.

Мотивировать значит побуждать, как управленческая категория, это воздействие на побуждающие факторы человека, под влиянием которых у него возникает потребность работать так, чтобы содействовать достижению целей. Таким образом, мотивация является функцией управления.

Анализ существующих в организации подходов к стимулированию труда. Стимулирование труда - способ управления трудовым поведением работника, состоящий в целенаправленном воздействии на поведение персонала посредством влияния на условия его жизнедеятельности, используя мотивы, движущие его деятельностью. Осуществляется с помощью поощрения, различают материальное и моральное поощрение. В ЗАО "ГОТЭК" используются следующие виды материального поощрения труда (совокупность форм и методов обеспечения и повышения материальной заинтересованности работников в достижении определенных индивидуальных и коллективных результатов):

- базовая заработная плата;

- премиально-переменная часть базовой заработной платы стимулирующего характера.

И некоторые виды морального стимулирования (стимулирование труда, регулирующего поведение работника на основе использования предметов и явлений, специально предназначенных для выражения общественного признания работника и способствующее повышению его престижа):

- вручение наград,

· вручение грамот.

Структуризация потребностей работников. Чтобы создать высокую мотивацию, надо создать условия для удовлетворения потребностей. Нужно превратить работу из занятия по производству и реализации продукции в занятие по реализации потребностей работника.

Всем известная иерархия потребностей Маслоу работает и на нашем предприятии. Она включает в себя следующее:

· удобство рабочего места и его техническая оснащенность находятся на высоком уровне у директора и главных менеджеров отдела сбыта и заметно хуже у рядовых сотрудников,

· уровень шума в некоторых кабинетах приближается к максимально допустимому значению,

· во всем отделе поддерживается достаточная чистота помещений,

· вознаграждения (зарплата и премии) не строго фиксированные, но наблюдается большая разница в тарифах управленческого персонала и рядовых сотрудниках отдела, отсутствуют оплаченные питание, отдых, компенсация транспортных расходов и оплата культурных мероприятий.

Все это средства удовлетворения физиологических потребностей сотрудников.

- осведомленность о происходящем в компании среди рядовых сотрудников низкая, партнерские отношения в коллективе напряженные.

- большинство сотрудников не видят возможности карьерного роста, а также не сознают, что окружающие считают его компетентным и признают его достижения, отсюда и отсутствие желания развиваться в профессиональной сфере.

Согласно Положению "О системе оплаты труда служащих, специалистов, руководящих работников ЗАО "ГОТЭК", структура заработной платы определяется как совокупность различных видов оплат.

Выплачиваемая заработная плата может включать в себя следующие элементы:

- базовая заработная плата;

премиально-переменная часть базовой заработной платы стимулирующего характера;

· социальные стимулы (льготы работникам);

· премия по итогам года;

· дивиденды;

· разовые выплаты за конкретные результаты работы (из директорского фонда);

· выплаты различного характера (доплата за работу в ночное время, повышение квалификации, руководство бригадами; оплата за работу в выходные и праздничные дни, время нахождения в служебных командировках, время исполнения государственных и общественных обязанностей, обучение учеников на производстве; надбавки за высокую квалификацию, классность, увеличение объема работ, за освоение компьютерных технологий);

· комиссионные выплаты от конкретных сделок (по Положению для коммерческих служб);

· премии победителям внутриорганизационных соревнований, выплачиваемые два раза в год - к юбилею организации и ко Дню торговли.

Основой системы оплаты труда в ЗАО "ГОТЭК" являются два элемента заработной платы: базовая заработная плата и премиально-переменная часть базовой заработной платы стимулирующего характера. Последней отводится роль обеспечения эффективного стимулирования груда за счет увязки с результатами конкретного труда (индивидуальных результатов труда конкретного работника), в то время как базовая часть лежит в основе ее расчета. Базовая заработная плата соответствует установленным окладам и включает все установленные в данный период надбавки.

Премиально-переменная часть начисляется на должностной оклад работника за фактически отработанное в отчетном периоде время с учетом доплат и надбавок к базовому окладу. Она складывается из суммы четырех коэффициентов, каждый из которых имеет свои оценочные уровни (А, В, С, Д, Е) выполнения работы (планов), выраженные баллами.

Основанием для расчета переменных общезаводских коэффициентов являются данные бухгалтерской отчетности и оперативного учета. Размер премиальной части ФОТ утверждается приказом Генерального директора после рассмотрения материалов по премированию на заседаниях балансовой комиссии ЗАО "ГОТЭК".

Проанализируем основы деятельности отдела контроля качества и координации (далее - отдел). Данный отдел осуществляет контроль качества продукции (работ, услуг) организации и участвует в разработке комплекса мероприятий по его повышению на основе применения современных методов и принципов управления качеством, а также посредством единой электронной системы координации ЭКС осуществляет координацию деятельность всего предприятия. Он является самостоятельным структурным подразделением организации и подчиняется непосредственно ее руководителю или одному из его заместителей.

В своей деятельности отдел руководствуется действующим законодательством, нормативно-правовыми актами и методическими материалами по управлению качеством продукции (работ, услуг), организационно-распорядительными документами самой организации и настоящим положением. Деятельность отдела осуществляется на основе текущего и перспективного планирования, сочетания единоначалия в решении вопросов служебной деятельности и коллегиальности при их обсуждении, персональной ответственности работников за надлежащее исполнение возложенных на них должностных обязанностей и отдельных поручений начальника отдела.

Начальник и другие работники отдела назначаются на должности и освобождаются от занимаемых должностей приказом руководителя организации в соответствии с действующим законодательством Российской Федерации. Квалификационные требования, функциональные обязанности, права, ответственность начальника и других работников отдела регламентируются должностными инструкциями, утверждаемыми руководителем организации. Отдел возглавляет начальник, на должность которого назначается лицо, имеющее высшее профессиональное образование и стаж работы по специальности на руководящих должностях более 12 лет.

Начальник отдела:

- руководит всей деятельностью отдела, несет персональную ответственность за своевременное и качественное выполнение возложенных на отдел задач и функций;

· осуществляет в пределах своей компетенции функции управления (планирования, организации, мотивации, контроля), принимает решения, обязательные для всех работников отдела;

· распределяет функциональные обязанности и отдельные поручения между сотрудниками отдела, устанавливает степень их ответственности, при необходимости вносит предложения руководителю организации об изменении должностных инструкций подчиненных ему работников;

· вносит руководству организации предложения по совершенствованию работы отдела, оптимизации его структуры и штатной численности;

- участвует в перспективном и текущем планировании деятельности отдела, а также подготовке приказов, распоряжений и иных документов, касающихся возложенных на отдел задач и функций;

- принимает необходимые меры для улучшения материально- технического и информационного обеспечения, условий труда, повышения профессиональной подготовки работников отдела;

участвует в подборе и расстановке кадров отдела, вносит руководству организации предложения о поощрении и наложении дисциплинарных взысканий на работников отдела, направлении их на переподготовку и повышение квалификации;

- совершенствует систему трудовой мотивации работников отдела;

- осуществляет контроль за исполнением подчиненными ему работниками своих должностных обязанностей, соблюдением трудовой дисциплины и деятельностью отдела в целом.

Отдел осуществляет свою деятельность во взаимодействии с другими службами и структурными подразделениями организации, а также в пределах своей компетенции со сторонними организациями.

Проверка поступающих в организацию материальных ресурсов (сырья, материалов, полуфабрикатов, комплектующих изделий), подготовка заключений о соответствии их качества стандартам и техническим условиям ведется на необходимом уровне.

Производится операционный контроль на всех стадиях производственного процесса, контроль качества и комплектности готовой продукции, качества инструмента и технологической оснастки, правильности хранения в подразделениях организации и на складах сырья, материалов, полуфабрикатов, комплектующих изделий, готовой продукции.

За ненадлежащее исполнение должностных обязанностей и нарушение трудовой дисциплины работники отдела несут ответственность в порядке, предусмотренном действующим законодательством.

Основные задачи отдела выполняются в полной мере и в соответствии с требованиями стандартов и технических условий, технической документацией, условиями поставок и договоров.

Ведется разработка и проведение мероприятий по повышению качества продукции (работ, услуг) организации на основе применения современных методов и принципов комплексного управления качеством.

В настоящее время осуществляется совершенствование и внедрение новых методов организации работы, в том числе на основе использования современных информационных технологий.

Перспективные направления деятельности отдела:

- Разработка и проведение мероприятий по повышению качества продукции (работ, услуг), обеспечению их соответствия современному уровню развития науки и техники, потребностям внутреннего рынка, экспортным требованиям и т.п.

- Разработка и внедрение системы управления качеством, стандартов и нормативов, показателей, регламентирующих качество продукции (работ, услуг), наиболее совершенных методов контроля, предусматривающих автоматизацию и механизацию контрольных операций, систем бездефектной сдачи продукции, не разрушающего контроля и др.

- Проведение не предусмотренных технологическим процессом выборочных проверок качества готовой продукции, сырья, материалов, полуфабрикатов, комплектующих изделий, качества и состояния технологического оборудования и инструмента, условий производства, хранения и транспортировки продукции.

- Анализ рекламаций, изучение причин возникновения дефектов и нарушений технологии производства, ухудшения качества работ, выпуска брака и продукции пониженных сортов, разработка предложений по их устранению.

Исходя из проведенного анализа отдела контроля и координации недостатков в функциональном распределении управления не выявлено.

3. Совершенствование функций управления

.1 Предложения по совершенствованию функций управления в ЗАО "ГОТЭК"

Проведённые исследования, выявившие очевидные недостатки таких функций управления, как планирование и мотивация, обусловленные действующей организационной структурой и системой морального/материального стимулирования, дали основание для корректировки структуры управления ЗАО "ГОТЭК". Стабильное финансовое положение предприятия во многом определяется правильностью функционального разделения управления. В связи недостатками в планировании, являющемся важной функцией управления предприятием, в структуру управления целесообразно ввести отдел маркетинга. Отдел маркетинга будет являться структурным подразделением ЗАО "ГОТЭК" и подчиняться директору предприятия. Отдел продаж возглавит начальник отдела продаж. Целью деятельности отдела маркетинга будет являться увязывание целей предприятия по получению доходности с удовлетворением потребности в продукте на рынке. Структура отдела маркетинга представлена на схеме:

Рис. 2 - Структура отдела маркетинга ЗАО "ГОТЭК" Основные положения

1. Структуру и штаты отдела маркетинга утверждает директор по представлению начальника отдела.

2. Руководство отделом маркетинга осуществляет начальник отдела, который назначается и освобождается от должности приказом директора.

3. Требования к квалификации, специальным и дополнительным знаниям, а также порядок замещения должности начальника отдела маркетинга изложены в должностной инструкции начальника отдела маркетинга.

4. Распределение обязанностей в отделе маркетинга осуществляется начальником отдела в соответствии с настоящим Положением и должностными инструкциями.

Задачи отдела:

§  комплексное изучение рынка и воздействие на потребительский спрос с целью его развития в необходимых для предприятия направлениях;

§  исследование внутренней среды предприятия для обеспечения целевого развития и повышения конкурентоспособности на рынке;

§  стимулирование продаж продукции предприятия и организация рекламной деятельности.

Функции отдела:

1. Комплексное изучение рынка и воздействие на потребительский спрос с целью его развития в необходимых для предприятия направлениях:

2. Мониторинг внешней среды (экономический и финансовый климат, политическая и правовая среда, демографическая обстановка, тенденции в области технологий, тенденции развития отраслевых и региональных рынков, сезонные колебания).

3. Оценка стабильности или динамики внешней среды, выявление конъюнктурообразующих факторов.

4. Анализ конкурентной среды:

- оценка технического уровня, качества производимых товаров, политики ценообразования, системы товародвижения, сервиса конкурентов, эффективности их деятельности в сопоставлении с потребностями клиентов;

- оценка конкурентоспособности собственного предприятия.

5. Исследование спроса:

- анализ потребностей клиентов по рыночным сегментам;

- анализ деятельности предприятия, исходя из потребностей рынка, определение положения собственного товара в сознании потребителя;

· прогнозирование спроса (по отраслям потребления, регионам, клиентам);

· выявление возможностей (опасностей) в отношении собственных товарных групп, анализ преимуществ и недостатков.

6. Исследование рынка поставщиков:

· определение конъюнктуры рынка сырья и прогнозирование рынка;

· сбор информации о работе поставщиков (статистика, конкурентные преимущества);

· анализ возможностей закупки сырья, возможностей по оптимизации состава поставщиков.

7.  Прогнозирование изменений издержек производства по основным для предприятия группам и оценка потенциала получения доходности по продуктам при сложившейся конъюнктуре рынка.

8.  Формирование продуктовой программы (целевые товарные группы с распределнием объемов по потребителям).

9. Годовое и ежемесячное планирование перспективного спроса (составление плана проработки потенциальных клиентов) для выполнения плана загрузки мощностей в каждый конкретный период времени.

10. Анализ выполнения запланированного объема проработки, выявление тенденций, корректировка стратегии движения на рынке.

. Исследование внутренней среды предприятия для обеспечения целевого развития и повышения конкурентоспособности на рынке:

12. Оценка эффективности действий по продвижению товаров, выявление проблемных точек, формирование предложений по их устранению.

13.   Оценка привлекательности продукции (качество продаж внутренних производственных возможностей, качество продукта, сервис и их "цена") и ее усиление.

14.   Разработка стратегии и плана маркетинга с учетом существующих стратегий и проектов предприятия, а также перспективных планов развития.

15.   Выделение приоритетных направлений в организации процесса продаж (системы действий для достижения стратегических целей).

16.   Формирование и представление предложений по организации загрузки производства, системе сбыта продукции, направлениям проведения рекламных кампаний.

17. Стимулирование сбыта продаж продукции и организация рекламной деятельности предприятия:

18. Определение целей программ по стимулированию сбыта.

19. Анализ мотивов определенного отношения потребителей к продукции предприятия и выделение преимуществ "товара от нас".

20. Определение целевой аудитории, средств реализации программ и составление планов мероприятий.

21. Организация взаимодействий с маркетинговыми и рекламными агентствами и определение возможностей по их привлечению к реализации программ.

22. Планирование затрат на проведение программ и предварительная оценка их эффективности.

23. Согласование и утверждение программ.

. Организация электронной рекламы и рекламы в средствах массовой информации.

25. Организация почтовых рассылок с информационными материалами и образцами продукции предприятия.

26. Организация участия предприятия в выставках, конференциях, семинарах.

27. Организация связей с общественностью.

28. Анализ рекламной деятельности, ее влияния на сбыт продукции и определение эффективности.

29. Разработка предложений по формированию фирменного стиля.

30. Развитие дилерской сети. Функции менеджмента качества:

· Организация изучения мнения потребителей по улучшению качества производимой продукции.

· Участие в разработке документации системы менеджмента качества в рамках компетенции подразделения.

Распределение функций между работниками отдела маркетинга будут осуществляться в соответствии с матрицей распределения, которая представлена в приложении В.

Пути совершенствования мотивационных процессов. На основе проведенного анализа существующих в организации подходов к стимулированию труда предлагаю следующие усовершенствования:

Моральное стимулирование. Кроме существующих в ЗАО "ГОТЭК" видов стимулирования ввести:

- занесение на доску почета;

· присвоение званий "Лучший по профессии", "Отличник качества" или "Коллектив отличного качества";

· организовать коллективное вручение грамот, призов и т.п. Материальное стимулирование:

- ввести выплату ежеквартальной специальной премии независимо отиных поощрений за разработку и внедрение новых направлений производства, в размере 10 %,15% и 20% от должностного оклада.

Исходя из проведенных исследований по теории потребностей Маслоу:

·  обратить внимание на повышение удобства рабочего места и его технической оснащенности рядовых сотрудников организации, путем замены старого оборудования на более современное,

·  снизить уровень шума, путем внедрения новы технологий,

·  снизить разницу в тарифах управленческого персонала и рядовых сотрудниках отдела, путем усовершенствования существующей системы премирования,

· ввести оплаченное питание,

· частично оплатный отдых,

· компенсацию транспортных расходов,

· выделить средства для оплаты культурных мероприятий,

- повысить осведомленность о происходящем в компании среди сотрудников, с помощью создания ежемесячной газеты о предприятии в виде электронного носителя и предоставить доступ к данному ресурсу каждому сотруднику,

- повысить возможности карьерного роста, используя выдвижение на повышение в должности в качестве средства морального стимулирования.

Таким образом, с помощью предложений по совершенствованию функций управления - планирования, контроля и координации, можно добиться снижения и полного устранению недостатков, выявленных при анализе деятельности ЗАО "ГОТЭК".

3.2 Оценка эффективности предложений по совершенствованию функций управления ЗАО "ГОТЭК"

Понятие эффективность может рассматриваться в двух аспектах:

1.эффективность, другими словами отдача, рентабельность, как итоговая характеристика какой-либо деятельности в целом, выполнения ее отдельных функций. Эта характеристика включает эффект, определяющий степень достижения тех или иных целей, отнесенный к затратам на их достижение. Решение тем эффективнее, чем больше степень достижения целей и меньше затраты на их реализацию.

2. эффективность как характеристика результативности, действенности какой-либо деятельности без соотнесения полученных результатов с затраченными ресурсами. В данном случае она характеризует, прежде всего, выбор правильных целей, направлений действий, без чего с позиций первой трактовки может быть обеспеченна высокая эффективность достижения неправильных целей. При этом под результативностью действий принято понимать степень соответствия их результатов задачам достижения определенной цели или совокупности целей (запланированных результатов).

Большинство оценок эффективности рассматривается именно с этих позиций. Учет затрат (если это требуется) осуществляется при использовании данного подхода путем их вычитания (а не деления на них) их конечных результатов, представленных в денежной форме, например, путем использования отчетов о прибылях и убытках при определении величины прибыли, которая может рассматриваться как показатель эффективности. При оценке эффективности используются качественные и количественные методы.

Анализируя эффективность предложений по усовершенствованию функций управления ЗАО "ГОТЭК", мы можем сделать следующие выводы:

·  учитывая цели и функции, предназначенные для осуществления в процессе деятельности внедряемого отдела маркетинга, делаем выводы о соответствии целей и функций данного отдела генеральной цели ЗАО "ГОТЭК" - производство упаковочных товаров удовлетворяющих спросу максимального количества покупателей;

·  выявленные в процессе анализа функции управления (планирования) недостатки компенсируются деятельностью создаваемого отдела маркетинга в процессе планированию на основе сбора, обработки и анализа данных деятельности предприятия.

Анализируя эффективность предлагаемых методов мотивации персонала ЗАО "ГОТЭК" выделяем следующее:

· преимуществом данного подхода является то, что он не окажет существенной нагрузки на фонд оплаты труда и не будет иметь инфляционных последствий для социально-экономического развития ЗАО "ГОТЭК";

· реализация этого подхода позволит работникам предприятия иметь высокую зарплату, что позволит удержать и привлечь на работу в ЗАО "ГОТЭК" высококвалифицированных, инициативных и ответственных специалистов;

· недостатком является то, что реализация такого подхода неизбежно будет болезненной, так как потребуется высвобождение определенного количества сотрудников.

Особое внимание следует уделить таким сопутствующим мерам, как повышение эффективности кадровых служб, повышение требований к претендентам на занятие должностей, улучшение организации труда и рассмотрение возможности предоставления различных льгот наряду с зарплатой и др.

Заключение

Итак, управление предприятием предназначено для сохранения его миссии и осуществляется путем противодействия разрушению предприятия в результате его взаимодействия с внешней средой. Качество управления определяется заданным критерием, правилами принятия решения и используемой информацией.

В составе персонала предприятий выделяют три категории работников:

а) персонал управления;

б) оперативный персонал;

в) вспомогательный персонал.

Деление персонала предприятия по категориям работников представляет собой наиболее общую форму функционального разделения их труда.

Основными видами разделения труда являются функциональное, технологическое и квалификационное. Функция управления - вид деятельности, основанный на разделении и кооперации менеджмента и характеризующийся определенной однородностью, сложностью и стабильностью воздействий на объект со стороны субъекта управления.

Функции управления и установление объема работ по каждой функции являются основой для формирования структуры управляющей системы и взаимодействия ее компонентов. Это краткие выводы первых двух глав.

Во второй главе курсовой работы мы охарактеризовали основные производственно-хозяйствейнные показатели деятельности ЗАО "ГОТЭК", историю предприятия, виды выпускаемой продукции и организационную структуру. На основании методологических и теоретических аспектов и приведенных характеристик предприятия был проведен анализ деятельности ЗАО "ГОТЭК", а именно, проведено исследование распределение функциональных обязанностей по уровням и звеньям аппарата управления.

Исходя из проведенного анализа распределения функций управления в ЗАО "ГОТЭК" и выявленных недостатков в третей главе курсовой работе были предложены следующие шаги по совершенствованию распределения функциональных обязанностей:

Пути совершенствования мотивационных процессов. На основе проведенного анализа существующих в организации подходов к стимулированию труда предлагаю следующие усовершенствования:

1. В связи недостатками в функциях определении целей и планировании в структуру управления предлагается ввести отдел маркетинга. Отдел маркетинга будет являться структурным подразделением ЗАО "ГОТЭК" и подчиняться директору предприятия. Отдел продаж возглавит начальник отдела продаж.

Целью деятельности отдела маркетинга будет являться увязывание целей предприятия по получению доходности с удовлетворением потребности в продукте на рынке, и осуществлении функции планирования.

2. Предложения по совершенствованию мотивации.

А) Моральное стимулирование. Кроме существующих в ЗАО "ГОТЭК" видов стимулирования ввести:

·  занесение на доску почета;

·  присвоение званий "Лучший по профессии", "Отличник качества" или "Коллектив отличного качества";

·  организовать коллективное вручение грамот, призов и т.п. Б) Материальное стимулирование:

- ввести выплату ежеквартальной специальной премии независимо от иных поощрений за разработку и внедрение новых направлений производства, в размере 10 %,15% и 20% от должностного оклада.

Во втором разделе третьей главы сделан анализ эффективности предложений по совершенствованию таких функций управления, как определение целей, планирование и мотивация.

В процессе анализа функций контроля и координации в ЗАО "ГОТЭК" недостатков не выявлено.

Таким образом, повышение эффективности процессов управления, рационализация структуры и методов деятельности управленческого аппарата, обеспечение должного соотношения прав и ответственности органов и служащих в принятии и исполнении решений зависят от содержания работы органов управления, от правильного определения их функций. Четкое представление о том, что должен делать орган управления и что он делает, позволяет искать наиболее эффективные пути реализации его задач, обеспечивать деятельность этого органа материальными, техническими, организационными, правовыми средствами, обогащать формы и методы его работы.

Список использованной литературы

1. Алексеев Н.С. Эволюция систем управления предприятием. // Проблемы теории и практики управления. - 1999. - №2.

2. Балабанов И.Т. Финансовый анализ и планирование хозяйственного субъекта. - 2-е изд., доп. - М.: Финансы и статистика, 2005.

3. Бригхем Ю., Гапенски Л. Финансовый менеджмент - СПб.: Экономическая школ, 2005.

4. Касаев Б. С, Тебекин А. В., Менеджмент организации. Электронный учебник серия: "Азбука психологии", 2008 г., Изд.: КНОРУС.

5. Крейнина М. Н. Финансовый менеджмент. - М., 2001.

6. Лафта, Дж.К. Менеджмент: учебник/ Дж.К. Лафта.- М.:ПБОЮЛ Григорян А.Ф., 2002, 264 с.

7. Малков М.И. Подходы к измерению эффективности маркетинга // Маркетинг, 2007. №3.

8. Павлова Л.Н. Финансовый менеджмент. Управление денежным оборотом предприятия. - М., 2002.

9. Райн Б. Стратегический учет для руководителей. - М.: ЮНИТИ, 2003.

Ю.Савчук В.П. Финансовый менеджмент предприятий:

практические вопросы с анализом деловых ситуаций. - Киев:

Издательский дом Максимум, 2001. П.Смолкин, A.M. Менеджмент: основы организации: учеб.

Пособие для вузов/ A.M. Смолкин.- М.: ИНФРА-М, 1999.-247с. 12.Т.Н.Клемина. Теория организации эпохи переходной экономики

// Российский журнал менеджмента. 2005. Т. 3. № 4. С. 178-182.

.Терехов Л.Л. Социально-экономическое прогнозирование. Ростов н/Д, 2007.

14.Турусина А.Ю. Операционная эффективность маркетинга // Маркетинг и маркетинговые исследования, 2006. №1.

15.Фатхутдинов Р.А. Производственный менеджмент: Учебник. -3-е изд., перераб. и доп. -М.: Издательско-торговая корпорация "Дашков и К", 2002.

16.<#"515526.files/image004.gif">

ПРИЛОЖЕНИЕ Б


Показатель

За отчетный период

За аналогичный период предыдущего года

наименование

код



Доходы и расходы по обычным видам деятельности




Выручка (нетто) от продажи товаров, продукции, работ, услуг (за минусом налога на добавленную стоимость, акцизов и аналогичных обязательных платежей)

010

113685

96943

Себестоимость проданных товаров, продукции, работ, услуг

020

91700

85314

Валовая прибыль

029

21985

11629

Коммерческие расходы

030

18146

9067

Управленческие расходы

040



Прибыль (убыток) от продаж

050

3839

2562

Прочие доходы и расходы




Проценты к получению

060

2

3

Проценты к уплате

070

1423


Доходы от участия в других организациях

080



Прочие доходы

090

71

1920

Прочие расходы

100

610

2589

Прибыль (убыток) до налогообложения

140

1984

1906

Отложенные налоговые активы

141

7


Отложенные налоговые обязательства

142

371


Текущий налог на прибыль

150

202

313

Чистая прибыль (убыток) отчетного периода

190

1418

1775

СПРАВОЧНО Постоянные налоговые обязательства (активы)

200

375


Базовая прибыль (убыток) на акцию




Разводненная прибыль (убыток) на акцию





Показатель

За отчетный период

За аналогичный период предыдущего года

наименование

код



Доходы и расходы по обычным видам деятельности




Выручка (нетто) от продажи товаров, продукции, работ, услуг (за минусом налога на добавленную стоимость, акцизов и аналогичных обязательных платежей)

010

147197

113685

Себестоимость проданных товаров, продукции, работ, услуг

020

92566

91700

Валовая прибыль

029

23665

21985

Коммерческие расходы

030

19785

18146

Управленческие расходы

040



Прибыль (убыток) от продаж

050

4100

3839

Прочие доходы и расходы




Проценты к получению

060

2

2

Проценты к уплате

070

1522

1423

Доходы от участия в других организациях

080



Прочие доходы

090

71

71

Прочие расходы

100

611

610

Прибыль (убыток) до налогообложения

140

1988

1984

Отложенные налоговые активы

141

7

7

Отложенные налоговые обязательства

142

371

371

Текущий налог на прибыль

150

202

202

Чистая прибыль (убыток) отчетного периода

190

1641

1418

СПРАВОЧНО Постоянные налоговые обязательства (активы)

200


375

Базовая прибыль (убыток) на акцию




Разводненная прибыль (убыток) на акцию




Приложение В

Основные показатели результатов хозяйственной деятельности организации (предприятия) за 200… - 200… годы (три последних года)

Показатели

Значения


2007

2008

2009

Объем товарной продукции, тыс. руб.

96943

113685

147197

Среднегодовая стоимость оборотных фондов, тыс. руб.

13915

15559

38267

Среднегодовая стоимость Имущества Тыс. руб.

24217

35594

60645

Себестоимость товарной продукции, тыс. руб.

94407,6

126513

140810,6

Выручка от реализации продукции, тыс. руб.

2562

3839

5656

Уровень рентабельности продаж, %

3,0

4,2

4,7

Фондоотдача

8,9

7,5

7,0

Фондовооруженность

44,2

31,8

61,3

Фондоемкость, руб.

0,11

0,13

0,14

Фондорентабельность, %

18,0

13,0

12,0

Материалоемкость, руб.

0,72

0,57

0,66

Материалоотдача, руб.

1,39

1,76

1,52

Коэффициент оборачиваемости оборотных средств

9,02

7,71

5,47

Коэффициент закрепления оборотных средств

11,1

13

18,3

Среднегодовой фонд оплаты труда, тыс. руб.

26585

27674

27376

Производительность труда

100,7

88,3

107,9

Среднемесячная заработная плата, тыс. руб.

1564

1797

2384

Рентабельность производимой продукции

0,7

0,7

0,6

Среднесписочная численность работников, чел.

560

485

452

Среднегодовые затраты на управление, тыс. руб.

3168

2987

2250

Балансовая прибыль, тыс. руб.

1775

1418

1641



Не нашли материал для своей работы?
Поможем написать уникальную работу
Без плагиата!
Без нейросетей!