Исследование систем управления
Содержание
Введение
.
Теоретические основы исследования систем управления
.
ОСМиБТ как объект исследования
.
Диагностика состояния организации и выявление организационных проблем
.1
Диагностика состояния организации и выявление организационных проблем
.2
Структурный анализ организационной структуры
.3
Функциональная диагностика фирмы
Заключение
Список
литературы
Приложение
Введение
Множество целей и задач, стоящих перед
организациями разного класса сложности и разной отраслевой принадлежности
приводит к тому, что для управления ими требуются специальные знания и
искусство, методы и приемы, обеспечивающие эффективную совместную деятельность
работников всех структурных подразделений. Каждая организация имеет конкретную
систему управления, которая также является объектом исследования. Исследовать
систему управления можно только на основе выбранной научной концепции, которая
используется как средство для изучения характеристик объекта управления.
Ценность этой концепции заключается в том, что она способствует более глубокому
пониманию характеристик изучаемой системы и процесса функционирования
организации как системы. Система управления любой организации является сложной
системой, созданной для сбора, анализа и переработки информации с целью
получения максимального конечного результата при определенных ограничения,
поэтому тема исследования систем управления актуальна в наше время.
В данной работе объектом исследования является
«Объединение строительных материалов и бытовой техники», который входит в
состав ОАО «Оскольский электрометаллургический комбинат» на правах цеха. В
настоящее время он является самым современным высокоавтоматизированным и
высокопроизводительным металлургическим предприятием в России, странах СНГ и
Европе, на котором для выплавки стали, используется металлизованное сырье -
продукт прямого восстановления железа.
ОСМиБТ - предприятие с замкнутым циклом,
построено по индивидуальному проекту, на основании контракта, заключенного
между российской и итальянской стороной. Занимается производством и реализацией
санкерамики, строительных и отделочных материалов.
Цель данной работы заключается в том, чтобы
показать умение анализировать, систематизировать и излагать материалы о
деятельности выбранного предприятия «ОСМиБТ»
Основными задачами является рассмотрение
теоретических основ исследования систем управления, научиться проводить
организационную диагностику предприятия, структурный анализ организационной
структуры предприятия, а также функциональный анализ предприятия.
Основными источниками информации учебники таких
авторов как Бор М.З., Доятовский В.А, Короткой Э.М. и другие.
1. Теоретические основы исследования
систем управления
Менеджер - это член организации, осуществляющий
управленческую деятельность и решающий управленческие задачи. С полной
ответственностью можно утверждать, что менеджеры являются ключевыми людьми в
организации. Однако не все менеджеры играют одинаковую роль в организации, не
все менеджеры занимают одинаковую позицию в организации, задачи, решаемые
различными менеджерами далеко не одинаковы и, наконец, функции, выполняемые
отдельными менеджерами, тоже не идентичны. Это связано с тем, что в организации
существует иерархия, с тем, что в организации выполняются различные функции, и,
наконец, с тем, что существуют различные виды управленческой деятельности.
Организация не может существовать без
менеджеров.
Являясь субъектом осуществления управленческой
деятельности, менеджеры играют в организации ряд разнообразных ролей. Среди них
можно выделить ключевые роли. Во-первых, это роль по принятию решения,
выражающаяся в том, что менеджер определяет направление движения организации,
решает вопросы распределения ресурсов, осуществляет текущие корректировки и
т.д. Право принятия управленческих решений имеет только менеджер. Будучи наделенным,
правом принятия решения, менеджер несет ответственность за последствия
принятого решения. Поэтому менеджер должен не только уметь выбрать наилучший
вариант решения. Это может сделать специалист по подготовке решений или даже
машина. Менеджер должен решиться на то, чтобы рискнуть повести руководимый им
коллективов в определенном направлении. Это бывает зачастую сделать гораздо
труднее, чем рассчитать оптимальное решение.
Во-вторых, это информационная роль, состоящая в
том, что менеджер собирает информацию о внутренней и внешней среде,
распространяет информацию в виде фактов и нормативных установок и, наконец,
разъясняет политику и основные цели организации. От того, насколько менеджер
владеет информацией, насколько он может ясно и четко доводить информацию до
членов организации, очень сильно зависит результат его работы.
В-третьих, менеджер выступает в качестве
руководителя, формирующего отношения внутри и вне организации, мотивирующего
членов организации на достижение целей, координирующего их усилия и, наконец,
выступающего в качестве представителя организации. Менеджер должен быть
менеджером, за которым люди готовы идти, идеям которого они готовы верить.
Поддержка членами коллектива своего руководителя в современных условиях
является той базой, без которой ни один менеджер, каким бы хорошим и грамотным
специалистом он ни был, не сможет успешно управлять своим коллективом.
В зависимости от позиции менеджеров в
организации, решаемых ими задач, характера реализуемых функций данные роли
могут быть присущи им в большей или меньшей мере. Однако каждый менеджер
обязательно принимает решения, работает с информацией и выступает руководителем
по отношению к определенной организации.
В деятельности менеджера
исследования означают научность и искусство управления, понимание которого
немыслимо без творчества, а творчество нельзя отделить от понятия
"исследование".
Каждая фирма находится в
постоянном развитии. Ее развитие - это множество проблем, которые следуют одна
за другой, которые надо решать и надо решать своевременно. Многие ситуации и
проблемы возникают неожиданно, проявляются остро и не дают времени на
обдумывание. Несвоевременное их решение или вообще не решение грозит кризисом,
а может быть, даже катастрофой. В современном управлении все большую роль
играет предвидение, прогнозирование. Сегодня прогнозировать на основании только
интуиции или простой экстраполяции на будущее текущих событий просто немыслимо.
Таково время, таковы общие тенденции развития экономики. Снова мы приходим к
мысли о пользе и необходимости исследования, как функции управления, для
прогнозирования кризисов, внезапных изменений, для готовности к парадоксам
будущего, для оценки шансов успеха, который надо не упустить, увидать, оценить,
реализовать. Увидеть будущее можно лишь, опираясь на явное видение и глубокое
понимание всех тенденций настоящего, малых и больших. Удачного и надежного
прогнозирования не может быть без исследования. Исследование управления делает
само управление исследовательским, а, следовательно, и эффективным, устойчивым,
жизнеспособным, адаптивным к любым изменениям.
Понятия
"исследование" очень многогранно и имеет множество определений.
Например, исследование - процесс научного изучения какого-либо объекта в целях
выявления его закономерностей возникновения, развития и преобразования его в
интересах общества. Исследование научное - процесс выработки новых научных
знаний, один из видов познавательной деятельности. Исследование - это вид
деятельности человека, состоящий в:
а) распознавании проблем и
ситуаций;
б) определении их
происхождения;
в) выявлении свойств,
содержания, закономерностей поведения и развития;
г) установлении места этих
проблем и ситуаций в системе накопленных знаний;
д) нахождении путей, средств и
возможностей использования новых представлений или знаний о данной проблеме в
практике ее разрешения. Существует еще множество определений этого понятия.
Основными характеристикам,
которые следует учитывать при проведении и организации исследования, являются:
А. Методология исследования -
совокупность целей, подходов, ориентиров, приоритетов, средств и методов
исследования.
Б. Организация исследования -
порядок проведения, основанный па распределении функций и ответственности,
закрепленных в регламентах, нормативах и инструкциях.
В. Ресурсы исследования - комплекс
средств и возможностей (например, информационных, экономических, людских и
пр.), обеспечивающих успешное проведение исследования и достижение его
результатов.
Г. Объект и предмет
исследования. Объектом является система управления, относящаяся к классу
социально-экономических систем, предметом - конкретная проблема, разрешение
которой требует проведения исследования.
Д. Тип исследования -
принадлежность его к определенному типу, отражающему своеобразие всех
характеристик.
Е. Потребность исследования - степень
остроты проблемы, профессионализма в подходах к ее решению, стиль управления.
Ж. Результат исследования -
рекомендации, модель, формула, методика, способствующие успешному разрешению
проблемы, пониманию ее содержания, истоков и последствий.
. Эффективность исследования -
соразмерность использованных ресурсов па проведение исследования и результатов,
полученных от него.
Исследование -
это не только функция современного менеджмента, но и стиль
функционирования всей системы управления, определенный тип организации
деятельности персонала.
Сегодня исследование выступает
как одна из основных функций управления, как подход к управлению,
обеспечивающий качество управленческих решений, и как средство
совершенствования управления.
Формула современного управления
- "Управлять, совершенствуя и совершенствуясь". Только исследование
управления поможет реализовать эту формулу.
Исследование управления
отражает позитивную тенденцию развития профессионального мышления. Не может
быть профессионализма без творчества, не может быть творчества без
исследования, а самого исследования не может быть без освоения его приемов,
методов, подходов.[1]
Общая логика процесса
исследования СУ имеет следующую последовательность:
1. Выделение объекта
исследования (фирма, подсистема, подразделение).
. Определение цели
исследования, то есть, какой результат нас интересует.
. Выделение управляющих и
характеристических переменных.
. Определение функций,
подлежащих анализу.
. Определение критериев оценки
результатов исследования.
. Определение критериев оценки
предлагаемых решений по улучшению управления. [3]
Методология и организация
исследования систем управления требует учета ряда системных характеристик, к
которым относятся: потребность в исследованиях; объект и предмет исследования;
ресурсы для проведения исследований; эффективность исследований; результаты
исследований.
С практической точки зрения
методика проведения исследований, как правило, включает три основных раздела:
теоретический, методический, организационный.
В теоретическом разделе
определяются основные цели, задачи, предмет и объект исследования.
Методический раздел содержит
обоснование выбора метода проведения исследований, сбора и обработки данных,
анализ полученных результатов, способы их оформления.
Организационный раздел представляет,
прежде всего, план проведения исследований, формирование команды исполнителей,
распределение трудовых и финансовых ресурсов.
В общем виде организацию
проведения исследования можно представить следующим образом:
• подготовка исследования, т.е.
разработка программы, определение единиц наблюдения, определение методов сбора
информации, проведение пробного (пилотажного) исследования;
• сбор необходимой информации с
учетом ее синтаксических, семантических и прагматических аспектов;
• подготовка информации к
обработке;
• обработка информации и ее
анализ;
• подготовка результатов
исследования.
Сбор данных является основным
этапом исследования.
Первостепенная задача
проектирования системы управления организацией - формирование его целей. Выбор
целей с помощью экспертных методов требует применения специальной методики.
Выбор целей с помощью экспертных методов требует применения специальной
методики. Прежде всего, осуществляются оценка и выбор глобальных целей
функционирования. Наиболее приемлемым с практической точки зрения способом
оценки является анонимное анкетирование, так как оно обеспечивает наибольшую
независимость суждений. Моделирование состава управленческих решений
осуществляется для обоснования решений, которые должны приниматься в конкретном
подразделении. Состав группы решений определяется количеством структурных
подразделений. Оптимальность процесса подготовки управленческих решений
достигается путем выявления и ликвидации отклонений в существующем процессе при
сравнении его с нормативным процессом, обусловленным в некотором смысле
идеальной моделью, выбранной авторами на предварительном этапе.
Любое исследование
осуществляется в несколько этапов. На первом этапе проведения исследований
анализируются проблемы и совокупность всех факторов, которые необходимо выявить
и учитывать при решении проблем.
Содержание второго этапа -
закономерное продолжение первого. Это выявление объекта и предмета
исследования. Объектом исследования является система управления организации, а
предметом - выявленная конкретная проблема, сдерживающая эффективную работу
организации.
На третьем этапе необходимо
выбрать методологию проведения исследования, под которой понимаем совокупность
целей, методов, приемов управления при проведении исследования, а также подход
менеджеров к принятию решений и учет традиций организации.
На четвертом этапе проводится
анализ ресурсов, необходимых для проведения исследования.
Пятый этап предполагает выбор
методов проведения исследования с учетом имеющихся ресурсов и целей
исследования.
Шестой этап заключается в
организации проведения исследований. Здесь необходимо определить порядок
проведения исследований, распределить полномочия и ответственность и отразить
это в регламентирующих документах, например в должностных инструкциях. Здесь же
необходимо уточнить или определить технологию подготовки и утверждения
управленческих решений при проведении исследований.
На седьмом (завершающем) этапе
следует зафиксировать и проанализировать полученные результаты. Такими
результатами могут быть отдельные рекомендации, новая модель системы
управления, улучшенные нормы управляемости, более совершенные методики,
способствующие оперативному и успешному разрешению проблемы. [4]
2. ОСМиБТ как объект исследования
Общая характеристика ОСМиБТ
Объединение строительных материалов и бытовой
техники входит в состав ОАО «Оскольский электрометаллургический комбинат» на
правах цеха.
ОСМиБТ - предприятие с замкнутым циклом,
построено по индивидуальному проекту, на основании контракта, заключенного
между российской и итальянской стороной. Занимается производством и реализацией
санкерамики, строительных и отделочных материалов.
Местонахождение: 309530 город Старый Оскол
Белгородской области, ЗУК -15, комплекс стройматериалов.
С 1992 года начался выпуск первой продукции. В
состав ОСМиБТ входят:
цех кирпича и черепицы;
цех керамической плитки;
цех санитарно-керамических изделий;
цех подготовки материалов.
Проектная мощность по производству керамических
кирпичей составляет 75 миллионов штук в год. Объем производства в 2006 году составил
74087000 штук. Сегодня выпускается следующий типоразмер -253*121*88 мм по ГОСТ
14--79-94. Поставляются кирпичи на деревянных поддонах размером 1000х1000 мм,
обтянутых термоусадочной пленкой, на поддоне 308 штук. В железнодорожный вагон
входит 40 пакетов.
Проектная мощность по производству черепицы
«марсельской»8 миллионов штук в год. Черепица размером 430*250 мм поставляется
на деревянных поддонах 900*1000мм, обтянутых термоусадочной пленкой, на поддоне
144 штуки. В 1997 году линия черепицы законсервирована.
Проектная мощность по производству облицовочных
керамических плиток 5 миллионов квадратных метров год. Объем производства в
2006 году составил 2081000 кв.м. Облицовочные плитки выпускаются размером
200*200*6 мм по ГОСТ 6141- цветные, белые, с рисунком на черном, аэрограф, с
двухцветным рисунком. Плитки упаковываются в гофрокартон по 25 штук,
отгружаются на деревянных поддонах 1000*1000 мм, обтянутых металлической
лентой, на поддоне устанавливается 36 коробок.
Проектная мощность по производству саянфаянса
1060 тысяч штук в год. Объем производства в 2006 году составил 304 тысячи штук.
Выпускаемый ассортимент: умывальник Элисса, колона Элисса, Альфана, унитаз
Элисса, бачок Элисса, биде Элисса, Альфана. Санкерамика укомплектована
кронштейном, сифоном, выпуском, арматурой, сиденьем. Поставляется на поддонах
1000*1200 мм, обтянутых термоусадочной пленкой или в индивидуальной упаковке.
Здание цеха запорной арматуры законсервировано.
Потребителям продукции ОСМиБТ являются трест
«Металлургстрой», трест «КМАпроектжилстрой», строительные и торговые
организации на коммерческой основе, частные лица.
Численность персонала 2011 человек
В апреле 2006 года ОСМиБТ перешло на внутренний
хозрасчет. Объединение имеет собственный расчетный счет, самостоятельно
реализует произведенную продукцию, ведет свою финансовую отчетность: баланс,
отчет о финансовых результатах, отчет о движении денежных средств и т.д. На
фоне этих положительных явлений, однако, существует ряд препятствий для
нормального функционирования предприятия в условиях рынка. Амортизационные
отчисления и прибыль направляются в общий фонд ОАО «ОЭМК». Нормативы по уровню
рентабельности и прибыли спускаются сверху. Объединение постоянно «лихорадит»
из-за отсутствия денежных средств на выплату зарплаты, покупку качественного
сырья, запчастей, не говоря уже о фондах развития производства.
За 10 лет в ОСМиБТ освоено производство изделий
строительной керамики по итальянской технологии: керамического кирпича, плитки
облицовочной и плитки для пола, изделий санитарной керамики.
Коллектив Объединения постоянно работает над
совершенствованием технологических процессов, повышением качества, улучшением
товарного вида, ростом конкурентоспособности и расширением номенклатуры
выпускаемых изделий.
Большое внимание уделяется снижению
себестоимости выпускаемой продукции. Так, производится замена дорогого
импортного сырья и материалов на материалы отечественного производства.
Например, доля привозных украинских глин снижена с 43,4% (по проекту) до 6,6%
фактического использования в первом полугодии 1999 года.
Описание товара
В последнее время Объединение значительно
расширило номенклатуру выпускаемых изделий. С 1998 года цехом керамического
кирпича выпускается фасонный лицевой кирпич 12-ти видов, в перспективе
планируется выпускать до 20-ти видов.
В цехе керамической плитки внедрён в
производство не имеющий аналогов в СНГ лазерный технологический комплекс,
позволяющий изготавливать сеткотрафареты для нанесения рисунков на плитку на
более высоком качественном уровне. Производительность комплекса позволяет
обеспечить потребность в сеткотрафаретах, как собственное производство, так и
выполнять заказы сторонних предприятий и организаций. В цехе плитки освоено
производство облицовочной плитки с рифлением лицевой поверхности, что улучшило
товарный вид и повысило конкурентоспособность. Цехом ежемесячно выпускается
плитка 30 различных рисунков.
Цехом санитарных керамических изделий
разработаны модели перспективной серии "Престиж" для массового
выпуска. Опытные образцы этой серии получили высокую оценку у покупателей.
Заливка гипсовых форм производится по итальянской технологии, не имеющей
аналогов в России.
Проведён комплекс мероприятий по улучшению
качества производимых фритт для собственного производства, появилась
возможность изготовления фритт по заказам других предприятий и в требуемых
объёмах. Освоена технология производства пигментов для цветных глазурей для
нанесения рисунков на плитку. Мощности участка позволяют выпускать пигменты по
заказам.
Когда на рынке многие покупатели чувствительны к
цене, борьба за то, чтобы быть в отрасли производителем с низкими полными
издержками производства, является сильным конкурентным подходом. Цель состоит в
создании устойчивого превосходства по издержкам над конкурентами, которые
предлагают низкие цены, и затем использовании его как основы для борьбы с
конкурентами путем завоевания доли рынка по их ценам или извлечения
дополнительной прибыли от продажи товаров по рыночным ценам.
Преимущество по издержкам приносит доход до тех
пор, пока конкуренты не предпримут агрессивных попыток снизить цены и увеличить
за счет этого свой объем продаж. Достижение лидерства по издержкам обычно
означает низкие издержки производства относительно конкурентов, зафиксированные
в деловой стратегии компании. Но в погоне за низкими издержками важно не
подвергнуться риску создания такого дешевого товара, который вызовет недоверие
покупателя. Под более низкими издержками понимается не просто меньшая сумма
затрат на производство чем у конкурентов а способность фирмы разрабатывать,
производить и сбывать товар более эффективно чем конкуренты.
Для достижения преимущества по издержкам общие
издержки производства фирмы по всей цепочки ценностей должны быть меньше
совокупных затрат конкурентов. Таким образом, стратегия обеспечения
конкурентоспособности ОСМиБТ на основе более низких издержек дает возможность
отечественным застройщикам даже со скромным достатком приобретать продукцию
европейского качества по приемлемым ценам. Поэтому ОСМиБТ постоянно работает
над снижением себестоимости своей продукции, что имеет важное стратегическое
значение как внутри отрасли, так и по отношению к ситуации, существующей в
экономике страны в целом.
Промышленность строительных материалов включает
в себя 20 подотрослей. Сравнение объемов производства ОСМиБТ и подоотрослей
стеновых материалов и строительной керамики показывает, что доля ОСМиБТ мала,
чтобы можно было говорить о стратегии завоевания лидерства на рынке.
Производственная стратегия
Производственную значимость ОСМиБТ наглядно
показывает производственная структура всего металлургического комбината,
которая включает следующие элементы: аппарат управления и подчиненные ему
производственные подразделения. Производственные подразделения состоят из:
основных цехов; - вспомогательных цехов;
подсобных цехов; - непроизводственных цехов.
В результате диверсификации производства с 1989
года к цехам основного производства относится ОСМиБТ.
ОСМиБТ имеет собственную производственную
структуру.
К основным цехам производственного подразделения
относятся:
цех по производству керамического кирпича и
кровельной черепицы;
цех по производству керамической плитки;
цех по производству санитарно-керамических
изделий.
Производственные структуры построены, учитывая
как функциональные, так и территориальные особенности производства и полностью
соответствуют необходимым требованиям.
Технологический процесс цеха
санитарно-керамических изделий
Основные компоненты: глина, каолин, (около 50%
состава массы); кварц (для устойчивости при обжиге); полевой шпат (для лучшей
спекаемости).
Сырье поступает железнодорожным и автомобильным
транспортом в крытые силоса хранения, оттуда сырье забирается экскаватором и
подается на участок помола, где производится помол до определенной тонкости.
Все измельченные материалы поступают в
пропеллерные мешалки, куда в определенном соотношении добавляется вода, оттуда
шликер поступает в бассейны, где вылеживается, набирая необходимые параметры.
Шликер из бассейнов подается по шликеропроводу в цех санитарно-керамических
изделий (ЦСКИ).
В ЦСКИ из гипса изготавливаются специальные
разъемные формы для изготовления изделий. Эти разъемные формы заливаются
приготовленным шликером, затем выдерживаются некоторое время и форма снимается.
Литейщики только вручную обрабатывают сырые
необожженные изделия и ставят их на конвейер для подвялки.
Подвялка - это сушка изделий при определенном
микроклимате.
Затем изделия ставятся на конвейер и в течение
продолжительного времени продвигаются до печи сушки.
Сухому изделию производят контроль на наличие
трещин, после чего на специальных автоматах изделия глазуруют, т.е. покрывают
равномерным, тонким слоем специально приготовленного жидкого стекла. Фритта
(стеклообразный материал) - полуфабрикат для глазурования плитки.
Затем изделия поступают в печь обжига, откуда
выходят готовые. Их разбраковывают, отсортировывают и упаковывают на деревянные
поддоны. Деревянные поддоны с готовыми изделиями обтягиваются в термокамере
пленкой и по транспортеру передаются на склад сбыта. Оттуда изделия отгружаются
потребителям.
Численность работающих. Мотивация
Всего на 1.01.06 г. фактическая численность
работающих ОСМ и БТ составила 18 человека, из них руководителей и специалистов
- 399 человек, служащих - 20 человек, рабочих - 1444 человека. 66% всех
руководителей и специалистов (263 человека) имеют высшее образование, 30% (121
человек) - среднее техническое, 1 - имеет ученую степень.
В ОСМ и БТ постоянно проводится переподготовка
кадров и повышение их квалификации, что осуществляется как в Старом Осколе
Учебным центром ОЭМК, так и университетами и институтами по профилю Объединения
в других городах страны.
В ОСМиБТ делается ставка, прежде всего на
профессионализм, на способность не столько применять уже известные схемы работ,
сколько искать новые. Персонал ОСМиБТ - это состоявшийся коллектив,
неординарные люди, которые выросли до главных специалистов или были приглашены
на эти должности. Интеллектуальный потенциал главных специалистов позволяет
объединению работать успешно.
Отдел кадров ОСМиБТ привлекает в организацию
индивидов, совмещающих в себе качества ценных специалистов и эффективных,
удовлетворенных предлагаемыми условиями работников. Первый шаг в привлечении
эффективной рабочей силы - планирование человеческих ресурсов, когда
руководитель отдела кадров, исходя из имеющихся вакансий, рассчитывают потребность
в новых работниках. Торой шаг заключается в использовании процедур
рекрутирования и осуществлении коммуникаций с потенциальными кандидатами.
Третий шаг состоит в отборе из претендентов на занятие вакантных должностей
индивидов, которые способны принести организации наибольшую пользу, наконец,
новый сотрудник принимается на работу.
В основе усилий организации по привлечению новых
сотрудников лежит модель совпадения, в соответствии с которой объединение и
индивид стремятся согласовать свои требования, интересы и ценности. Организация
предлагает ‘стимулы’, а работник свой ‘вклад’ в ее деятельность.
Премирование работников ОСМиБТ вводится за
основные результаты работы объединения с целью усиления ответственности и
материальной заинтересованности в работе, т. е. в выполнении плана по выпуску и
реализации продукции. Система оплаты труда работников управления
устанавливается повременно-премиальная. Оплата труда рабочих производится в
соответствии с тарифными ставками (окладами) согласно штатному расписанию за фактически
отработанное время.
Работникам, выполняющим наряду со своей основной
работой обусловленной трудовым договором, дополнительную работу по другой
профессии (должности) или обязанности временно отсутствующих работников без
освобождения от своей основной работы, приказом директора объединения
устанавливается доплата за совмещение профессий. За высокое профессиональное
мастерство и достижения в труде приказом директора объединения отдельным
работникам может устанавливаться надбавка в размере до 50% тарифной ставки
(оклада) рабочим и до 25% оклада служащим.
Премия работникам управления начисляется при
условии одновременного выполнения объединением плана по отгрузке продукции.
исследование управление проблема
решение
3. Диагностика состояния организации
и выявление организационных проблем
.1 Организационная диагностика фирмы
. Выделение сфер деятельности организации
На первом этапе эксперты, анализируя
функционирование организации, выделяют те функциональные области, в которых
организация осуществляет свою деятельность. Для некоторой организации выделены
следующие функциональные области и введены следующие обозначения сфер
деятельности организации:
- F
1
- производственная деятельность;
- F
2
- финансовая деятельность;
- F
3
- снабжение материально-техническими ресурсами;
- F
4
- управленческая деятельность;
- F
5
- маркетинговая политика;
- F
6
- технологическая политика;
- F
7 -
управление персоналом;
- F
8
- инновационная деятельность;
- F
9
- рекламная деятельность;
- F
10 - организационное поведение и имидж организации.
2. Определение шкалы оценки для экспертной
оценки
Эксперты будут осуществлять оценку успешности
деятельности диагностируемой организации по девятибалльной шкале.
Рисунок 2 - Оценочная шкала экспертизы
Так как результаты оценки экспертов будут
усредняться и не всегда будут целочисленными, необходимо определить диапазон
отнесения средних значений к точкам введенной шкалы.
= {x < 1,5};
= {2,5 > x ≥
1,5};
= {3,5 > x ≥
2,5};
= {4,5 > x ≥
3,5};
= {5,5 > x ≥
4,5};
= {6,5 > x ≥
5,5}; (2)
= {7,5 > x ≥
6,5};
= {8,5 > x ≥
7,5};
= {x ≥
8,5},
где х - среднее значение оценки
экспертов данной функциональной области.
. Получение экспертных оценок (экспертиза)
Проведу оценку различных аспектов
деятельности организации по результатам опроса группы экспертов. Эксперты
осуществили оценку различных сфер деятельности предприятия по 9-ти балльной
шкале. Результаты экспертизы представлены в таблице 2.
Таблица
2
Экспертные оценки состояния сфер деятельности
предприятия
|
эксперты
|
F 1
|
F 2
|
F 3
|
F 4
|
F 5
|
F 6
|
F 7
|
F 8
|
F 9
|
F 10
|
|
1
|
5
|
7
|
9
|
6
|
8
|
5
|
5
|
9
|
3
|
5
|
|
2
|
7
|
5
|
8
|
9
|
6
|
7
|
6
|
5
|
2
|
6
|
|
3
|
6
|
8
|
5
|
7
|
8
|
6
|
8
|
4
|
2
|
4
|
|
4
|
7
|
5
|
8
|
5
|
7
|
8
|
9
|
8
|
4
|
5
|
|
5
|
8
|
8
|
6
|
8
|
4
|
9
|
7
|
7
|
3
|
8
|
|
6
|
9
|
8
|
5
|
6
|
5
|
3
|
4
|
6
|
2
|
9
|
4. Обработка результатов экспертизы
Для получения средних значений оценок экспертов
применю известные формулы математической статистики:
средний балл оценок
(3)
дисперсия индивидуальных балльных
оценок
(4)
где x i j - оценка,
выставленная j-м
экспертом, i-ой сфере
деятельности организации;
xi - средняя
оценка экспертов i-ой сферы деятельности организации.
Степень согласованности мнений
экспертов, при оценке i-ой сферы деятельности организации,
оценим коэффициентом вариации
(5)
При этом, если все v i < 0,3, то
степень согласованности мнений экспертов считается удовлетворительной.
В результате обработки результатов
экспертизы получила показатели средних результатов, значения которых приведены
в таблице 3.
Таблица
3
Показатели среднего результата
|
F 1
|
F 2
|
F 3
|
F 4
|
F 5
|
F 6
|
F 7
|
F 8
|
F 9
|
F 10
|
|
x i
|
7,0
|
6,8
|
6,8
|
6,8
|
6,3
|
6,3
|
6,5
|
6,5
|
2,7
|
6,2
|
|
σ (x i)
|
1,41
|
1,47
|
1,72
|
1,47
|
1,63
|
2,16
|
1,87
|
1,87
|
0,82
|
1,94
|
|
vi
|
0,20
|
0,22
|
0,25
|
0,22
|
0,26
|
0,34
|
0,29
|
0,29
|
0,31
|
0,31
|
Анализ значений коэффициента вариации позволяет
считать степень согласованности экспертов удовлетворительной. Экспертные оценки
деятельности предприятия в различных сферах дают возможность определить
реальное его состояние, и оформить результаты диагностики в виде таблицы 4.
Таблица
4
Результаты диагностики
|
Область
диагностики
|
S +
|
S N
|
S Ї
|
|
производственная
деятельность - F 1
|
S+2
(7,0)
|
|
|
|
финансовая
деятельность - F 2
|
S+2
(6,8)
|
|
|
|
снабжение
ресурсами - F 3
|
S+2
(6,8)
|
|
|
|
управленческая
деятельность - F 4
|
S+2
(6,8)
|
|
|
|
маркетинговая
политика - F 5
|
S+1
(6,3)
|
|
|
|
технологическая
политика - F 6
|
S+1
(6,3)
|
|
|
|
управление
персоналом - F 7
|
S+2
(6,5)
|
|
|
|
инновационная
деятельность - F 8
|
S+2
(6,5)
|
|
|
|
рекламная
деятельность - F 9
|
|
|
S-2
(2,7)
|
|
организационная
культура и имидж организации - F 10
|
S+1
(6,2)
|
|
|
. Построение диагностического профиля
организации
На основании оценки различных сфер деятельности
предприятия построила его диагностический профиль (рисунок 3).
Рисунок 3 - Диагностический профиль организации
Охарактеризуем ситуацию на предприятии,
используя диагностический профиль и результаты экспертизы.
1. В сфере рекламной деятельности:
неэффективность подразделений в структуре предприятия, занимающихся рекламной
деятельностью, затрудняет продвижение продукции предприятия на рынке.
Таким образом, общая характеристика ситуации на
предприятии может быть охарактеризована как нормальная, но требует оперативного
вмешательства в некоторые сферы деятельности предприятия.
. Построение дерева проблем
После построения и анализа диагностического
профиля основной наиболее значимой проблемой, имеющиеся в организации является
проблема маркетинговой политики, которая находятся в проблемной зоне. Для
данной проблемы построю дерево проблем, путем декомпозиции базовой (основной)
проблемы до уровня корневых проблем (рисунок 4).
Рисунок 4 - Дерево проблем для маркетинговой
политики
. Построение дерева решений
После выделения корневых проблем построила
дерево решения корневых проблем.
Рисунок 5 - Графическое представление дерева
решений
1. курсы повышения квалификации для
специалистов
2. жесткие правила отбора молодых
специалистов при приеме на работу
. самообучение на месте работы с помощью
более квалифицированных работников предприятия
Максимальную эффективность f ij, т.е. u ij
max {f ij} имеет
такая стратегия ликвидации корневых проблем, как курсы повышения квалификации.
3.2 Структурный
анализ организационной структуры
При проведении структурного анализа организации
необходимо располагать методикой, позволяющей определять некоторые
характеристики ее структуры и давать им количественную оценку. Целесообразность
определения таких характеристик состоит в том, что уже на ранних стадиях
диагностики организации появляется необходимость оценивать качество структуры
диагностируемой организации и ее элементов с позиций системного анализа, а
также сравнивать различные варианты организационных структур между собой.
Содержание методики рассмотрим в ходе анализа организационной структуры
конкретного предприятия. Предприятие является открытым акционерным обществом,
относится к электротехнической промышленности и производит светотехническое
оборудование для автомобильной промышленности. Организационная структура
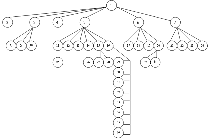
предприятия представлена на рисунке 6.
Предварительный анализ показывает, что на
предприятии применена линейно-функциональная структура управления. При этом,
каждый структурный элемент (отдел, служба, производственное подразделение)
выполняет конкретные задачи и обладает определенными правами и обязанностями.
Для проведения структурного анализа
организационной структуры предприятия представим ее в виде графа
G = {X,
U},
где X
- множество вершин (|X|
= n), соответствующее
множеству структурных элементов;
U - множество ребер
(|U| = m),
соответствующее множеству связей между структурными элементами предприятия.
Граф G,
соответствующий данному предприятию показан на рисунке 7, где цифры обозначают:
1. Директор
. Зам. Директора по экономике
. Бухгалтерия
. Главный инженер
. Зам. директора по коммерческим вопросам
. Помощник директора
. Отдел снабжения
. Отдел снабжения
10. Отдел снабжения
11. Зам. гл. инженера по ТБ, ТО, ТУ, экологии
. Лаборатория дизайна и новых форм
. ОГТ
. ОГМ
. ОГЭ
. Зам. гл. инженера по производству
. Отдел снабжения
. Юридический отдел
. ЦОП
. Отдел маркетинга
. АХО
. Участок благоустройства
. База отдыха
. Канцелярия
. Бюро ТБ
. ЦРО
. ЦЭиРЭЭО
. ЛА
. ЦККиЧ
. ЦКП
. ЦСКИ
. ЦПМ
. ПДБ
. ЦВСА
. АТЦ
. Карьер глины
. Отдел сбыта
. Бюро рекламы
Для описания графа G
построю матрицу смежности (таблица 6), которая для неориентированного графа
имеет вид
A = ||a
ij
||,
где a
ij
- элементы матрицы смежности, определяемые следующим образом:
- при наличии связи между элементами i
и j;
a
ij
= (6)
- при отсутствии связи
Рисунок 7 - Структурный граф предприятия
1. По матрице смежности определим ранг каждого
элемента

(7)
∑∑ aij
= 74. Ранги структурных элементов приведены в последнем столбце таблицы 6.
Чем выше ранг элемента, тем более сильно он
связан с другими элементами и тем более тяжелыми будут последствия при потере
качества его функционирования. Наиболее высокий ранг (0,122) имеет третий
элемент структуры (Главный инженер).
2. Проверю связность структуры
Для связных структур (не имеющих обрывов и
висячих элементов) должно выполняться условие
(8)
Правая часть неравенства определяет
необходимое минимальное число связей в структуре графа, содержащего n вершин.
n (количество
структурных элементов) равно 38 и условие Ѕ * 73 ≥ 38- 1, выполняется, то
есть структура является связной.
3. Проведу оценку структурной избыточности R,
отражающей превышение общего числа связей над минимально необходимым.
(9)
где m - множество
ребер графа (1/2 количества связей в матрице смежности;
n -
количество вершин (элементов) структуры.
(10)
где a
ij
-
элементы матрицы смежности.
Данная характеристика является косвенной оценкой
экономичности и надежности исследуемой структуры и определяет принципиальную
возможность функционирования и сохранения связей системы при отказе некоторых
ее элементов. Система с большей избыточностью R
потенциально более надежна, но менее экономична.
Если R
< 0, то система несвязная;
R = 0, система
обладает минимальной избыточностью;
R > 0, система
имеет избыточность; чем выше R,
тем выше избыточность.
R = Ѕ * 74 *
1/(38-1) - 1 = 0,
то есть структура имеет минимальную
избыточность.
. Определю неравномерность распределения связей
- Е. Данный показатель характеризует недоиспользование возможностей данной
структуры, имеющей m ребер и n
вершин, в достижении максимальной связности.
Величина Е определяется по формуле:
, (11)
где
- вес i - го
элемента, или количество связей i - го элемента со всеми остальными.
Однако для сравнения различных
структур по неравномерности связей используют относительную величину:
, (12)
где Е max -
максимальное значение неравномерности связей, которое достигается в системе,
имеющей максимально возможное число вершин, имеющих одну связь.
Величину Еmax определяют
по формуле:
; (13)
где
y = m - n;
y = 37 - 38 =
-1;
Тогда
Определю величину ЕОТН :
Величина ЕОТН для
различных типов структур изменяется от 0 (для структур с равномерным
распределением связей) до 1. Распределение связей в данной структуре довольно
равномерное.
. Определю структурную компактность
структуры Q, которая
отражает общую структурную близость элементов между собой. Для этого использую
формулу
(14)
где d ij -
расстояние от элемента i до элемента j, то есть
минимальное число связей, соединяющих элементы i и j.
Для определения величины общей структурной
компактности построю матрицу расстояний D = || d ij || -
(таблица 7). По таблице определяю - Q = 4464.
Однако для количественной оценки
структурной компактности и возможности объективного сравнения различных
организационных структур, чаще используют относительный показатель - QОТН,
определяемый по формуле:
(15)
где Q min = n·(n-1) -
минимальное значение компактности для структуры типа “полный граф” (каждый
элемент соединен с каждым).
Q min = 38·(38 -
1) =1406.
Тогда QОТН = 4464/1406
- 1 = 2,17.
Матрица расстояний D показана в
Таблице 7.
Структурную компактность можно
характеризовать и другой характеристикой - диаметром структуры:
d = max d ij , (16)
равным максимальному значению
расстояния d ij в матрице
расстояний. d = 6
С увеличением QОТН и d
увеличиваются средние временные задержки при обмене информацией между
подразделениями, так как каждый элемент тратит время на обработку информацию и
передачу ее дальше, что вызывает снижение оперативности структуры. С этой точки
зрения структура исследуемого предприятия имеет оперативность среднего уровня
(максимальную оперативность имеет с полный граф, для которой QОТН =0, а d = 1).
. Для характеристики степени
централизации системы используется показатель центральности структурного
элемента
(17)
который характеризует степень
удаленности i-го элемента
от других элементов структуры.
Чем меньше удален i- й элемент
от других, тем больше его центральность и тем большее количество связей
осуществляется через него.
Наиболее центральным является первый
элемент (Директор), для которого
∑ d ij = 70 = min,
то есть он обладает максимальным
коэффициентом центральности
Zmax = 4464 / (2
· 70) = 31.
Степень центральности в структуре в
целом может быть охарактеризована индексом центральности:
(18)
Значение степени центральности
находится в диапазоне 1 ≥ δ ≥ 0, при этом для
структур с равномерным распределением связей δ = 0, для
структур, имеющих максимальную степень централизации δ = 1.
Высокое значение степени
центральности структуры (δ = 0,79)
предъявляет высокие требования к пропускной способности центра, через который
устанавливается большое число связей, по приему и переработке информации и
надежность его функционирования, так как отказ центрального элемента ведет к
полному разрушению структуры.
Если в структуре есть центральный
элемент, т.е. δ близко к 1,
то целесообразно продумать меры по дублированию данного центрального элемента
для повышения надежности структуры организации.
.3 Функциональная диагностика фирмы
Функция управления - это часть процесса
управления, полученная в результате разделения всего процесса управления по
характеру и содержанию связанного с ним труда. Иными словами, функция
представляет собой совокупность управленческих работ, объединенных по признаку
однородности. Выделение функции управления зависит от целевого назначения
системы (фирмы). Эффективное выполнение функций управления предполагает
распределение прав и обязанностей между подразделениями и персоналом.
Обоснованное разделение функций между
подразделениями и службами аппарата управления обеспечивается посредством
разработки и реализации матрицы распределения административных функций
управления (РАФУ).
При проектировании матрицы РАФУ деятельность
сотрудников организации по реализации функций управления характеризуется
следующими аспектами:
ответственность за решение конкретной задачи
управления;
функции исполнителя по реализации задачи;
функции исполнителя по подготовке к реализации
задачи.
В соответствии с приведенной классификацией
введем список условных обозначений, которые символизируют определенные аспекты
деятельности по выполнению функций управления.
Условные обозначения для первого аспекта:
Е - единоличное решение и персональная
ответственность за решение задачи (с подписью);
Д - персональная ответственность за решение
определенной задачи(с подписью) при коллегиальной форме принятия решения;
Ф - участие в коллегиальном решении данной
задачи(формирование мнения) без права подписи.
Условные обозначения для второго аспекта:
Ц - целеполагание;
П - планирование;
О - организация;
К - контроль;
Г-координация совместных усилий участников
процесса(горизонтальное управление);
М - мотивация (активизация);
Р - регулирование;
А - анализ.
У - учет (хранение).
Условные обозначения для третьего аспекта:
С - согласование;
И - исполнение;
В - подготовка (выработка) предложений;
в работе не участвует.
В организации существуют проблемы с организацией
работ исполнителей. Одни из них заняты исполнением работ в течении всего
рабочего дня. А другие имеют много свободного времени в течении рабочего дня.
Руководитель предприятия принял решение о проведении функционально диагностики
организации с целью добиться равномерной загрузки всех сотрудников.
Функциональный анализ:
1. Определяется цель и задачи диагностики и
формируется команда для ее проведения.
2. Специалистами диагностической команды
определяется состав экспертной группы (количественный и качественный) и
разрабатываются экспертные таблицы. При этом выделяются задачи управления и
функции управления.
. Эксперты проводят попарное сравнение
административных функций управления и независимо заполняют таблицу 8.
После этого эту же операцию повторяют для
управленческих задач, решаемых сотрудниками организации (таблица 9). Перечень
задач заранее готовится специалистами диагностической команды.
4. Проводится анализ результатов экспертизы
а) Проверяется правильность заполнения матриц
попарного сравнения, используя формулы:
означающей, что сумм оценок символов
по горизонтали и вертикали должны равняться квадрату количества символов;
означающей, что сумма оценок любого
символа по горизонтали и вертикали должна равняться удвоенному количеству
символов,
Таблица
8
Попарное сравнение функции управления
|
Ц
|
П
|
О
|
Г
|
Р
|
М
|
У
|
А
|
К
|
Vj
|
|
|
Ц
|
1
|
1
|
3
|
3
|
1
|
0
|
4
|
1
|
2
|
16
|
0,20
|
|
П
|
0
|
1
|
2
|
2
|
2
|
2
|
2
|
2
|
2
|
15
|
0,19
|
|
О
|
0
|
1
|
1
|
1
|
2
|
2
|
2
|
2
|
1
|
12
|
0,15
|
|
Г
|
1
|
0
|
0
|
1
|
2
|
2
|
2
|
2
|
0
|
10
|
0,12
|
|
Р
|
0
|
0
|
0
|
0
|
1
|
0
|
2
|
1
|
0
|
4
|
0,05
|
|
М
|
0
|
0
|
0
|
0
|
2
|
1
|
2
|
2
|
0
|
7
|
0,09
|
|
У
|
0
|
0
|
0
|
0
|
0
|
0
|
1
|
0
|
0
|
1
|
0,01
|
|
А
|
0
|
0
|
0
|
0
|
1
|
0
|
2
|
1
|
0
|
4
|
0,05
|
|
К
|
0
|
0
|
0
|
1
|
3
|
4
|
0
|
3
|
1
|
12
|
0,15
|
|
81
|
1
|
|
Таблица
9
Попарное сравнение задач управления
|
З1
|
З2
|
З3
|
З4
|
З5
|
З6
|
Vj
|
|
|
З1
|
1
|
1
|
1
|
0
|
0
|
0
|
3
|
0,08
|
|
З2
|
0
|
1
|
0
|
0
|
0
|
3
|
4
|
0,11
|
|
З3
|
2
|
2
|
1
|
1
|
0
|
0
|
6
|
0,17
|
|
З4
|
1
|
3
|
1
|
1
|
2
|
1
|
9
|
0,25
|
|
З5
|
3
|
1
|
2
|
0
|
1
|
0
|
7
|
0,19
|
|
З6
|
0
|
0
|
2
|
2
|
2
|
1
|
7
|
0,19
|
|
36
|
1
|
|
где Sij
- результат попарного сравнения i
- го и j - го символов
(параметров),
n - количество
сравниваемых символов (параметров).
б) проводится статистическая обработка
результатов экспертизы, определяется вес (важность) каждой функции, по формуле
(21)
в) оценки усредняются по всем
экспертам
(22)
где l - номер эксперта,
L -
количество экспертов.
5. Заполняется итоговая таблица важности задач
и функций (таблица 10), в которой оценки соответствуют коллективному мнению
экспертов.
Таблица
10
Средняя значимость функций и задач
|
Ц
|
П
|
О
|
Г
|
Р
|
М
|
У
|
А
|
К
|
|
0,200,190,150,120,050,090,010,050,15
|
|
|
|
|
|
|
|
|
|
|
Задачи
|
|
З1
|
З2
|
З3
|
З4
|
З5
|
З6
|
|
|
|
|
0,080,110,170,250,190,19
|
|
|
|
|
|
|
|
|
|
6. Специалисты диагностической команды,
совместно с экспертами заполняют матрицу РАФУ (таблица 11) и определяют
значения загруженности по формулам.
(23)
(24)
где k ij - сумма
весов операций j-го структурного подразделения
(должностного лица) при выполнении i-ой задачи;
- коэффициент трудоемкости i-ой задачи;
- загруженность j-го
подразделения (должностного лица);
- трудоемкость i-ой задачи;
j = 1, n -
подразделения и должностные лица;
i = 1, m - задачи.
Таблица
11
Матрица РАФУ
|
№
п/п
|
Должностные
лица и структурные подразделения; задачи, решаемые в структурных
подразделениях
|
ДиректорЗам.
директораГлавный инженер
|
|
|
|
|
|
1
|
З1
Разработка перспективных планов
|
0,08
|
Ц
К 0, 2 +0,15
|
О
0,15
|
П
0,19
|
0,69
х0,08=0,055
|
|
2
|
З2
Стимулирование работников
|
0,11
|
М
0,09
|
О
0,15
|
У
0,01
|
0,25х0,11=
0,028
|
|
3
|
З3
Повышение квалификации работников
|
0,17
|
Г
0,12
|
К
0,15
|
П
У 0,02+0,01
|
0,47х0,17=0,080
|
|
4
|
З4
Разработка нового оборудования
|
0,25
|
Ц
0,2
|
О
0,15
|
К
0,15
|
0,5х0,25=0,125
|
|
5
|
З5
Разработка мер по снижению загрязнения окружающей среды
|
0,19
|
К
0,15
|
Г
0,12
|
А
П 0,05+0,19
|
0,51х0,19=0,097
|
|
6
|
З6
Повышение прибыли организации
|
0,19
|
Ц
О 0,2 +0,15
|
Г
0,12
|
К
0,2
|
0,62
х0,19 =0,118
|
|
7
|
Загруженность
должностных лиц и структурных подразделений
|
1,26
1
|
0,84
1,1
|
0,94
|
|
|
7. Путем перераспределения функций, задач и
ответственности, добиваются равномерной загрузки сотрудников организации. В
таблице 11 показано, как изменятся значения загруженности должностных лиц и
структурных подразделений в исходной ситуации (верхняя строка последней строки
матрицы) и после реализации предложенного варианта распределения функции
(нижняя строка последней строки матрицы), полученного после передачи функции
контроля при решении первой задачи от директора к зам директору.
Заключение
Каждый предприниматель, начинающий свою
деятельность, должен ясно представлять потребность на перспективу в финансовых,
материальных, трудовых и интеллектуальных ресурсах, источники их получения, а
также уметь четко рассчитать эффективность использования ресурсов в процессе
работы фирмы.
Экономическая деятельность предприятия строится
на самоокупаемой и рентабельной основе. Все затраты по производству и
реализации продукции осуществляются за счет доходов, полученных от ее продажи.
При этом выручка от реализации должна превышать затраты, создавая прибыль.
В рыночной экономике предприниматели не смогут
добиться стабильного успеха, если не будут четко и эффективно планировать свою
деятельность, постоянно собирать и аккумулировать информацию как о состоянии
целевых рынков, положении на них конкурентов, так и о собственных перспективах
и возможностях, о своих финансовых ресурсах.
Проведу оценку различных аспектов деятельности
организации ОСМиБТ обнаружила, что в сфере рекламной деятельности:
неэффективность подразделений в структуре предприятия, занимающихся рекламной
деятельностью, затрудняет продвижение продукции предприятия на рынке.
После выделения корневых проблем построила
дерево решения корневых проблем.
Затем выбирала стратегию ликвидации корневых
проблем u
ij
,
имеющую максимальную эффективность
f
ij
,
т.е. u
ij
→
max {f
ij},
т.е. курсы повышения квалификации имеет
максимальную эффективность.
Провела структурный анализ организации,
представив его в виде графа
G = {X,
U},
для описания графа G
построила матрицу смежности. По матрице смежности определила ранг каждого
элемента. Наиболее высокий ранг (0,122) имеет третий элемент структуры (Главный
инженер). Проверила связность структуры, условие Ѕ * 74 ≥ 38 - 1,
выполняется, то есть структура является связной.
Провела оценку структурной избыточности R,
отражающей превышение общего числа связей над минимально необходимым
R = Ѕ * 74 *
1/(38-1) - 1 = 0,
то есть структура имеет минимальную
избыточность.
Определила неравномерность распределения связей
- Е=0,36. Распределение связей в данной структуре довольно равномерное, что
благоприятно для данного предприятия.
Определила структурную компактность структуры Q,
которая отражает общую структурную близость элементов между собой.
d = 6
С увеличением QОТН
и d увеличиваются
средние временные задержки при обмене информацией между подразделениями, так
как каждый элемент тратит время на обработку информацию и передачу ее дальше,
что вызывает снижение оперативности структуры. С этой точки зрения структура
исследуемого предприятия имеет оперативность среднего уровня (максимальную
оперативность имеет с полный граф, для которой
QОТН =0,
а d = 1).
Для характеристики степени централизации системы
используется показатель центральности структурного элемента
Высокое значение степени центральности структуры
(δ
= 0,79) предъявляет высокие требования к пропускной способности центра, через
который устанавливается большое число связей, по приему и переработке
информации и надежность его функционирования, так как отказ центрального
элемента ведет к полному разрушению структуры.
Провела попарное сравнение административных
функций управления и задач управления. Заполнила итоговая таблица важности
задач и функций, в которой оценки соответствуют коллективному мнению экспертов.
Специалисты диагностической команды, совместно с
экспертами заполняют матрицу РАФУ и определяют значения загруженности:
Директор- 1,26 Зам. директора -0,84 Главный инженер -0,94. По этим данным
видно, что более загруженным является директор данного предприятия.
Путем перераспределения функций, задач и
ответственности, добиваются равномерной загрузки сотрудников организации.
Значение загруженности после передачи функций: Директор - 1, Зам. директор -
1,1. Показав, как изменятся значения загруженности должностных лиц и
структурных подразделений в исходной ситуации и после реализации предложенного
варианта распределения функции, полученного после частичной передачи функции
контроля при решении первой задачи от директора зам. директору.
Список литературы
1. А.В.
Шишкин, Г.В. Мерзликина Исследование систем управления - М.: ООО
Издательско-консалтинговая компания "ДеКА", 2000. - с. 288.
2. Системный
анализ в управлении: Учеб. пособие / B.C.
Анфилатов, А.А. Емельянов, А.А. Кукушкин; Под ред. А.А. Емельянова. - М.:
Финансы и статистика, 2002. -368 с.
. В.А.
Долятовский, В.Н. Долятовская, Исследование систем управления:
Учебное-практическое пособие. - Москва: ИКЦ «МарТ», Ростов н/Д: Издательский
центр «МарТ», 2003 - 256 с.
. В.П.
Мелников, Совершенствование систем управления предприятиями - М: Изд. «Эслан»,
2002, с. 120
. В.П.
Мельников, Московский Экономико-финансовый институт, - М: Изд. «Эслан», 2002,
с. 120.
6. Мухин
В.И. Исследование систем управления. Учебник. - М.: Экзамен, 2002. - 384 с.
7. Мишин
В.М. Исследование систем управления: Учебник для вузов. - М.: ЮНИТИ-ДАНА, 2003.
- 527 с