Воздействие колебаний сложной формы на линейные цепи
КУРСОВАЯ РАБОТА
по дисциплине
«Основы теории цепей»
Тема:
«Воздействие колебаний
сложной формы на линейные цепи»
Введение
Цель данной работы состоит в практическом освоении
аналитических и численных методов определения выходных процессов в линейных
радиотехнических цепях при негармонических воздействиях с использованием
вычислительной техники и проведении экспериментальных исследований.
Исследуемая в данной работе цепь является пассивной. Общее
свойство таких цепей состоит в том, что энергия в них только потребляется, то
есть усиление мощности невозможно. Цепь можно принять линейной, так как
параметры всех элементов не зависят от напряжения или тока.
Для исследований в работе используются операторный и
временной (интеграл Дюамеля) методы. Операторный метод используется для
определения импульсной и переходной характеристик цепи. В его основе лежит
преобразование Лапласа.
Сущность операторного метода состоит в том, что исходные
уравнения заменяются соответствующими уравнениями относительно изображений
искомых функций. Из решения последних находятся изображения, а затем при помощи
обратного преобразования Лапласа - оригиналы. Если уравнения, которым
удовлетворяют оригиналы, относятся к классу линейных дифференциальных уравнений
с постоянными коэффициентами, то уравнения для изображений получаются
алгебраическими.
Использование в работе временного метода для нахождения
отклика системы объясняется тем, что входной сигнал меняется во времени сложным
образом. В этом случае используются методы, основанные на принципе
суперпозиции, в частности временной метод.
Идея применения метода наложения в общем случае заключается в
следующем. Пусть функцию внешнего воздействия x(t) можно представить в
виде совокупности каких-то простых, аналитически однотипных функций xn(t), то есть
Если отклик исследуемой цепи на воздействие xn(t) равен
известной функции yn(t), то на
основании принципа наложения можно утверждать, что искомый отклик y(t) при
воздействии x(t)
является суммой функций yn(t):
.
Численные расчеты в данной работе выполнялись с использованием
языка программирования высокого уровня. Данная работа подготовлена с помощью MS
Word XP.
Также для математических вычислений и построения графиков в работе
использовался пакет программного обеспечения Mathcad 14.
Mathcad позволяет проводить различные математические
вычисления с высокой степенью точности. В частности, программа позволяет
производить интегрирование, дифференцирование функций не только численно, но и
в символьном виде. В данной работе указанная программа использовалась для
осуществления прямого и обратного преобразований Фурье над заданной функцией,
для табуляции всех функций и построения графиков. Mathcad имеет достаточно
удобный интерфейс. К возможностям программы можно отнести ее способность решать
различные виды уравнений и их системы.
Для ввода данных используется входной язык Mathcad,
позволяющий применять общепринятые математические обозначения при задании
функций и переменных.
цепь негармонический mathcad линейный
1. Техническое задание
Задана пассивная линейная радиотехническая цепь. Схема
исследуемой цепи приведена на рисунке 1.
Рисунок 1 - Схема исследуемой цепи
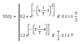
В соответствии с вариантом задания R=9100 Ом, С=0.22 мкФ. На
вход исследуемой цепи подается негармоническое воздействие вида:
(1)
где Т=5 мс.
По данной схеме и входному воздействию требуется определить отклик
линейной радиотехнической цепи при воздействии на нее входного сигнала сложной
(негармонической) формы.
2. Расчет входного сигнала
Аналитический вид входного сигнала задан формулой (1) в разделе
«Техническое задание». Там же, на рисунке 1, приведена схема исследуемой цепи.
Расчет входного сигнала производился с помощью программы MathCAD 2000.
На рисунке 2 приведена программа, позволяющая получить график
входного сигнала, а также его численные значения.
Анализируя исследуемую схему, можно сказать, что ожидаемый
выходной сигнал по своим амплитудным значениям будет меньше чем входной, так
как в исследуемой схеме присутствуют только пассивные элементы. Из-за наличия в
цепи емкостей выходной сигнал в целом будет изменяться медленнее входного.
Таблица 1 - Входной сигнал
3. Расчет частотных характеристик цепи
Рассчитаем амплитудно-частотную характеристику (АЧХ) и
фазо-частотную характеристику (ФЧХ) цепи. Для этого рассчитаем передаточный
коэффициент цепи по напряжению в комплексном виде. Найдём
с помощью метода контурных токов.


;

;

;

;

Графики АЧХ и ФЧХ представлены на рисунке 3:

Моделирование АЧХ и ФЧХ в программе MicroCap 9, представленные на
рисунке 4.
4. Расчет переходной и импульсной характеристик
цепи
Так как для нахождения переходной и импульсной характеристик
необходимо знать коэффициент передачи в операторном виде, то найдем его:
(3)
Эта зависимость следует из (2) после произведения замены
.
По известному коэффициенту передачи в операторном виде K(p)
определим переходную и импульсную временные характеристики цепи. Получаем:
,
.
Для нахождения обратного преобразования по Лапласу от функций H(p)
и G(p) воспользуемся пакетом Mathcad 14. С его помощью можно в аналитическом
виде производить прямые и обратные преобразования заданной функции по Лапласу.
Ниже приведена программа для получения графиков и численных
значений импульсной и переходной характеристик помощью Mathcad 14.0
Переходная характеристика цепи h(t).
Анализ переходной характеристики показывает, что при t = 0, напряжение на
выходе цепи равно нулю, а при увеличении t напряжение на выходе
стремится к единице, так как единичный сигнал, поступивший на вход проходит на
выход


Импульсная характеристика цепи g(t)



Моделирование Переходной и Импульсной характеристик в
программе MicroCap 9, представленные на рисунке 5.
5. Аналитический расчет выходного сигнала
Воспользуемся для расчета методом интеграла Дюамеля.
Обозначим за U1(t) входной, а за U2(t) выходной сигнал. В
соответствии с формулой интеграла Дюамеля сигнал U2(t) определяется следующим
образом:
. (1)
Но поскольку входной сигнал U1(t) описывается на двух
временных интервалах разными зависимостями, то так же будет определяться и
выходной сигнал:
(2)
Выходной сигнал на втором временном интервале можно найти
аналитически (то есть получить зависимость U22(t) в виде формулы), а на
первом интервале - только методом численного интегрирования, так как известно,
что интеграл вида
(3)
не может быть найден аналитически, потому что является
«неберущимся». Поэтому определение выходного сигнала на первом временном
интервале U21(t)
производится в следующем разделе работы.
Для определения U22(t) воспользуемся соотношением:
(4)
Так как h(0) = 1, то первое слагаемое в формуле (3) в
дальнейших вычислениях можно учитывать как U12(t).
Подставляя в (4) выражения для g(t), U11(t) и U12 (t), получаем:
(5) 13
Обозначим в формуле (5) первый интеграл за I1, а второй - за I2.
(6)
Сначала решим каждый интеграл в отдельности, затем сложим их:
(8)
(9)
Введем еще несколько замен, что позволит существенно
упростить вид выражения (8):
Упростив выражения (8) и (9) и сложив их, получим:
Численные значения выходного сигнала на втором временном
интервале U22(t), полученные по этой формуле, представлены в
таблице.
|
t, c
|
Uвых(t)
|
|
0.0036
|
0.035321452
|
|
0.0037
|
0.029256844
|
|
0.0038
|
0.025242362
|
|
0.0039
|
0.022521431
|
|
0.0040
|
0.018426512
|
|
0.0041
|
0.015851235
|
|
0.0042
|
0.012562314
|
|
0.0043
|
0.015214761
|
|
0.0044
|
0.08128431
|
|
0.0045
|
0.07553175
|
|
0.0046
|
0.06022416
|
В целом на втором временном интервале выходной сигнал имеет
форму, напоминающую форму входного сигнала, а также входной сигнал превосходит
выходной по амплитудным значениям.
6. Численный расчет выходного сигнала
Численный расчет выполняется на ЭВМ с помощью программы,
написанной на языке высокого уровня Borland Delphi 7. Программа производит
численный расчет U2(t), строит его график. В программе реализован
наиболее распространенный метод численного интегрирования - метод парабол
(Симпсона). Ниже приведен листинг программы и её работа.
Код программы
unit Unit1;
interface, Messages, SysUtils, Variants, Classes,
Graphics, Controls, Forms,, StdCtrls, ExtCtrls, Grids, jpeg, Menus;=
class(TForm): TButton;: TStringGrid;: TImage;: TLabel;: TPaintBox;: TButton;:
TLabel;: TMemo;FormPaint (Sender: TObject);Button1Click (Sender:
TObject);Button2Click (Sender: TObject);
{Private declarations}
{Public declarations};: TForm1;
{$R *.dfm}p=0.005; r=9100; c=0.22e-6;u1
(t:real):real;t<=2.5e-3 then u1:=0.2+exp (-sqr((6*t/p) - 3))u1:=1.2*exp
(4-8*t/p);;u (t:real):real;t<=2.5e-3 then u:=(-12/p)*((6*t/p) - 3)*exp
(-sqr((6*t/p) - 3))u:= - (9.6/p)*exp(- (8/p)*t+4);;h (t:real):real;:=-0.2*exp
(-2521.9*t) - 0.2*exp (-321*t) +0.4*exp (-153.8*t);;u2 (t:real):real;,
integral:real;, j, n:integer;:=5000;:=t/n;i:=0 to n doodd(i) then
integral:=integral+2*u (h1*i)*h (t-h1*i)integral:=integral+4*u (h1*i)*h
(t-h1*i);;:=integral*h1/3;;;TForm1. Button1Click (Sender:
TObject);:real;:integer;y:=1 to 22 do. Cells [0,0]:='Время t, мс';. Cells
[1,0]:='Сигнал U1 (t), В';. Cells [2,0]:='Сигнал U2 (t), В';. Cols[0].Add
(floattostr(t*1000));. Cols[1].Add (floattostr(u1 (t)));. Cols[2].Add
(floattostr(u2 (t)));:=t+25*1e-5;;;grafik;, t1, t2, y, y1, y2, dt, mt, my:real;,
y0, wt, ht, l, b:integer;:=10;:=form1. PaintBox1. ClientHeight-20;:=Form1.
PaintBox1. ClientHeight-50;:=Form1. PaintBox1. Width-30;
t1:=0;:=0.005;:=0.000001;:=u1 (t1);
y2:=u1 (t1);:=t1;:=u1 (t);y<y1 then
y1:=y;y>y2 then y2:=y;:=t+dt;(t>=t2);:=ht/abs (y2+0.5-y1);:=wt/abs
(t2-t1);:=l;:=b-abs (round(-0.19*my));. PaintBox1. Canvas. MoveTo (l, b);.
PaintBox1. Canvas. LineTo (l, b-ht);. PaintBox1. Canvas. MoveTo (t0, y0);.
PaintBox1. Canvas. LineTo (t0+wt, y0);. PaintBox1. Canvas. TextOut (0,15,'U, В');. PaintBox1. Canvas.
TextOut (388,220,'t, мc');. PaintBox1. Canvas. TextOut (0,220,'0');. PaintBox1. Canvas.
TextOut (84,230,'1');. PaintBox1. Canvas. TextOut (158,230,'2');. PaintBox1.
Canvas. TextOut (232,230,'3');. PaintBox1. Canvas. TextOut (306,230,'4');. PaintBox1.
Canvas. TextOut (380,230,'5');. PaintBox1. Canvas. TextOut (0,130,'1');.
PaintBox1. Canvas. TextOut (0,45,'2');:=t1;. PaintBox1. Canvas. MoveTo (t0,
y0);:=u2 (t);. PaintBox1. Canvas. Pen. Color:=clRed;. PaintBox1. Canvas. Pen.
Width:=2;. PaintBox1. Canvas. LineTo (t0+Round (t*mt), y0-Round
(y*my));:=t+dt;(t>=t2);:=t1;. PaintBox1. Canvas. MoveTo (t0, y0);:=u1 (t);.
PaintBox1. Canvas. Pen. Color:=clBlue;. PaintBox1. Canvas. Pen. Width:=2;.
PaintBox1. Canvas. LineTo (t0+Round (t*mt), y0-Round (y*my));:=t+dt;(t>=t2);;TForm1.
FormPaint (Sender:TObject);;;TForm1. Button2Click (Sender: TObject);;.
PaintBox1. Canvas. TextOut (162,83,'U1');. PaintBox1. Canvas. TextOut
(162,158,'U2');
Form1. Label2. Caption:='Графики входного и выходного
сигналов';;
7. Экспериментальные исследования
В данном разделе работы будут приведены результаты
экспериментальных исследований. Эксперимент проводится на лабораторной
установке, структурная схема которой представлена на рисунке 9.
Структурная схема лабораторной установки
Генератор входного сигнала ГС формирует заданную функцию времени -
напряжение, подаваемое на вход цепи. Выходное напряжение подается на вход
осциллографа, работающего в режиме ждущей развертки с внешней синхронизацией от
ГС.
Список источников
1) Методические
указания к курсовой работе «Воздействие колебаний сложной формы на линейные
цепи» 9-2007;
) «Основы
теории цепей» В.П. Попов;
) «Основы
электротехники» В.П. Литвиненко.