Коммуникационные процессы в организации

  • Вид работы:
    Дипломная (ВКР)
  • Предмет:
    Менеджмент
  • Язык:
    Русский
    ,
    Формат файла:
    MS Word
    428,65 kb
  • Опубликовано:
    2012-02-24
Вы можете узнать стоимость помощи в написании студенческой работы.
Помощь в написании работы, которую точно примут!

Коммуникационные процессы в организации

Министерство транспорта Российской Федерации

Федеральное агентство железнодорожного транспорта

ГОУ ВПО «Дальневосточный государственный университет путей сообщения»

Кафедра «Менеджмент»








Курсовая работа

по дисциплине: «Теория организации»

на тему: «Коммуникационные процессы в организации»








Хабаровск 2011

Содержание

Введение

Глава 1. Теоретические аспекты коммуникационных процессов

.1 Коммуникации - понятие, виды, их характеристика

.2 Коммуникации в управлении

Глава 2. Коммуникационные процессы и сети

.1 Процесс коммуникации

.2 Прохождение информации по элементам коммуникативной системы

.3 Коммуникационные сети и их разновидности

Глава 3. Анализ коммуникационных процессов на ООО «Агат - Тур»

Заключение

Литература

Введение


Коммуникации являются главным составляющим в деятельности руководителя какой-либо организации, так как коммуникации - это обмен необходимой информации между людьми.

Без обмена информации руководство и сотрудники организации не смогут вместе работать, а также сформулировать те задачи, которые нужны для достижения поставленных целей.

Актуальность этой темы в том, что в любой организации и на любом предприятии на сегодняшний день никак нельзя обойтись без коммуникационных процессов, которые зачастую решают вопросы большой значимости.

Предмет исследования - коммуникационные процессы.

Объект исследования - организация, как социальное образование.

Цель данной работы - рассмотреть особенности коммуникативных процессов в организации.

Для достижения поставленной цели необходимо решить следующие задачи:

·        Выяснить что такое коммуникация, их виды и характеристики

·        Изучить теоретические аспекты коммуникационных процессов в организации.

·        Проанализировать роль коммуникаций в работе организации

Глава 1. Теоретические аспекты коммуникационных процессов


1.1    Коммуникации - понятие виды, их характеристика

Управленческая деятельность представляет собой в широком смысле слова обмен информацией, который является сложнейшей проблемой в любой организации. Одним из самых важных факторов управления является коммуникация.

Один из основоположников американской социологии Ч. Кули считал, что под коммуникацией понимается механизм, посредством которого становится возможным существование и развитие человеческих отношений - все символы разума вместе со способами их передачи в пространстве и сохранения во времени. Она включает в себя мимику, общение, жесты, тон голоса, слова, письменность, печать, железные дороги, телеграф, телефон и самые последние достижения по завоеванию пространства и времени. Четкой границы между средствами коммуникации и остальным внешним миром не существует. Однако вместе с рождением внешнего мира появляется система стандартных символов, предназначенная только для передачи мыслей, с нее начинается традиционное развитие коммуникации[15]. К. Черри сформулировал определение коммуникации как социального объединения индивидов, осуществляемого с помощью языка или знаков, установления общезначимых наборов правил для различной целенаправленной деятельности [16]. А. Урсул подчеркивал, что коммуникация - это обмен информацией между сложными динамическими системами и их частями, которые в состоянии принимать информацию, накапливать ее, преобразовывать[17].

Исходя из вышесказанного можно дать четкое определение понятию «коммуникации».

Коммуникации- это процесс общения и передачи информации между людьми или их группами в виде устных и письменных сообщений, языка телодвижений и параметров речи.

Цели коммуникаций:

Организовывать информационный обмен между субъектом и объектом управления.

Наладить процесс эмоционального и интеллектуального обмена управленческой информацией.

Установить связь между людьми в организации.

Сформулировать общие взгляды на внутреннюю среду организации.

Организовать совместную работу коллективов с целью выполнения задач организации[6].

Коммуникации подразделяются на следующие виды:

·        организационные или межличностные коммуникации, которые основаны на устном общении.

·        Коммуникации основанные на письменном обмене информацией.

Межличностные коммуникации в свою очередь подразделяются на следующие типы:

·        не официальные или неформальные коммуникации, которые не следуют общим правилам определенной организации; они осуществляются согласно установившейся системе личных отношений между работниками организации.

Типичная информация, передаваемая по каналам неформальных коммуникаций: предстоящие сокращения производственных рабочих, новые меры по наказаниям за опоздание, изменение в структуре организации, грядущие перемещения и повышения, подробное изложение спора двух руководителей на последнем совещании по сбыту, кто кому назначает свидание после работы и т. д.

·        официальные или формальные коммуникации. Данные коммуникации определяются политикой, правилами, должностными инструкциями определенной организации и осуществляются по формальным каналам.

В свою очередь формальные коммуникации так же подразделяются на типы:

·        горизонтальные, которые распространяются между различными подразделениями. Такие коммуникации предназначаются для координации деятельности различных подразделений.

·        Вертикальные, предназначающиеся для передачи информации с одного уровня иерархии на другой.

Вертикальные коммуникации можно подразделить на:

·        Восходящие, которые представляют собой поток информации от низших уровней к высшим (т.е. от исполнителя к руководителю). Данный вид передачи информации чаще всего реализуется в виде отчетов о деятельности и рационализаторских предложениях.

·        Нисходящие - это процесс передачи информации от руководителя к подчиненным. Такой вид представляет собой инструктаж по поводу выполнения тех или иных заданий[14].

Говоря о типах коммуникаций, нельзя не упомнить о таких межличностных коммуникациях, как

·        Вербальные (словесные);

·        Невербальные, основанные на передаче информации или влиянии друг на друга через интонацию, жесты, мимику.

 

1.2 Коммуникации в управлении

коммуникация информационный управление общение

Управление должно решить три задачи, создавая информационную подструктуру организации деятельности:

·        организацию коммуникативных сетей;

·        повышение качества информации, циркулирующей по коммуникативным сетям, обеспечивающей управление и деятельность персонала;

·        полноценное использование информации для решения задач управления.

Эти задачи связаны со своеобразной группой психологических факторов- познавательно-коммуникативных. Чтобы повысить эффективность управления, необходимо знать, учитывать и совершенствовать эту группу психологических факторов.

Информационное сообщение - содержание информации, переданной при коммуникации от одного лица другому.

Канал коммуникации - направление движения информационного сообщения.

Информационный обмен - передача информации друг другу по каналу.

Коммуникативная цепь - ряд каналов коммуникации, связанных движением однородных информационных сообщений.

Могут быть индивидуальные и групповые информационные сети.

Коммуникативная сеть - сложно соединенная и переплетенная система коммуникативных информационных потоков, циркулирующих по всем элементам организации органа и обеспечивающая ее деятельность. Это схема циркуляции информации. Основа ее задается структурой организации и организационными отношениями между его подразделениями и должностными лицами, т.е. основа лежит в организационно-правовой плоскости.

Умелый руководитель принимает меры по обеспечению положительного влияния психологических факторов на коммуникации. К. Киллен, изучавший этот вопрос, пишет: «Представьте себе, как крайний случай, попытку общения с человеком, целящимся в вас из винтовки. До тех пор, пока этот человек относится к вам как к врагу, вряд ли удастся с ним эффективно общаться.

Однако глубокое взаимное уважение отправителя и получателя сообщений чрезвычайно облегчает коммуникацию и позволяет быстро находить решение даже самых трудных проблем». Надо уделять внимание прежде всего межличностным взаимоотношениям, взаимоотношениям руководителей служб и их коллективов, преодолевать психологические барьеры (взаимное недоверие, отсутствие единства подходов, нездоровая конкуренция, осторожность в передаче информации, разборчивость в подключении новых коммуникативных каналов, пользование нелегальными коммуникативными каналами и пр.)[13].

Сказывается то, как развиты и развиваются у сотрудников коммуникативные способности и умения: общительность, доступность, умение слушать и быстро схватывать суть сообщения, быстро и правильно решать, кому передать информацию, умение хранить и быстро находить нужную информацию, четко, ясно и кратко передавать сообщение и др.

Цель коммуникации - обеспечить понимание информации (сообщения), которой обмениваются отправитель и получатель. Коммуникации могут осуществляться в виде:

монолога - информации, поступающей от отправителя к получателю;

диалога - информации, поступающей от отправителя к получателю и от получателя к отправителю;

обратной связи как реакции на полученную информацию.

Для обмена информацией используют символы, к которым относятся слова, жесты, интонация. Отправитель кодирует сообщение с помощью вербальных и невербальных символов[11].

Обмен информацией возможен не только посредством речи, но и посредством других знаковых систем, которые в своей совокупности составляют средства невербальной коммуникации.

В современной социальной психологии предлагается полная схема всех знаковых систем, используемых в невербальной коммуникации. Основные из них следующие:

. Оптико-кинетическая система. Включает в себя жесты, мимику, пантомимику. В целом оптико-кинетическая система предстает как более или менее отчетливо воспринимаемое свойство общей моторики различных частей тела (рук, и тогда мы имеем жестикуляцию; лица, и тогда мы имеем мимику; позы, и тогда мы имеем пантомимику).

. Паралингвистическая и экстралингвистическая система знаков (иногда обозначаемая как просодика) представляет собой также «добавку» к вербальной коммуникации.

Паралингвистика - это система вокализации, т.е. качество голоса, его диапазон, тональность. Эти характеристики голоса способствуют выражению эмоционального состояния коммуникатора (гнев сопровождается увеличением силы и высоты голоса, резкости звуков; печаль, напротив, - спадом силы, высоты, звонкости голоса), а также некоторых характеристик его личности

Экстралингвистика - включение в речь пауз, других вкраплений, например, покашливания, плача, смеха, наконец, сам темп речи. паузы, например, подчеркивают особую значительность предлагаемого текста, иногда они значат больше, чем сам текст.

. Организация пространства и времени коммуникативного процесса выступает также особой знаковой системой, несет смысловую нагрузку как компонент коммуникативной ситуации. Так например, размещение партнеров лицом друг к другу способствует возникновению контакта, символизирует внимание к говорящему, в то время как окрик в спину также может иметь определенное значение отрицательного порядка.

. Визуальный контакт выполняет многочисленные функции: информационный поиск, стремление скрыть или обнаружить свое «Я», сигнализировать о готовности поддержать и продолжить общение, демонстрировать степень психологической близости и пр. Как и все невербальные средства, контакт глаз имеет значение дополнения к вербальной коммуникации. И так же, как другие средства невербальной коммуникации, его проявления варьируются в различных культурах. Так, мера допустимости пристального взора - «глаза в глаза» - различается, например, в Великобритании и Японии, различное значение придается такому явлению, как мигание[11].

Совокупность этих средств призвана выполнять следующие функции: дополнение речи, замещение речи, репрезентация эмоциональных состояний партнеров по коммуникативному процессу.

Глава 2. Коммуникационные процессы и сети

.1 Процесс коммуникации

Коммуникативный процесс - это процесс взаимодействия между различными субъектами коммуникаций, при котором осуществляется обмен информацией. Коммуникативный процесс включает в себя динамическую смену этапов формирования, передачи, приема, расшифровки и использования информации в обоих направлениях при взаимодействии коммуникатов. Процесс обмена информации начинается с её формирования. Например, чтобы подготовить рекламное сообщение о каком-либо товаре, адресованное определенной аудитории, необходимо сконструировать его образ, выгодно отличающийся от аналогов. Далее рекламную концепцию нужно воплотить до включения обладателя в процесс потребления. Исходя из этого, информация, предназначенная для использования в коммуникативном процессе между продавцом и покупателем, должна включать в себя как очевидные (реальные) сведения, так и символические (образные), которые помогают придать вещи социальную ценность[5].

Способность передачи информации определяется целью коммуникации, сформированностью каналов коммуникации, наличием общих сторон коммуникации знаковой системы (языка общения, символьной системы). Язык общения характеризуется жанрами устной и письменной форм речи, которые должны быть сформированы для каждого канала коммуникации. Стандартизация коммуникации осуществляется исходя из стандартов стиля, механизма передачи информации. Для передачи смысловой и оценочной информации отбираются соответствующие вербальные и невербальные средства[7].

Передаваемая информация должна адекватно восприниматься получателем. Для этого кодирование и декодирование замыкает единую цепь. В том случае, когда коммуникация осуществляется с помощью технических средств, обеспечивается кодирование и декодирование (шифрование и дешифрование) информации по различным каналам средств массовой коммуникации (с помощью соответствующей аппаратуры, идентичной на входе и канала коммуникации).

Коммуникативные факторы как выбор языкового кода, так и нормы их использования и способы актуализации частных коммуникативных функций формируют коммуникативную установку.

Языковый код выбирается, исходя из объема, частотности, существующих коммуникативных средств и каналов коммуникации. На выбор языкового кода также влияют тематика, жанр публикаций, тип радио- или телепередач. Выбор кода определяется реально функционирующими в прессе, радио и телевидении видами языков. Свой языковый код подбирается для людей соответствующего образовательного и культурного уровня. В национальных регионах законом предписывается необходимость использования языка коренного населения в СМИ, в образовательных, научных государственных учреждениях[7].

Среди эстетических требований к речевому коммуникативному процессу - ограничение или полное исключение использования неблагозвучных и редко употребляемых форм, недопущение в одном высказывании слов с общим корнем и тождественным содержанием, неоправданных повторов, пауз.

Эффективность коммуникативного процесса увеличивает обращение к известным именам, авторитетам. Люди чувствуют себя уверенней, если их мнение совпадает с точкой зрения известных личностей. Нередко в коммуникативном процессе можно заметить использование экзотических терминов, с целью введения слушателя (читателя, зрителя) в мир таинственного и неизведанного. В то же время перенасыщенность сообщения непонятными, хотя и будоражащими воображение словами, может создать барьер непонимания[7].

Таким образом, использование различных приемов поддержания коммуникативного процесса и факторов, способствующих воздействию средств массовой коммуникации на индивидов и социальные группы, позволяет коммуниканту направлять процесс обмена информации в нужное русло и добиваться поставленных им целей.

2.2 Прохождение информации по элементам коммуникативной системы

Среди элементов цепи коммуникации выделяют: кодирование, передача сигнала, канал (передаточный механизм), приём и декодирование, обратная связь, помехи и барьеры.(рис.2.1.)

Кодирование ставит задачу преобразования сигнала в форму, обеспечивающую оптимальную передачу сигнала по определенному каналу коммуникации. Форма сигнала в виде набора символов выбирается в зависимости от специфики коммуникативной системы, включающей все отмеченные элементы коммуникации.

Канал является промежуточным механизмом от коммуникатора к реципиенту. Это и устное обращение, телефонная и интерактивная (двусторонняя телесвязь), это и собрания, митинги, шествия, это и офис, где происходит обмен информацией, это и уличная, и любая другая реклама, посредством которой рекламодатель общается с рекламополучателем и др.

Передача сигнала осуществляется через канал коммуникации. Вид сигнала зависит от типа осуществляемой коммуникации и используемого канала.

Прием и декодирование сигнала. Каждый реципиент может полноценно функционировать в системе коммуникации, если в состоянии понять то, что ему передают. Если каналом коммуникации является звук, то лишь поняв систему звуковых символов, составляющих понятные слова и предложения, можно наладить речевую коммуникацию. При передаче сигналов в виде азбуки Морзе реципиент должен принимать радиосигнал, состоящий из комбинаций коротких и длинных сигналов (точек и тире) и декодировать их путем распознавания набора символов, заключенных между паузами[2].

Рис.2.1. Коммуникативная сеть

Дешифровку и преобразование сигнала в исходную форму, которую они имели до шифрования, осуществляют специальные устройства, называемые декодерами. Специалисты считают, что наиболее важным фактором, нарушающим «общность» в коммуникациях между источником и получателем информации, являются изменения, которые происходят в ее кодировании и расшифровке. Наиболее эффективные коммуникации устанавливаются в том случае, когда процессы кодирования и расшифровки информации являются единообразными. Когда эти процессы становятся разнородными, коммуникации разрушаются. Н. Винер назвал эту проблему энтропией, т. е. тенденцией процессов человеческого общения к распылению[2]. Такая тенденция возникает в том случае, когда работники организации имеют различный опыт, используемую лексику, знания, интересы и т. п., в результате этого возникают барьеры для эффективных коммуникаций.

При передаче сигналов на его пути возникают барьеры и помехи. При диалога людей различной национальности, например, может возникнуть языковый барьер, а при прохождении радиосигнала - радиопомехи. В коммуникациях между руководителем и подчиненным в качестве помех и барьеров могут служить статусные различия между руководителем и подчиненным, или желание слышать только то, что хочется услышать. В беседе помехой могут быть и отвлечения, и неправильная интерпретация полученной информации реципиентом, и семантические проблемы (придание различных значений одним и тем же словам).

Все помехи и барьеры искажают передаваемый сигнал, поэтому коммуникатору важно убедиться в том, правильно ли понята реципиентом информация. Для этого в систему коммуникации включается канал обратной связи. В разговоре в качестве канала обратной связи может быть, например, краткий пересказ реципиентом услышанного. В коммуникациях радиотелеграфистов с помощью азбуки Морзе - это подтверждение получения всего объема сообщений (определенное количество групп, состоящих из пяти знаков)[8].

Благодаря обратной связи, даже при имеющихся искажениях, коммуникация превращается в дорогу с двусторонним движением, а сам процесс приобретает динамику. При этом достаточно, чтобы обратная связь в её кодовой системе была известна новому получателю. Например, порой на какую-то фразу мы можем ответить просто кивком головы.

2.3 Коммуникационные сети и их разновидности

Коммуникационная сеть - это соединение определенным образом участвующих в коммуникационном процессе индивидов с помощью информационных потоков . В данном случае рассматриваются не индивиды как таковые, а коммуникационные отношения между индивидами. Коммуникационная сеть включает потоки посланий или сигналов между двумя и более индивидами. Коммуникационная сеть концентрируется на выработанных в организации образцах этих потоков. А не на том, удалось ли передать значение или смысл послания[5].

На предприятиях коммуникационные каналы объединяются в сети, связывающие элементы управленческой структуры в единое целое. Они объединяют в себе формальные и неформальные коммуникационные каналы, как дублирующие, так и дополняющие друг друга.

Исходя из отечественного и зарубежного опыта можно выделить три вида коммуникационных сетей:

·        открытые, в этих сетях движение команды или информации может быть остановлено, так как попадает в тупик, т.е. к элементу структуры управления, находящемуся в конце канала. Одновременно движение может встретить препятствие в виде посредника или контролера, но который по каким - то причинам этому движению препятствует (останавливает, искажает, направляет в другую сторону) и которого нельзя обойти.

·        Замкнутые, в них тупики и контролеры либо отсутствуют, либо могут быть обойдены.

·        Комбинированные сети сочетают в себе оба принципа построения и присущи крупным многоуровневым предприятиям.

Рассмотрим более обстоятельно каждый из видов сетей, их преимущества и недостатки, помня при этом, что речь идет об их принципиальных схемах, а не о "портретах" тех или иных реальных организаций или подразделений.

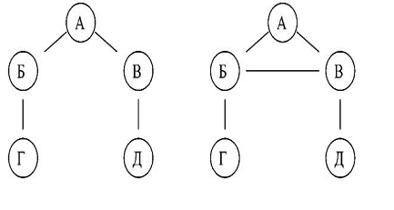
Наиболее простой вид открытой коммуникационной сети - линейная, называемая змеей (рис.2.2). Она характеризует элементы структуры управления А и Б, которые соединяясь находятся в тупиках, а В выполняет роль не только посредника коммуникаций, но может контролировать их. Такая сеть соединяет работников одного уровня управления, имея чаще всего неформальный характер, или является элементом более сложной сети[9].

Рис.2.2. Сеть типа «Змея»

Если число звеньев, принадлежащих к нижнему уровню иерархии управленческой структуры, не выходит за пределы диапазона контроля, наиболее подходящей для нее является коммуникационная сеть, называемая звезда (рис.2.3) позволяет оперативно получать информацию, концентрировать ее в центральном звене А и в кратчайшие сроки направлять исполнителям Б, В, Г. Звену А легко поддерживать порядок в управлении, поскольку при коммуникациях отсутствуют посредники и неформальные каналы, что делает невозможным появление различного рода "возмущений". Однако для крупных управленческих структур такая коммуникационная сеть непригодна. Центральное звено А уже не в состоянии вырабатывать самостоятельно все решения и доводить их до исполнителей. В этом случае появляется помощник (посредник) Б, конкретизирующий команды и распределяющий информацию между исполнителями В , Г, Д. Являясь представителем среднего уровня управления и играя вторые роли, на деле он получает огромную власть, так как контролирует информацию и может навязывать свою волю первому лицу. Такая сеть получила название шпора (рис. 2.4.).

Рис.2.3. Сеть типа «Звезда» Рис.2.4. Сеть типа «Шпора»

В сетях типа звезда и шпора число коммуникационных каналов, сходящихся к центральному элементу, на практике может бесконечно расти и в конце концов превысить возможности отдельного человека их контролировать. Это обстоятельство ставит естественный предел развитию управленческих структура следовательно, препятствует расширению самих предприятий, обусловленному ростом масштабов производства[9].

Поэтому для крупных многопрофильных функциональных структур свойственны иные коммуникационные сети, например, тент (рис.2.5.) и его модификации. Суть этих модификаций, получивших название палатка и дом (рис.2.6) состоит в официальном допущении наряду с вертикальными горизонтальных коммуникационных каналов, посредством которых подчиненные могут напрямую самостоятельно решать многие второстепенные проблемы, что позволяет руководству не отвлекаться на них и сосредоточиться на главном.

Рис.2.5. Сеть типа «Тент» Рис.2.6. Сеть типа «Палатка»

В "палатке" допускается один уровень горизонтальной коммуникации - между вторыми лицами; в "доме" же такие каналы возможны на всех уровнях управленческой структуры, что придает ему характер замкнутой сети. Практика показывает, однако, что вследствие относительно свободного пользования коммуникационными каналами здесь могут возникать определенные целенаправленные деформации, с помощью которых отдельные субъекты управленческой структуры могут быть сначала выключены из системы коммуникаций, а затем удалены из нее[9].

Например, на основе предварительной договоренности субъект Д может направлять информацию для А через Б и Г, минуя В, что должен делать в соответствии с формальными предписаниями. Через некоторое время будет нетрудно доказать принципиальную ненужность В и возможность исключения его из управленческой структуры.

В целом открытые коммуникационные структуры присущи бюрократическим структурам, где имеет место жесткое подчинение одних звеньев другим и преобладают формальные связи. Однако в рамках таких предприятий могут существовать и гибкие структуры - консультационные и совещательные (комитеты, комиссии, специальные творческие группы), которые основаны преимущественно на неформальных или полуформальных внутренних связях и принципах самоуправления. Коммуникации здесь осуществляются посредством замкнутых сетей, в которых посредники[2].

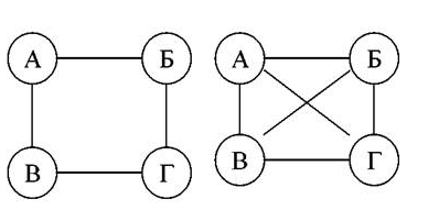
Основой замкнутых сетей является сеть типа "круг" (рис. 2.7)

Рис.2.7. Сеть типа «Круг»

В крупных предприятиях он может быть сложным, включающим дополнительные коммуникационные каналы, связывающие всех со всеми. "Круг" характерен для структур с благоприятным морально-психологическим климатом. Он помогает объединять людей, облегчать обмен информацией и идеями, стимулирует творческие процессы.

В крупных предприятиях творческие группы могут быть связаны друг с другом, и тогда коммуникационная структура принимает вид "сот" (рис. 2.8). Это - сеть комбинированная, представляет собой единство открытой "змеи" и замкнутого "колеса" или "круга". Процесс коммуникаций имеет уже здесь свои тупики, а связники легко превращаются в контролеров. Эти тупики при необходимости можно преодолеть замыканием самой "змеи" с использованием принципа "соединительного звена"[9].

Рис.2.8. Сеть типа «Соты»

Глава3. Анализ коммуникационных процессов на ООО «Агат - Тур»

«Агат-Тур» существует на российском рынке уже 6 лет. Уставной деятельностью является предоставление туристических услуг, а также экскурсионных поездок по столице России - Москве. В штате фирмы работает 6 ведущих менеджеров, в подчинении которых находится от 2 до 4 младших менеджеров и помощников. Эти сотрудники образуют 6 отделов 000 «Агат-Тур». Возглавляет фирму Генеральный директор, в подчинении у которого более 25 человек. Каждый месяц (в конце месяца) старшие менеджеры в письменном виде докладывают о проделанной работе руководителю организации. Также в этом докладе возможны предложения, пожелания, просьбы как самих старших менеджеров, так и тех менеджеров, которые находятся у них в подчинении. Предварительно просьбы и пожелания младших менеджеров обсуждаются с их начальниками - ведущими (старшими) менеджерами.

Руководитель, рассмотрев, доклады менеджеров, в первых числах следующего месяца организовывает с помощью секретаря собрание, на котором по каждому пункту докладов дает указания на дальнейшую работу, а также распоряжается и передает информацию, поступившую к нему из внешней среды. На этом же собрании присутствует главный бухгалтер фирмы для получения информации о произведённых расходах или предстоящих расходах, доходах и т.п.[3]. Таким образом налажены вертикальные нисходящие коммуникации.


Рис.3.1. Горизонтальные коммуникации

Также нисходящие и восходящие коммуникации осуществляются на ежегодных собраниях всего трудового коллектива 000 «Агат-Тур», где обсуждаются успехи, достижения, неудачи и перспективы как фирмы так и сотрудников[13].

Неформальные коммуникации распространяются на празднованиях дней рождений, встречи «Нового года», «Восьмого марта», коллективных поздравлениях с новорожденным ребенком. Ежегодно в организации отмечается «день рождения ОOO «Агат-Тур» - дата регистрации. На данные мероприятия принято собираться всем коллективом. Также на фирме организуются совместные поездки в экскурсионные туры по России, где половина стоимости путёвки оплачивается фирмой.

Такой системой коммуникаций руководитель оградил себя от излишних сплетней и пересудов, организовал эффективную передачу формальной (деловой) информации между отделами, сократил, на сколько это возможно, утечку информации. В тоже время обеспечил вниманием своих подчиненных и предоставил всевозможные пути для «обратной связи». Также подчиненные с помощью такой организации коммуникаций могут видеть в своих начальниках не только приказывающих руководителей, но и просто людей; это достигается на коллективных праздниках.

Достоинства, недостатки и пути их решения в организации

ООО «Агат-Тур» имеет следующие достоинства:

·        полная ответственность сотрудников за проделанную работу

·        четкость и оперативность в работе персонала

·        начальство прислушивается к просьбам и пожеланиям своих сотрудников

·        подчиненные видят в своих начальниках не только приказывающих руководителей, но и просто людей. Это говорит о том, что неформальные отношения в данной организации развиты на все 100%.

Недостатки в данной организации наблюдаются только в технологическом процессе:

·        объём операций растет медленно из-за острой конкуренции со стороны других организации

·        нехватка операционных площадей, из-за чего нет возможности расширения объёма операций.

Рассмотрев достоинства и недостатки данной организации можно сделать вывод о том, что она двигается в правильном направлении. Если и дальше руководитель будет организовывать эффективную передачу формальной и не формальной коммуникаций, то дальнейший успех данной организации просто обеспечен.

Заключение

В данной курсовой работе было полностью раскрыто понятие «Коммуникация». Были рассмотрены виды коммуникаций и дана их полная характеристика. Также были изучены теоретические основы, раскрыта сущность и понятие коммуникационного процесса, его элементы и этапы.

Мной был проведен анализ состояния организации на примере ОOO «Агат-Тур» и даны практические рекомендации.

В данной работе не трудно заметить, что процесс коммуникации- это процесс информирования. А какой же сотрудник в организации может нормально работать без поступления информации? Ведь он каждый день сталкивается с кипой газет, писем, документов; встречается с огромным количеством людей, улаживая спорные вопросы, отдавая распоряжения, контролируя выполнение работы и т.д.

Задача каждого из сотрудников состоит в том, чтобы осуществлять эффективные коммуникации на всех уровнях взаимодействий. Разговор с начальником - коммуникация по восходящей, разговор с подчиненными - по нисходящей, разговор с начальником параллельного отдела-коммуникация. Вопрос эффективных коммуникаций также важен для сотрудника, как и вопрос принятия решений.

Более того, эти два аспекта управленческой деятельности взаимодополняют друг друга. И наличие одного не возможно без наличия другого.

Функция коммуникации также важна для сотрудников, как и функции планирования, организации, мотивации контроля. И я считаю, что если каждый из сотрудников будет совершенствоваться в процессах коммуникации, то любая организация будет успешно осуществлять свою деятельность.

Неэффективные коммуникации - одна из главных сфер возникновения проблем. Глубоко осмысливая коммуникации на уровне личности и организации, надо стараться снижать частоту случаев неэффективных коммуникаций и становиться лучшими, более эффективными сотрудниками.

Эффективно работающие руководители - это те, кто эффективны в коммуникациях. Они представляют суть Коммуникационного процесса, обладают хорошо развитым умением устного и письменного общения и понимают, как среда влияет на обмен информацией. Коммуникативный процесс в той степени, в какой он развит, повышает гибкость и саморегуляционные возможности организации. Развитие коммуникативных процессов в организациях стимулируется техническим прогрессом и использованием передовых технологий.

Список литературы

1.       Васильев Ю. В. Теория управления [Текст]: учебник для студентов высших учебных заведений по специальности «Государственное и муниципальное управление». Под ред. Ю. В. Васильева, В. Н. Парахиной, Л. И. Ушвицкого. - Изд. 2-е, доп. - Москва: Финансы и статистика, 2008. - 606 с.

.        Завьялов П. С. Менеджмент в схемах, рисунках, таблицах [Текст]: учебное пособие /П. С. Завьялов. - Москва: ИНФРА-М, 2000. - 495 с.

.        Кабушкин н. И. Менеджмент гостиниц и ресторанов: Учебник / Н.И. Кабушкин, Г. А. Бондаренко. - 3-е изд., перераб. и доп. - Мн.: Новое знание, 2002. - 368 с.

.        Королев В. И. Основы менеджмента [Текст]: учебное пособие. Под ред. В. И. Королева. Всероссийская академия внешней торговли. - Москва: Магист, 2008. - 619 с.

.        Роджерс Э., Агарвала-Роджерс Р. Коммуникации в организациях [Текст] :пер. с англ. - М. : Дека, 1989. - 276с.

.        Энциклопедия экономиста [Электронный ресурс] / Режим доступа: www . grandars. ru

.        Конецкая В. П. Социология коммуникации [Текст] - М.: Междунар. ун-т бизнеса и управления, 1997. - С. 230.

.        Почепцов Г. Г. Теория коммуникации. - М., 2001. - С. 15.

.        Коммуникационные сети [Электронный ресурс] / Режим доступа: www. menedzhmenti. ru

.        Коммуникационные сети и их разновидности [Электронный ресурс] / Режим доступа: www.market-pages.ru

.        Лабунская В.А. Невербальное поведение (социально-перцептивный подход) [Текст]: учебное пособие/ В.А. Лабунская - Ростов-на-Дону: Унта, 1996 - 258с.

.        Ожегов С. И., Шведов Н. Ю. Толковый словарь русского языка: 80000 слов и фразеологических выражений/Российская академия наук. Институт русского языка им. В. В. Виноградова. - 4-е изд., дополненное. - М.: Азбуковник, 1999. - 944 с.

.        Русинов Ф. М., Денисов В. А., Разу М. Л. Менеджмент: современный российский менеджмент [Текст]: учебник для вузов. Рос. Экон. Академия им. Г. В. Плеханова, Гос. Ун-т управления, Рос академия гос. Службы при Президенте РФ. - Москва: ФБК-ПРЕСС,1999. - 502 с.

.        Шеметов П. В. Менеджмент [Текст]: управление организационными системами: учебное пособие по специальности «Менеджмент организаций» / П. В. Шеметов, Л. Е. Чередникова, С. В. Петухова. - 2-е изд, стер. - Москва: Омега-Л, 2008. - 407 с.

.        Кули Ч. Х. Общественная организация. Изучение углубленного разума // Тексты по истории социологии XIX-XX веков. Хрестоматия /Сост. и отв. ред. В.И. Добреньков, Л.П. Беленкова - Москва: Наука, 1994. - 540с.

.        Черри К. Человек и информация [Текст]: пер. с англ. / К. Черри- М. : Связь, 1972. - 368с.

.        Урсул А. Д. Природа информации [Текст] - М. : Политиздат, 1968. - 288с.


Не нашли материал для своей работы?
Поможем написать уникальную работу
Без плагиата!
Без нейросетей!