Внедрение аутсорсинга на предприятиях химической промышленности

  • Вид работы:
    Дипломная (ВКР)
  • Предмет:
    Менеджмент
  • Язык:
    Русский
    ,
    Формат файла:
    MS Word
    1,07 Mb
  • Опубликовано:
    2011-07-12
Вы можете узнать стоимость помощи в написании студенческой работы.
Помощь в написании работы, которую точно примут!

Внедрение аутсорсинга на предприятиях химической промышленности

Оглавление

 

Аннотация

Введение

Глава 1. Аутсорсинг как инструмент повышения конкурентоспособности современного предприятий

1.1 Аутсорсинг: понятие, виды, достоинства и недостатки

1.2 Российская практика применения аутсорсинга

1.3 Инструменты оценки аутсорсинга непрофильных бизнес-функций

Глава 2. Анализ деятельности ОАО по "Электро-химический завод"

2.1 Общая характеристика ОАО ПО "ЭХЗ"

2.2 Основные результаты деятельности ОАО "ПО ЭХЗ"

2.3 Программа реструктуризации ОАО ПО "ЭХЗ"

Глава 3. Внедрение аутсорсинга на предприятиях химической промышленности на примере ОАО ПО "ЭЛЕКТРОХИМИЧЕСКИЙ ЗАВОД"

3.1 Выявление проблемы

3.2 Анализ целесообразности перевода на аутсорсинг функций снабжения "ECP PLASTICS" ОАО "ЭХЗ"

3.3 Выбор поставщика и особенности формирования аутсорсингового контракта

Заключение

Список использованных источников

Аннотация

Актуальность выбранной темы заключается в том, что на предприятии ОАО ПО "ЭХЗ" в настоящее время проходит процесс реструктуризации завода, выводу из состава предприятия подлежат непрофильные подразделения, где работают около 3,5 тыс. человек. Отбор бизнес-процессов для передачи на аутсорсинг является важной проблемой, и его применение позволяет в значительной степени повысить конкурентоспособность производственных предприятий за счет снижения издержек, рационализации производственной и управленческой деятельности, фокусирования на инновациях.

Объектом исследования в данной работе является ОАО ПО "ЭХЗ".

Целью работы является внедрение аутсорсинга на предприятиях химической промышленности.

Структурно дипломная работа состоит из введения, 3-х взаимосвязанных разделов, заключения и списка литературы.

В первой части работы рассмотрены теоретические основы аутсорсинга как инструмента повышения конкурентоспособности современного предприятия: понятие, сущность, виды, преимущества и недостатки, а также принципы формирования.

Во второй дипломной работы проведен анализ деятельности ОАО ПО "ЭХЗ".

В третьей части предлагается программа внедрения аутсорсинга на ОАО ПО "ЭХЗ" и показана целесообразность внедрения данной программы.

Количество страниц - 93.

Количество иллюстраций - 21.

Количество таблиц - 8.

Количество приложений - 8.

Количество литературных источников - 55.

Введение


Укрепление рыночной экономики в России повышают требования к уровню управления компаниями. В условиях сильной конкуренции изменение менеджмента многих российских предприятий является решающим фактором в развитии российского бизнеса. Процессы, которые происходят в национальной экономике, подчеркивают актуальность изучения новых способов повышения конкурентоспособности и устойчивости развития компаний.

Российская промышленность в настоящее время преимущественно представлена крупными предприятиями. Для них характерны:

полный цикл производства;

громоздкая система управления;

большое количество вспомогательных и обслуживающих подразделений и несоответствие их мощностей основному производству;

неэффективное использование ресурсов.

Данные проблемы присущи большинству предприятий газовой, нефтяной, химической промышленности, электроэнергетики, машиностроения, металлургии и др. Кроме того, недостаточная концентрация ресурсов на ключевых направлениях деятельности снижает конкурентоспособность промышленных предприятий на отечественном и мировом рынках, что заставляет искать и применять новые механизмы и инструменты управления. Одним из инструментов реализации такой идеи и может стать аутсорсинг.

Практика применения аутсорсинга получает в современном бизнесе все большее распространение. О возрастающем научном и практическом значении аутсорсинга в управлении на промышленном предприятии говорит тот факт, что сегодня уже более половины современных зарубежных предприятий используют данных подход для реализации хотя бы одного бизнес-процесса. При этом на сегодняшний день в России аутсорсинг находится на начальной стадии своего развития и затрагивает в основном процессы развития рынка информационных технологий и реструктуризации деятельности хозяйствующих субъектов. Об этом свидетельствует и анализ научных источников.

Концепция аутсорсинга, в основном, сформулирована в работах западных ученых. Одно из самых распространенных определений аутсорсинга, а также его основные положения дал Дж. Хейвуд. Среди известных работ за рубежом по исследованию аутсорсинга, выделяются труды И. Ансоффа, Т. Питерса, Р. Аалдреса, Д. Траута, С. Клементса, М. Доннеллана. Преимущества и недостатки перехода на аутсорсинг изложены Э. Йорданом и Д. Дойлом.

В российской экономическое литературе данное понятие появилось только в конце 90-х годов XX столетия, поэтому многие проблемы, касающиеся аутсорсинга, особенно применительно к российским предприятиям, малоизученны. Существенный вклад в исследование проблем аутсорсинга внесли российские ученые Б.А. Аникин, Г.Л. Азоев, В.И. Данилин, Е.Г. Гинзбург, С.О. Календжян, Г.А. Морозов, С.И. Паринов, З.П. Румянцев, Д. Михайлов, И.Л. Рудая и др.

Вместе с тем, исследования, предметом которых выступает аутсорсинг на промышленных предприятиях, в России недостаточно изучены. Основная причина данного явления - отсутствие полноценных теоретических и методических наработок в данной области, способных побудить руководство производственных предприятий к активным действиям в направлении применения аутсорсинга. Кроме того, недостаточно исследованной проблемой остается конкретное содержание реструктуризации предприятий и роль в этих процессах аутсорсинга.

Таким образом, недостаточная степень разработанности данной проблемы, ее несомненная практическая значимость для российской экономики в современных условиях обусловили актуальность выбранной темы.

Целью дипломной работы является внедрение аутсорсинга на предприятиях химической промышленности, на примере ОАО ПО "ЭХЗ" г. Зеленогорска.

Для реализации поставленной цели необходимо решить задачи:

исследование теоретических основ аутсорсинга и его экономической сущности;

выявить проблемы использования аутсорсинга на предприятиях химической промышленности;

проанализировать возможность использования аутсорсинга в деятельности ОАО ПО "ЭХЗ";

разработать рекомендации для внедрения аутсорсинга на ОАО ПО "ЭХЗ".

Предметом данного исследования являются теоретические, методические и практические проблемы управления процессами аутсорсинга на химическом предприятии.

Объектом исследования выступает ОАО ПО "ЭХЗ" г. Зеленогорска.

Теоретической базой исследования являются труды зарубежных и отечественных ученых по проблемам управления, организационного развития, формирования и использования аутсорсинга в промышленности; материалы научных конференций; тематические публикации в периодической печати; электронные ресурсы.

Информационной базой являются материалы законодательных и нормативных актов Российской Федерации, периодических научных изданий, монографии отечественных и зарубежных ученых, а также документы первичной отчетности предприятия ОАО ПО "ЭХЗ".

При проведении исследования применены следующие методы: системный подход, анализ документов, группировки, сравнение, наблюдение.

Практическая значимость данного исследования заключается в том, что результаты исследования в области аутсорсинга могут быть полезны другим организациям в процессе использования аутсорсинга.

Структура работы состоит из введения, трех глав основной части, заключения и списка литературы, который содержит 55 наименования.

Глава 1. Аутсорсинг как инструмент повышения конкурентоспособности современного предприятий


1.1 Аутсорсинг: понятие, виды, достоинства и недостатки


В настоящее время, для повышения эффективности осуществления производственной деятельности и повышения уровня конкурентоспособности компаний, ключевым моментом является постоянный поиск и последующее применение в своей деятельности новых форм управления бизнесом. Многие отечественные предприятия включили в свои программы различные пути оптимизации затрат, адаптации продукции и услуг к условиям сокращающегося рынка. Одним из таких способов управления и оптимизации затрат является аутсорсинг, который призван обеспечить предприятию дополнительные конкурентные преимущества.

В дословном переводе с английского языка аутсорсинг (outsourcing) - означает привлечение внешних ресурсов для удовлетворения собственных потребностей [37; C.495].

В деловой практике этот термин применяется при размещении длительных заказов на получение от других предприятий необходимых услуг либо при передаче некоторых производственных функций на стороннюю фирму. В основном это устойчивые и длительные деловые связи заказчика с подрядчиком на основе контрактных соглашений. При этом подрядчик адаптирует свои производственно-технологические средства или научно-технический и интеллектуальный потенциал в интересах заказчика за оплату, определяемую сложившейся стоимостью услуг, а не долей в прибыли.

Концепция аутсорсинга как принцип новой стратегии управления была создана в 1963 г. компанией "Electronic Data System" (EDS), специализирующейся и поныне на аутсорсинге информационных технологий, или IT-аутсорсинге.

аутсорсинг химический цех реструктуризация

Однако объектом научных исследований аутсорсинг стал лишь в 80-90-х гг. прошлого века. Именно с этого момента стали появляться публикации, в которых с помощью построения разнообразных моделей экономисты и практики пытались найти оптимальную стратегию внедрения аутсорсинга, а также публикации, посвященные всевозможным аспектам использования аутсорсинга в деятельности компании. Сегодня аутсорсинг имеет такое же значение, которое придавалось реинжинирингу в 1990-е гг. Еще лет десять назад это понятие редко упоминалось, а теперь аутсорсинг настолько же обычен, как и основные функции компаний - исследования и разработки, производство и работа с персоналом [38; C. 19-25].

Базовая концепция аутсорсинга сводится к трем основным принципам [28; C.46]:

) каждый должен заниматься своим делом и иметь возможность сконцентрироваться только на нем;

) решение сопутствующих задач всегда можно поручить тому, кто справится с ними лучше;

) такое распределение работы экономит средства заказчика и приносит доход исполнителю.

В пользу истинности последнего утверждения говорит достаточно обширная экономическая статистика, накопленная современным бизнесом: при аутсорсинге только прямые затраты фирмы-заказчика сокращаются вдвое по сравнению с выполнением тех же работ самостоятельно.

В современном деловом мире аутсорсинг позволяет любой компании получать все необходимые услуги на профессиональном уровне при гибких договорных условиях и при этом сохранить динамичность, иметь низкие фиксированные расходы и обрести дополнительный потенциал для роста. О возрастающем значении аутсорсинга говорит тот факт, что сегодня уже более половины современных зарубежных предприятий используют данных подход для реализации хотя бы одного бизнес-процесса.

Основными отличительными чертами аутсорсинга от других видов сотрудничества являются [4; C.28]:

) строгая зависимость аутсорсера от потребностей заказчика и обратного процесса, основанного на специализации аутсорсера; он является наилучшим исполнителем необходимых заказчику функций на рынке. На рынке представлены отношения сотрудничества подразумевающие любые формы взаимовыгодного взаимодействия;

) отношения четко ограничены рамками исполняемого бизнес-процесса, что позволяет говорить о снижении риска потери конфиденциальности коммерческой информации, свойственной другим видам сотрудничества;

) основным критерием прочности взаимного сотрудничества становится совершенствование только одного бизнес-процесса, тогда как развитие большинства отношений сотрудничества заключается в обмене опытом и совершенствовании по всем сопряженным направлениям развития предпринимательских структур.

Применение аутсорсинга во многих компаниях обусловлено необходимостью сосредоточить все свои усилия на выполнении наиболее важных, значимых функций деятельности и передать отдельные операции основных, вспомогательных или обслуживающих процессов компаниям, профессионально занимающимся этим видом деятельности, получая, таким образом, без значительных инвестиционных вложений доступ к новейшим технологиям и знаниям мирового уровня.

На сегодняшний день в мировой практике существует несколько видов аутсорсинга (Приложение А). В общем виде рынок аутсорсинга можно разделить на основные сегменты [6; C.22]: аутсорсинг интеллектуальных услуг, в том числе IT-услуги - обработка информации; исследования, разработка проектов, программирование и другие технические работы; финансовый аутсорсинг - аудит, бухгалтерские операции, сопровождение покупки-продажи бизнеса и т.д.; промышленный аутсорсинг - это производство и поставка заготовок, метизов и комплектующих изделий, а с другой стороны, - это выполнение некоторых вспомогательных функций и операций по обеспечению производства продукции: учет, складирование, ремонт и обслуживание оборудования, реклама, уборка помещений, логистика и др. Причины и выгоды использования аутсорсинга на промышленном предприятии представлены на рисунке 1.1 [13; C.27].

Рисунок 1.1 - Причины и выгоды использования аутсорсинга на промышленном предприятии

В настоящее время производственный аутсорсинг распространился на большинство видов деятельности. Несмотря на то, что производственный аутсорсинг является наиболее сложным и с организационной и с юридической точки зрения, подобная практика особенно актуальна для высоко-технологичных производств, в т. ч. химических. Если же производственный аутсорсинг рассматривать на всем жизненном цикле создания продукции, то его можно разделить на научно-технический аутсорсинг и производственно-технологический аутсорсинг, каждый из которых имеет свои особенности. Классификация видов промышленного аутсорсинга представлена на рисунке 1.2.

Рисунок 1.2 - Классификация видов промышленного аутсорсинга

В настоящее время наиболее важными для предприятий все больше становится лидерство в области научных исследований и разработок. На долю новых знаний, воплощаемых в технологиях, оборудовании, образовании кадров, организации производства в развитых странах приходится от 80 до 95 % прироста ВВП. Внедрение новых технологий и постоянная модернизация существующего производства стали ключевым фактором успеха в рыночной конкуренции, основным средством повышения эффективности производства и улучшения качества товаров и услуг.

В общем виде процесс реализации аутсорсинга на промышленных предприятиях, в т. ч. химической, включает следующие основные элементы: субъект, объект, цель и способы ее достижения (Рисунок 1.3).

Рисунок 1.3 - Основные элементы реализации аутсорсинга на промышленных предприятиях

Основой технологии эффективного запуска аутсорсингового проекта является четкое представление обо всех задачах, которые надо решить за время подготовки, и их распределении между специалистами, занятыми в проекте.

По договору аутсорсинга заказчик делегирует исполнителю право владения (контроля) одним или несколькими бизнес-процессами. Ключевым моментом этого определения является передача контроля, - именно это условие отличает аутсорсинг от любых других форм взаимодействия [19; C.16-18].

В успехе выполнения функций аутсорсинга наибольшее значение имеют:

понимание аутсорсером целей и задач компании-заказчика;

управление текущими взаимоотношениями заказчика и исполнителя;

грамотное составление и четкая структуризация договора аутсорсинга;

правильный выбор компании аутсорсера. Практика выявила ряд факторов, которые необходимо учитывать при выборе поставщика по аутсорсингу (Таблица 1.1) [22; C.5].

Таблица 1.1

Критерии для выбора поставщиков по аутсорсингу

Критерии

Комментарии

Доверие

Оценивается опытность поставщика, т.е. количество обслуживаемых им клиентов

Надежность

Оценивается соответствие поставщика требованиям своих клиентов

Обслуживание

Анализируется уровень обслуживания поставщика и сравнивается с уровнем заказчика или с уровнем других поставщиков

Экономия средств

Сопоставляется уровень цен данного поставщика и других

Гибкость

Оценивается, способен ли поставщик работать в условиях изменения потребностей заказчика, который может расширять или сворачивать свою деятельность

Кадровая политика

Анализируется кадровая политика поставщика и возможность влияния ее на сотрудников заказчика

Жестокость или либерализм в контракте

Выявляется желание поставщика заключить с заказчиком "жесткий" контракт или "либеральный", т.е. оставить возможность для внесения поправок в контракт

Внутренняя квалификация и контроль

Оценивается желание поставщика помогать заказчику в поддержании должной квалификацию его сотрудников в целях поддержания бизнеса на должном уровне, а также для его расширения


Предметом аутсорсинга могут быть все бизнес-процессы, однако согласно традиционному подходу подрядчикам в основном передают процессы которые не приносят прибыли, но жизненно необходимы для нормальной работы любой компании. Поэтому чаще всего, когда речь идет об аутсорсинге, то имеется в виду передача непрофильных активов, т.к. аутсорсинг позволяет оптимизировать эти затраты.

При принятии решения о том, осуществлять те или иные функции собственными силами или использовать для этого сторонние организации, как правило, прежде оценивают экономический эффект. Отметим основные причины экономического характера перехода на аутсорсинг:

сокращение затрат. Как правило, эффект сокращения затрат выступает основным и достаточным условием для передачи части функций сторонней организации. Необходимо проанализировать ситуацию по наиболее емким статьям калькуляции. Это может касаться как прямых затрат - основного процесса производства, так и косвенных.

перевод постоянных затрат в переменные. Выделяется два аспекта мотивации. Во-первых, за счет использования готовой инфраструктуры другой организации сокращаются накладные расходы (уменьшаются затраты на обеспечение деятельности собственных подразделений, например, затраты на капитальное строительство и выплату заработной платы). Во-вторых, происходит перераспределение рисков, часть которых переходит на привлеченную организацию. Так, в контрактах аутсорсинга оговаривается, что оплата работ, выполняемых привлеченной организацией, будет зависеть от конкретных результатов. Кроме этого, существует возможность минимизировать платежи за счет перевыполнения объемов продаж привлеченной организацией.

более эффективное осуществление функций. Независимо от спектра предлагаемых услуг (ведение счетов на оплату труда, развитие локальных компьютерных сетей, текущий ремонт зданий и т.д.) сторонняя организация будет заниматься своим участком работы более профессионально. При этом снижение издержек будет обусловлено не только влиянием увеличения объемов выполненных работ, но и применением альтернативных подходов к организации такого процесса.

высвобождение и перераспределение ресурсов заключается в перераспределении ресурсов: рабочего времени, усилий, основных средств, площадей, денежных средств и т.д. направляя их на процессы, которые в первую очередь увеличивают стоимость компании и которые в данный момент для компании наиболее значимы. Высвобождение ресурсов, позволяющее маневрировать ими для решения более острых или жизненно важных проблем, устраняет основные препятствия на пути достижения успеха.

Кроме того, аутсорсинг позволяет компаниям использовать передовой мировой опыт в обеспечении непрофильных процессов, является значимым фактором в развитии отношений с иностранными инвесторами.

Таким образом, повышение общей эффективности деятельности компании, расширение ее технологических преимуществ, снижение расходов выступают основными причинами использования аутсорсинга. Однако, как отмечает С. Календжян, несмотря на наличие многих привлекательных качеств, широкое использование аутсорсинга в практике управления компаниями сдерживается по различным причинам [19; C.16-18]. В таблице 1.2 представлены основные достоинства и недостатки аутсорсинга.

Таблица 1.2

Достоинства и недостатки аутсорсинга

Достоинства

Недостатки

1. Фокусирование на основном виде деятельности 2. Доступ к ресурсам и фондам, которых нет в наличии (профессиональные кадры, финансовые, информационные ресурсы, производственные фонды) 3. Снижение себестоимости функций, передаваемых на аутсорсинг 4. Снижение рисков за счет коллективных инвестиций 5. Повышение качества 6. Отсутствие необходимости иметь в наличии мобилизационные активы, инвестировать во второстепенные направления деятельности 7. Минимизируется зависимость от субъективных причин приостановки бизнес-процессов (болезнь сотрудников, конфликт) 8. Повышение производительности труда за счет концентрации на главных направлениях и более эффективного использования живого труда 9. Поскольку объем знаний и квалификация каждого конкретного специалиста ограничены, используя аутсорсинг, можно привлечь "коллективный" интеллект 10. Использование чужого опыта и "алгоритмов" решения проблем 11. Доступ к новейшим технологиям

1. Потеря контроля над переданными функциями 2. Утечка информации 3. Снижение качества при недобросовестности аутсорсера 4. Появление зависимости от партнера, особенно если ему переданы важные функции или функции, связанные с оборотом денежных средств 5. Усложнение логистических процессов 6. Социальная напряженность и открытое сопротивление персонала, передаваемого на сторону 7. Возможность сговора поставщика услуг (подрядчика) с контролирующим его сотрудником компании-заказчика: цены завышаются, а разница делится пополам (откат!) 8. Рентабельность оператора бизнеса попадает в зависимость от степени экономической эффективности производителя 9. Угроза отрыва руководящего звена от бизнес-практики 10. Ограничение возможностей для обучения и роста своих специалистов 11. Использование поставщиком устаревших технологий, списывание старых основных средств и т.п.


Таким образом, аутсорсинг - это ответ на требования максимальной гибкости, адаптивности к переменчивой рыночной конъюнктуре и современный элемент эффективного менеджмента.

1.2 Российская практика применения аутсорсинга


Для многих российских компаний актуальна проблема модернизации производственных технологий, обновления модельного ряда, продвижения продукции на рынке. По оценкам экспертов, доля непрофильных активов в структуре российских компаний составляет более 15%, а у ряда предприятий этот показатель доходит до 50% [40; С.83-89]. Для подъема экономической эффективности крупных предприятий производится их реструктуризация с выведением из их состава непрофильных подразделений: транспортных, ремонтных, строительных, инструментальных и других цехов, включая множество вспомогательных служб. Наиболее востребованными услугами являются: индустриальное питание, профессиональная уборка помещений и территорий, эксплуатация зданий и сооружений. Их функции на условиях аутсорсинга более эффективно могут выполнять ряд сторонних малых специализированных предприятий. В настоящее время аутсорсинг бизнес-процессов охватывает широкий спектр неосновных функций различных предприятий. Компании стали беспокоиться о том, что это отнимает много времени и ресурсов, и с целью оптимизации деятельности начали привлекать профессионалов по управлению непрофильными активами.

Существуют внешние и внутренние причины выделения непрофильных активов [40; C.83-89]. Внешние причины включают следующие:

переход к специализации;

увеличение капитализации бизнеса;

повышение привлекательности предприятия в глазах инвестора;

выход на международный финансовый рынок;

переход к мировым стандартам менеджмента и аудита.

К внутренним причинам можно отнести:

сложность оценки эффективности подразделений ввиду их большого количества;

отвлечение значительных инвестиций в непрофильные активы;

недостаточная динамика развития непрофильного бизнеса;

высокая себестоимость непрофильной продукции;

низкое качество продукции непрофильных производств.

Почти все бывшие крупные советские промышленные предприятия (объединения) уже осуществили собственную реструктуризацию, выделив из своего состава непрофильные активы - как не связанные с основной деятельностью, так и тесно связанные с основным производством. В настоящее время самыми активными потребителями производственно-хозяйственного аутсорсинга являются крупные предприятия ТЭК, металлургические, химические и транспортные.

Особое место среди отраслей отечественной индустрии занимает химическая промышленность. В условиях рыночных преобразований большое значение для ее будущего развития имеет переход к новым, эффективным формам и методам управления. Интенсивный рост российского рынка создает для современных химических предприятий, проходящих этап переоснащения и выхода на рубежи мировых требований к уровню технологического процесса и качеству продукции, весьма широкие возможности успешной реализации различных видов и форм аутсорсинга. Причем эти предприятия заинтересованы в комплексном обслуживании, поэтому тенденция к предоставлению пакета услуг постепенно проявляется в деятельности все большего количества аутсорсеров [6; C.22].

Так, "ЛУКОЙЛ" и "ЮКОС" выделили свои буровые подразделения в самостоятельные компании "ЛУКОЙЛ-бурение" и "Сибирская Сервисная Компания" соответственно, не оставляя за собой контрольного пакета участия в данных компаниях. "ЛОМО", оборонное предприятие, занимающееся производством и реализацией оптико-механических и оптико-электронных приборов. Имело собственный цех печатных плат, который производил на 2 поколения отставшие изделия. "ЛОМО" отказалось от собственного производства печатных плат после того, как проведенный анализ показал, что оборудование имеющегося цеха значительно устарело и требует модернизации. Было решено, что закупать на стороне будет проще и дешевле, чем строить полностью новый цех с новым оборудованием и управлять им.

"Ирбитский мотоциклетный завод" продал кузнечный и автоматный цеха. Кроме того, произошло сокращение цеха по пошиву обивки сидений мотоциклов. На рынке такие изделия закупать дешевле, чем производить самостоятельно.

Компания "Август", производитель женской одежды под маркой OGGI, оставила за собой лишь разработку моделей, технологическую подготовку производства, закупку материалов и фурнитуры и продажу готовой одежды. Производство самой одежды осуществляется на условиях аутсорсинга и субконтрактации со множеством малых и средних предприятий легкой промышленности.

Такие крупные отечественные промышленные предприятия, как "Северсталь", "Объединенные машиностроительные заводы" также выделяют вспомогательные направления (ремонтные службы, связь и пр.) в отдельные, самостоятельные структуры, чтобы, помимо реальных выигрышей в основной деятельности фирм, со временем те начали приносить прибыль и за счет внешних заказов.

Кирово-Чепецкий химический комбинат передал одной аутсорсинговой компании более 40 функций, в числе которых обслуживание объектов недвижимости и гостиничного хозяйства, организация служебного питания, уборка помещений и др.

На Ковровском механическом заводе продолжается реализация программы "Новый облик" и создание самостоятельных предприятий на базе вспомогательных подразделений завода. Первопроходцы КМЗ - это ДЗО "КМЗ-Авто" и два аутсорсинговых предприятия "ЦентрСтрой" и "ЭкоСервис". В новых условиях они работают с 1 апреля 2010 года [26; C.18].

Однако примеров подобной практики пока немного: медленное его развитие во многом обусловлено недоверием заказчиков к новой форме услуг и недооценкой возможных преимуществ от ее использования. В феврале 2010 года E-xecutive было проведено исследование отношения российских компаний к аутсорсингу о том, каким они видят аутсорсинг в условиях России [50]. Всего в опросе приняли участие 722 человека: представители компаний из 31 индустрии. Опрос показал, что 63% компаний уже используют аутсорсинг, причем основная доля получателей аутсорсинга концентрируется в Москве (63,8%) (Рисунок 1.4).

Рисунок 1.4 - Использование аутсорсинга

Традиционно считается, что на аутсорсинг следует передавать лишь второстепенные функции, некритичные для конкурентоспособности компании. В ходе изучения результатов выделено две группы функций, не связанных с основным бизнесом компаний:

функции, важные для развития бизнеса компаний, но требующие соответствующего оборудования и специализированной подготовки сотрудников, выполняющих эту работу (IT, маркетинг, реклама, юридические услуги);

функции, не требующие высокой квалификации, занимающие много рабочего времени и монотонные по характеру работ (заведение больших объемов информации в базы данных, неквалифицированный ручной труд на производстве, уборка).

Компании готовы передать на аутсорсинг такие функции, как IT (96,8%), АХО (97,9%), найм и обучение персонала (22,4%), при этом стоит отметить, что процент ответов, о функциях, при отдельном рассмотрении данных по Москве, Санкт-Петербургу и регионам, дал идентичную картину распределения (Рисунок 1.5).

Рисунок - 1.5 Функции, переданные компаниями на аутсорсинг, в %

Переход на аутсорсинг - сложный и ответственный момент для компании. Осознав необходимость в срочных изменениях в управлении и поняв, какие подразделения компании лежат финансовым грузом, руководство 78,2 компаний самостоятельно принимает решение передать их на аутсорсинг. В 30,7% случаях компании консультируются с компаниями, предлагающими аутсорсинговые услуги, 15% обращаются в консалтинговые фирмы. При рассмотрении функций, уже переданных компаниями на аутсорсинг, выяснилось, что переведены на аутсорсинг те же функции, которые компании сочли целесообразными для передачи, а именно - административно-хозяйственные и информационные технологии.

Отдельно была сформирована группа вопросов о плюсах и минусах аутсорсинга (Рисунки 1.6, 1.7).

Рисунок - 1.6 Плюсы аутсорсинга, в %

Рисунок - 1.7 Минусы аутсорсинга, в %

Респондентам не использующим в настоящее время аутсорсинг, чтобы уточнить их планы, был задан вопрос: "Планируете ли вы пользоваться услугами аутсорсинговых компаний в будущем?" (Рисунок 1.8).

Рисунок 1.8 - Использование аутсорсинга в будущем, в %

Из 37% компаний, не являющихся потребителями услуг аутсорсинга, 60,6% планируют использовать их в будущем. Группу потенциальных клиентов попросили пояснить, какие функции они передадут на аутсорсинг при положительном решении и какие критерии будут определяющими при выборе компании-аутсорсера (Рисунок 1.9). Ответы распределились следующим образом: функции IT будут переданы в 97,5% компаний, АХО - 51,6%. К важным критериям отнесены: знание подрядчиком отраслевой специфики - 91,0%, цена услуг подрядчика - 66,2%, репутация подрядчика - 58%.

Рисунок 1.9 - Функции для передачи на аутсорсинг в будущем, в % от числа ответивших

Рассмотрение в ключе двух противоположно направленных тенденций проблем применения аутсорсинга в отечественной промышленности позволило выйти на важнейшие основания двух видов:

с одной стороны - полезности и необходимости аутсорсинга в наших условиях как одного из важнейших рычагов борьбы за эффективность фирмы;

с другой же стороны - четкого понимания того факта, что пореформенная экономика России в силу разных причин еще во многих случаях допускает неэффективное ведение бизнеса и соответственно деловые решения, не базирующиеся на оценках эффективности.

Объяснение этому явлению можно найти в мнении, что развитию аутсорсинга в России мешают следующие объективные обстоятельства [21; C.31]:

во-первых, бизнес российских предприятий не всегда образовывался исходя из экономических соображений, и часто организация производства не соответствовала рыночным экономическим принципам;

во-вторых, уровень развития поставщиков услуг аутсорсинга недостаточен, чтобы обеспечить требуемое предприятиям-заказчикам качество;

в-третьих, правовая среда не позволяет с первых контактов устанавливать доверительные отношения со сторонними организациями. Несовершенство правовой среды, в которой осуществляется деятельность заказчика и исполнителя аутсорсинговых услуг существенным образом влияет на распространение аутсорсинга в России.

Что же касается перспектив развития аутсорсинга, то, несомненно, в условиях активного экономического роста, продолжающегося процесса реструктуризации конкретных предприятий, данный вид бизнеса будет развиваться. По оценкам специалистов, всплеска аутсорсинга в российской промышленности можно ожидать уже через два-три года. Крупные компании в целях оптимизации использования ресурсов будут выводить непрофильные фонды. Сомнения же по поводу использования аутсорсинга полностью отпадут только тогда, когда вопросы конкурентоспособности и прибыльности предприятия станут зависеть не только от сокращения издержек, но и от эффективности выполнения конкретных бизнес-процессов.

Таким образом, это позволило выявить и систематизировать специфические особенности разработки и использования аутсорсинга в условиях современной российской экономики (Приложение Б).

Таким образом, в России есть все предпосылки к активному внедрению новой стратегии ведения бизнеса - аутсорсинга. Однако для его успешного применения необходимо учитывать не только обычные в мировой практике трудности перехода на аутсорсинг, но российскую специфику: неразвитость рынка, несовершенство законодательства и слабую культуру договорных отношений. Очевидные же преимущества, которые приносит аутсорсинг, позволяет предположить бурный его рост в России уже в ближайшее время, т.к. постепенно приходит понимание того, что аутсорсинг является эффективным способом снижения издержек, доступа к новейшим технологиям и возможности сконцентрироваться на ведении своей основной деятельности.

Российские предприятия в современных условиях проходят (отчасти уже прошли) этап переоснащения и выхода на рубежи мировых требований к уровню технологического процесса и качеству выпускаемой продукции. Появляются возможности аутсорсинга и в отношении химических производств.

1.3 Инструменты оценки аутсорсинга непрофильных бизнес-функций


Одним из ключевых вопросов в практике аутсорсинга является организационное решение о передаче стороннему подрядчику функций или бизнес-процессов. Это предполагает знание моделей и владение методами оценки эффективности аутсорсинга.

Разработанные за рубежные и российские методик и позволяют выявить целесообразность и эффективность применения аутсорсинга. Существующие методики принятия решения о применении и эффективности аутсорсинга можно разделить на две группы: экономические (расчетные) и графические. [46; С.3].

Группа экономических методов основана на оценке затрат. Разнообразие методик объясняется разными подходами к оценке и многообразием видов аутсорсинга, для каждого из которых может быть предложен индивидуальный расчет. Б.А. Аникин и И.Л. Рудая предварительное экономическое обоснование аутсорсинг-проекта связывают с оценкой затрат на производство продукции, услуг собственны ми силами по сравнению с затратами на приобретение [3; С.113-114]. Для оценки собственных затрат они предлагают использовать метод расчета по процессам. В расчет включаются лишь те затраты, которых можно избежать при успешно проведенном аутсорсинг-проекте, с учетом дополнительных издержек, связанных с передачей функций или бизнес-процессов аутсорсеру, и при обязательном рассмотрении альтернативных издержек.

Эффективность аутсорсинга можно оценить путем сопоставления собственных издержек и издержек на аутсорсинг [18; С.130]. Для сопоставления собственных издержек и издержек на аутсорсинг С.М. Казанцева приводит перечень статей затрат, которые входят в ту и другую группу. Собственные издержки включают:

производство и заработная плата;

сырье и логистика;

капитал (оборотный);

упущенная выгода (трансакционные издержки на аутсорсинг).

Аутсорсинговые издержки это:

ожидаемое изменение цены;

единовременные издержки на аутсорсинг;

дополнительные текущие издержки на аутсорсинг.

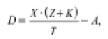
Так, вопросы эффективности использования ИТ-аутсорсинга рассмотрены в работе С. Зацепа [16; С.57]. В ней предпринята попытка выяснить, действительно ли в конкретной ситуации ИТ-услуги сторонней компании обходятся дешевле, чем труд штатных ИТ-работников.

Сравнить затраты на собственного сотрудника и внешнего исполнителя для разовой работы предлагается по формуле:


где X - предполагаемые трудозатраты сотрудника (в часах);- величина месячной заработной платы;- величина косвенных расходов на сотрудника в месяц (соцпакет, обеспечение рабочего места и пр.);- количество рабочих часов в месяц (обычно - 176);- стоимость услуг аутсорсинговой компании.

Соответственно, D является разницей, и если она положительная, то выгоднее прибегнуть к услугам аутсорсинговой компании, чем выполнять работу силами штатного специалиста. Наиболее точный результат дает сравнение затрат на исследуемый отдел за год со стоимостью годичного контракта с аутсорсинговой компанией.

Главное достоинство экономических методов заключается в получении конкретных данных, объективность расчетов, что позволяет сравнивать различные варианты и проигрывать сценарии, а так же создавать компьютерные программы, как следствие - свести к минимуму человеческий фактор при расчетах.

К недостаткам этой группы методов можно отнести повышенное внимание затратной составляющей при полном неучете стратегических составляющих, позиционирования фирмы на рынке, качественных параметров продукции организации и других параметров, рассматриваемых в матрицах и алгоритмах. К недостаткам экономической модели отнесем невозможность определения стратегической эффективности решения и сложность использования для организаций, самостоятельно принимающих решение об использовании аутсорсинга.

Графические методы связаны с использованием графиков, матриц и алгоритмов. В российской практике используются следующие графические модели и матрицы.

. Модель BCG, предложенная Ш. Дертнингом, главой московского офиса BCG. Основана на анализе пяти элементов: стратегическое влияние, финансовое влияние, бизнес-влияние, бизнес-риски, осуществимость [3; С.25].

. Модель аутсорсинга "Price Warehouse Coopers", которая основана на использовании двух факторов при принятии решения: конкурентная и стратегическая важность актива. Варианты сочетания этих факторов в матрице дают четыре варианта решения. Аутсорсинг необходим только при сочетании: "конкурентная важность высокая - стратегическая важность низкая". При принятии решения на основе этой модели внимание сосредотачивают на устранении слабостей за счет ресурсов, направленных на укрепление достоинств, что стратегически неверно.

. Модель IBS, основанная на анализе четырех параметров: стратегические приоритеты; экономическая эффективность; управляемость услуг; надежность и риски. Решение принимается с использованием матрицы, предложенной Е.В. Митрофановой. В основе матрицы два параметра: финансовые (по оси Х откладывается отношение стоимости услуги внутри к стоимости аналогичной услуги на рынке по уровням) и качественные характеристики (ось Y - оценка в балловом эквиваленте по уровням) [3; С.27].

Матрица Е. Митрофановой предполагает четыре варианта решений: применение аутсорсинга; развитие бизнес-функции; развитие или аутсорсинг (зависит от политики компании в отношении бизнес-функции) и выделение конкурентоспособной бизнес-функции в отдельный бизнес.

. Модель McKinsey, которая отражает два критерия: прибыльность непрофильных активов и вовлеченность в технологическую цепочку по созданию ценности для потребителя. Так как все компании представляют собой совокупность бизнес - единиц, практически готовых к аутсорсингу, то графическая модель McKinsey - одна из лучших моделей по решению вопроса о целесообразности таких операций. В ней ось Х - вовлеченность в технологическую цепочку (степень вовлеченности оценивается экспертами), ось Y - прибыльность (оцениваются чистые издержки и вклад в прибыль организации). На поле точками обозначаются бизнес-единицы или подразделения.

Бизнес-единицы выводятся на аутсорсинг в три этапа.

заведомо непрофильные или убыточные организации (все, что попадает в левый нижний угол графика модели) подлежат продаже или ликвидации с тем, чтобы не обходимые для ведения бизнеса услуги или продукты закупать на рынке.

возможно, придется менять технологические основы бизнеса - если какие-то структуры вовлечены в технологическую цепочку и при этом приносят чистые убытки, но их технологии очень важны для бизнеса.

сохранение только технологически важных и прибыльных организаций. Желательно оставить лишь то, что действительно технологически значимо для бизнеса и реально приносит доход [43; С.34-39].

. Комплексная матрица аутсорсинга непрофильных бизнес-функций организации, предложенная В.В. Очневым и Р.В. Нуждиным на основе подхода BCG. Матрица базируется на комплексном рассмотрении бизнес-функций по четырем ключевым параметрам: стратегическая важность; риск; стоимость; качество. [18; С.33].

Под стратегической важностью бизнес-функции и соответствующей ей профессиональной компетенцией персонала авторы понимают ее значимость для успешного функционирования основных направлений бизнес-деятельности.

Риски определяют потенциальную возможность проявления недостатков аутсорсинга. Эксперты определяют риски и осуществляют их оценку по уровням. Экспертные оценки являются основой матричного позиционирования, как по данному параметру, так и по остальным. Позиционирование на полях комплексной матрицы осуществляется по результатам экспертных оценок по трем уровням (низкий, средний и высокий).

Стоимость - показатель, характеризующий соотношение стоимости услуг (компетенций) на рынке с собственными расходами на осуществление аналогичных бизнес-функций.

Качество как параметр отражает потребительский уровень профессиональных компетенций персонала и оценивается по трем уровням.

Подобный подход обоснован необходимостью обеспечения сбалансированности выбранных показателей и параметров с точки зрения принятия управленческого решения о привлечении аутсорсинга. Комплексное рассмотрение полученных результатов оценки позволяет косвенно судить об общем уровне целесообразности аутсорсинга.

Рассмотренная методика отличается от прочих возможностью проводить четырехфакторный анализ бизнес-функций, а не двухфакторный, свойственный классическим матрицам.

. Матрица аутсорсинга Д. Хлебникова, уникальная разработка отечественного менеджмента, результат творческого развития и комбинации моделей McKinsey и "Price Woterhouse Coopers" с матрицей BСG, инструмент двухфакторного анализа. Анализ проводится по двум основным факторам: "стратегическая важность" и "качество компетенций по сравнению с конкурентами и рынком вообще", которые измеряются по трем уровням.

Данный метод отличает критериальная шкала оценки. В результате разнесения показателей по полям матрицы вырабатываются варианты управленческого решения (Рисунке 1.10). [43; С.34-39].

Рисунок 1.10 - Модель матрицы аутсорсинга Д. Хлебникова

Рассмотренная Д. Хлебниковым матрица аутсорсинга представляет собой метод разнесения по сегментам матрицы 3х3 объекта рассмотрения, каковым может быть отдельное производство, подразделение, вид работ, вплоть до конкретного специалиста - носителя некой компетенции.

В рамках данной матрицы заданы два измерения:

стратегическая важность;

качество компетенций / работ / результатов в сравнении с имеющимися на рынке.

Центральный сегмент имеет особое предназначение - если при анализе объекта вы попадаете в него, значит, вы что-то неправильно анализируете. В мире не существует двух одинаковых компетенций, работ, технологий, результатов, компаний, рынков и т.д. Разница есть всегда, и попадание в центр матрицы сигнализирует о недостатке информации для анализа.

Если бизнес стратегически важен, но не конкурентоспособен, необходимо развивать компетенции. Компания должна учиться и добиваться, чтобы качество ее услуг/работ повышалось. Если ее компетенция сопоставима с рыночной и стратегически важна, необходимо развивать активы, технологическую базу. Это нужно для того, чтобы бизнес мог за счет инвестиций развиваться и, при сохранении высокой стратегической важности, обеспечил доминирующее положение компании на рынке. То, что попадает в сегменты с низкой компетенцией и невысокой стратегической важностью, следует ликвидировать, а соответствующую продукцию или услуги покупать на рынке.

Еще два сегмента матрицы показывают сферы, где продукция конкурентоспособна на рынке, но не имеет стратегической важности для бизнеса в целом. Это база для диверсификации. Как только определенные направления деятельности, работы, функции или производства выделяются во внешнюю среду, они так же становятся самостоятельным бизнесом, но уже стратегически важным.

Стратегическая важность и качество компетенций / работ / результатов по сравнению с рынком - довольно сложные параметры. Выразить их в конкретных цифрах невозможно, поэтому прибегают к экспертным оценкам. Стратегическая важность имеет свои составляющие:

технологическая вовлеченность, которая учитывает род деятельности компании;

фактор доходности;

притязания собственника (то, чего нет у McKinsey. У него, если собственник хочет заниматься делом, то этого вполне достаточно для ведения бизнеса);

социально-экономические и политические аспекты владения. Есть компании, работающие в сложных условиях труда, при очень жестком государственном регулировании и с высокой социальной ответственностью.

Горизонтальная шкала матрицы аутсорсинга - качество компетенций / работ / результатов по сравнению с рынком. Для оценки этой шкалы следует:

понять, что компания делает, что у нее покупают;

знать, какая у бизнеса компетенция, и ответить на ключевой вопрос: кто делает? Важно проанализировать реальные компетенции персонала;

подвергнуть анализу конкурентную среду;

на основе анализа инфраструктуры определить, позволяют ли рыночные условия провести трансформацию.

П.А. Первов считает, что в основе успеха использования аутсорсинга лежит своевременное управленческое решение. Разработанный им метод принятия управленческих решений по применению аутсорсинга исключает этапы, связанные с определением перспективности бизнеса, принятием решения о переводе на аутсорсинг, детальной оценкой применения аутсорсинга [34; С.12-13].

Перспективность бизнеса определяется по критериям конкурентоспособности на рынке, перспектив рынка, наличия необходимого объема инвестиций, эффективности сосуществования бизнесов и рентабельности продукции. В основу матрицы положены два критерия: перспективность и конкурентоспособность бизнеса, которые оцениваются по четырех балльной системе (где 1 - максимальное, а 4 - минимальное значение критериев). После оценки этих критериев осуществляется позиционирование бизнеса на матрице и принимается решение относительно перевода на аутсорсинг.

При использовании матрицы IBS [27; С.26-27] целесообразность аутсорсинга рассматривается в разрезе четырех наиболее важных аспектов:

стратегические приоритеты;

экономическая эффективность;

управляемость услуг, переданных на аутсорсинг;

надежность и риски.

Решение о выделении бизнес-функции на аутсорсинг принимается с использованием матрицы принятия решений, разработанной консультантами IBS. По оси Х данной матрицы откладывается отношение стоимости услуги внутри организации к стоимости аналогичной услуги на рынке, по оси Y - качественные характеристики бизнес-функции, так же в сравнении с рынком. В результате матрица оказывается разделенной на девять сегментов, каждому из которых соответствует одно из четырех решений:

применение аутсорсинга - отказ от услуг собственных подразделений и приобретение аналогичной продукции на рынке;

развитие - совершенствование бизнес-функции в сторону повышения качества услуг или снижения себестоимости;

развитие или аутсорсинг - вариант, при котором возможны оба решения (предпочтение зависит от политики компании в отношении рассматриваемой бизнес-функции);

выделение - бизнес-функция конкурентоспособна и может быть выделена в отдельный бизнес для получения дохода [27; С.28].

В зарубежной практике для оценки целесообразности применения аутсорсинга нередко используют квадратичную матрицу компании PriceWaterhouseCoopers, построенную с учетом двух основных факторов: конкурентоспособности и стратегической важности актива [10; С.24].

Схема, предложенная PriceWaterhouseCoopers, дает общее представление о необходимости использования аутсорсинга. В случае производственного аутсорсинга более точный ответ дает оценка по алгоритму, разработанному компанией SOLO [31; С.12].

Итак, для принятия качественного решения об аутсорсинге необходимо рассматривать значимые параметры в комплексе. Между тем, ни один из широко известных и традиционно применяемых инструментов не позволяет провести комплексную оценку одновременно по всем необходимым параметрам. Так, для преодоления несовершенства рассмотренных подходов необходимо в экономическую группу включить стратегический аспект. Это обусловлено тем, что экономические методы позволяют только сравнить затраты до и после внедрения аутсорсинга, но не учитывают значимость работы / компетенции / бизнес-процесса. На пути преодоления данного недостатка выходом может стать метод экспертных оценок, позволяющий опросить специалистов по конкретному направлению деятельности организации по поводу важности его в целом для бизнеса.

В российской практике для оценки необходимости аутсорсинга функции преимущественно используются графические модели. Наиболее востребованным инструментом являются традиционные "матрицы аутсорсинга". Думается, что наиболее предпочтительнее для выполнения анализа использовать матрицу аутсорсинга Д. Хлебникова.

В комплексе с матрицами можно использовать процедуру принятия решения об аутсорсинге, предложенную В.Г. Шадриным [46; С.13-18] которая состоит из пяти этапов, а так же алгоритм выбора бизнес-процесса для передачи на аутсорсинг (Рисунок 1.11). Применение данного алгоритма является частью процедуры принятия решения об использовании аутсорсинга и предполагает последовательное выполнение мероприятий по выявлению бизнес-процесса для передачи на аутсорсинг с целью повышения качества и эффективности исполнения делегируемых процессов.

 

Рисунок 1.11 - Алгоритм выбора бизнес-процессов

Таким образом, переход на аутсорсинг - это стратегия, направленная на повышение прибыльности и конкурентоспособности в долгосрочной перспективе. В случае применения аутсорсинга предприятие получает возможность сконцентрировать ресурсы на профильном бизнесе и не заниматься построением и поддержкой не связанной с ним инфраструктуры.

В развитии процесса аутсорсинга наряду с положительными факторами, действуют и отрицательные. Хотя, думается что наиболее важным ограничением должна являться экономическая выгода его использования, т.к. есть немало случаев, когда передача тех или иных функций во внешнее управление попросту нецелесообразна.

В настоящее время, при передаче бизнес-процессов на аутсорсинг необходим анализ для каждого конкретного случая. Опыт предприятий-аутсорсеров показывает, что необходимо учитывать достаточно много факторов и условий, чтобы проект применения аутсорсинга оказался успешным и для заказчика, и для предприятия-аутсорсера.

Четкий анализ поможет прояснить, на каких направлениях применение аутсорсинга наиболее эффективно, а экономия ресурсов при помощи аутсорсинга даст возможность не просто выжить в условиях кризиса, но и добиваться успехов.

Использование рассмотренных моделей и подходов, несомненно, поможет повысить качество соответствующих управленческих решений, но вряд ли упростит процесс их принятия.

Поэтому необходимо тщательно взвесить все "за" и "против", перед тем как перейти на аутсорсинг.

Глава 2. Анализ деятельности ОАО по "Электро-химический завод"

2.1 Общая характеристика ОАО ПО "ЭХЗ"


ОАО "Производственное объединение "Электрохимический завод" (ОАО ПО "ЭХЗ").

Учредитель ОАО "ПО "Электрохимический завод": Российская Федерация в лице Федерального агентства по управлению государственным имуществом.

ОАО ПО "ЭХЗ" (далее Общество) - одно из предприятий разделительно-сублиматного комплекса атомной отрасли России, обеспечивающего объекты ядерно-топливного цикла (ЯТЦ) Госкорпорации "Росатом" энергетическим ураном.

Основные виды деятельности, осуществляемые Обществом в соответствии с Уставом и полученными лицензиями (разрешениями):

переработка, транспортировка и хранение ядерных материалов, в том числе производство обогащенного урана;

производство изотопной продукции стабильных и радиоактивных элементов;

проектирование, строительство, эксплуатация ядерных и радиационно-опасных объектов, технологий и продуктов (отходов) их производства;

конструирование и изготовление оборудования для ядерных установок, радиационных источников, пунктов хранения ядерных материалов и радиоактивных веществ, хранилищ радиоактивных отходов;

проведение научно-исследовательских и опытно-конструкторских работ с использованием ядерных материалов и радиоактивных веществ;

производство и монтаж машиностроительных изделий, включая машины и оборудование специального назначения, стальных труб и фитингов;

выполнение строительно-монтажных работ, инженерных изысканий для строительства, проектных работ, производство строительных материалов, конструкций и изделий;

конструирование и производство электротехнической продукции.

Кроме основного, завод увеличил свой потенциал за счет производств, не связанных с урановым. Отмена в конце 80-х годов оборонного заказа, снижение интереса к атомной энергетике и падание мирового спроса на энергетический уран, сложный переходный период от плановой экономики к полноценным рыночным отношениям заставили отказаться от монопроизводства.

Непрофильные производства:

Производство пластикового ПВХ-профиля ECP PLASTICS.

Производство установок вакуумной сушки и пропитки древесины.

Производство керамических и фарфоровых изделий.

Многопрофильность сделала предприятие более устойчивым, а также позволила обеспечить социальную стабильность в ЗАТО г. Зеленогорск. Переход предприятия в 2008 году к новой форме собственности (ОАО) поставил перед всеми непрофильными и вспомогательными производствами предприятия задачу максимально повысить свою эффективность.

Объем и перспективы развития Общества на долгосрочный период определяются Государственной корпорацией по атомной энергии "Росатом"

Миссия Общества. Быть устойчивым лидером в секторе производства и оказания услуг по обогащению урана, производства изотопной продукции стабильных и радиоактивных элементов. Обеспечивать продукцией наивысшего качества потребности предприятий ядерной энергетики Российской Федерации и зарубежных стран, осуществляющих энергетическое обеспечение жизненной сферы человека. Обеспечивать долгосрочный и прибыльный рост бизнеса с целью увеличения стоимости акций компании и доходов акционеров.

Достижению поставленных целей способствуют создание условий работы персонала, обеспечивающих наиболее полное развитие талантов людей, сохранение и развитие исторически сложившихся принципов отношения к труду, укрепление сплоченности и духа коллективизма. Деятельность Общества направлена на процветание работников и акционеров, города Зеленогорска и Российской Федерации в целом.

Основные принципы и ценности Общества:

Обеспечение соответствия продукции и услуг самым высоким международным требованиям и стандартам.

Неукоснительное соблюдение законодательных норм.

Уважение и соблюдение прав акционера, партнеров и потребителей.

Обеспечение достойного уровня жизни и самореализации персонала.

Бережное использование природных ресурсов и ответственное отношение к окружающей среде.

В настоящее время органами управления ОАО ПО "ЭХЗ" являются:

Общее собрание акционеров;

Совет директоров;

Директор (единоличный исполнительный орган).

Структура управления (Рисунок 2.1).

Рисунок 2.1 - Структура управления ОАО ПО "ЭХЗ"

Решения по вопросам, относящимся к компетенции Общего собрания акционеров, принимаются единственным акционером единолично.

В соответствии с Уставом Общества Совет директоров осуществляет общее руководство деятельностью Общества. Положение о Совете директоров Общества утверждено решением единственного акционера от 28.09.2009 года №4. Компетенция Совета директоров определена в пункте 13.2 Устава Общества. Действующий состав совета директоров избран решением единственного акционера Общества от 04.12.2009 года №6.

Единоличным исполнительным органом Общества является Директор осуществляет руководство текущей деятельностью Общества. Директор подотчетен Совету директоров и Общему собранию акционеров (единственному акционеру) Общества.

Органом контроля финансово-хозяйственной деятельности является Ревизионная комиссия.

Организационная структура включает в себя следующие подразделения (Рисунок 2.2):

ОАО ПО "ЭХЗ"


 Основные подразделения

Обогащение урана

Хранение и переработка ОГФУ <#"514627.files/image012.gif">

Рисунок 2.3 - Выручка от продаж на ОАО ПО "ЭХЗ", за 2009-2010 гг., млн. руб.

Анализ прогнозирования угрозы банкротства по различным моделям показывает устойчиво стабильное финансовое положение Общества.

Планы модернизации производственных мощностей неуклонно выполняются. Стоимость активов за 2009 год возросла на 2 841,0 млн. руб. В активе баланса внеоборотные активы увеличились на 7,0%, оборотные активы на 22,0%. Изменение внеоборотных активов обусловлено вводом в эксплуатацию технологического оборудования и мощностей в результате завершения крупных проектов:

после модернизации, проводимой в рамках отраслевой Программы;

нового производства по переработке обедненного гексафторида урана.

Увеличение оборотных активов связано непосредственно с текущими графиками поставок продукции, услуг. Источниками финансирования увеличения активов Общества стал прирост собственных средств на 1 579,0 млн. руб. и заемных средств на 1 262,0 млн. руб.

Как уже отмечалось выше, знаковым событием 2009 года для Общества и отрасли в целом стал пуск установки "W-ЭХЗ". Реализация этого проекта позволяет вывести на качественно новый уровень решение вопросов экологической безопасности, а также дать промышленности ценное сырье - фтористо-водородную кислоту. А главное для ЗАТО г. Зеленогорска - это дополнительно 200 новых рабочих мест.

Таким образом, результаты деятельности Общества показывают, что органы управления и менеджмент предприятия выполнил поставленные задачи, а многотысячный коллектив ОАО "ПО ЭХЗ" с достоинством продолжил традицию добросовестной, результативной и успешной трудовой деятельности.

В 2010 году все основные показатели производственно-хозяйственной и финансово-экономической деятельности предприятия также выполнены. Общий объем выручки от реализации товаров, работ и услуг за 2010 год составил 12,6 миллиарда рублей, что выше уровня прошлого года на 9,2%.

Кроме того, в 2010 году предприятие полностью выполнило все налоговые обязательства, перечислив в бюджеты всех уровней порядка 3,1 млрд. рублей. Чистая прибыль предприятия составила 1,2 млрд. руб.

Согласно контракту, заключенному во исполнение межправитель-ственного российско-китайского соглашения, во взаимодействии с ОАО "Техснабэкспорт" ОАО "ПО "Электрохимический завод" изготовило и отправило в КНР весь запланированный на 2010 год объем трубопроводных сборок. Коллективом предприятия в течение года было осуществлено 13 отгрузок, в ходе которых в Китай отправлено 78 вагонов с оборудованием.

На 2011 год портфель заказов основного производства заполнен практически на 100%. Запланирована модернизация еще двух блоков оборудования основного производства, фактический объем работ на 25% больше, чем в 2010 году.

2.3 Программа реструктуризации ОАО ПО "ЭХЗ"


Экономика предприятия и всей отрасли, сегодняшнее состояние мирового рынка ядерных материалов не позволяют "оставить все, как было". И, к сожалению, существуют лишь два простых и быстрых способа повышения производительности труда на основном производстве: сокращение, то есть увольнение персонала, и выделение вспомогательных подразделений из состава предприятия в дочерние зависимые или полностью самостоятельные предприятия. Второй вариант позволяет сохранить рабочие места и прежний уровень доходов их работников как минимум на год.

Чтобы сохранить свои позиции на этом рынке, госкорпорацией "Росатом" разработана стратегия развития атомной отрасли, для реализации которой начаты структурные преобразования предприятий, входящих в контур ее управления.

Одно из крупнейших предприятий атомной промышленности, где идут процессы реструктуризации - ОАО ПО "ЭХЗ".

Поступательный процесс реформирования атомной отрасли, в том числе разделительных предприятий, продиктован жесткими условиями мирового уранового рынка - усиливающейся конкуренцией со стороны зарубежных игроков в связи с их переходом на более совершенную и экономичную газоцентрифужную технологию обогащения.

В 2010 году, в процессе реструктуризации ОАО "ПО "Электрохимический завод" начал реализацию программы "Новый облик ЭХЗ", направленную на сохранение конкурентоспособности за счет увеличения производительности труда, снижения издержек и роста заработной платы сотрудников. Реструктуризация завода проходит при тесном сотрудничестве с администрациями Красноярского края и ЗАТО г. Зеленогорска. Создана рабочая группа во главе с заместителем губернатора Красноярского края, разработан план мероприятий, направленный на обеспечение социальной приемлемости проводимых изменений.

Перед руководством ОАО ПО "ЭХЗ" стоит задача - создать на базе подразделений экономически устойчивые хозяйствующие единицы. Именно оптимизация структуры, в частности, отделение непрофильных производств, вкупе с повышением производительности труда должны дать заводу главный эффект - снижение себестоимости основной продукции предприятия.

Город Зеленогорск, в силу специфики градообразующего предприятия находится в какой-то степени обособленно, и вновь созданные предприятия должны стать связующими игроками на местном рынке и дать новый толчок развитию и бизнес-среды, и социальной среды в городе.

В результате преобразований "Новый облик" Электрохимического завода должен обрести окончательные очертания к концу 2011 года. Основные цеха войдут в производственно-технологическое ядро, "второй орбитой" станут вспомогательные подразделения - управление, энергообеспечение, все, что является эксклюзивными услугами для разделительного производства.

План реструктуризации ОАО "Производственное объединение "Электрохимический завод" на период 2010-2012 гг. представлен в таблице 2.2.

Таблица 2.2

План реструктуризации ОАО ПО "ЭХЗ" на 2010-2011 гг.

Объект

Численность, чел.

Площадь кв. м.

Направление реструктуризации

Вновь созданное

Цех соцкультбыта

217

13 802

Создание независимого юридического лица. Передача услуг на аут-сорсинг (договор подряда). Заключение договоров на оказание услуг

ООО "Чистый дом"

Санаторий-профилакторий "Березки"

120

38 160

Создание ДЗО по обеспечению профилактического лечения и реабилитации для работников предприятия и развития прочих услуг

ДЗО Профилакторий "Березки"

Цех каолинов и фарфоровых изделий

71

11911

Ликвидация производства в составе ОАО "ПО ЭХЗ". Передача имущества в продажу/аренду. Перевод здания на консервацию до момента продажи/аренды.

Ликвидация

Объединение общественного питания и торговли

593

18 291

Передача услуг на аутсорсинг (договор подряда). Заключение договора на аутсорсинг услуг по обеспечению питания работников предприятия

ООО "ООПиТ"

Ремонтно-строительный цех

9 000

Передача функций по уборке территории и производственных (служебных) помещений, включая мелко-срочный ремонт на условия аутсорсинга. Передача части имущества в аренду, отдельных объектов на консервацию

ООО "ТОиР"

Монтажно-строительное управление-20

273

7 007

Передача имущества в аренду. Заключение договоров подряда на оказание услуг по направлению деятельности подразделения

ООО"МСУ-20"

Строительно-монтажное управление-95

442

13 661

Передача имущества в аренду

ООО "СМУ-95"

Центр инфор-мации и печати (Типография)

22

1 262

Аутсорсинг персонала. Заключение договора на оказание типографских услуг

ООО "Нон-парель"

Производство пластикового ПВХ-профиля ECP PLASTICS

136

12 660

Перевод подразделения или отдельных функций деятельности на условия аутсорсинга. Предоставление в аренду (продажа) оборудования

ООО "ECP PLASTICS"

Автохозяйство

515

27 063

Создание автотранспортного ДЗО. Заключение договоров на оказание автотранспортных и сопутствую-щих услуг, в т. ч. на аутсорсинг

ДЗО


"Мы должны повышать заработную плату персоналу, который работает с высокотехнологичным оборудованием. Также мы должны быть привлекательными для молодых специалистов, и, плюс ко всему, производить замену оборудования на высокоэффективное, что является одной из составляющих мероприятий по снижению себестоимости", - подчеркивает Сергей Филимонов, генеральный директор ОАО "ПО "ЭХЗ" [55].

В рамках реализации программы "Новый облик" в муниципальную собственность уже переданы детские сады, культурные и спортивные учреждения.

В течение всего 2010 года на ОАО ПО "ЭХЗ" велась оптимизация избыточных производственных площадей, в результате производственные площади сокращены на 200 тыс. кв. м. Всего в составе завода будут закрыты 12 непрофильных подразделений.

Все предприятия сохранили прежний объем заказов от Электрохимического завода. Более того, на 2011 год гарантировано и сохранение заработной платы для работников новых предприятий.

Как сообщил гендиректор завода Сергей Филимонов, по состоянию на 1 января 2011 года, во вновь созданные предприятия уже переведены 1754 работника. Все они бывшие работники ЭХЗ, которые сначала уволились, а теперь вернулись на работу. Так, на базе производственных объектов ОАО "ПО ЭХЗ" уже создано несколько независимых предприятий строительно-монтажной сферы, общественного питания и бытового обслуживании, работники которых, в своем большинстве, перешли в них.

В рамках реализации программы "Новый облик" в 2010 году созданы:

) На базе подразделения общественного питания, в составе которого было четыре столовых, сопутствующие - цех полуфабрикатов, хлебопекарня, кондитерский цех, создан "ООПиТ". Почти все они сохранили социальные обязательства, кроме негосударственного пенсионного обеспечения. Главным заказчиком продукции является завод, который обеспечивает спецпитанием работников в трех столовых на территории завод. Основную прибыль делается на дополнительной кулинарной продукции для работников завода и для населения. Но стоит сказать, сегодня на этом рынке в городе царит жесткая конкуренция.

) Выделилось подсобное хозяйство "Искра. Деятельность ООО "Искра" включает в себя такие виды, как производство сельхозпродукции - зерновых, молока и молочных продуктов, мяса, овощей. Прошедшие месяцы показали, что предприятие успешно интегрируется в сельскохозяйственную структуру Красноярского края и уверенно развивается.

В 2011 году производственная база агропромышленного предприятия пополнилась двумя новыми подразделениями: цехом по производству колбасной продукции и рыборазводным хозяйством. "Искра" продолжает выпускать высококачественную продукцию в прежнем объеме, снабжая не только магазины Зеленогорска, но детские сады города - сюда поставляют специальные продукты с пониженным содержанием соли, жиров и специй. Кроме того, колбасный цех выпускает целый спектр пользующихся повышенным спросом полуфабрикатов: котлеты, тефтели, ромштексы, голубцы, пельмени ручной лепки. Все изделия - из свежайшего натурального мяса с минимумом добавок.

С 1 февраля ООО "Искра" взяло в аренду и форельное хозяйство, производящее 25-27 тонн форели ежегодно. Однако, чтобы не просто получать прибыль, а иметь средства на развитие хозяйства, нужно выращивать 35-40 тонн в год, а при выходе на рубеж 50-52 тонны, рентабельность составит 15-20 %. Достичь этих показателей - основная задача ООО "Искра".

С появлением в составе ООО "Искра" двух новых производств стало актуальным открытие собственного фирменного магазина. Цены в нем на весь спектр выпускаемой продукции могут быть более привлекательными для потребителей. В проекте бизнес-плана ООО "Искра" на 2011-2013 годы предусмотрено развитие собственных торговых площадей. В будущем руководство хозяйства видит "Искру" полноценным агрохолдингом: от производства сельхозпродукции - зерновых, молока, мяса, овощей - до ее промышленной переработки и реализации. С мощнейшей материально-технической базой хозяйства, созданной при поддержке Электрохимического завода, это вполне реально.

) на базе цеха соцкультбыта ОАО ПО "ЭХЗ" образовано ООО "Техническое обслуживание и ремонт" (ТОиР). Основной деятельностью ООО "ТОиР" является выполнение работ по содержанию жилого фонда общежитий, ремонт и эксплуатация зданий социально-культурного назначения, обслуживание инженерных систем объектов.

В 2011 году реализация программы "Новый облик" в ходе процесса реструктуризации продолжается. К примеру, на базе автохозяйства ОАО "ПО "ЭХЗ" будет создано общество, которое выйдет на рынок, сохранив свой профиль - автоперевозки. Для того, чтобы занять свой сектор на рынке перевозок, автотранспортному предприятию необходимо снижать себестоимость услуг путем рациональной организации работы ДЗО - сокращения избыточных площадей и лишнего оборудования. В 2011-2012 гг. выводу из состава предприятия намечены еще ряд подразделений: санатория-профилактория "Березки", гостиницы "Уют" в г. Красноярске, приборного производства, производства трубных сборок.

Итак, предприятия, созданные на базе выведенных из состава Электрохимического завода подразделений продолжают работать. Руководство ЭХЗ обещает, что переходный период для работников этих подразделений будет максимально смягчён путём сохранения мер социальной поддержки.

Однако некоторые проблемы и опасения все же имеют место быть. Так, гендиректор ООО "Чистый дом" Олег Тягунов волнуется о том, что на 2012 год контракт с заводом, который составляет 99% от общей загруженности предприятия, заключить не получится? Объемы работ на следующий год волнуют и других руководителей, т.к. существует конкуренция между организациями, которые занимаются однопрофильными работами и участвуют в одних и тех же заводских конкурсах.

Кроме всего прочего, в ходе последних событий на АЭС "Фукусима-1" и последовавших маршей-протестов по закрытию АЭС в Европе, многих волнует будущее и самого Электрохимического завода. Очевидно, что отношение к преобразованиям, проводимым как в отрасли так и на самом предприятии, со стороны сотрудников является важным фактором, обеспечивающим успешность и эффективность развития ЭХЗ. Успешная реализация Программы в значительной степени зависит от того, встречает ли она понимание со стороны сотрудников предприятия, воспринимается ли ими адекватно, находит ли должную поддержку на массовом уровне. Естественно также допустить, что характер отношения персонала к Программе, уровень корпоративной идентичности влияют на социальное самочувствие работников, их удовлетворенность трудом на своем предприятии (в организации). В связи с этим, отделом социологических исследований ОАО "ПО ЭХЗ" был проведен опрос работников предприятия о том, что они думают об изменениях происходящих на предприятии. В рамках исследования была поставлена задача изучения восприятия персоналом Программы развития ЭХЗ:

измерение информированности персонала о Программе;

выявление отношения к Программе.

Одной из задач опроса являлось изучение восприятия со стороны сотрудников предприятий изменениями, происходящими в отрасли и на предприятии. Результаты опроса приведены в Приложении В.

На основании анализа результатов опроса, были сделаны следующие выводы, характеризующие восприятие сотрудниками Программы развития, а также об основных производственных и социальных проблемах на предприятии.

Оценки персоналом текущего положения дел на предприятии оказались довольно неблагоприятными - более половины респондентов оценили положение дел в ОАО "ПО "ЭХЗ" как "тяжелое" или даже "безнадежное" (57%). Совокупная доля оценок ситуации как "хорошей" или "отличной" лишь ненамного превысила 5% (Рисунок 2.4).

Рисунок 2.4 - Оценка положения дел на предприятии в настоящее время

Оценивая динамику условий труда и быта за последний год, большинство респондентов выразили мнение, что существенных изменений в этих условиях не произошло. Тем не менее, во многих случаях доля ответов "ухудшилось" превышает долю ответов "улучшилось. Особенно высоки доли сотрудников, отметивших ухудшение в уровне защиты от увольнений, возможности карьерного роста и повышения профессиональной квалификации.

Декларативную информированность сотрудников предприятия о принятой Программе развития можно оценить как высокую. Доля тех, кто считает себя в полной мере информированными о Программе, составила 60%. О своей неосведомленности заявили лишь 13% персонала. Тем не менее, большинство работников ответили, что не могут оценить возможный эффект Программы (Рисунок 2.5).

Рисунок 2.5 - Информированность сотрудников предприятия о принятой Программе развития

Это означает, что осведомленность о Программе для многих работников предприятия ограничивается собственно знанием только о самом факте принятия Программы, а оценка конкретных последствий ее реализации - позитивных либо негативных - оказывается весьма затруднительной. Среди тех, кто смог выразить свое отношение к Программе, преобладают респонденты с отрицательным отношением к ней: доля ответов "Программа приносит больше вреда" вдвое выше доли ответов "приносит больше пользы": 24% против 12% (Рисунок 2.6)

Рисунок 2.6 - Оценка реализации программы развития отрасли

Динамика ситуации на предприятии на последний год в восприятии сотрудников также имеет негативную направленность (Рисунок 2.7). Две трети персонала (67%) считают, что положение дел ухудшилось, это очень высокий показатель. Доля тех, кто "заметил" улучшение ситуации, оказалась в 5 раз ниже (13%). Претензии адресованы, прежде всего, к возможностям карьерного роста и повышения квалификации, а также к гарантированности рабочих мест. Последнее беспокоит половину коллектива, что может негативно сказываться на общем самочувствии персонала и являться фактором повышенной тревожности работников (что и подтвердили результаты опроса, согласно которым 42% работников предприятия смотрят в будущее с пессимизмом и ожидают ухудшения в жизни своей семьи в ближайшее время). Потенциально наиболее опасные для коллектива категории "Мысленно уже уволившиеся" в совокупности составляют более четверти персонала (21%); это довольно много.

Рисунок 2.7 - Оценка изменения ситуация на предприятии за последний год

Таким образом, можно сделать вывод, что настроения настороженного отношения среди сотрудников предприятия к Программе на сегодняшний день являются преобладающими.

Для того чтобы выжить в условиях современной конкуренции, предприятие должно постоянно приспосабливаться к окружению, отслеживать изменения во внешней среде, изменяться (прежде всего, в направлении, в котором наилучшим образом могут реализовать свои возможности), фокусировать внимание на тех бизнес-процессах, которые могут выполнять квалифицированно.

В целях оптимизации издержек и роста заработной платы сотрудников за счет увеличения производительности труда, в рамках программы "Новый облик" решено перевести на аутсорсинг функции снабжения сырьем и материалами одного из подразделений ОАО "ЭХЗ", а именно цех по производству пластикового ПВХ-профиля "ECP PLASTICS".

Выявление проблемы и целесообразность данного решения рассмотрим в следующей главе.

Глава 3. Внедрение аутсорсинга на предприятиях химической промышленности на примере ОАО ПО "ЭЛЕКТРОХИМИЧЕСКИЙ ЗАВОД"


3.1 Выявление проблемы


В рамках программы реструктуризации "ЭХЗ" в 2011 году предполагается передать на аутсорсинг цех по производству пластикового ПВХ-профиля "ECP PLASTICS" ОАО "ЭХЗ".

Основное производство цеха представлено системой ПВХ профилей для изготовления окон и дверей для любых помещений, находящихся в суровых климатических условиях Сибири. Уникальное качество пластика обеспечивает долговечность светопрозрачных конструкций и неизменность потребительских качеств в условиях Сибири до 40 лет (Приложение Г).

Кроме того, набор профилей, входящий в систему ЕСР PLASTICS, позволяет собирать и другие виды конструкций. При необходимости изготовления усложненных конструкций можно применять профили других производителей с подходящими геометрическими размерами, в том числе балконных.

Изучив деятельность цеха, мы пришли к выводу, что передать на аутсорсинг возможно не весь цех, а бизнес-процесс снабжения цеха сырьем и материалами. Отметим, что аутсорсинг функций снабжения представляет собой передачу третьей стороне деятельности по закупкам, управлению поставщиками и поиску поставщиков.

Организация и содержание в цехе "ECP PLASTICS" квалифицированного отдела снабжения требует немалых временных и материальных затрат. Поэтому внедрение аутсорсинговой модели процесса снабжения может дать положительные результаты, так как внешний подрядчик, благодаря своему опыту и технологиям, способен обеспечить развитие и оптимизацию переданных процессов.

Принятие решения о переводе данного бизнес-процесса на аутсорсинг представляет собой ответственный стратегический выбор, поскольку его реализация приведет к изменению структуры бизнеса предприятия.

Решение о передаче бизнес-процесса на аутсорсинг принимается при одновременном выполнении следующих условий:

признание этой функции непрофильной, а ее передачи на аутсорсинг - нерискованной для компании (Да);

исчерпание всех возможностей по повышению эффективности этой бизнес-функции внутри компании (Да);

наличие конкурентного рынка аналогичных услуг (Да);

уверенность в том, что при использовании аутсорсинга стоимость данной функции будет дешевле, а качество существенно выше (Да).

Для принятия решения о переводе бизнес-процесса на аутсорсинг нами был проведен анализ на основе матрицы аутсорсинга Д. Хлебникова.

Кроме того, в дополнение к ней применили процедуру принятия решения об аутсорсинге предложенную В.Г. Шадриным. Последовательно отвечая на поставленные вопросы (алгоритм Шадрина) мы выявили, что все условия соблюдены, и поэтому принимается положительное решение о передаче на аутсорсинг анализируемой функции (Рисунок 3.1).

В качестве основного инструмента анализа и принятия решения применим матрицу аутсорсинга, предложенную Д. Хлебниковым (Рисунок 3.2). Матрица строится на основе экспертных оценок анализируемого элемента бизнес-функции снабжения цеха "ECP PLASTICS". Анализ аспектов деятельности компании с помощью "матрицы аутсорсинга" предполагает разнесение таких аспектов (компетенций, функций, переделов, технологий и т.д.) по девяти полям, каждому из них соответствует одно из четырех решений: аутсорсинг - отказ от услуг собственных подразделений и приобретение их на рынке; развитие - совершенствование бизнес-функции в сторону повышения качества услуг или снижения себестоимости; развитие или аутсорсинг - вариант, при котором возможны оба решения. Предпочтение того или иного варианта зависит от политики компании в отношении рассматриваемой бизнес-функции; выделение - бизнес-функция является конкурентоспособной и может быть выделена в отдельный бизнес для получения дохода.

Рисунок 3.1 - Алгоритм принятия решения (по Шадрину)

Оценки (высокая, средняя и низкая) выставляются по двум шкалам: стратегическая важность для компании данного элемента бизнеса, и оценка элемента бизнеса по отношению к внешнему рынку (то есть насколько хорошо по сравнению с рынком компания выполняет работу, насколько соответствует существующему отраслевому развитию конкретный отдел, насколько квалифицированны сотрудники и т.д.).

Рисунок 3.2 - Матрица решения о переводе на аутсорсинг функции снабжения цеха "ECP PLASTICS" (по Д. Хлебникову)

Итак, рассмотрим решения по каждому из полей, т.е. знания, умения, опыт и квалификацию наших сотрудников, выполняющих функцию снабжения цеха. В результате анализа приняты следующие решения по полям матрицы:

Поле 1 - означает высокую стратегическую важность для компании данного элемента бизнеса и его низкий уровень. НЕТ.

Поле 2 - высокая стратегическая важность элемента бизнеса и средний уровень его развития. НЕТ.

Поле 3 - высокая стратегическая важность подразделения и высокий уровень его работы. НЕТ.

Поле 4 - средняя стратегическая важность элемента бизнеса и низкий уровень компетентности его сотрудников. НЕТ.

Поле 5 - средняя стратегическая важность подразделения и средний же уровень деятельности его сотрудников. НЕТ.

Поле 6 - стратегическая важность бизнес-единицы средняя, но уровень ее сотрудников выше рыночного. НЕТ.

Поле 7 - низкая стратегическая важность подразделения и низкий уровень его деятельности. НЕТ.

Поле 8. Низкая стратегическая важность подразделения и средний уровень его работы. ДА.

Для исследуемой компании деятельность отдела снабжения цеха по производству пластикового ПВХ-профиля "ECP PLASTICS" необходима, и по уровню работы его можно отнести к среднему. В ходе анализа мы выяснили, что в отделе только два менеджера загружены полностью, поэтому на аутсорсинг может быть выведен не весь отдел снабжения цеха, а ликвидация только двух других менеджеров, занимающихся неприоритетным процессом снабжения сырьем и материалами одного из направлений, а именно производство пластиковых балконов и балконных козырьков, на которые четко прослеживается сезонный спрос и приобретение необходимых услуг на стороне, тем более что для этого существуют специализированные фирмы.

Качество реализации данного процесса собственными силами по сравнению с качеством конкурентов одинаково, но уровень стратегической важности этих функций в настоящий момент не имеют большого значения для основной деятельности организации, однако в будущем способно принести организации конкурентные преимущества.

Следовательно может быть принято решение о ликвидации функций этих (2) менеджеров, не имеющих прямого отношения к выпуску основного продукта цеха "ECP PLASTICS". Частичный аутсорсинг в этом случае поспособствует развитию этих процессов, а также снижает риски. В дальнейшем развитие конкуренции может привести к полному отказу от этих бизнес-процессов или к их переходу в группу ключевых компетенций компании.

Поле 9 - низкая стратегическая важность бизнес-элемента, но высокий уровень квалификации его сотрудников. НЕТ.

Итак, проведенный анализ показал, что одна из функций цеха, а именно функции снабжения сырьем и материалами нуждается в переводе на аутсорсинг.

Кроме того, мы выявили, что с целью повышения эффективности работы отдела, на аутсорсинг может быть выведен не весь отдел снабжения цеха пластикового ПВХ-профиля "ECP PLASTICS", а только функции снабжения сырьем и материалами одного из направлений: производство пластиковых балконов и балконных козырьков, на которые четко прослеживается сезонный спрос.

В результате нами принято управленческое решение о переводе анализируемого бизнес-процесса на аутсорсинг.

Для аутсорсинга процесса снабжения нами разработана следующая схема действий, состоящая из семи этапов (Рисунок 3.3).

Этап 1. Направление от руководителей цеха в рабочую группу ПО "ЭХЗ" по аутсорсингу полученные обоснования и рекомендации по возможности практического применения аутсорсинга к выбранным процессам.

На данном этапе проводится планирование деятельности отдела снабжения и составление календарного плана поставок на следующий календарный год. Определяется количество и характеристики сырья и материалов: определяется и согласуется окончательный перечень, которые необходимы будут в следующем году.

Основной проблемой, связанной с передачей анализируемого бизнес-процесса на аутсорсинг, является необходимость точного определения всех базовых характеристик сырья и материалов, поскольку от этого напрямую зависит количество средств, выделяемых поставщику услуг. Однако такие оценки проводятся задолго до проведения самих работ, что может привести к тому, что за прошедшее время могут измениться некоторые важные параметры.

Данные вопросы, обязательно, должны быть оговорены в договоре и техническом задании, где предполагаемое количество следует давать в градациях, также должны быть определена возможность существенных изменений условий. Вероятной является и ситуация, когда в течение отчетного года возникнет необходимость в, незапланированных заранее материалах.

Рисунок 3.3 - Схема реализации аутсорсинг-проекта

Этап 2. На данном этапе проводится расчет затрат, необходимых для финансирования данной услуги, а также передачи данных услуг на аутсорсинг.

Рабочая группа по аутсорсингу совместно с Финансовым управлением ПО "ЭХЗ" решает вопросы выделения бюджетных средств на данные нужды.

Этап 3. После расчета и определения бюджета аутсорсинг-проекта документы, полученные в ходе выполнения указанных работ, направляются в Рабочую группу по аутсорсингу, которая на основании полученных обоснований оценивает целесообразность передачи процесса на аутсорсинг и принимает соответствующее решение: либо привлечения частной компании к выполнению процесса, либо о продолжении осуществления процесса своими силами.

Этап 4. Разработка конкурсной документации. При этом особое внимание должно быть уделено разработке технического задания, где должны быть отражены следующие параметры: количество сырья и материалов; ориентировочные сроки поставок; требования к поставкам; бюджетное финансирование, определяемое в соответствии с количеством поставок.

Этап 5. Проведение конкурса. В случае принятия решения о передаче административно-управленческого процесса на аутсорсинг следующим этапом является проведение открытого конкурса и определение победителя. Данный этап осуществляется в соответствии с законодательством.

Этап 6. Разработка и подписание договора. После выбора поставщика по определенным в конкурсной документации критериям разрабатывается контракт, который затем подписывается с победителем конкурса. А также согласование и уточнение технического задания.

В контракте особое внимание должно быть уделено механизмам контроля за предоставлением услуг, а также взаимодействию организации и поставщика услуг, поскольку успешная организация бизнес-процесса напрямую зависит от координации действий данных субъектов. Разработанное на этапе создания конкурсной документации техническое задание на данном этапе проходит согласование с выбранным поставщиком услуг и затем, в случае необходимости, уточняется.

Этапы 7-8. Выполнение обязательств поставщиком в соответствии с контрактом, координация и контроль совместной деятельности.

Следующий шаг - разработка плана мероприятий. Для каждого пункта плана назначаются ответственные исполнители и определяются сроки реализации (Таблица 3.1).

Таблица 3.1

План мероприятий по передаче услуг снабжения на аутсорсинг

Наименование мероприятий

Срок реализации

Ответственные лица

Определение участка в переводе на аутсорсинг

01.2011

Ген. директор ОАО ПО "ЭХЗ"

Проведение предварительных экономических расчетов по объему услуг передаваемых на аутсорсинг

01.2011

Зам. гл. бухгалтера, Гл. экономист ОАО ПО "ЭХЗ"

Заполнение технических заданий для определения объемов по снабжению

02.2011

Директор ООО

Проведение совещания с представителями аутсорсинговых компаний

до 10.03.2011

Руководитель службы снабжения

Определение на месте представителями аутсорсинговых компаний объемов работ

до 10.04.2011

Руководитель службы снабжения

Представление окончательных расчетов по затратам на выведение данной услуги на аутсорсинг

до 15.04.2011

Директор ООО, Гл. бухгалтер ООО

Предупреждение работников о предстоящем сокращении штата

до 15.04.2011

Директор ООО

Внести изменения в штатные расписания

до 15.05.2011

Директор ООО

Формирование технического задания для конкурса (котировки цен)

до 25.06.2011

Директор ООО, Руководитель службы снабжения

Заключение контракта на услуги аутсорсинга

до 1.07.2011

Директор ООО, Директор аутсорсинговой компании

Оказание содействия в трудоустройстве сокращаемых работников в аутсорсинговую компанию

до 15.06.2011

Директор ООО


План включает следующие разделы:

экономическое обоснование (целесообразность) принимаемого решения;

урегулирование отношений с персоналом подразделения, функции которого передаются на аутсорсинг (сокращение, перевод в штат аутсорсинговой компании, перевод в другие подразделения);

урегулирование имущественных отношений (продажа имущества, передача в аренду, другие варианты);

описание порядка взаимодействия с компанией-аутсорсером.

Итак, решение принято, но нам необходимо соблюсти еще два условия:

) первое условие успешного применения аутсорсинга - анализ экономической целесообразности передачи бизнес-процессов на сторону.

) второе - тщательно проработанное соглашение с поставщиком (контракт), предусматривающее взаимную ответственность сторон.

3.2 Анализ целесообразности перевода на аутсорсинг функций снабжения "ECP PLASTICS" ОАО "ЭХЗ"


Проведем анализ целесообразности передачи на аутсорсинг функции снабжения цеха по производству пластикового ПВХ-профиля "ECP PLASTICS", т.е. насколько это может быть эффективным с точки зрения затрат.

В настоящее время в работе цеха прослеживается положительная динамика результатов деятельности, но в то же время имеются некоторые проблемы:

одной из рентабельных составляющих ассортимента является пластиковые балконы и балконные козырьки, сезонный спрос на которые (осенью) требует увеличения выпуска и реализации продукции в III квартале более, чем вдвое. Производить досрочно и накапливать профили для них нецелесообразно из-за отвлечения оборотных средств в запасы готовой продукции;

использование производственной мощности по году составляет чуть выше 70 %;

недостаточное обеспечение сырьевыми ресурсами в части комплектности, ритмичности, качества, что сказывается на объеме производства и эффективности использования производственной мощности, а также на расширении ассортимента выпускаемой продукции.

В настоящее время снабжение сырьем и материалами для производства пластикового ПВХ-профиля балконов и балконных козырьков служит существенной проблемой, которая вызвана невозможностью поставщика поставлять сырье в нужной комплектации малыми партиями в нужные сроки.

Возникшая проблема с логистикой, в частности, вызвана широким ассортиментом выпускаемой продукции и объемным конфекционированием (комплектацией материалов в пакете изделий).

Предприятие вынуждено работать с более чем 20 поставщиками сырья и материалов (при этом происходят периодические сбои в поставках - как в комплектности, так и по срокам), закупать большие партии профиля и сырья, замораживая в нем свои оборотные средства от трех до шести месяцев.

Так как предприятие арендует склады, то увеличиваются и затраты на хранение сырья, что также отрицательно сказывается на конечной эффективности деятельности. Поэтому, в данной ситуации назрела необходимость рассмотрения вопроса о передаче на аутсорсинг функции снабжения, хотя бы в части обеспечения сырьем и материалами производства балконов и балконных козырьков, так как выпуск данной продукции составляет более половины объемов производства, продукция пользуется неизменным спросом, но неудовлетворительное снабжение вызывает сбои ритмичности производства и выполнения договорных обязательств, что приводит как к прямым потерям прибыли, так и косвенным - штрафным санкциям за недопоставку готовой продукции, замораживанию средств в сырье и материалах. Замораживание средств происходит из-за того, что требуются поставки сырья в нужной комплектации малыми партиями и в нужные сроки, но поставщики предлагают поставку в основном в размере годовой потребности предприятия. При этом предприятие вынуждено заключать договоры на поставку с большим количеством поставщиков (от 5 до 10 для каждого вида комплектующих), что значительно осложняет координацию согласованности поставок точно в срок и в нужной комплектации, приводя к постоянному увеличению как штата отдела снабжения, так и количества задач персонала по обеспечению своевременных поставок.

Функции снабжения на ООО "ECP PLASTICS" выполняют четыре менеджера. Основной объем их рабочего времени уходит на поиски и координацию действий многочисленных поставщиков сырья и материалов. Но в современных условиях добиться оптимального варианта поставок практически невозможно, так как каждый поставщик специализируется на конкретном ассортименте сырья. Кроме временных затрат, высоки затраты на многочисленные командировки, оплату междугородних и мобильных переговоров, Интернет и пр.

В настоящее время максимально точно мы можем рассчитать прямые затраты и косвенные потери по организации функции снабжения.

При проведении данного этапа были выделены следующие виды затрат:

заработная плата менеджеров. Снабжением занимаются четыре менеджера, средняя заработная плата каждого - 15 тыс. руб.;

страховые взносы - 34%.

выплаты социального характера. Годовая сумма выплат социального характера составляет 10 тыс. руб. на одного менеджера;

аренда площади рабочих мест. Офисные помещения арендуются по цене 500 руб. в месяц за 1 м2; норма площади на одно рабочее место составляет 4 м2; общая арендуемая площадь для четырех менеджеров - 16 м2;

компьютеры. Цена одного компьютера составляет 25 тыс. руб.; все четыре менеджера обеспечены персональными компьютерами;

программное обеспечение. Цена комплекта программного обеспечения для отдела снабжения составляет 7 тыс. руб. на один компьютер;

междугородние переговоры. По данным отчетности, оплата переговоров отдела снабжения составляет 36 тыс. руб. в год;

Интернет. По данным отчетности. расходы отдела снабжения на Интернет составляют 38 тыс. руб. в год;

командировочные расходы. По данным отчетности, командировочные расходы отдела снабжения составляют 132 тыс. руб. в год;

мобильная связь. По данным отчетности, расходы отдела снабжения на мобильную связь составляют 27 тыс. руб. в год;

учеба, семинары. Менеджеры отдела снабжения проходят повышение квалификации один раз в два года. Стоимость обучения составляет 8 тыс. руб. на одного менеджера;

канцелярские товары. По данным отчетности, расходы на канцелярские товары отдела снабжения составляют 16 тыс. руб. в год;

износ основных средств. Амортизационные отчисления на основные средства, используемые в отделе снабжения (столы, стулья, шкафы для бумаг и т.д.), составляют 12 тыс. руб. в год;

продвижение. Годовые затраты на мероприятия по продвижению продукции составляют 60 тыс. руб.

Общая сумма годовых затрат на организацию процесса снабжения по видам представлена в табл.3.2.

Таблица 3.2

Годовые затраты на организацию снабжения

Затраты по видам

Сумма, тыс. руб.

Заработная плата менеджеров

720

Страховые взносы

190

Выплаты социального характера

40

Аренда площади рабочих мест

96

Компьютеры

100

Программное обеспечение

28

Междугородние переговоры

36

Интернет

38

Командировочные расходы

132

Мобильная связь

27

Учеба, семинары

16

Канцелярские товары

16

Износ основных средств

12

Продвижение

60

Итого

1511


Как косвенные на предприятии были выделены следующие виды потерь:

недополученная прибыль по причине невыполнения плана производства. По данным отчетности, ежегодно из-за простоя предприятия по причине несвоевременной поставки или поставки в неполном объеме недовыполняется план на 15 %. В прошлом году такие потери составили 147 тыс. руб.;

штрафы за недопоставку готовой продукции. В отчетном году выплаченные штрафы за недопоставку готовой продукции из-за простоя предприятия по причине неудовлетворительного снабжения составили 210 тыс. руб.;

банковский процент за пользование заемными средствами. Сумма средств, направленная на погашение банковского кредита, взятого на пополнение оборотных средств, замороженных в запасах (вынужденная закупка большой партии сырья и материалов), составила 132 тыс. руб.

Косвенные годовые потери при неудовлетворительном снабжении представлены в табл.3.3.

Таблица 3.3

Косвенные годовые потери при неудовлетворительном снабжении

Статья затрат

Сумма, тыс. руб.

Недополученная прибыль по причине невыполнения плана производства

147

Штрафы за недопоставку готовой продукции

210

Банковский процент за пользование заемными средствами

132

Итого

489


Общая сумма затрат на организацию функции снабжения составила 1511 тыс. руб. Но так как рассчитывается передача снабжения только в части сырья и материалов для изготовления балконов и балконных козырьков, т.е. функции двух менеджеров, а расчет целесообразности перевода данной функции на аутсорсинг проведен на весь отдел, то к расчету были приняты расходы на организацию снабжения в сумме 755,5 тыс. руб. = 1511 (тыс. руб.): 2 (чел.)

С учетом косвенных потерь общая сумма затрат, принятая к расчету, составила 1244,5 тыс. руб.

Дальнейшим шагом являлось определение стоимости услуг аутсорсера на рынке. Нами были сделаны запросы в организации региона, которые могут осуществлять эту деятельность.

Проведенный анализ позволил определить предварительную стоимость услуг возможных аутсорсеров в регионе. Было выявлено, что на рынке их услуги определялись ставкой, составляющей от 5 до 10% от суммы сделки по контракту на поставку материалов.

Так как годовая потребность в сырье и материалах составляет 5850 тыс. руб., то услуги аутсорсера могут составить от 292 тыс. руб. до 585 тыс. руб.

Предварительный расчет общего экономического эффекта в данном случае был проведен при максимальной стоимости услуг - 10 %, то есть 585 тыс. руб.

В данных исходных условиях предварительный экономический эффект составил 660 тыс. руб. = 1245 тыс. руб. - 585 тыс. руб.

Итак, предварительный расчет от внедрения аутсорсинга показал положительный общий экономический эффект в сумме 660 тыс. руб. - собственные затраты превосходят затраты на привлечение сторонней организации, поэтому можно говорить о целесообразности использования аутсорсинга.

При этом предприятие смогло высвободить еще и двух специалистов службы снабжения и уменьшить количество видов работ, выполняемых оставшимися сотрудниками.

В ходе реализации проекта, планируется перевод высвободившихся работников на работу в аутсорсинговую компанию.

Таким образом, можно говорить о том, что внедрение аутсорсинга в ООО "ECP PLASTICS" позволило сконцентрировать управленческие ресурсы на основном бизнесе за счет уменьшения количества объектов управления, высвободить ресурсы предприятия, при этом повысив качество выполнения как функции снабжения, так и эффективности деятельности в целом.

В результате того, что поставщиком аутсорсинговых услуг будет специализированная на данном виде бизнеса организация, повысится качество продукции, произойдет концентрация управленческих ресурсов за счет уменьшения количества объектов управления.

3.3 Выбор поставщика и особенности формирования аутсорсингового контракта


Следующий этап посвящен разработке программы внедрения. В рамках данного этапа осуществляется практическое использование системы аутсорсинга, то есть привлечение стороннего подрядчика, и предполагает взаимодействие двух сторон, которые выступают субъектами отношений аутсорсинга. Первая сторона - организация (подразделение или отдел), передающая осуществление каких-либо задач или процессов полностью или частично стороннему подрядчику. Вторая сторона - сторонний организация-аутсорсер, предоставляющая на определенных условиях услуги по реализации отдельных процессов.

Выбор организации-аутсорсера производится путем организации конкурса. Приглашение на тендер - это документ, включающий общие условия контракта или его эквивалента. Оно состоит из (Таблица 3.4):

Общие данные - информация о ведомстве, включая детали существующего обслуживания и причины, по которым отдел желает использовать услуги по контракту (готовится заказчиком);

Инструкции участникам тендера - инструкции относительно конкурса, где и кому нужно послать приглашения и дата завершения тендера (готовится отделом закупок);

Форма заявки - принятия условий заявки, установленных закупающей организацией (готовится отделом закупок);

Таблица 3.4

Приглашение на тендер

Содержание

Дальнейшее использование

Введение

Информация для участников тендера о закупающей организации

Инструкции участникам тендера

Информация для участников тендера освещает следующие вопросы: как подтвердить получение приглашения, подготовить заявку, представить инструкции и данные, куда обращаться с вопросами

Форма заявки

Участники тендера заполняют и возвращают форму заявки закупающей организации

Сертификат подлинности заявки

Участники тендера заполняют и возвращают форму заявки закупающей организации

Соглашение

Участники тендера заполняют и возвращают форму заявки закупающей организации

Объем работ, включая техническую информацию

Информация только для участников конкурса на стадии тендера

Общие условия контракта

Информация для участников тендера о требовании закупающей организации к подаче заявок

Акт согласования цены

Информация для участников тендера об условиях государственного контракта, применяемых к заявкам

График работ

Участники тендера определяют стоимость услуг и указывают ее в подаваемой заявке

Соглашение о конфиденциальности

Участники тендера подтверждают соответствие срокам и объемам работ, установленных закупающей организацией


Сертификат подлинной заявки - документ, представляемый участником тендера о том, что сумма заявки не была согласована и определена заранее, а также, что участник тендера никому не сообщил сумму заявки, кроме лица, приглашающего на тендер, или вступил в соглашение или договоренность с другим лицом, которое, на основании того соглашения, воздержится от торгов; или предложил или согласился заплатить или дал рассмотреть заявку непосредственно или косвенно любому человеку, имеющему отношение к предлагаемой заявке, (готовится участником тендера);

Соглашение - указывает юридические обязательства, с которыми участник тендера должен согласиться (составляется отделом закупок);

Объем работ - указывает работу, которая будет выполнена, говорится о ее структуре и формате, определяются процедуры контроля и управления контрактами (готовится менеджером по управлению контрактами совместно с отделом закупок);

Условия контракта - основываются на общих контрактных условиях департамента, к которым могут быть добавлены дополнительные условия. Условия поставщика, вносящие корректировки в готовые правительственные формы, обычно не принимаются. Общие условия контракта обычно заранее публикуются;

Календарный план работы - детальные планы того, как работа будет выполняться, время обслуживания, дни недели, определяются специальные условия;

Соглашение о конфиденциальности - подписывается независимо от контракта, но составляет его часть. Образец формы включен ниже с конкурсной документацией. Формат стандартен, но может быть исправлен, если это необходимо (составляется отделом закупок);

Акт согласования цены - включает информацию относительно труда, материала и оборудования. Там где контракт с фиксированной ценой, план должен содержать информацию относительно материалов и перечня затрат на оборудования, квалификацию и оплату нанятых работников (готовится отделом закупок). В любом случае потребуется следующая информация: затраты на материалы оборудование и трудовые затраты; какая-либо формула для оценки возможного роста цен; план платежей и периодических выплат; инструкции по счетам; оплата возмещаемых расходов.

Пакет документов для приглашения на тендер в приложении Д.

Главная цель использования приглашений на тендер состоит в том, чтобы гарантировать, что участники, решившие участвовать в тендере, будут соответствовать спецификациям или условиям в "требованиях" или "сфере работ". Это также позволяет предложениям быть сравненными на конкурентной основе.

Рассмотрим кратко этапы конкурса.

. Приглашение поставщикам принять участие в тендере осуществляется путем подачи объявления в средствах массовой информации.

Сторонним подрядчиком может выступать любая организация, которая обладает характеристиками, позволяющими выполнить переданные ей задачи. Затем происходит сообщение потенциальным исполнителям (поставщикам) необходимой информации финансового и технического характера, подтверждающую соответствие предъявляемым требованиям. А также содействие и информирование исполнителей (поставщиков) по вопросам составления конкурсных заявок.

. Оценка и отбор. Выбор наилучшего поставщика, основываясь на критериях, выработанных ранее, при этом следует строго придерживаться принципов честности и непредвзятости.

. Присуждение контракта. Присуждение контракта на базе ранее выработанных критериев оценки.

. Заключение контракта. Установление возможных затруднений сделки и терпеливая и кропотливая работа над каждым положением контракта.

. Управление контрактом включает активное управление отношениями на протяжении всего контракта, а также процесс непрерывного улучшения и постоянного мониторинга исполнения контракта. И после завершения срока контракта или при его ненадлежащем исполнении необходимо снова осуществить приглашение и отбор потенциальных исполнителей (поставщиков).

Для оценки предварительной квалификации подрядчиков, которые смогут обеспечить требуемое обслуживание нами рассылается соответствующая анкета, которая предназначена для определения самых подходящих кандидатов (Приложение Е).

До составления конкурсного списка, преквалификационные заявки должны быть оценены (Приложение Ж). Чтобы гарантировать полную беспристрастность в отборе участников тендера, необходимы некоторые критерии оценки. Они определяются до предквалификации из списка ключевых показателей, по которым каждая заявка может быть оценена. Поставщики с удовлетворительной оценкой могут быть приглашены на тендер.

Кроме того, нами проводится оценка потенциального исполнителя (поставщика), учитывая "Требования к потенциальному поставщику":

уровень возможностей. Какой опыт имеет исполнитель (поставщик), количество имеющихся клиентов;

надежность. Удовлетворяет ли поставщик потребности имеющихся у него клиентов;

гибкость. Насколько исполнитель (поставщик) может быстро менять методы работы в зависимости от ваших нужд и потребностей или возможного увеличения или снижения темпов развития вашего бизнеса;

профессиональный потенциал. Имеет ли поставщик навыки, которые не нужны сейчас, но, возможно, могут быть необходимы в будущем;

потенциальная экономия. Предлагает ли поставщик больший или меньший уровень экономии по сравнению с другими;

сервис. Как предлагаемый исполнителем (поставщиком) сервис можно сравнить с тем, что вы имеете на данный момент, или с тем, что предлагают другие исполнители (поставщики);

кадровая политика. Какова кадровая политика (корпоративная культура) поставщика и как она согласуется с нашей, какое воздействие она может оказать на наш персонал при работе команды исполнителя (поставщика);

экспертиза и контроль. Будет ли исполнитель (поставщик) гарантировать, что мы не потеряем возможность проведения экспертизы и контроля, необходимых для поддержания, защиты и развития деятельности организации;

управленческие навыки. Поскольку деятельность нашей организации растет, имеет ли поставщик время, навыки, желание для поддержки наших меняющихся нужд и требований;

переговоры по условию контракта. Каким образом поставщик будет обсуждать условия и положения контракта, решать возникающие проблемы или спорные ситуации.

В результате, ходе конкурса тендер выиграла ЗАО "ТНК-ВР Снабжение", с которой и будет заключен контракт на услуги снабжения.

Поскольку заключение контракта планируется на вторую половину 2011 года, далее мы рассмотрим особенности и порядок формирования аутсорсингового контракта.

При переводе бизнеса на аутсорсинг важным и ответственным шагом является формирование и подписание аутсорсингового контракта. Под аутсорсинговым контрактом понимают "соглашение возмездного оказания услуг. Следует отметить, что контракт на аутсорсинг отличается от других договоров об оказании услуг, как самим предметом контракта, так и его длительностью.

В контракте необходимо учесть все ключевые вопросы и проблемы аутсорсинга. Аутсорсинговый контракт определяет, каким образом организация будет получать услуги по обеспечению бизнес-процессов и с каким уровнем качества. Он представляет собой юридический документ, регулирующий отношения аутсорсера и организации-заказчика. Контракт на аутсорсинг является документом, который включает в себя согласованные механизмы обеспечения исполнения обязательств сторон.

В российском законодательстве понятие аутсорсингового контракта / договора отсутствует, поэтому его разработка может основываться на статье 421 Гражданского Кодекса РФ (глава 27), согласно которой граждане и юридические лица свободны в заключении договора. При этом стороны могут заключить как предусмотренный, так и не предусмотренный законом или иными правовыми актами договор, а также договор, в котором содержатся элементы различных договоров, предусмотренных законом или иными правовыми актами (смешанный договор). К отношениям сторон по смешанному договору применяются в соответствующих частях правила о договорах, элементы которых содержатся в смешанном договоре, если иное не вытекает из соглашения сторон или существа смешанного договора.

Одним из возможных вариантов заключения договоров является договор возмездного оказания услуг (гл.39 ГК РФ). По договору возмездного оказания услуг исполнитель обязуется по заданию заказчика оказать услуги (совершить определенные действия или осуществить определенную деятельность), а заказчик - оплатить эти услуги (ст.779 ГК РФ).

Заключению контракта должны предшествовать предконтрактные работы. Необходимо провести следующие основные работы, предшествующие составлению контракта:

. Определение границ (возможностей) контракта.

. Документальное описание процесса снабжения.

. Due diligence - процесс проверки и подтверждения процесса снабжения, за которое он впоследствии будет нести ответственность.

. Подготовка "бумажного" варианта контракта.

. Составление приложений и графиков.

. Решение спорных вопросов.

. Определение квалификационного уровня.

При определении границ контракта проводится формулирование требований, предъявляемых к услугам и функциям, передаваемых на аутсорсинг, обсуждение и определение вопросов, связанных с выполнением функций, разграничение степени участия и ответственности аутсорсера и организации-клиента, решение вопросов управления и расположения (собственности) каждой функции, определение персонала и его функций, которые будут сокращены или переведены в другие подразделения, создание реестра возможных рисков и формирование стратегии по управлению рисками, разработка стратегии перехода к внешнему обслуживанию и стратегии выхода из аутсорсинга. Документальное описание процесса снабжения осуществляется организацией-клиентом.

Во время предконтрактных работ поставщик аутсорсинговых услуг проводит аудит организации-клиента для проверки и подтверждения состояния снабжения, за которое впоследствии он будет нести ответственность. Целью проведения аудита является стремление снизить в будущем риск противоречий по критериям качества предоставления услуг. В результате аудита выявляются "узкие места" перехода на новую схему работы, разрабатывается план мероприятий по изменениям инфраструктуры, нацеленный на оптимизацию процессов, передаваемых на аутсорсинг, а также план необходимых организационных мероприятий по организации перехода на аутсорсинга.

Сроки подготовки аутсорсингового контракта зависят от того, насколько полно были выполнены предконтрактные работы, какова отраслевая специфика, объемы и сложность функций и бизнес-процессов, передаваемых на аутсорсинг. Как показывает практический опыт, для средних контрактов сроки его подготовки составляют от 3 до 6 месяцев, для крупных контрактов - от нескольких месяцев до года.

Аутсорсинговые контракты обычно заключаются на период от 2 до 5 лет. В мировой практике крупные поставщики аутсорсинговых услуг подписывают более длительные соглашения - сроком от 5 до 10 лет. Заключение долгосрочного контракта на аутсорсинг помогает лучше реализовать потенциальные преимущества, связанные с переходом на внешнее обслуживание. Аналитики и эксперты рекомендуют на первых этапах сотрудничества заключать краткосрочный контракт на аутсорсинг, чтобы обеспечить возможность прекращения отношений в случае неудачи.

Условия заключенного контракта определяют права, ответственность и обязанности обеих сторон. Основными составляющими контракта являются:

. Имена и адреса сторон, даты окончания и начала контракта.

. Описание перечня услуг, передаваемых на внешнее обслуживание в соответствии с контрактом.

. Вопросы, связанные с переходным периодом: передачей активов (указание на сторону, которая несет финансовую, административную, оперативную ответственность за каждый из передаваемых ресурсов), передачей услуг, переводом людей (зарплата, компенсационный пакет, гарантии занятости).

. Юридические права собственности, передаваемые аутсорсеру на время действия контракта.

. Место оказания услуг и размещения оборудования: фактические физические пункты предоставления услуг.

. Краткие характеристики ключевого персонала аутсорсера, занятого в данном контракте.

. Вопросы управления контрактом и распределением ролей и обязанностей между сторонами.

. Требования к уровню обслуживания по каждой составляющей контракта и механизмы отчетности, метод мониторинга эффективности работы аутсорсера (соглашение об уровне обслуживания).

. Экономическая составляющая (схема ценообразования для определения стоимости контракта, сроки оплаты различных услуг, налоги).

. Контроль и управление изменениями.

. Причины и условия выхода из контракта при преждевременном разрыве соглашения.

. Мероприятия, запланированные при прекращении действия контракта.

. Пути решения проблем, которые могут возникнуть под действием внешних факторов.

. Конфиденциальность.

. Прочие условия.

В связи с тем что договор аутсорсинга чаще всего заключается в форме договора возмездного оказания услуг, все существенные условия данного договора, предусмотренные в ГК РФ, должны быть включены в договор аутсорсинга. Одним из существенных условий является предмет договора. Что именно входит в перечень услуг аутсорсера, должно быть отражено в договоре подробно. Поскольку невключение в договор какого-либо действия имеет четкие правовые последствия, аутсорсер не обязан будет их выполнять. Также расплывчатое указание услуг может привести к различной трактовке их внутреннего содержания не только аутсорсером и компанией, но и самим работником.

Еще одним существенным условием договора аутсорсинга является срок и порядок оплаты услуг. Выбор организацией определенной схемы ценообразования определяется видом аутсорсинговых услуг, целями аутсорсинга и типом взаимоотношений, которые предполагается построить с поставщиком аутсорсинговых услуг. При отсутствии цены в договоре действует правило "об обычной цене" (п.3 ст.424 ГК РФ).

Поскольку правовые отношения существуют у компании и организации, предоставляющей услуги аутсорсинга, то компания-получатель не застрахована от ошибок предоставленных работников и воздействовать на них никак не может. Поэтому в договоре аутсорсинга необходимо предусмотреть последствия случаев некачественного выполнения работы, пропуска осуществления определенных действий. Например, сдача бухгалтерской отчетности, пропуск которой чреват не только штрафом для организации со стороны налоговых органов, но и такими неблагоприятными последствиями, как приобретение репутации недобросовестного налогоплательщика. Такие последствия трудно оцениваются в денежном выражении, поэтому в договоре должна быть предусмотрена отдельная норма о каждом виде ответственности.

Также в договоре обязательно должен быть пункт о замене работника в случае болезни или других непредвиденных обстоятельств. Организация платит за оказание определенных услуг и рассчитывает, что они будут осуществляться непрерывно.

Наиболее полно своеобразие договора аутсорсинга как одного из видов договоров возмездного оказания услуг выражается в распределении рисков между сторонами. Так, следуя ст.401 ГК РФ, ст.781 ГК РФ ставит последствия обнаружившейся невозможности исполнения для сторон в зависимость от наличия в том их вины. Иногда возможны ситуации смешанной вины, т.е. вины обеих сторон. В подобных случаях суд может обязать заказчика уплатить исполнителю указанную в договоре стоимость работ лишь частично. Из-за такой двусмысленности норм в договоре следует указать конкретные виды ответственности. В целом же контракт должен мотивировать аутсорсера к качественному оказанию услуги и содержать метрики, позволяющие провести однозначную оценку качества предоставления услуг, быть достаточно гибким, чтобы реагировать на развитие бизнеса предприятия, изменения в технологиях и ситуации на рынке. Поэтому, ключевой частью контракта является соглашение об уровне обслуживания, которое создает законную основу для оценки эффективности работы поставщика аутсорсинговых услуг, и является неотъемлемой частью комплекта юридической документации. В данном документе определяется содержание предоставляемых услуг, регламент их доступности и процедуры предоставления услуг; указываются стороны, вовлеченные в соглашение, сроки его действия.

Важнейшими элементами соглашения об уровне обслуживания являются:

перечень показателей - метрик качества каждой из предоставляемых услуг и их уровень (набор согласованных значений);

процедуры отчетности аутсорсера перед предприятием - клиентом по реальному качеству предоставляемых услуг;

порядок проведения совещаний по анализу отчетности;

ответственность сторон за предоставление услуг;

стоимость и условия оплаты.

Для определения требований к выполнению процессов и показателей качества можно использовать лучшие мировые практики и стандарты. В зависимости от типа услуги, качество ее предоставления может измеряться по доступности; среднему количеству сбоев за определенный период, их динамике; времени, затрачиваемому на их устранение и т.д. Например, при аутсорсинге службы снабжения в соглашение об уровне обслуживания включают такие метрики, как время обслуживания, время реакции на запрос, метрики оценки качества деятельности службы; параметры еженедельных (ежемесячных) отчетов о деятельности службы; порядок проведения встреч; платежи.

В контракте на аутсорсинг и соглашение об уровне обслуживания должна быть предусмотрена периодичность и возможность пересмотра, описана процедура внесения изменений, порядок согласования изменений и дополнений и ввода согласованных изменений в действие. Внесение поправок и изменений в контракт позволяет уточнить требования к ресурсам, используемым в рамках внешнего обслуживания, внести дополнительные требования к услугам в соответствии с переменами в бизнесе, скорректировать цены, условия и разделы контракта, включить новые плановые проекты. Процедура подготовки контрактной документации приведена в Приложении З.

Кроме того, в целях уменьшения налоговых рисков при заключении договоров аутсорсинга рекомендуется учитывать следующие особенности:

обязательно использовать в тексте самого договора и подтверждающих его исполнение соответствующих документов дословную терминологию ГК РФ и НК РФ;

текст договора должен включать все существенные условия для договоров данного вида (например, договора возмездного оказания услуг);

максимально детализировать предмет договора;

правовой статус организации-аутсорсера не должен вызывать сомнений, в связи с чем целесообразно проверить сам факт существования и деятельности организации, оказывающей услуги;

договор должен быть подписан надлежащими должностными лицами как со стороны заказчика, так и со стороны аутсорсера;

необходимо проверить наличие лицензии у фирмы-аутсорсера в тех случаях, когда это законодательно предусмотрено;

обеспечить соразмерность стоимости оказанных услуг их объему, качеству и трудозатратам;

организовать учет договоров в журнале регистрации договоров, форму которого целесообразно разработать самостоятельно и утвердить в качестве приложения к приказу по учетной политике;

организовать учет выданных доверенностей лицам, уполномоченным подписывать договоры, в специальном журнале регистрации, форму которого целесообразно разработать самостоятельно и утвердить в качестве приложения к приказу по учетной политике, а также учет выданных доверенностей лицам, уполномоченным представлять организацию в налоговых органах;

во избежание серьезных ошибок при оформлении операций приемки-сдачи услуг конкретные исполнители должны иметь возможность ознакомиться с существенными условиями заключенных организацией договоров на оказание услуг;

операции по оказанию аутсорсинговых услуг должны быть тщательно документированы.

Обязательное дополнение к контракту и соглашению об уровне предоставления услуг необходимо подписать соглашение о нераспространении конфиденциальной информации, которое гарантирует защиту коммерческой информации от её попадания к конкурентам.

В аутсорсинговых контрактах используются различные схемы ценообразования, которые делятся на три основные группы:

традиционная схема, основанная на себестоимость услуг поставщика плюс некоторый фиксированный процент дохода.

фиксированный гонорар за определенный объем услуг, уровень и качество таковых.

схемы, предполагающие разделение рисков и бонусов, выраженных в количественных единицах (разновидность фиксированного гонорара за количество совершенных операций с учетом премий за перевыполнение и штрафов за недовыполнение).

После подписания контракта начинается этап непосредственного предоставления поставщиком услуг, то есть этап выполнения контракта. При этом особое внимание следует уделить вопросам контроля и координации совместной деятельности для достижения наилучшего качества предоставляемых услуг.

В рамках выполнения контракта осуществляется взаимодействие с аутсорсером, координация совместной деятельности. При этом необходимо проводить постоянный анализ хода выполнения условий контракта. Если анализ показывает, что привлеченная организация не обеспечивает должного качества, не соблюдает необходимые сроки, то руководству необходимо срочно внести коррективы в работу и в случае необходимости применить соответствующие санкции, которые должны быть предусмотрены контрактом.

По итогам выполнения всех условий контракта проводится анализ результатов работы и их сопоставление с запланированными показателями. На основании данной работы осуществляется корректировка и доработка системы, касающаяся совершенствования методического и организационного обеспечения аутсорсинга.

Таким образом, мы провели анализ целесообразности передачи процесса снабжения компании на аутсорсинг. Результатом исследования стал вывод о том, что данной компании использовать аутсорсинг в своей деятельности целесообразно.

Кроме того, представлены рекомендации по формированию контракта на аутсорсинг, который должен соответствовать трем основным требованиям:

стимулировать поставщика к качественному оказанию услуги;

предоставлять достаточную гибкость, чтобы не сдерживать развитие бизнеса заказчика и не ограничивать поставщика в применении новых технологий и методов;

быть достаточно простым, чтобы содержащиеся в нем метрики позволяли однозначно оценивать качество оказания услуги.

Заключение


Итак, в первой главе дипломной работе даны определение, классификация аутсорисинга, а также приведены основные направления развития аусторсинговых услуг на российском рынке с приведением статистических данных. Рассмотрены плюсы и минусы аутсорсинга с точки зрения реальных и потенциальных потребителей таких услуг на российском рынке. Выявлены проблемы становления этого сектора рынка в России.

Аутсорсинг - это передача на договорной основе непрофильных функций другим организациям, которые специализируются в конкретной области и обладают соответствующим опытом, знаниями, техническими средствами.

Актуальность рассмотрения аутсорсинга связана с его широким распространением в мире, поскольку его применение позволяет в значительной степени повысить конкурентоспособность производственных предприятий за счет снижения издержек, рационализации производственной и управленческой деятельности, фокусирования на инновациях.

Основой концепции аутсорсинга является разделение функций организации на основные и второстепенные, и дальнейшая передача второстепенных функций внешней организации, которая специализируется на этих функциях и более эффективно решает поставленные перед ней задачи.

Со временем концепция аутсорсинга расширилась до передачи специализированным компаниям в отдельных случаях и основных функций организации. Однако, как правило, на аутсорсинг передаются непрофильные, стандартно реализованные процессы и функции, которые не связаны с ключевой деятельностью организации.

Такой подход позволяет организации сконцентрироваться на основном бизнесе и не тратить свои ресурсы на поддержку вспомогательных процессов, сократить издержки, решить проблемы, связанные с получением современных технических знаний.

В настоящее время аутсорсинг распространен во многих сферах современного бизнеса. Поставщики услуг аутсорсинга (аутсорсеры) предлагают свои услуги в области информационных технологий, маркетинга, логистики, производстве комплектующих, бухгалтерского учета и отчетности, управления персоналом, административно-хозяйственного обслуживания, юридического обеспечения.

Аутсорсинг зарекомендовал себя как эффективное средство повышения конкурентоспособности организаций. К числу преимуществ относится:

снижение себестоимости функций, передаваемых поставщику аутсорсинговых услуг;

снижение необходимости в собственных сложных технологиях и процедурах;

получение доступа к технологическим, интеллектуальным, техническим и другим ресурсам высокого профессионального уровня;

сокращение инфраструктуры и издержек по её содержанию;

возможность концентрироваться на основных направлениях деятельности организации;

повышение гарантированных качественных услуг;

экономия на рабочей силе, техническом персонале и обучении, возможность использовать высвободившиеся ресурсы для других видов деятельности.

Однако, наряду с целым рядом преимуществ, аутсорсинг несет в себе и определенные риски такие, как возникновение зависимости от аутсорсера, потеря контроля над деятельностью и собственными ресурсами, риск утечки информации и появления нового конкурента, использующего опыт и знания предприятия, ущерб имиджу, проблемы с потерей квалификации.

Процесс организации перехода на аутсорсинг требует тщательной подготовки и состоит из ряда этапов, продолжительность которых для разных организаций может быть различной.

Основными этапами процесса перехода к аутсорсингу являются:

) Экономическое обоснование принятия решения об аутсорсинге.

) Выбор одного или нескольких поставщиков услуг.

) Проведение предконтрактных работ и заключение контракта.

) Переходный период.

) Управление исполнением контракта.

) Продление или завершение контракта.

Ключевым критерием при принятии решения о передачи той или иной бизнес-функции в аутсорсинг выступает оценка эффективности использования данного инструмента. Такая оценка должна проводиться с учетом индивидуальных особенностей каждого предприятия и включать в себя не только учет явной экономии (за счет сокращения потребления ресурсов), но и учет скрытой экономии, связанной, прежде всего с сокращением числа объектов управления и контроля.

Кроме того, необходимо принять во внимание, что критерий ценового выигрыша от использования аутсорсинговых услуг по сравнению с выполнением работ своими силами совсем не обязательно является определяющим. В большинстве случаев в начальный период экономии на аутсорсинге не происходит. Как любое новшество, аутсорсинг также не даст немедленного эффекта.

Вторая глава посвящена анализу деятельности ОАО ПО "ЭХЗ", необходимости вывода из его состава непрофильных подразделений в результате реструктуризации предприятия, передаче некоторых бизнес-процессов на аутсорсинг.

В третьей главе, в рамках исследования, на примере ООО "ECP PLASTICS" (цеха по производству пластикового ПВХ-профиля ОАО ПО "ЭХЗ"), методом сопоставление возможных затрат мы провели анализ целесообразности передачи на аутсорсинг процесса снабжения, что является отправной точкой в принятии решения об аутсорсинге.

В результате расчета, предварительный показатель экономического эффекта от внедрения аутсорсинга составил 660 тыс. руб. При этом предприятие смогло высвободить двух специалистов службы снабжения и уменьшить количество видов работ, выполняемых оставшимися сотрудниками.

Кроме того, для успешной работы в условиях аутсорсинга необходим хороший, проработанный контракт, который помогает установить баланс между силами организации и поставщика аутсорсинговых услуг. В работе мы подробно рассмотрели особенности формирования контракта на услуги аутсорсинга.

Таким образом, реализация рассматриваемого проекта является эффективной и может быть рекомендована для применения.

Список использованных источников


1.       Аалдерс Р. ИТ аутсорсинг: практическое руководство / Р. Аалдерс. - М.: Альпина Бизнес Букс, 2005. - 300 с.

2.       Аксенов Е. Аутсорсинг: 10 заповедей и 21 инструмент / Е. Аксенов, И. Альтшулер. - СПБ: Питер, 2009. - С.464.

.        Аникин Б.А. Аутсорсинг и аутстаффинг: высокие технологии менеджмента: Учеб. пособие / Б.А. Аникин, И.Л. Рудая. - М.: ИНФРА-М, 2007. - 288 с. С.6-9.

.        Аутсорсинг: создание высокоэффективных и конкурентоспо-собных организаций / Под. ред. Б.А. Аникина. - М.: ИНФРА-М, 2003. - 187 с.

5.      Бережнов Г.В. Интернализация и экстернализация как инструменты повышения конкурентоспособности бизнеса / Г.В. Бережнов // Журнал Российское предпринимательство. - 2003. - №5. - С.82-86.

.        Бондаренко В. Аутсорсинг: внешние ресурсы для ваших потребностей / В. Бондаренко // Бизнес для всех. - 2006. - №2. - С.22.

.        Бравар Ж. - Л. Эффективный аутсорсинг: понимание, планирование и использование успешных аутсорсинговых отношений / Ж. - Л. Бравар, Р. Морган. - М.: Баланс Бизнес Букс, 2007. - 251с.

.        Бухвалов А.В. Новые тенденции в концептуализации стратегического управления инновациями / А.В. Бухвалов, В.С. Катькало // Российский журнал менеджмента. - 2004. - №4. - С.59-66.

.        Войтоловский Н.В. Рационализация деятельности промышленного предприятия на основе аутсорсинга / Н.В. Войтоловский, Е.С. Шленскова. - СПб.: СПбГУЭФ, 2004. - 159 с.

.        Войтоловский Н.В. Теоретические аспекты формирования, развития и использования аутсорсинга в промышленности / Н.В. Войтоловский, Е.С. Шленскова; Под ред.А.Е. Карлика. - СПб.: СПбГУЭФ, 2003. - С.30.

.        Гаевая Ю. Бизнес на вынос / Ю. Гаевая // Власть Денег. 2008. - №49. - С.48-50.

.        Гурков И.Б. Инновационное развитие и конкурентоспособность. Очерки развития российских предприятий / И.Б. Гурков. - М.: ТЕИС, 2003. - 148 с.

.        Дёмчева Е.А. Научно-технический аутсорсинг как инструмент повышения конкурентоспособности компании / Е.А. Дёмчева, В.Б. Люкманов // Предпринимательство. - 2008. - №6. - С.27.

.        Джурисон Й. Информационные технологии в бизнесе. Аутсорсинг в сравнении с инсорсингом / Й. Джурисон. - СПб.: Питер, 2002. - С.967-975.

.        Ермошкин Н. Что дает аутсорсинг? / Н. Ермошкин // Ведомости. - 2004. - №5. - С.18

.        Зацепа С. Рентабельность малого бизнеса и ИТ-аутсорсинг / С. Зацепа // Управление компанией. - 2006. - №7. - С.56-58.

.        Йооп Д. Схааке Аутсорсинг в развитых странах Европы / Йооп Д. Схааке // Проблемы теории и практики управления. - 2005. - №4. С.77-83.

.        Казанцева С.М. Проектирование организационных систем на основе аутсорсинга бизнес-процессов / С.М. Казанцева. - Тюмень: ТГИМЭУП, 2003. - 208 с.

.        Календжян С.О. Аутсорсинг и делегирование полномочий в деятельности компаний / С.О. Календжян. - М.: Дело, 2003. - 272 с. С.16-18.

.        Карасюк Е. Бизнес чужими руками / Е. Карасюк // Секрет фирмы. - 2002. - №11. - С.21.

.        Козориз Т.С. Аутсорсинг: понятие, цели, практика использования в России / Т.С. Козориз // Акционерное общество: вопросы корпоративного управления. - 2006. - №1. - С.31.

.        Курьянович В. Реструктуризация фирмы и переход на аутсорсинг / В. Курьянович // Sales business продажи. - 2005. - №4. - С.5.

.        Людковская А. Разрыв полного цикла (промышленные компании переходят к аутсорсингу) А. Людковская, О. Промптова // Ведомости. - 2002. - №1. - С.21.

.        Ляпоров В. Аутсорсинг бизнес процессов / В. Ляпоров. - М.: Издательство "Бестселлер", 2004. - 192 с.

.        Маренков Н.Л. Методология создания рынка инноваций в России / Н.Л. Маренков. - М.: Высшая школа, 2005. - С.97-100.

.        Миронова Ю. Как живут другие "дочки"? / Ю. Миронова // Новости отрасли. - 2011. - №4. - С.18.

.        Митрофанова Е. Как оптимизировать бизнес-модель компании / Е. Митрофанова // Фин. директор. - 2005. - №7-8. - С.25-32.

.        Михайлов Д.М. Аутсорсинг. Новая система организации бизнеса / Д.М. Михайлов. - М.: КНОРУС, 2006. - 256 с.

.        Мухина И.С. Анализ существующих подходов к оценке эффективности использования аутсорсинга / И.С. Мухина // Корпоративное управление. 2008. - № 6. - С.111-114.

.        Мясникова Л.А. Постмодерн коммерции (трансформация коммерции в современном обществе) / Л.А. Мясникова и др. - СПб.: Бизнес-пресса, 2001. - С.116.

.        Новиков А. Оценка необходимости применения аутсорсинга / А. Новиков // Коммерческий директор. - 2006. - №3. - С.12.

.        Овчинникова Т.И. Аутсорсинг - инструмент повышения конкурентоспособности предприятий / Т.И. Овчинникова, И.А. Давыденко, К.В. Чекудаев // Практический маркетинг. - 2010. - №10. - С. 20.

.        Очнев В.В. Развитие сбалансированных технологий менеджмента на основе инструментов аутсорсинга / В.В. Очнев, Р.В. Нуждин // Вестник ЦИРЭ. - 2007. - №1. - С.17-21.

.        Первов П.А. Разработка методов принятия управленческих решений по применению аутсорсинга на предприятиях: автореф. … канд. экон. наук. / П.А. Первов. - Н. Новгород, 2005. - 25 с.

.        Подолина О. Аутсорсинг: границы применимости / О. Подолина // Финансовая газета. - 2006. - №37. - С.9.

.        Портер М. Конкурентное преимущество: Как достичь высокого результата и обеспечить его устойчивость / М. Портер. - М.: Альпина Бизнес Букс, 2005. - 715 с.

.        Райзберг Б.А. Современный экономический словарь/ Б.А. Райзберг, Л.Ш. Лозовский, Е.Б. Стародубцева. - М.: ИНФРА-М, 2007. - С.495.

38.    Романова А.Н. Целесообразность аутсорсинга на предприятии / А.Н. Романова, С.А. Студеникина // Справочник экономиста. - 2010. - №11. - С. 19-23.

.        Рудомёткина А. Н.: Применение аутсорсинга: последние исследования / Рудометкина А.Н. - М.: ГУУ, 2009. - С.140-142.

.        Сорокина Н.Г. Аутсорсинг как стратегическая модель обеспечения конкурентоспособности российских предприятий / Н.Г. Сорокина, Т.И. Валишевская // Вестник Оренбургского государственного университета. - 2007. - №6. - С.83-89.

.        Сорокина Н.Г. Механизм реализации аутсорсинга на промышленном предприятии / Н.Г. Сорокина // Вестник Оренбургского государственного университета. - 2008. - №9. - С.112-117.

.        Хейвуд Дж.Б. Аутсорсинг. В поисках конкурентных преимуществ / Дж.Б. Хейвуд. - М.: Вильямс, 2004. - 306 с. с.40.176

.        Хлебников Д. Матрица аутсорсинга / Д. Хлебников // Стратегия. - 2005. - №11. - С.34-39.

.        Хорев А.И. Современные стратегии в АПК на основе интеграционных механизмов: монография / А.И. Хорев, А.И. Пахомов, А.В. Марков. - Воронеж: Воронеж. гос. технол. акад., 2005. - 143 с.

.        Черенков В. Риски и шансы глобального ИТС-аутсорсинга для российских предприятий / В. Черенков, Ю. Зимченко // Инновации. - 2007. - №1. - С.35-43.

.        Шадрин В.Г. Аутсорсинг: управление процессами и формирование регионального центра: автореф. канд. экон. наук / В.Г. Шадрин. - Кемерово, 2006. - 22 с.

.        Шленскова Е.С. Аутсорсинг как модель функционирования бизнеса Е.С. Шленскова // Экономика и управление. - СПб.: СПбГУЭФ, 2003. - С.10.

.        Штерн К. Стратегам, которые работают: Подход BCG. / К. Штерн, Дж. Сток-мл. - М.: Манн, Иванов и Фербер, 2007. - 496 с.

.        Щербина С. Преимущества IT-аутсорсинга для банковского бизнеса / С. Щербина // Банковские технологии. - 2007. - №5. - С.26-28.

.        Афонина М. Аутсорсинг - стратегия менеджмента в условиях динамичной неопределенности. [Электронный ресурс] - Режим доступа: http://www.designandsoft.com/ru/info/outsourcing/management-strategy. shtml

.        Окулов Д. В Аутсорсинг и производительность труда на предприятиях электроэнергетической промышленности. [Электронный ресурс] - Режим доступа: http://www.mevriz.ru/articles/2007/4/4268.html

.        Середа С. Шалманов С. Семь "за" и семь "против" аутсорсинга. http://www.cnews.ru /reviews/free/gov2006/articles/seven. shtml#2

.        Сироткин Д. Практика и сценарии развития производственного аутсорсинга. [Электронный ресурс] - Режим доступа: http://www.clogic.ru

.        Фирсова С.А. Инструменты оценки аутсорсинга непрофильных бизнес-функций. http://www.mrconsulting.ru/lib/articles/? id=3

.        Официальный сайт ОАО "ПО "Электрохимический завод". [Электронный ресурс] - Режим доступа: http://www.ecp.ru/


Не нашли материал для своей работы?
Поможем написать уникальную работу
Без плагиата!
Без нейросетей!