Технология грузовой и коммерческой работы станции

  • Вид работы:
    Дипломная (ВКР)
  • Предмет:
    Транспорт, грузоперевозки
  • Язык:
    Русский
    ,
    Формат файла:
    MS Word
    366,72 kb
  • Опубликовано:
    2011-10-14
Вы можете узнать стоимость помощи в написании студенческой работы.
Помощь в написании работы, которую точно примут!

Технология грузовой и коммерческой работы станции

Государственное образовательное учреждение высшего профессионального образования

“Петербургский государственный университет путей сообщения”

Кафедра "Логистика и коммерческая работа"






ПОЯСНИТЕЛЬНАЯ ЗАПИСКА

к курсовому проекту по дисциплине

«Управление грузовой и коммерческой работой»

на тему:

«ТЕХНОЛОГИЯ ГРУЗОВОЙ И КОММЕРЧЕСКОЙ РАБОТЫ СТАНЦИИ»

Выполнила студентка

Ермолова Е.А

Руководитель

Коровяковский Е.А.



Санкт-Петербург

Оглавление

 

1.РАСЧЕТЫ СУТОЧНОГО ОБЪЕМА РАБОТЫ СТАНЦИИ

.1       Расчеты суточных размеров выгрузки, погрузки

.2       Расчет средней статической нагрузки вагона в целом по станции

.3       Распределение порожних вагонов по грузовым пунктам

.4       Основные показатели объема работы станции

.5       Определение классности станции

.6       Диаграмма внутристанционных вагонопотоков

.СПЕЦИАЛИЗАЦИЯ И ТЕХНИЧЕСКОЕ ОСНАЩЕНИЕ ГРУЗОВОГО ДВОРА

.1       Специализация путей и складов

.2       Техническое оснащение грузового двора

.3       Нормирование сроков грузовых операций с вагонами

.ТЕХНОЛОГИЯ РАБОТЫ ГРУЗОВОГО ДВОРА

.1       Технология работы контейнерного пункта

.1.1    Расчет суточных объемов работы контейнерного пункта.

.1.2    Организация работы контейнерного пункта.

.1.3    Разработка календарного расписания приема к перевозке грузов в контейнерах.

.1.4    Календарное расписание приема контейнеров к перевозке        

.ОРГАНИЗАЦИЯ ЦЕНТРАЛИЗОВАННОГО ЗАВОЗА И ВЫВОЗА ГРУЗОВ АВТОТРАНСПОРТОМ

.1 Расчет парка автомобилей для завоза и вывоза контейнеров

.ТЕХНОЛОГИЯ РАБОТЫ СТАНЦИИ И ПОДЪЕЗДНЫХ ПУТЕЙ

.1       Составление графиков обработки вагонов на станции и подъездном пути

.ИССЛЕДОВАТЕЛЬСКАЯ РАБОТА

СПИСОК ЛИТЕРАТУРЫ


1.       РАСЧЕТЫ СУТОЧНОГО ОБЪЕМА РАБОТЫ СТАНЦИИ

 

1.1     Расчеты суточных размеров выгрузки, погрузки


При выполнении расчетов, связанных с организацией работы железнодорожной станции, необходимо знать размеры суточного вагонооборота, зависящего от рода и количества грузов, а также от типов вагонов, используемых для перевозки.

Тип подвижного состава, в котором прибывают на станцию грузы, выбирается с таким расчетом, чтобы обеспечивалась сохранность грузов, лучше использовалась грузоподъемность вагонов, имелась возможность для применения высокопроизводительных средств механизации погрузочно-разгрузочных работ.

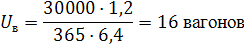
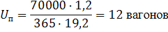
Размеры прибытия (выгрузки), отправления (погрузки) грузов, ваг/сут, рассчитывается в среднем за сутки максимального месяца по формулам:

 (1)

 (2)

где , - соответственно суточная выгрузки, погрузка данного груза;

, - годовой оббьем прибытия (выгрузки), отправления (погрузки) данного груза, т ( по заданию);

 - коэффициент месячной неравномерности перевозок. Величину его можно принять 1,1… 1,2; для хлебных и скоропортящихся грузов - 1,5….2,5;

- плановая статическая нагрузка вагона, т.

Плановая статическая нагрузка вагона, т/ваг, определяется на основании данных о составе и использовании вагонного парка по родам грузов, перерабатываемых на станции, по формуле :

 (3)

где  средняя грузоподъемность четырех- и восьмиосных вагонов, т;

 - соответственно коэффициент использования грузоподъемности вагонов;  - соответственно удельный вес вагонов в долях единицы.

1.2     Грузовой двор

Для тарно-упаковочных повагонных отправок:

Тарно-упаковочные мелких отправок:

Тяжеловесные:

Среднетоннажные контейнеры

Крупнотоннажные контейнеры

Лес круглый (короткий):

Лес круглый (длинномерный):

Пиломатериалы:

Фанера, тарная дощечка:

Каменный уголь:

Песок:

Цемент, известь:


1.3 Подъездной путь №1 (ПНОП №1)

Зерно:


1.4 Подъездной путь №2 (ПНОП №2)

Каменный уголь:

Результаты расчетов приводятся в таблице 1.

Таблица 1

Расчёт суточных размеров выгрузки, погрузки

Грузовые пункты и род груза

Годовой грузооборот, т

Суточный грузооборот, т

Статическая нагрузка

Выгрузка ()

Погрузка (

Тарно-упаковочные: а) повагонные отправки б)мелкие

Прибытие

Отправление

Прибытие

Отправление

   43,4 6,4

   19 16

   15 11


 24000 30000

 190000 20000

 789,04 98,63

 624,66 65,75




Тяжеловесные, средняя масса места 1,5; 2,5; 3,5 т.

 110000

 70000

 361,64

 230,14

 19,2

 19

 12

Грузы в контейнерах: а)среднетоннажных б)крупнотоннажных

  140000 120000

  130000 120000

  460,27 394,52

  427,40 394,52

  19,2 25,6

  24 16

  23 16

Лес круглый: а) длинномерный б) короткий

 390000 140000

 - -

 1282,19 460,27

 - -

 48 48

 27 10

 - -

Пиломатериалы Фанера, тарная доска

- -

320000 80000

- -

1052,05 263,01

43,4 43,4

- -

25 7

Каменный уголь

-

540000

-

1775,34

68,27

-

27

Строительные материалы: а) песок б)цемент

  320000 90000

  - -

  1052,05 295,89

  54,4 64

  20 5

  - -

Техника на колёсном ходу

-

30000

-

98,63

19,2

-

6

Итог по грузовому фронту:

1580000

1500000

5194,50

4931,5


156

142

ПНОП №1 (зерно)

-

1080000

-

3550,68

61,44

-

58

ПНОП №2 (каменный уголь)

330000

-

1084,93

-

68,27

16

-

Итог по станции:

1910000

2580000

6279,43

8482,18


172

200


1.5 Расчет средней статической нагрузки вагона в целом по станции


Средняя статическая нагрузка вагона, т/ваг, по отправлению определяется по формуле:

 (4)


где  - сумма произведений статической нагрузки на размеры погрузки отдельных грузов, т;

 - общая погрузка станции, ваг (см. табл. 1)

1.6 Распределение порожних вагонов по грузовым пунктам


Погрузка грузов, отправляемых со станции и путей необщего пользования, как правило, обеспечивается вагонами, освободившимися после выгрузки прибывших грузов. Распределение порожних вагонов под погрузку должно производиться с учетом физических свойств грузов, подлежащих отправлению, максимального использования вагонов по вместимости. При недостатке вагонов определенного рода можно предусмотреть их подвод с сортировочной станции, лишние порожние вагон отправляют на сортировочную станцию.

Для определения избытка или недостатка порожних вагонов на станции составляется балансовая таблица (табл. 2). Баланс порожних вагонов ( по каждому роду груза, типу вагона) по грузовому пункту и в целом по станции определяется в результате сопоставления размеров выгрузки и погрузки. Если выгрузка больше погрузки, то на станции будет излишек порожних вагонов, если выгрузка меньше погрузки - недостаток. Для грузов, перевозка которых осуществляется в контейнерах, необходимо определить суточный вагонопоток с порожними контейнерами, прибывающими для обеспечения погрузки или отправляемыми после выгрузки:

, (5)

где - количество вагонов, ваг\сут, с порожними контейнерами

- количество вагонов, ваг\сут, с гружеными контейнерами, прибывающих под выгрузку или отправляющихся после погрузки.

Результаты расчетов сведены в балансовую таблицу 2.

Таблица 2

Вагонооборот по станции

Грузовые пункты и род груза

Род вагона

Выгрузка, (прибытие), ваг.

Погрузка, (отправление), ваг.

Недостаток порожних вагонов ( - )

Избыток порожних вагонов (+)

Грузовой двор: Тарно-упаковочные: а)повагонные отправки б)мелкие

 КР  КР

 19  16

 15  11

 -  -

 4  5

Тяжеловесные, средняя масса места 1,5; 2,5; 3,5.

 ПЛ

 19

 12

 7

Грузы в контейнерах: а)среднетоннажных б)крупнотоннажных

 ПВ ПЛ

 24 16

 23 16

 - -

 1 0

Лес круглый а)длинномерный б)короткий

 ПЛ ПВ

 27 10

 - -

 - -

 27 10

Пиломатериалы Фанера, тарная дощечка

КР КР

- -

25 7

25 7

- -

Каменный уголь

ПВ

-

27

27

-

Строительные материалы: а) песок б) цемент

 ПЛ КР

 20 5

 - -

 - -

 20 5

Техника на колёсном ходу

ПЛ

-

6

6

-

Итог по грузовому двору:

КР ПЛ ПВ

40 82 34

58 34 50

18 - 16

- 48 -

ПНОП №1 (зерно)

КР

-

58

58

-

ПНОП №2 (каменный уголь)

ПВ

16

-

-

16

Итог по станции (по родам вагонов):

КР ПЛ ПВ

40 82 50

116 34 50

76 - -

- 48 -

Всего вагонов по станции:

-

172

200

76

48


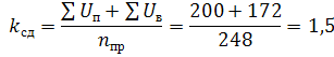
1.7 Основные показатели объема работы станции


На основе балансовой таблицы определяют следующие показатели работы станции:

·        общую погрузку, ваг/сут   = 200 (ваг/сут);

·        общую выгрузку, ваг/сут -  = 172 (ваг/сут);



;

·        общее отправление вагонов, ваг/сут:


,

где ,  общее прибытие и отправление порожних вагонов (см. табл.

);

·        грузооборот станции, ваг/сут:

;

·        вагонооборот станции, ваг/сут:

;

·        коэффициент сдвоенных операций:


·        среднюю статическую нагрузку вагона, т/ваг., на станции по отправлению:


·        размеры движения передаточных поездов, поезд., между сортировочной и грузовой станцией:


где  оптимальный состав передаточного поезда, ваг (данные берём из задания).

1.8 Определение классности станции


Классность станции устанавливается на основе суммирования баллов по определенным показателям, характеризующим объем работы станции.

Результаты расчетов приведены в таблице 3.

Таблица 3

Расчёт количества баллов и классности станции по показателям работы

№ пп

Показатели

Единица измерения

Количество баллов за единицу

Количество начисленных балов

1.   1.1

Отправление и пропуск поездов в среднем в сутки (в годовом исчеслении): со сменой локомотивов или бригад

   10 поездов

   1,0

   0,7

2.    2.1  2.2.1

Грузовая работа (погрузки и выгрузка) в среднем в сутки (в годовом исчислении): на железнодорожных путях общего пользования при погрузке и выгрузке вагонов на путях, обслуживаемых локомотивом железной дороги

    5 вагонов   10 вагонов

    2,0   1,0

    119,2   7,4

Итого:




127,3


По сумме баллов классность станции определяется: свыше 100 баллоы - внеклассная; 40…100 баллов - 1 класса; 18…40 баллов - 2 класса; 8…18 баллов - 3 класса; 1,5…8 баллов - 4 класса; до 1,5 баллов - 5 класса.

Таким образом, станция является ВНЕКЛАССНОЙ.

1.9 Диаграмма внутристанционных вагонопотоков


Диаграмма внутристанционных вагонопотоков построена на основании табл. 2 и приводится на рис. 1. На диаграмме в масштабе показаны прибытие и отправление груженых вагонов по родам грузов, порожних - по родам вагонов с распределением по грузовым пунктам. Также показано перемещение порожних вагонов внутри станции.

2.       СПЕЦИАЛИЗАЦИЯ И ТЕХНИЧЕСКОЕ ОСНАЩЕНИЕ ГРУЗОВОГО ДВОРА

 

2.1 Специализация путей и складов


Оптимальная специализация путей и мест погрузки (разгрузки) способствует сокращению маневровых перемещений локомотива при подаче (уборке) вагонов, более удобному подъезду автотранспорта, улучшению использования средств механизации погрузочно-разгрузочных работ.

Специализация путей станции приведена в таблице 4.

Таблица 4

Складская площадка (грузовой двор)

Номер путей

Вид перегружаемых грузов

Контейнерная площадка

34,35

Среднетоннажные и крупнотоннажные контейнеры

Открытые площадки

23,24

1. тяжеловесные грузы; 2. лес круглый: - длинномерный; - короткий; 3. каменный уголь; 4. песок

Крытые склады

21,22

Пиломатериалы, фанера

Крытые склады

25,26

Цемент

Площадка для самоходных грузов

29

Техника на колёсном ходу

Склад на п/п №1

41, 42, 39

Зерно

Склад на п/п №2

48

Каменный уголь

4, 5, 6, 7, 8, 9, 10, 11, 12

Сортировочные

-

3

Пути общего

-

1,2

Главные пути

-

15, 45

Весовой путь

-

19

Повышенный путь и площадка

-

31,32,33,26,27,17,18,47,48,37

Выставочные пути

-

15,36

Ходовые пути

-

13,14,44

Вытяжные пути


2.2 Техническое оснащение грузового двора


Типы и параметры складов на грузовом дворе, а так же средства механизации погрузо-разгрузочных работ выбираются с учетом знаний курса «Комплексная механизация погрузо-разгрузочных работ выбираются с учетом знаний технико-экономического сравнения вариантов) на основе среднесуточного объема работы по каждому роду груза.

Необходимое количество погрузо-разгрузочных механизмов может быть рассчитано по формулам:

-        для обеспечения погрузки, выгрузки различных грузов, кроме контейнеров

 (6)

-        для обеспечения погрузки, выгрузки контейнеров

 (7)

где - количество механизмов для обеспечения погрузки, выгрузки вагонов, автомобилей;

 - коэффициент непосредственного перегруза грузов по прямому варианту из вагона в автомашину и обратно, минуя склад; можно принять про расчетах его равным 0,1…0,2;

- сменная норма выработки механизма, т, установленная Едиными нормами выработки и времени (ЕНВ);

- сменная норма выработки механизма в контейнерооперациях, установленная ЕНВ;

- число смен работы механизмов по погрузке-выгрузке вагонов и автомобилей


где - продолжительность работы грузового двора по приему и выдаче грузов в течение суток, ч;

- коэффициент суточной неравномерности. Эту величину принять 1,2…1,4;

-статическая нагрузка контейнера, т. Для среднетоннажных контейнеров ее можно принять равной 2,7, для крупнотоннажных - 15,0 т.

Тарно-упаковочные грузы (повагонная отправка): электропогрузчики грузоподъемностью 1,5 т

Тарно-упаковочные грузы (мелкая отправка): электропогрузчики грузоподъемностью 1,5 т

Тяжеловесные грузы: козловые экраны грузоподъемностью 5-10 т

Среднетоннажные контейнеры: козловые краны грузоподъемностью 5-10 т

Крупнотоннажные контейнеры: козловые экраны грузоподъемностью 25 т

Лес круглый (длинномерный): двухконсольный козловой электрокран до 12,5 т:

Лес круглый (короткий): двухконсольный козловой электрокран до 5 т:

Пиломатериалы: козловые краны

Фанера, тарная дощечка: электропогрузчики грузоподъёмностью до 1,5 т

Каменный уголь: выгрузка осуществляется на повышенном пути через люки полувагонов. Необходимо лишь рассчитать количество механизмов для погрузки каменного угля в автомобили. Для этого используются козловые краны с емкостью грейфера 1,9 м3

Песок: козловые краны с емкостью грейфера 1,9 м3

Цемент: электропогрузчики грузоподъемностью 1,5 т

Перерабатывающая способность грузового пункта рассчитывается по площади (емкости) склада и по средствам механизации. Меньшая из этих величин определяет перерабатывающую способность. Для складов прибытия и отправления перерабатывающая способность рассчитывается отдельно, если на данном складе одновременно осуществляется выгрузка и погрузка. В курсовом проекте расчет производится для одного из грузов по заданию.

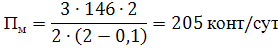
Перерабатывающая способность грузового пункта, ваг./сут, конт./сут, по средствам механизации определяется по формулам:

для контейнеров

 (8)

Перерабатывающая способность склада по площади (емкости) склада, ваг/сут, рассчитывается по формуле:

для грузов, перевозимых в контейнерах


где  - площадь склада, м2;

 - коэффициент, учитывающий площадь, необходимую для проходов и проездов погрузочно-разгрузочных машин;

 - среднее время хранения груза, сут;

 - площадь, занимаемая одним контейнером, м2. Для контейнера массой брутто 5 т она равна 5,4 м2 , массой брутто 20 т - 14,5 м2.

Нормативы средней нагрузки, коэффициентов приходов и сроков хранения приведены в прил. 3.

Результаты расчётов приведены в таблице 5.

2.3 Нормирование сроков грузовых операций с вагонами


Расчет продолжительности грузовых операций с вагонами производится с учетом наличия погрузочно-разгрузочных машин на грузовом пункте, их производительности и массы груза в вагонах, поданных под грузовые операции.

Норма времени на грузовые операции для группы вагонов, поданных под выгрузку или погрузку:

для различных грузов, кроме контейнеров

 (16)


Откуда

; ;

для контейнеров

 (17)


Откуда

;

где - количество вагонов в подаче, которое определяется в результате деления суточной выгрузки или погрузки в вагонах на количество подач к фронту . При этом минимальное количество подач можно найти в результате деления суточной выгрузки или погрузки на величину фронта подачи (см. задание)

- техническая производительность погрузочно-разгрузочной машины, т/ч (или конт.-опер./ч);;

- среднее количество контейнеров в вагоне; для среднетоннажных можно принять , для крупнотоннажных ;

- количество механизмов для обеспечения погрузки(выгрузки) вагонов.

Повагонная отправка:

;

;

Результаты расчётов приведены в таблице 6.

3.       ТЕХНОЛОГИЯ РАБОТЫ ГРУЗОВОГО ДВОРА

 

3.1 Технология работы контейнерного пункта

 

3.1.1 Расчет суточных объемов работы контейнерного пункта

- выгрузка (прибытие) груженых контейнеров, конт./сут:

 (10)

погрузка (отправление) груженых контейнеров, конт./сут

 (11)

где  - среднее количество контейнеров в одном вагоне (для средне тоннажных )


3.1.2  Организация работы контейнерного пункта

Переработка контейнеров на станциях железных дорог организуется на контейнерных пунктах, где осуществляется: погрузка, выгрузка местных и сортировка транзитных контейнеров, кратковременное хранение, завоз-вывоз, технический и коммерческий осмотры, а также текущий ремонт контейнеров, оформление грузовых перевозочных и транспортно-экспедиционных документов, информация грузополучателей и другие операции, обеспечивающие сохранность грузов и контейнеров.

Контейнерный пункт должен иметь комплекс технических устройств, включающих: площадку для краткосрочного хранения контейнеров, железнодорожные погрузочно-выгрузочные пути, подкрановые пути, грузоподъемные машины, автопроезды, стоянки для прицепов и полуприцепов, служебные и бытовые помещения.

Взаимное расположение железнодорожных погрузочно-выгрузочных путей, автопоездов и контейнеров определяется типом контейнерного пункта (грузовой, грузосортировочный, сортировочный), параметрами перегрузочного оборудования.

При наличии на контейнерном пункте нескольких площадок производится их специализация.

Осмотр контейнеров, сверка данных накладной и наряда должны осуществляться приемосдатчиком контрольно-пропускного пункта со специальной смотровой площадки при въезде автомобиля в грузовой район и выезде из него.

Похожие работы на - Технология грузовой и коммерческой работы станции

 

Не нашли материал для своей работы?
Поможем написать уникальную работу
Без плагиата!
Без нейросетей!