Проектирование электрохимической защиты подземного газопровода

  • Вид работы:
    Дипломная (ВКР)
  • Предмет:
    Другое
  • Язык:
    Русский
    ,
    Формат файла:
    MS Word
    495,72 kb
  • Опубликовано:
    2012-03-07
Вы можете узнать стоимость помощи в написании студенческой работы.
Помощь в написании работы, которую точно примут!

Проектирование электрохимической защиты подземного газопровода

Министерство образования и науки РФ

ФГОУ СПО «Кировский сельскохозяйственный техникум»




Курсовой проект

по предмету:

Эксплуатация оборудования и систем газоснабжения

на тему:

Проектирование электрохимической защиты подземного газопровода

Пояснительная записка КП 41.27011112.00




Разработал: Бодров В.А.

Группа Г-41

Проверил: Крючков П.А.





г. Котельнич 2012 г.

Содержание

Введение

. Расчетно-технологическая часть

1.1 Характеристика газопровода

.2 Технико-экономическое обоснование и выбор типа установки электрохимической защиты

.3 Расчет установки электрохимической защиты

.4 Эксплуатация протекторной станции

1.5 Техника безопасности при эксплуатации

.6 Мероприятия по охране окружающей среды при эксплуатации

Заключение

Список литературы

Введение

Разрушение металлических поверхностей под влиянием химического или электрохимического воздействия окружающей среды называется коррозией металла.

Коррозии могут подвергаться наружные и внутренние поверхности труб. Коррозия внутренних поверхностей происходит в результате взаимодействия металла в присутствии влаги с такими агрессивными компонентами как сероводород и кислород.

Наибольшую опасность представляет коррозия внешних поверхностей подземных газопроводов. В зависимости от коррозионных факторов различают почвенную коррозию и коррозию блуждающими токами.

Почвенная коррозия - электрохимическое разрушение стальных газопроводов, вызванное действием почвы, грунтов и грунтовых вод. Коррозия блуждающими токами - электрохимическое разрушение подземных газопроводов, вызванное действием постоянного и переменного токов, источники которых - электрифицированный транспорт.

Электрохимическая коррозия в почве обусловлена взаимодействием металла труб с агрессивными растворами грунта. При этом газопровод выполняет роль электродов, а агрессивные растворы - электролитов. Вблизи участков газопроводов, де происходит процесс растворения металла с выходом ионов, образуются анодные зоны, а там, где процесс растворения происходит менее интенсивно, - катодные зоны. Таким образом, на поверхности трубы образуется гальваническая пара, в которой ток по металлу трубы течет от катодной к анодной зоне, а в электролите (грунте) - от анодной к катодной. В местах выхода тока (анодная зона) будет происходить растворение металла, т. е. разрушение газопровода. В теле трубы образуются каверны и сквозные отверстия.

Для выбора соответствующих мер защиты подземных газопроводов от коррозии необходимо определить коррозионную активность грунта и характер распространения блуждающих токов вдоль трассы газопровода.

На основании данных о коррозионной активности грунта и результатов электрических измерений на газопроводе выбирают способ защиты газопровода от коррозии.

Схема возникновения и распределения блуждающих токов.

Рис. 2 1 - газопровод; 2 - рельс; 3 - тяговая подстанция; 4 - контактный провод; 5 - пути движения блуждающих токов..

1. Расчетно-технологическая часть

.1 Характеристика газопровода

Газопроводы бывают металлические и неметаллические, по способу изготовления стальные трубы подразделяются электросварные и бесшовные. Электросварные трубы могут быть прямошовные и спиральношовные.

Бесшовные трубы делятся на холоднотянутые, холоднокатаные и горячекатаные. Размер трубы характеризуется наружным диаметром, толщиной стен и условным диаметром. Величина условного прохода имеет округленное стандартное значение: 10, 15, 20, 25, 32, 40, 50, 70, 80, 100, 125,150 и т.д. Стальные трубы, используемые для газопровода обязательно должны иметь сертификат, в котором указываются номинальный размер труб, марку стали и ГОСТ на сталь, результат испытаний труб (механического и гидравлического), номер партии труб, отметку ОТК заводов.

Стальные газопроводы соединяют при помощи сварки (электродуговой или газовой). Газовую сварку применяют для труб диаметром до 150 мм и толщиной стенки не более 5 мм. Чаще всего используется электродуговая сварка.

В моем курсовом проекте газоснабжение девяти домов по 50 квартир в каждом доме осуществляется сжиженным газом от групповой резервуарной установки, состоящей из трех стальных резервуаров по 5 м3 и имеющий одну редукционную головку. Групповая резервуарная установка находится на расстоянии 17,2 м от здания. На газопроводе обвязки резервуаров по паровой фазе установлена стальная задвижка клиновая с выдвижным шпинделем фланцевая марки 30с41нж. С газопровода обвязки резервуаров по жидкой фазе установлена и выведена на поверхность контрольная трубка.

Газ поступает по дворовому газопроводу низкого давления, заложенного на глубину 1,3м.

В моем курсовом проекте я выбрал стальные трубы марки СТ-3 диаметрами 50, 89 и 100 мм. Соединение труб - сварное. На дне траншеи выполнена подушка из песка толщиной 20 см.

Общая протяженность газопровода составляет 645,2 м, из них газопроводы диаметром 50 мм проложены общей длиною 54 м, газопроводы диаметром 89 мм проложены общей длиною 516 м и газопроводы 100 мм проложены общей длиною 75,2 м.

От резервуарной групповой установки газопровод длиной 32,8 м диаметром 100 мм проходит до точки разветвления по направлениям «А» и «Б».

Газопровод диаметром 100 мм от точки разветвления по направлению «А» проходит 18 м и делает поворот налево. В точке поворота газопровод с диаметра 100 мм переходит на диаметр 89 мм. Далее газопровод прокладывается длиной 106 м до следующего поворота (направо). По пути от газопровода диаметром 89 мм сделаны шесть отводов к двум домам №5 и №6 (по три к каждому) диаметрами 50 мм. От поворота через 10 м газопровод пересекает теплотрассу и водопровод, газопровод укладывается в футляре. От теплотрассы газопровод проходит 21, 6 м пересекая автодорогу (газопровод укладывается в футляре) проходит еще 18 м, где он расходится в обе стороны, снабжая дома №7 №8 и №9. Между домами №7 и №8 установлен конденсатосборник.

Газопровод диаметром 100 мм от точки разветвления по направлению «Б» проходит 18 м и делает поворот направо. В точке поворота газопровод с диаметра 100 мм переходит на диаметр 89 мм. Далее газопровод прокладывается длиной 172 м до следующего поворота направо. По пути от газопровода диаметром 89 мм делаются девять отводов к домам №1 №2 №3 (по три на каждый дом) диаметрами 50 мм. Между домами №2 и №3 установлен конденсатосборник. От поворота газопровод диаметром 89 мм проходит 38,8 м от которого идут отводы диаметром 50 мм к дому №4.

На вводах к зданиям установлены чугунные пробковые проходные натяжные муфтовые краны марки 11ч3бк в количестве 3-ех штук по одному крану на каждом вводе. Так же на вводах с наружи здания устанавливаются изолирующие фланцы, газопровод на выходе из земли утепляют.

.2 Технико-экономическое обоснование и выбор типа установки ЭХЗ

Для решения вопросов о защите газопроводов от коррозии необходимо определить коррозионную активность грунта и характер распределения блуждающих токов на трассе газопровода.

Коррозионную активность грунта оценивают по трем показателям:

· плотность поляризующего тока;

·        удельное электрическое сопротивление грунта;

·        потеря массы образца.

Коррозионную активность грунта определяют двумя способами: лабораторным и полевым.

Для лабораторного метода с трассы газопровода через каждые 50-100 метров с глубины заложения газопровода отбирают пробы грунта. Пробы сначала просушивают при температуре до 105°С, затем размельчают и просеивают в стальную банку диаметром 80 мм. и высотой ПО мм. и увлажняют до полного насыщения. Перед засыпкой грунта в банке размещают стальную трубку диаметром 19 мм. и длиной 100 мм, установленную на диэлектрической опоре, массу стальной трубки взвешивают с точностью до 0,1, затем к трубке и к банке подсоединяют источник постоянного тока V=6В на 24 часа. После этого трубку достают, очищают от коррозии и взвешивают с точностью до 0,1 грамма.

Полевой способ заключается в измерении удельного сопротивления грунта вдоль трассы газопровода через каждые 100 - 200 м с помощью специальных приборов.

Коррозионную активность грунта определяют по специальным таблицам.

Таблица 1

Коррозионная активность грунта

Удельное сопротивление Rом [Ом*м]

грамм (изменение массы)Коррозионная активностьХарактеристика грунта



> 100

<1

низкая

песчаные и суглинки

20- 100

1 -2

средняя

глинистая или бедные черноземы

10-20

повышенная

известковые или богатые черноземы

5- 10

3-6

высокая

замусоренные и зашлакованные

<5

>6

весьма высокая

торфяные


Степень коррозионной активности грунта влияет на некоторые условия прокладки газопровода подземным способом, на вид изоляционного покрытия труб и на вид применяемой электрохимической защиты газопровода от коррозии.

Для получения характеристик коррозионного состояния газопровода, необходимо сопоставить:

1 Общие коррозионные условия места расположения газопровода.

2 Условия распространения блуждающих токов в зоне газопровода.

3 Электрическую характеристику коррозионного состояния газопровода. Общие коррозионные условия определяются: характеристикой грунта,

профилем и глубиной заложения газопровода, расположением его относительно различных подземных сооружений и электрифицированных железных дорог.

В моем курсовом проекте я выбрал протекторную защиту марки ПМ-5У. На основании расчетов можно сделать вывод, что использование протекторной защиты в данном случае наиболее экономичнее чем катодная станция. На основании расчетов сроков службы протекторов я определил что каждый одиночный протектор прослужит в среднем 27,7 лет. Но произведя экономический расчет я выявил, что стоимость катодной станции, ее установка 160000 рублей, а ее годовые расходы составляют 28539,5 рублей. Стоимость протекторов и их установка составляет 102750 рублей, а их годовые расходы всего 7883 рубля. В итоге выходит, что затраты на монтаж и эксплуатацию протекторов на 21434 рубля меньше чем на обслуживание катодной станции. Поэтому, исходя из экономического расчета, выбираю протекторную защиту газопроводов.

1.3 Расчет установок электрохимической защиты

По чертежу определяю площадь территории на которой будет установлена установка электрохимической защиты.

Таблица 2

Sтер=3,5Га

газопровод

водопровод

теплотрасса

канализация

d

d

d

d

100мм

75,2 м

76 мм

277 м

100 мм

554 м

100мм

725,6 м

89мм

516 м







50мм

54 м
















. Определяю площадь поверхности всех газовых труб по формуле:

1)

)

)

где D - диметр трубы;  - длина.

2. Определяю сумму поверхности всех газовых труб.


. Определяю площадь поверхности канализационных труб.


. Определяю площадь поверхности системы отопления.


. Определяю площадь поверхности системы водоснабжения.


. Определяю поверхность всех металлических труб

 м2

. Определяюсреднюю защитную плотность тока.


где ρ - коррозионная активность грунта.

 м2/Га

 м2/Га

 м2/Га

1.  Определяю суммарный защитный ток


Принимаем суммарный ток катодной защиты I=18 А.

. По плану района находим место расположения катодной станции и анодных заземлений.


3. По таблице для тока до 20 А и ρ= 15 Ом/м выбираем анодное заземление из чугунных труб d=150мм и длинной 10м.

R = 0,36 Ом = 10 м n = 5 шт

. Определяю сопротивление.

где  

5. Определяю сечение дренажного кабеля.


где  

Выбираю кабель АВГБ 3*16 L=55Rкаб=0,04

. Определяю выходное напряжение катодной станций.


С учетом 30% запаса на развитие сети выбираем катодную станцию марки КСК 1200 - 1. Ее технические характеристики: Р = 1,2 кВт; I = 20 А; U = 60 В; m= 60 кг.

. Определяю продольное сопротивление трубопровода.


где Dг - диаметр газопровода; δт - толщина стенки трубы.

Газопровод марка труб Сталь СТ 3 удельное электрическое сопротивление 0,218

8. Определяю переходное сопротивление труба земля на 10 год эксплуатаций. электрохимический защита газопровод безопасность


9. Определяю переходное сопротивление труба земля на единицу длинны газопровода.


10. Определяю постоянное распространение тока вдоль газопровода.


11. Определяю входное сопротивление газопровода.


Расчет параметров катодной защиты на конечный период эксплуатаций 10-15 лет сводиться к определению количества и мощности катодной станций

. Определяю расстояние между трубопроводом и анодным заземлением при ρ= 15.


13. Определяю силу тока катодной установки


где U - наложенная разность потенциалов в точке подключения катодной установки.

. Определяю мощность на выходе катодной станций.


где RЗ - сопротивление растеканию заземлителя.

. Определяю количество катодных станций


Принимаю одну станцию.

Расчет протекторной защиты

Выбираю протекторы марки ПМ-5У. Технические характеристики одного протектора: S = 0,16 м2; m = 16 кг; dа = 0,115 м; ρа = 5 Ом * м.

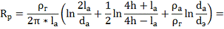
. Определяю сопротивление растеканию одиночного протектора.


Где = 35м*м - удельное сопротивление грунта;

 - (0,58 м) высота активатора;

- (0,115 м) диаметр протектора;

- (2,3 м) глубина установки протектора;

- (5 Ом * м) удельное электрическое сопротивление активатора;

- (0,165 м) эквивалентный диаметр гальванического анода.

. Определяю поляризационное сопротивление находим по графику в зависимости от средней плотности тока.

Rпол=0,023 Ом

. Определяю переходное сопротивление одиночного протектора

Rп = Rp+ Rпол= 9,23+0,023 = 9,253 Ом

При ориентированных расчетах переходное сопротивление можно определить по таблице.

. Определяю силу тока одного протектора в цепи.


где - стационарный потенциал протектора;

- стационарный потенциал сооружения;

К- коэффициент учитывающий неравномерность распределения потенциалов;

- минимальная защитная разность потенциалов;

- сопротивление проводов с учетом всех контактных соединений;

С- коэффициент поляризации протектора.

. Определяю силу тока одиночного протектора в цепи протектор - сооружение.


- сопротивление битумной изоляции;

 переходное сопротивление;

- наложенная разность потенциалов (сооружение - земля).

. Определяю ток защиты для подземных сооружений.


7. Определяю число одиночных протекторов для защиты газопровода:


8. Определяю число протекторов при групповой установки


Принимаю 76 протекторов, по 10 протекторов в группе и одна группа из 6-ти протекторов. Всего 8 групп.

где  - средний коэффициент экранирования.

. Определяю расстояние между протекторами в группе.


Принимаю расстояние равное 4 м.

. Определяю расстояние от протектора до защищаемого газопровода (шаг установки протектора).


Принимаю Х равное 10 м.

. Определяю срок службы протекторов.

лет.

где - коэффициент использования протектора;

- коэффициент полезного действия;

T= 8760 часов в году.

Таблица 3

Экономический расчет

Затраты

Катодная станция

Протекторная защита

Стоимость оборудования

40000

700 - 1 протектор

Затраты на СМР

120000

670 - 1 протектор

Всего

160000

104120


СтанцияКСК 1200 - 1. Протектор ПМ-5У.

Ск= 40000 р. Сп = 53200 р.

Зк = 120000 р. Зп = 50920 р.

. Определяю годовые эксплуатационные расходы.

Катодная установка.

С1111= 4800 + 12719,5 + 2500 = 20019,5рублей

где А - амортизационное отчисление; Э - затраты на электроэнергию;

З - затраты на обслуживание и ремонт ЭХЗ.

А1 = 12% * 40000 = 4800 р.

Э1 = Р * Кз * Т * С = 1,2 * 0,5 * 8760 * 2,42 = 12719,5 р.

где Р - мощность катодной станции; Кз- коэффициент загрузки по мощности; Т - время работы катодной станции в году; С - стоимость 1 кВт/ч.

Протекторная установка.

С222= 6383 +873=7256 рублей

А2 = 53200 *12%= 6383 р.

. Определяем затраты на обслуживающий персонал.

На катодную станцию.

U1 = Cт1*tn1*K1*M1 = 89*3,2*1,247*24 = 8523 р.

где Cт1 - 89 руб./ч - тарифная ставка электромонтера 5 разряда

tn1 - 3,2 чел/час - норма времени одной проверки

M1- 24 - число проверок в год (измерений) для катодной станции

На протекторную станцию.

U2 = Cт2*tn2*K2*M2 = 89*3,2*1,247*2 = 710 рублей

3. Определяю затраты на ремонт ЭХЗ.

Катодной станции.

З1= М11=1800+ 700 = 2500рублей

Р1 = СТ1 * t1 * k1 * m1 = 89 * 6,3 * 1,247 * 1 = 700 р.

где М - материалы(1800 р. для катодной станции); Р - зарплата на ремонт протекторной установки.

З2 = M22= 640 + 233=873рубля

М2 = Z*A = 8*80 = 640 р.

Р2 =C2 *T*K*m / 3 =89*6,3*1,247 * 1 / 3 = 233 р.

Ремонт протекторных установок проводят 1 раз в 3 года.

Таблица 4

Годовые расходы сводим в таблицу


Показатели (рубли)


Катодная

Амортизация отчислений

4800

6383

Затраты на электроэнергию

12719,5

-

Затраты ТО

8523

710

Затраты ТР

2500

873

Всего

К1 28542,5

К2 7966


5. Определяем годовой экономический эффект.

Э = (С1+ Е * К1) - (С2+ Е * К2) =(28542,5+0,15*160000) -

(7966+0,15**104120) = 52542,5 - 23584 =28958,5 рублей

Вывод: выбираю протекторную установку, так как она экономичнее, чем катодная станция.

1.4 Эксплуатация протекторной станции

При эксплуатации протекторных установок производят периодический технический осмотр, проверку эффективности работы установок, а так же контрольные измерения потенциалов на защищаемых сооружениях в опорных пунктах.

Для каждой групповой протекторной установки или определенного числа одиночных протекторов, территориально объединенных как одна протекторная установка, необходимо иметь журнал контроля работы защитной установки, в который заносят результаты технического осмотра и измерений.

Рис 2.

Технический осмотр протекторных установок производят 2 раза в год, а в зимнее время технический осмотр не проводят. При техническом осмотре проводят:

) внешний осмотр всех узлов и элементов установки с проверкой плотности контактов, исправности монтажа и отсутствия механических повреждений отдельных элементов;

) очистку загрязненных узлов(ящиков и ниж.вентильных блоков и клепных соединений);

) замену сухого элемента типа «Марс» для поляризованных протекторных установок;

) измерение силы тока, а для поляризованной протекторной установки -  падение напряжения на вентилях;

) измерение потенциалов «сооружение-земля» в месте подключения протекторной установки.

Контрольные измерения потенциалов на защищаемых сооружениях проводятся с той же периодичностью, что и осмотр. В районах, где нет блуждающих токов, а также при отсутствии высоковольтных вольтметров допускается проводить измерения потенциалов вольтметрами типа М-2311 и ЭВ-2234 с переносными медносульфатными электродами сравнения. При ремонте и восстановлении протекторных установок должны производиться ревизия и осмотр всех серьезных контактных соединений.

Профилактическое обслуживание электрозащитных устройств включает периодический осмотр установок, проверку эффективности их работы, а также контрольные измерения потенциалов на защищаемом трубопроводе в опорных пунктах. Основное назначение работ по профилактическим осмотрам, а также по планово-предупредительным ремонтам - содержание протекторной защиты в состоянии полной работоспособности, предупреждение их преждевременного износа и отказов в работе.

Технический осмотр с проверкой эффективности действия защиты включает:

· все работы по техническому осмотру;

·        измерения поляризационных и суммарных потенциалов в постоянно закрепленных опорных пунктах.

Текущий ремонт включает:

· все работы по техническому осмотру с проверкой эффективности;

·        измерения сопротивления изоляции в соответствии с требованиями и нормами ПУЭ;

·        одну или две из указанных ниже работ: ремонт линий питания (до 20% протяженности), ремонт выпрямительного блока, ремонт корпуса установки и узлов крепления.

Капитальный ремонт включает:

· все работы по текущему ремонту с проверкой эффективности;

·        более двух работ из перечня текущего ремонта.

Внеплановый ремонт - это вид ремонта, вызванный отказом в работеоборудования и не предусмотренной годовым планом ремонта. Отказ в работе оборудования должен быть зафиксирован аварийным актом, в котором указываются причины аварии и надлежащие устранению дефекты. Все неисправности в работе установки электрохимической защиты должны быть устранены в течении 24 часов после их обнаружения.

Технический осмотр протекторной установки проводят 1 раз в 6 месяцев, технический осмотр с проверкой эффективности - 1 раз в 6 месяц; текущий ремонт производят один раз в год; капитальный ремонт производят в зависимости от условий эксплуатации ориентировано 1 раз в 5лет.

1.5 Техника безопасности при эксплуатации

При эксплуатации защитных установок следует соблюдать технику безопасности:

· при наличии газа опускаться в колодцы и коллекторы для проведения электроизмерительных операций запрещается;

·        опускаться в колодец можно только с надежным поясом и прикрепленной к лямкам пояса веревкой. Второй конец веревки должен держать рабочий, находящийся наверху. Запрещается очищать металлические шкафы от снега, пыли голыми руками, а так же касаться электрических частей дренажной и протекторной установок, предварительно не отключив их от источника тока;

·        обслуживать электрозащитные установки могут работники, прошедшие специальную подготовку и имеющие удостоверения на право работы на установках с напряжением до 1000 В;

·        При измерениях потенциалов через элементы газопроводов, расположенных в колодцах или коллекторах, крышки колодцев, коверов и люков необходимо открывать специальным крючком, но никак не руками. После открытия крышек колодцев и коллектор с помощью газоанализатора следует проверить, не заполнены ли они газом.

В основе своей работы рабочие, обслуживающие средства электрической защиты подземных газопроводов от коррозии, должны «опираться» на такие документы, как «Инструкция о защите городских подземных трубопроводов от электрической коррозии», ПТЭ, ПТБ при эксплуатации электроустановок потребителей, а так же ГОСТами 9.602-89.

1.6 Мероприятия по охране окружающей среды при эксплуатации

Сооружение установок электрохимической защиты трубопроводов от коррозии следует осуществлять в соответствии с «Строительство магистральных и промысловых трубопроводов. Охрана окружающей среды».

Под окружающей средой понимается вся совокупность природных элементов в полосе строительства и прилегающих к ней территорий.

Основой охраны окружающей среды при сооружении ЭХЗ является соблюдение требований по охране окружающей среды на всех этапах технологической последовательности выполнения работ с обязательным проведением рекультивации после их завершения.

Природоохранные мероприятия должны проводиться в соответствии со специфическими особенностями окружающей среды, характерными для природоохранительной зоны, в пределах которой осуществляется сооружение объектов ЭХЗ.

Природоохранительные мероприятия и рекультивация земель после завершения сооружения ЭХЗ должны носить комплексный характер, или должно обеспечиваться не только сохранение отдельных природных элементов (рельефа, почв, воды, воздуха, растительного и животного мира), но и ландшафтов в целом.

Объем необходимых природоохранительных мероприятий снижается путем сооружения ЭХЗ как единого целостного процесса со строительством трубопровода. Поточность работ позволяет избежать проведения консервационных природоохранительных мероприятий во время перерывов между различными видами работ и в значительной мере ограничить их рекультивационными мероприятиями.

Рекультивационные работы должны быть признаны обязательной составной частью технологической цепи сооружения ЭХЗ во всех природоохранительных зонах.

Для уменьшения неблагоприятных воздействий на окружающую среду при сооружении ЭХЗ во всех природоохранительных зонах необходимо всемерно сокращать площади участков строительства, ограничивая их минимальными технологически необходимыми размерами.

При проведении работ по сооружению ЭХЗ следует избегать загрязнений окружающей среды горюче-смазочными, изоляционными материалами, строительными отходами, для чего необходимо на стадии проектирования ЭХЗ предусмотреть способы переработки или захоронения отходов.

На всех этапах сооружения ЭХЗ следует предусмотреть мероприятия, нейтрализующие или предотвращающие неблагоприятные рельефообразующие процессы, возникающие или активизирующиеся вследствие строительства объектов ЭХЗ.

На всех этапах строительства ЭХЗ следует избегать нарушения естественной дренажной сети, восстанавливать ее в близком к существовавшему до начала строительства виде в ходе рекультивационных работ.

При сооружении объектов ЭХЗ необходимо обеспечить соблюдение правил противопожарной безопасности, особенно при работах в пределах лесной зоны и зоны многолетнемерзлых пород в месяцы с положительными среднесуточными температурами воздуха.

Заключение

Во время проектирования своей курсовой работы, я понял, в каких случаях необходимо выбирать ту или иную защитную установку. Я научился делать расчеты, на основании которых я смог выбрать из двух защитных установок одну. Так же я лучше понял принцип работы защитных установок и их необходимость.

Список литературы

1. Гордюхин А.И. Эксплуатация газового хозяйства. - М.: Стройиздат, 1983 - 336 с.

2.       Кязимов К.Г., Гусев В.Е. Устройство и эксплуатация газового хозяйства. - М.: Колос, 1997. 407 с.

.        Конспект.

Похожие работы на - Проектирование электрохимической защиты подземного газопровода

 

Не нашли материал для своей работы?
Поможем написать уникальную работу
Без плагиата!
Без нейросетей!