Вычисление интеграла уравнения
Контрольная
работа
по
дисциплине "Математика"
Выполнила: студентка 1 курса
Специальность "Финансы и кредит
банковского дела"
Кокоева Т.Ю.
г. Нальчик,
2011
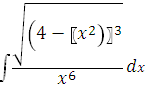
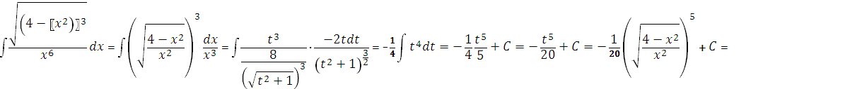
Задание 1. Найти
интеграл: 
.
Решение:

=

.
Ответ: 
.
Задание 2. Найти
интеграл: 
.
Решение:
Пусть 
Ответ:
Задание 3. Найти
интеграл: 
.
Решение:

.
Пусть 
По формуле 
получим:
Ответ: 
Задание 4. Найти
интеграл: 
.
Решение:
Применим метод
неопределенных коэффициентов.
Пусть

.
Приравнивая коэффициенты
при 
, получим систему:

откуда 
Тогда 
Ответ: 
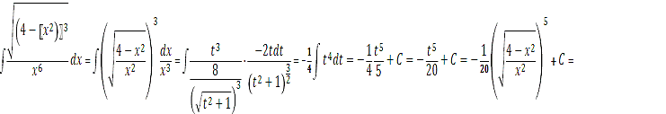
Задание 5. Найти
интеграл: 
.
Решение:

.
Сделаем замену

, тогда 
, 
,

.
Ответ: 
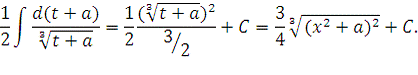
Задание 6. Вычислить
интеграл: 
.
Решение:

. Пусть 
, тогда 
Ответ: 
.
Задание 7. Найти
решение уравнения: 
Решение:

Разделяя переменные,
получим: 
Интегрируя, получим: 
Ответ: 
Задание 8. Найти
решение уравнения: 
Решение:

Пусть 
, тогда 
Получим

или 
.
Пусть 
, тогда 
, значит 
, т.е.

Следовательно,, 

интеграл уравнение переменная система
Ответ: 
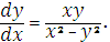
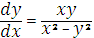
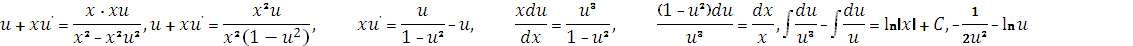
Задание 9. Найти
интеграл уравнения: 
Решение:

- уравнение однородное.
Введем вспомогательную
функцию: 
или 
, тогда 
Уравнение примет вид:

Возвращаясь к переменной

, находим общее решение:
Ответ: 
Задание 10. Найти
общее решение уравнения: 
Решение:
Составим
характеристическое уравнение: 
Его корни 
- действительные и
различные, значит, решение ищем в виде: 
. Оно имеет вид 
, т.к. правая часть
исходного уравнения равна 
, т.е. имеет вид 
, где m = 0, то частное решение имеет вид 
, т.к. 
- корень
характеристического уравнения, то 
(плотность корня).

- многочлен второй
степени, т.е. имеет вид 
, следовательно, частное
решение имеет вид 

. Значит, 
Подставим 
в исходное уравнение
Приравнивая коэффициенты при 
, получим систему:

отсюда 
.

,
а общим решением -
функция 
.
Ответ: 