Кубатурные формулы для вычисления интеграла гармонической функции по круговой луночке

  • Вид работы:
    Статья
  • Предмет:
    Математика
  • Язык:
    Русский
    ,
    Формат файла:
    MS Word
    59,60 kb
  • Опубликовано:
    2009-01-12
Вы можете узнать стоимость помощи в написании студенческой работы.
Помощь в написании работы, которую точно примут!

Кубатурные формулы для вычисления интеграла гармонической функции по круговой луночке

Кубатурные формулы для вычисления интеграла гармонической функции по круговой луночке

С.С. Трахименок, Новосибирский государственный университет, кафедра дифференциальных уравнений

Вычисление интегралов - задача, которая до сих пор интересует как физиков, так и математиков.

В настоящей статье в § 4 предложена формула в виде ряда для вычисления интеграла от гармонической функции по круговой луночке. Эта формула является обобщением теоремы о среднем.

Для того чтобы построить подобное представление в виде ряда, понадобилось ввести (§ 1) некую специальную последовательность гармонических полиномов, которая является базисом пространства типа Бергмана [1]. Введенная последовательность изначально не является ортогональной, поэтому в § 2 предлагаются формулы для вычисления скалярных произведений от базисных функций для того, чтобы применить метод Грама-Шмидта.

1.  Области,  функциональное пространство, полиномиальные последовательности

Ограниченную область S в R2 назовем круговой луночкой, если ее граница Г состоит из двух дуг окружностей Г1 и Г2, пересекающихся в угловых точках С1 и С2. Угол между Г1 и Г2 обозначим через . Введем в R2 декартову систему координат (x,y), поместив ее начало в середину отрезка С1С2, абсолютная величина которого равна 2, и направив ось абсцисс перпендикулярно к нему. С помощью биполярных координат [2]

(1.1)

круговая луночка S конформно отображается в бесконечную полосу.

Обозначив обратное к (1.1) преобразование как  =(x,y),  =(x,y), отметим, что поверхность (x,y)=j совпадает с Гj. Любая луночка S однозначно определяется заданием 1 и , т.е. S=S(1,). Для произвольной функции u(x,y) суперпозицию u(x(,),y(,)) обозначим как u(,).

В качестве функционального пространства будем рассматривать множество, являющееся подпространством так называемого пространства Бергмана b21, состоящее из гармонических в S функций u(x,y) класса W21(S), обладающих непрерывными следами на частях Г1 и Г2 границы Г. Кроме того, потребуем, чтобы функция fj()  u(,j) = u(x,y)Гj , j = 1,2, удовлетворяла на Гj условию Гельдера с показателем d0. Совокупность всех таких элементов u(x,y) обозначим как W(S). Определим в W(S) скалярное произведение, положив:. Здесь (x0,y0) - произвольная внутренняя точка из S.

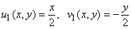
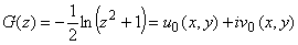
Рассмотрим функцию комплексного переменного z = x+iy:   .

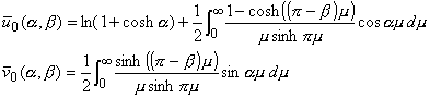
Функции u0 и v0 принадлежат W0(S) и в биполярных координатах имеют следующий вид:



(1.2)

Используя формулу [3, (7.117)] с некоторыми дополнительными вычислениями, можно получить интегральные представления:

(1.3)

Интегралы в (1.3), очевидно, сходятся при a(-,), b2.

(1.4)

Здесь и далее под k понимаются функции uk или vk, k = 0,1,.... Коэффициенты uk(,), vk(,) этих разложений при k1 обладают рядом интересных свойств.

1. Из (1.4) следуют рекуррентные соотношения:

(1.5)

2. Применим (1.5) к интегралам в (1.3), вычислим полученные равенства по формулам [3, (7.113), (8.108)] и, учитывая (1.1), получим в переменных (x,y):

(1.6)

3. Соотношения (1.4) в декартовых координатах принимают вид:

(1.7)

Из (1.6)-(1.7), используя индукцию по k, заключаем, что функции uk(x,y) и vk(x,y) - это гармонические полиномы степени k.

4. Полиномы uk(x,y) четны по y, а vk(x,y) нечетны. Кроме того, при всех k2 в угловых точках полиномы обращаются в нуль.

5. Последовательность {uk,vk}Ґk = 1 полна в W(S) и образует в нем базис.

2.  Ортогонализация последовательности полиномов

Последовательность {uk,vk}Ґk = 1 ортогонализуем в скалярном произведении:

(2.1)

g№0. Для того чтобы эта задача была решена при помощи хорошо известного процесса Грама-Шмидта, необходимо уметь вычислять скалярные произведения вида , и . Если воспользуемся формулой Грина, то значения этих скалярных произведений дают следующие формулы:




,  


где  =j, j = 1,2. Следовательно, можно ортогонализовать полиномы uk и vk методом Грама-Шмидта в смысле скалярного произведения (2.1). Получившийся базис будем обозначать как {ek,fk}.

3.  Канонический базис

Для дальнейших результатов нам понадобится новый базис W(S), обладающий кроме ортогональности еще некоторыми дополнительными свойствами. Так как ортогональных базисов в гильбертовом пространстве W(S) существует бесконечно много, то любой из них можно получить из последовательности {ek,fk} унитарным преобразованием с матрицей перехода Т. Воспользуемся этим и трансформируем наш базис в базис {l}, ортогональный не только в W(S), но и в следующем скалярном произведении:


где KR(x0,y0) - шар с центром в (x0,y0) и радиуса R, равного расстоянию от центра до границы S. Базис с таким дополнительным свойством назовем каноническим в точке (x0,y0). Доказано (см.[4]), что базис в W(S), канонический в точке (x0,y0), существует.

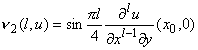
Вектор-столбец бесконечной высоты с координатами:

,     ,     , где        ,   

(3.1)

для l = 0,1,2,... - назовем нормированным следом u(x,y) в точке (x0,0) аналогично его определению в [4].

Ортонормированному базису {ek,fk} сопоставим бесконечную матрицу , столбцы которой являются нормированными следами в (x0,0) функций ek и fk. Матрица - это нормированная фундаментальная матрица следов (ФМС) в точке (x0,0). Из [4] известно, чторазложима в произведение трех сомножителей, первый из которых Q = (qij) частично изометричен в l2, второй  - диагонален с положительной возрастающей последовательностью диагональных элементов {j}, а третий  - изометричен в l2, т.е.


Учитывая параметры этого разложения и формулы нахождения коэффициентов ряда [4, §5, теорема 1] и используя свойства скалярного произведения, канонический в точке (x0,0) базис удобно записать в виде ряда по функциям ek и fk. Тогда при всех натуральных l имеют место равенства:

(3.2)


где    

(3.3)

Дифференцирование ek и fk сводится к дифференцированию uk и vk.

4.  Приближенное интегрирование гармонических функций

Теорема 4.1. Существует единственная последовательность такая, что для любой функции u из W(S) и точки (x0,0) луночки S скалярное произведение конечно и при этом

(4.1)

Последовательность вычисляется по формулам:

(4.2)

где базис в W(S).

Это утверждение легко доказать, если разбить функцию u(x,y) на две части - четную и нечетную по y и разложить каждую в ряд по каноническому базису W(S). Далее, учитывая определение (3.1) координат вектор-столбца , производя необходимые преобразования с суммами и учитывая (3.2)-(3.3), получим формулы (4.1).

В формулировке теоремы 4.1 мы вывели представления для коэффициентов D1j и D2j, которые используют интегралы по луночке S. Численное вычисление множителя Al сводится к результатам следующего утверждения. Но сначала условимся об обозначениях.

  

(4.2)

Теорема 4.2. Интеграл от полинома uk+1, взятый по луночке S = S(1,2-1), совпадает с приращением функции Qk() на отрезке [1,2], а от полинома vk+1, взятый по той же луночке, равен нулю.

Здесь отметим, что приведенное в §4 приложение системы полиномов является не единственным. Например, ее можно применять в задачах, использующих альтернирующий метод Шварца. Также с их помощью можно находить решения в составных областях на плоскости.

Список литературы

Axler S., Bourdon P., Ramey~W. Harmonic Function Theory. Springer-Verlag, 1992.

Лебедев Н.Н. Специальные функции и их приложения.М.: Гос. изд-во физ.-мат. лит. 1963. 360 с.

Диткин В.А., Прудников А.П. Интегральные преобразования и операционное исчисление. М.:Гос. изд-во физ.-мат. лит. 1961. 523 с.

Васкевич В.Л. Аналоги эрмитовых кубатурных формул для интеграла Дирихле от гармонической функции // Теоретические и вычислительные проблемы в задачах математической физики. Труды ИМ СО РАН, том 24. Новосибирск: Наука, Сибирское отделение, 1994. С. 93-126.

Для подготовки данной работы были использованы материалы с сайта http://www.omsu.omskreg.ru/

Похожие работы на - Кубатурные формулы для вычисления интеграла гармонической функции по круговой луночке

 

Не нашли материал для своей работы?
Поможем написать уникальную работу
Без плагиата!
Без нейросетей!