Расчет параметров распределенной информационно-управляющей системы
Содержание
1. Распределенная информационно-управляющая
система
.1 Почтовые и интерактивные сообщения
. Задание на курсовую работу
. Метод анализа
.1 Эквивалентные задержки в сети
.2 Время загрузки входящего канала почтовыми
сообщениями
.3 Время загрузки исходящего канала почтовыми
сообщениями
.4 Время загрузки входящего канала интерактивными
сообщениями
.5 Время загрузки исходящего канала
интерактивными сообщениями
.6 Коэффициенты загрузки
. Цикл опроса
.1 Латентное время
.2 Голосовые сообщения
. Время ожидания в очередях
.1 Время ожидания сообщений в очередях ЭВМ ЦДП
.2 Время ожидания в очередях в узлах коммутации
.3 Время задержки доставки ответа для
интерактивных сообщений
.4 Время доставки почтовых сообщении
Список литературы
1.
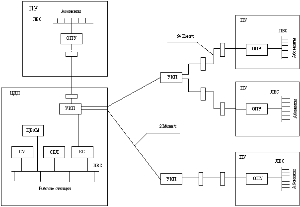
Распределенная информационно-управляющая система
Распределенная информационно-управляющая система (РИУС) строится в виде
частной виртуальной IP-сети. Система
содержит центральный диспетчерский пункт (ЦДЛ), в который постоянно поступает
оперативная информация от территориально распределенных пунктов управления
(ПУ). Общая структурная схема РИУС показана на рис. 1.
Рис.
1
На рисунке представлен фрагмент сети, в узлах которой размещены сетевые
коммутаторы. Все ПУ сообщаются между собой через ЦДЛ, расположенный в корневом
узле Y0
1.1
Почтовые и интерактивные сообщения
Рассмотрим структурную схему РИУС, представленную на рис. 2. ЦДП содержит
сервер управления (СУ), в котором хранится основная управляющая информация,
сервер баз данных (СБД), коммуникационный сервер (КС), а также содержит ряд
рабочих станции объединенных совместно с серверами в одну локальную
вычислительную сеть (ЛВС).
ЦДЛ имеет центральную ЭВМ с процессором ввода-вывода (ЭВМ), управляющим
сетью. Сеть является разветвленной и в каждом узле разветвления содержит узлы
коммутации пакетов (УКП). Основная часть трафика формируется в пунктах,
расположенных вблизи с узлами коммутации. Оконечное оборудование, расположенное
в пунктах формирования графика, объединяется в ЛВС, подключаемые к серверу УКП,
который обеспечивает оптимизацию потоков сообщений, передаваемых по линиям связи
между УКП
Линии, соединяющие оконечные ЛВС с концентраторами образуют местные
звенья передачи данных и работают на скорости 192 Кбит/с (Вм =
192000 бит/с). Линии сети, соединяющие центры коммутации пакетов, образуют
основные звенья передачи данных и работают со скоростью 2 Мбит/с (В0=2
Мбит/с). Основные компоненты участка сети представлены на рис. 2.
Рис. 2
В
сети передаются два вида сообщений. Первую группу представляют
сообщения, передаваемые в режиме электронной почты и сигнальные
сообщения (ПC), которые, все вместе генерируются абонентами
с интенсивностью
. Вторую группу составляют интерактивные (голосовые)
сообщения, которые, все вместе генерируются абонентами с интенсивностью
. Каждое почтовое сообщение содержит в по два
блока кадров имеющих длину информационной части
.
Для реализации процедуры HDLC и сетевого протокола в каждый протокольный блок
данных добавляется еще по
, так что почтовый кадр данных имеет длину:
, как это показано на рис. 3.
Рис.
3
Вторая
группа сообщений формирует интерактивный трафик. Интерактивные сообщения (ИС)
используются в режиме интерактивного обмена голосовой информацией между
центральным блоком и абонентами, и имеют более высокий приоритет, по сравнению
с ПС. При этом, среднее ИС, поступающее к ЦДЛ, содержит один блок, а среднее
сообщение, поступающее от ЦДП к абонентам, содержит по N блоков длиной
по
знаков из которых
знаков, а
знака.
Процедура
HDLC осуществляется в режиме нормального опроса, причем и
линия ЦДП, является первичной, а все остальные - вторичными. Вторичная станция
может передавать информацию лишь после поступления на нее блока, содержащего
опрос. Опрос может быть успешным, когда в ответ поступают информационные блоки
или безуспешным, когда вторичная опрашиваемая станция не имеет информации и
посылает в ответ на опрос лишь короткий блок, используемый для регулирования
темпа передачи. В отличие от основного блока он содержит всего 25 байт, как это
показано на рис. 3 б.
Блоки
безуспешного ответа используются для регулирования темпа передачи. Опросные
блоки, исходящие от ЦДП содержат по
байт, а
блоки безуспешного ответа на опрос, содержат по 25 байт в
байт. Каждый байт содержит 8 двоичных элементов.
Последовательность
обмена сообщениями для трафика ПС представлена на рис. 4.
Рис.
4 Рис. 5
Опрос
1 является безуспешным и на него следует блок ответа длиной
байт.
Опрос
2 является успешным, и на него поступают два ответных блока: ответ 2 и ответ 3.
Эти блоки содержат сообщение, которое опрашиваемый абонент должен передать
через ЦДП другому абоненту. После анализа поступивших ответов ЭВМ ЦДП формирует
исходящие блоки 2 и 3, которые направляются получателю. При безуспешном опросе
никаких сообщений адресатам не поступает. Короткими стрелками на рис. 4
показаны опросные сообщения интерактивного трафика, предшествующие каждому
исходящему от ЦДП блоку, пока опрос не будет отработан.
Последовательность
обмена сообщениями для трафика ИС представлена на рис. 5.
Когда
появляется любое из сообщений, ничего не происходит до тех пор, пока не
поступит очередное сообщение опроса. Немедленно, по получению опроса, терминал
абонента направляет в сторону ЦДП блок ответа длиной винт. Это
сообщение проходит по линиям и узлам коммутации, и поступает на ЦДП, где
обрабатывается в течение среднего времени
сек.
Спустя указанное время, ЦДП направляет подряд N исходящих
блока (например, это блок 1 и блок 2), которые, после задержки в линиях, узлах
коммутации поступают на терминал абонента. Время ответа для интерактивных
сообщений оценивается промежутком от момента нажатия абонентом кнопки передача
до момента появления первого символа ответа на экране терминала абонента или
появления первого ответного звука в его телефонной трубке.
Таблица 1
|
Наименование
|
ПАРАМЕТРЫ
|
|
ПОЧТОВОЕ
|
ИНТЕРАКТИВНЫЕ
|
|
обозначение
|
Значение
|
обозначение
|
Значение
|
|
Интенсивность поступления
сообщений
|
5 1/с 20 1/c
|
|
|
|
|
Длина информационной части
блока
|
512
зн. 320 зн.
|
|
|
|
|
Длина управляющей части
блока
|
Ву = 19 знаков
|
|
Общая длина блока
|
531 зн. 364
зн.
|
|
|
|
|
Длина блока опроса
|
Воп = 6 знаков
|
|
Длина блока безуспешного
ответа
|
Вбо = 25 знаков
|
|
Время анализа ЭВМ
|
0,05 с 0,05 с
|
|
|
|
|
Скорость модуляции в
основной среде
|
В0 = 2000 Кбит/c
|
|
Скорость модуляции в
местном звене
|
Вм = 192 Кбит/c
|

На рис. 6 представлены временные диаграммы для входящих и исходящих
каналов интерактивных и почтовых сообщений в течение цикла опроса Тц.
Интерактивные и почтовые сообщения в каналах будут идти вперемешку.
Однако, интерактивным дается относительный приоритет. Это означает, что, если
на выходе ЭВМ имеются как интерактивные, так и почтовые сообщения, то блоки
интерактивных, сообщений пойдут первыми. Если же почтовый блок уже передается,
то блок интерактивного сообщения будет ожидать конца передачи. Эти задержки
возникают в точках, указанных на рис. 5. Если интерактивное сообщение
задерживается, то среднее время его задержки равно, приблизительно, половина
времени передачи исходящею почтовой блока.
По исходящему каналу передаются опросные сообщения как для почтовых, гак
и для интерактивных сообщений. После получения ЦДП ответа на опрос,
интерактивным абонентам перелаются исходящие блоки N, (например, это блоки 1 и 2), а почтовым абонентам -
исходящие блоки 7 и 8. Интерактивные блоки N, как имеющие наивысший приоритет, передаются непосредственно
друг за другом, а почтовые блоки передаются по мере освобождения исходящего
канала.
Абонент
не может передавать ответное сообщение до получения им опроса. Поэтому входящий
канал блокируется до тех пор, пока опрос достигнет абонента. Это время названо
задержкой доставки
. В результате входной канал окажется занятым не
только во время передачи ответных сообщений, но и во время задержки доставки
сообщения, что и показано на рис. 6.
В
отличие от входящего, исходящий канал занят лишь во время передачи сообщений
опроса, а также исходящих интерактивных и телеграфных блоков, и не блокируется,
поскольку инициатива опроса всегда исходит со стороны ЭВМ.
2. Задание
на курсовую работу
1. На заданном фрагменте сети найти задержку и времена
распространения сигнала на участках ветвей
. Размеры в километрах указаны в таблице 2. Номер
варианта выбирается по последней цифре зачетки.
Рис.
7
Таблица
2
|
№ варианта
|
0
|
|
L01
|
90
|
|
L12
|
162
|
|
L13
|
125
|
|
L36
|
90
|
|
L34
|
78
|
|
L45
|
162
|
Числа компьютеров Кi
в узлах i задано в таблице 3.
Всего, в каждом варианте по К=20 компьютеров.
Таблица 3
|
№ варианта
|
7
|
|
К1
|
6
|
|
К2
|
3
|
|
К3
|
5
|
|
К4
|
1
|
|
К5
|
3
|
|
К6
|
3
|
Величину
входящей нагрузки от абонентов
, примем
пропорциональной числу компьютеров Кi в узлах i.
Суммарная интенсивность поступления пакетов дли почтовых и сигнальных сообщений
[1/с]. Суммарная интенсивность поступления пакетов
интерактивных сообщений
[1/с].
2. Найти эквивалентные задержки
и
.
Проанализировать рассматриваемую сеть и занести полученные данные в таблицу 4.
Таблица 4
|
Параметр
|
Обозначение
|
Значение
|
|
Время загрузки вх. канала
почтовыми сообщениями
|
|
|
|
Время загрузки исх. канала
почтовыми сообщениями
|
|
|
|
Время загрузки вх канала
интерактивными сообщениями
|
|
|
|
Время загрузки исх. канала
интерактивными сообщениями
|
|
|
|
Коэффициент загрузки вх.
канала почтовыми сообщениями
|
|
|
|
Коэффициент загрузки исх.
канала почтовыми сообщениями
|
|
|
|
Коэффициент загрузки вх.
канала интерактивными сообщениями
|
|
|
|
Коэффициент загрузки исх.
канала интерактивными сообщениями
|
|
|
|
Коэффициент загрузки по
входящему каналу
|
|
|
|
Коэффициент загрузки по
исходящему каналу
|
|
|
.
Рассчитать полное время, ответа Т отв тг почтовых и Т отв инт
интерактивных сообщений.
4.
Вычислить время ожидания в очередях t0 инт и t0 тг.
5.
Найти задержку в очередях центров коммутации (эквивалентную).
6.
Определить время задержки почтового и интерактивного блоков в местном звене.
3. Метод
анализа
.1
Эквивалентные задержки в сети
Рассматриваемая сеть получена в результате выполнения алгоритма
маршрутизации при создании виртуальных маршрутов, и не предусматривает наличие
обходных путей.
Все
Yi(i ≠
0) являются концевыми, т.е. к каждому из них подключается абонентская нагрузка
с интенсивностью
- сообщений, направленных к ЦДП и исходящей интенсивностью
сообщений, направленных от ЦДП. (направление движения сообщений всегда
считается по отношению к ЦДП, а не по отношению к абонентам)
При
расчетах будем принимать, что входящая в ЦДП oт каждою узла
нагрузка пропорциональна числу компьютеров данного узла, т.е.
(1)
Рис.
8
Обозначим через Вч - ветвь, соединяющую узлы Yi и Yj сети. Обозначим участок сети
включающий в себя все ветви на пути от узла Yi к корневому узлу - через Вj. На рис. 8. Например, для узла Y4 такой путь В4 проходит через
вершины 0,1,3 и 4 и включает ветви В01, В13, В34.
Обозначим длину участка пути, соответствующего ветви Bij, через Lij, а длину участка сети Вi, включающего все ветви на пути от
узла Yi к корневому узлу - через Li.
(2)
Если принять скорость распространения сигнала на линейном участке сети C0 = 231*103 км/с, то
задержка времени распространения сигнала на участке ветви Bij определяется соотношением:
(3)
Задержку
распространения сигнала на всем пути от узла Yi до
корневою узла обозначим через
Вероятность возникновения такой задержки равна вероятности того, что
сообщение пришло к корневому узлу от узла Yi, то есть прошло путь Вi в направлении от узла Yi к корневому узлу.
Допустим,
что сеть имеет М узлов (не считая корневого Y0). Тогда эквивалентная задержка времени
распространения в линиях для входящих и исходящих сообщений сети определится
как средневзвешенное значений задержек
.
Помимо задержек распространения в линиях, сообщения на пути между узлом Yi и ЦДП испытывают также задержки в
центрах коммутации. Эти задержки зависят от числа центров коммутации,
встречающихся на указанном пути.
Например, для Y4 и Y5 на пути к корневому узлу Y0 встречаются по 3 промежуточных узла, а на пути от Y2 имеем только 2 узла (включая и узел Y2). Обозначим через Мi - число узлов, расположенных на пути Вi от узла Yi до корневого узла.
Если
время задержки
в каждом из узлов принять одинаковым, (
) то суммарное время задержки во всех
узлах, принадлежащих пути Вi, определится соотношением, при:
Эквивалентные
задержки в узлах для сообщений, входящих или исходящих, определяются аналогично
задержке в линии, как средневзвешенное задержек
:
В
нашем случае, оба времени
и
оказались
равны, поскольку интенсивности нагрузок приняты пропорциональными числам
компьютеров в узлах.
Итак,
разветвленная сеть, с точки зрения временных задержек распространения сигналов,
может быть заменена эквивалентным не разветвленным участком, представленным на
рис. 9.
Рис.
9
Он
характеризуется суммарными эквивалентными задержками
и
для
входящих и исходящих сообщений соответственно. При этом считается, что вся
нагрузка этого участка сосредоточена в одном узле.
Суммарное
круговое время задержки в линиях и коммутаторах сети аналогично как для
почтовых, так и для интерактивных сообщений.
Рассматриваемая
сеть представлена на рис. 10, эквивалентной двухзвенной структурой. Основное
звено ведет передачу со скоростью 2000 Кбит/с, а местное звено - между
абонентами и концентратором ведет передачу со скоростью 192 Кбит/c.
Рис.
10
Вся
эквивалентная почтовая нагрузка с интенсивностью
и
интерактивная нагрузка, с интенсивностью
сосредоточена,
соответственно в абонентских пунктах УКП.
При
оценке сетевых задержек были определены следующие составляющие, в
миллисекундах:
Таблица
5
|
Время реакции ЭВМ при вводе
- выводе
|
|
|
Задержка модемов в местном
звене
|
|
|
Задержка анализа сообщений
в центре коммутации
|
|
|
Время задержки в
концентраторе
|
|
|
Время реакции терминального
СПУ (концентратора)
|
|
|
Задержка распространения в
местной линии
|
|
|
Задержка отображения
терминалом (от окончания приема блока, до его отображения на экране
терминала)
|
|
|
Задержка печати блока
принтером
|
|
|
Время анализа на ЭВМ ЦДУ
почтовых сообщений
|
|
|
Время анализа на ЭВМ ЦДУ
интерактивных сообщений
|
|
Прежде всего, необходимо установить, будет ли система работоспособной, и,
если да, то на какое время ответа можно рассчитывать. Для этого сначала
определим коэффициент загрузки основного канала. Если он окажется приемлемым,
то оценим ожидаемое время ответа для интерактивного трафика. Для оценки
коэффициента загрузки основного канала необходимо рассчитать время, требуемое
для выполнения каждой из операций, представленных на рис. 6.
.2 Время
загрузки входящего канала почтовыми сообщениями
Из
анализа временной диаграммы, представленной для входящих почтовых сообщений
следует, что входной канал при каждом успешном опросе будет занят в течение
промежутка времени
, равного сумме длительности опросного сообщения -
; промежутка времени задержки доставки блока в
основном звене -
времени, затрачиваемого на передачу каждого входящего
ответного блока почтовых сообщений (блоки ответов 7 и 8) -
.
(12)
Время
задержки доставки
в свою очередь содержит следующие составляющие
эквивалентное
время задержки сети
;
время
задержки в модемах
;
время
задержки в сервере ЭВМ
.
(13)
Время
передачи входящего ответного почтового блока
определяется,
исходя из длины блоков почтовых сообщений втг
(14)
Время,
затрачиваемое на передачу блока опроса
,
определяется, исходя из длины блока опроса вбо.

-
времени передачи опросного сообщения
;
времени
передачи каждого из 2-х исходящих почтовых блоков (блоки 7 и 8).
(16)
.4 Время
загрузки входящего канала интерактивными сообщениями
В отличие от почтового канала, на сообщение опроса интерактивные абонент
направляют интерактивный ответ, содержащий один блок.
Время передачи указанного блока
Входной
канал при каждом успешном опросе будет занят интерактивными сообщениями в
течение времени
, равного
3.5 Время
загрузки исходящего канала интерактивными сообщениями
Каждый успешный опрос интерактивных абонентов сопровождается направлением
к ним N исходящих блоков (на рис. 6 это
блоки, например, 1 и 2).
Следовательно, при каждом успешном опросе, исходящий канал занят
интерактивными сообщениями в течение промежутка времени
(19)
3.6
Коэффициенты загрузки
Коэффициент загрузки входящего почтового канала
Коэффициент загрузки исходящего почтового канала
Коэффициент
загрузки входящего канала интерактивными сообщениями
Коэффициент загрузки исходящего канала интерактивными сообщениями
Складывая
коэффициенты загрузки, получим:
Коэффициент
загрузки по входящему каналу
Коэффициент
загрузки по исходящему каналу
Если
коэффициенты использования каналов окажутся достаточно низкими, то полученные
результаты показывают, что сеть справится с указанной нагрузкой.
4. Цикл
опроса
.1
Латентное время
Длительность цикла опроса зависит от дисциплины опроса, то есть от
приоритетов и очередности опрашиваемых станций.
Причем, что все станции, как почтовые, пак и интерактивные терминалы
имеют одинаковый приоритет и опрашиваются по одному разу в течение каждого
цикла. Интерактивным исходящим блокам, как уже было отмечено выше, отдается
относительный приоритет, исходящими постовыми блоками. Опрос в моменты, когда
исходящие сообщение отсутствуют, считается безуспешным. Каждый шаг
безуспешного опроса из М шагов цикла включает в себя три составляющие.
- время непосредственной передачи блока опроса -
- время непосредственной передачи блока безуспешного
ответа -
- промежутка времени задержки доставки блока в основном
звене -
Назовем время
латентным
временем опроса станции, а полное время - латентным временем сети.
(26)
Латентное время TL фактически представляет минимальное время цикла опроса сети, когда в ней
полностью отсутствует абонентская нагрузка. Если же в сети имеется абонентская
нагрузка, то время полного цикла опроса Тц увеличивается, поскольку,
каждый последующий шаг опроса задерживается на время передачи исходящих oт ЭВМ блоков нагрузки.
В
установившемся режиме, за время цикла в среднем поступает
интерактивных и
почтовых
запросных сообщений. В результате ответов на каждый запрос по исходящему каналу
от ЭВМ, в течение времени
передаются ответные интерактивные сообщения, а в
течение времени
передаются ответные почтовые сообщения.
Полное
время, затрачиваемое на передачу всех интерактивных сообщений
(27)
Полное
время, затрачиваемое на передачу всех почтовых сообщений
При
этом, время полного цикла
(29)
Это
соотношение устанавливает зависимость времени опроса сети от абонентской
нагрузки.
При малых значениях исходящей нагрузки времена цикла незначительно
отличается от латентного времени сети.
При
значительных нагрузках (
) время цикла неограниченно возрастает, поскольку
возрастают очереди исходящих сообщений, ожидающих передачу. Например, если опрашивается К =20
абонентских станций, то для значений нагрузки
и
И
незначительно отличается от латентного времени
.
Однако же при нагрузке
, время цикла достигнет значения 1,8 секунды.
.2
Голосовые сообщения
информационный управляющий канал сообщение
Формирование голосового трафика рассмотрим на примере алгоритма сжатия ADPCM(G726).
Кодек кодирует речь абонента и имеет АЦП, который производит 8000
отсчетов в секунду. Каждый отсчет содержит 16 бит. Следовательно,
производительность АЦП составляет 128 кбит/с.
Кодек сжимает указанную информацию в 4 раза, доводя скорость потока до 32
кбит/с (Различные кодеки (формируют скорость цифрового потока а пределах
8
÷ 64 кбит/с).
Поток 32 кбит/с сегментируется па речевые пакеты длиной по 20 байт
длительностью 5 мс.
.
Размер
голосовой (информационной) части IP-пакета составляет 320 байт.
Всего, 364 байт (2912 бит)
|
ИМС
|
IP
|
UDP
|
RTP
|
Голос
|
КПК
|
|
20
|
8
|
-
|
12
|
320
|
Формат конечного IР-кадра
Это означает, что в одном кадре передается ровно 16 речевых пакетов
Время,
необходимое для формирования 16 голосовых пакетов составляет 90 мс
.
Указанное
время является периодом поступления кадров для одного голосового абонента, в
реальном времени, в случае его активности.
В
течение цикла опроса, ЭВМ ЦДП передает каждому из абонентов по N
исходящих сообщений, каждое из которых несет полезную нагрузку
(не считая служебной информации).
Если
после передачи N исходящих сообщений, в ЦДЛ остались еще сообщения,
подлежащие передаче, то они будут переданы абоненту в следующем цикле и т.д. до
тех пор, пока будут переданы все сообщения, предназначенные данному абоненту.
Для получения очередной партии сообщении абонент должен нажать соответствующую
клавишу на своем телефонном аппарате или терминале. В аналогичном режиме
работают автоматизированные диалоговые системы на современных Саll-центрах.
Для непрерывного звучания голосового сообщения, длящегося в течение нескольких
циклов, получаемые блоки буферизируются и выдаются абоненту в виде непрерывного
сообщения.
Средняя
скорость (пропускная способность) передачи голосовой информации должна
соответствовать кодеку, используемому в абонентском терминале. Так, для времени
цикла Тц =0,32 с и N=5, средняя допустимая скорость
передачи голосовой информации к каждому из абонентов составляет
Подобная
скорость вполне достаточна для звукового кодека, работающего в указан ном
диапазоне скоростей, поскольку рассматриваемый кодек предусматривает скорость
передачи лишь 32 кбит/с.
Если увеличить число блоков N, передаваемых в течение одного цикла, то скорость Vn вначале также будет увеличиваться.
Однако, при этом, будет возрастать время цикла Тц. Следовательно,
имеется некоторое оптимальное число блоков Nопт, при котором скорость достигнет своего максимального
значения Vmax. С использованием расчетов на ЭВМ
можно легко определить указанное оптимальное значение Nопт, и соответствующее ему, максимальное значение скорости
передачи голосовых сообщений.
5. Время
ожидания в очередях
.1 Время
ожидания сообщений в очередях ЭВМ ЦДП
Перед выходом на передачу любой, исходящий из процессора ЭВМ, блок должен
некоторое время ожидать в очереди. В общем случае при использовании
относительных приоритетов обработка сообщений организуется по схеме рис. 11
Рис.
11
Сообщениям
типа Z1,…,Zn присвоены относительные приоритеты 1,…,n
соответственно. Сообщение Zp, поступившее в систему, и ожидающее передачи,
заносится в очередь Ор, в которой хранятся сообщения приоритета Р. В
очереди Ор сообщения упорядочены по времени их поступления. Когда
процессор Пр заканчивает передачу ранее обслуживаемого сообщения, то управление
передается программе "ДИСПЕТЧЕР”. Программа выбирает для очередной
передачи сообщение с наивысшим приоритетом - сообщение Zi,
если очереди более старших приоритетов О1,..,Оi-1 не содержат сообщений
(т.е. оказываются пустыми). Выбранное для передачи сообщение захватывает
исходящий канал на все время передачи. Если в систему поступает n
простейших потоков сообщений с интенсивностями
, а длительность передачи сообщений каждого типа имеют
средние значения
и вторые начальные моменты
, соответственно, то среднее время ожидания сообщений,
имеющих приоритет k, определится соотношением
(31)
где
Используя
понятие коэффициента вариации
где
- среднеквадратическое отклонение времен передачи
сообщений i-го типа, получим соотношение:
В рассматриваемом нами конкретном случае анализа сети имеются всего два
типа передаваемых блоков сообщений: исходящие интерактивные блоки, имеющие
более высокий приоритет, и исходящие почтовые блоки, имеющие более низкий относительный
приоритет.
Следовательно,
Для
сообщений первого приоритета
Для
сообщений второго приоритета
Следовательно,
для интерактивных блоков:
Для
почтовых блоков:
Для
вычисления значений коэффициентов вариации длин блоков необходимо учесть
следующее:
При каждом успешном опросе, ЦДП передает абоненту случайное число N исходящих блоков. Будем считать, что
случайная величина N распределена по
экспоненциальному закону.
Это
означает, что коэффициент вариации
(34)
Поскольку
почтовые сообщения имеют постоянную длину,
(35)
Расчет показывает, что при малой загрузке, время ожидания в очереди
блоков почтовых сообщений незначительно превышает время ожидания блоков
интерактивных сообщении (сообщений мало и они не мешают друг другу при
передаче). С увеличением нагрузок ранним возрастает за счет того, что
интерактивные блоки сообщений "выясняют" почтовые.
5.2 Время
ожидания в очередях в узлах коммутации
Блоки сообщений, попадающие в центры коммутации, анализируются и
направляются в соответствии с указанным в них адресом получателя через другие
центры коммутации к абоненту или к ЭВМ. Прежде, чем центр коммутации (ЦК)
прочтет адрес для направления блока, необходимо, чтобы вся управляющая часть
блока (ву = 19 байт), содержащая адресную информацию, была полностью
принята УК. Затрачиваемое на это время
(36)
Затем,
спустя некоторое время реакции УК (
рцк=1 мс), если очередь сообщений в УК отсутствует,
рассматриваемый блок направится дальше к следующему центру коммутации.
Одновременно
с приемом блоков УК ведет передачу выходящих из него блоков.
Время
(37)
является полным временем, необходимым дня обслуживания передачи блока
сообщений в УК.
Интерактивные
и почтовые блоки сообщений поступают в УК вперемешку. При этом в него попадают
как исходящие от ЭВМ ЦДП, так и предназначенные для нее блоки. Поэтому при
рассмотрении времени ожидания очереди на передачу сообщения УК-
необходимо учитывать полную загрузку сети
(38)
Учитывая,
что
является величиной постоянной (
= 0), для определения значения времени tцк следует воспользоваться соотношением
(39)
Ввиду
малой нагрузки эта величина получилась весьма незначительной, однако, при
возрастании суммарной загрузки в 2 раза значение
увеличивается,
а при дальнейшем повышении нагрузки центры коммутации могут оказаться «узким
местом» сети.
Значение
эквивалентного времени ожидания в очередях центров коммутации определяется
соотношением
(40)
аналогично
тому, как это делалось при определении эквивалентной задержки в центре
коммутации. Если принять, например, что для рассматриваемой сети каждый блок
проходит один раз через 3,5 узла коммутации, то
(41)
Указанная
задержка и должна учитываться при определении времени ответа для интерактивных
и почтовых сообщений.
5.3 Время
задержки доставки ответа для интерактивных сообщений
Под временем задержки доставки ответа понимается промежуток времени с
момента нажатия отправителем кнопки "Передача" до момента появления у
получателя первого символа ответного сообщения или первого звука в его
телефонной трубке.
Время цикла опроса является одной из наиболее существенных составляющих
задержки доставки ответа. С момента нажатия абонентом кнопки
"Передача" на терминале должно пройти в среднем половина времени
опроса, пока до станции, осуществляющей передачу, дойдет очередность опроса.
Время задержки интерактивного блока сообщений в местном звене имеет
несколько составляющих:
(42)
§
Время реакции сервера ПУ (СПУ)
§ Время передачи
сообщений в местной линии:
(43)
§ Время задержки
в очереди сервера СПУ:
зк=6 мс;
§ Время задержки
из-за трафика исходящих от ЭВМ почтовых сообщений:
Эта
задержка происходит, если концентратор работает в полудуплексном режиме и не
может направить сообщение в сторону ЭВМ до тех пор, пока он не завершит прием
исходящего от нее почтового блока. Если такой блок уже передается, то время
задержки составит половину времени его передачи
.
Вероятность того, что этот блок передается, в точности равна коэффициенту
загрузки канала исходящими почтовыми сообщениями Rисх тг.
Следовательно,
общее время задержки, обусловленное трафиком исходящих от ЭВМ ЦДП почтовых
сообщений
(44)
При
передаче по основному звену
необходимо
учитывать задержку модема
=5 мс, задержку эквивалентных звеньев сети
и
, реакцию
на вводе в ЭВМ
, интерактивный блок, поступивший в ЭВМ обрабатывается
в ней в течение времени
, затем направляется получателю. При выходе из ЭВМ,
направляемый к получателю интерактивный блок может быть задержан уже
передающимся почтовым блоком. Эта задержка в точности равна ранее рассмотренной
задержке
. Ниже, приведены все составляющие, образующие время
задержки доставки ответа для интерактивных сообщений на пути от
абонента-отправителя, через ЭВМ к абоненту-получателю.
Время ответа для интерактивных сообщений
Таблица 6
|
Составляющая времени ответа
|
Обозначение
|
Время, мс
|
|
Средняя задержка опроса
|
187,5
|
|
|
Время реакции ЭВМ при вводе
- выводе
|
1
|
|
|
Время передачи сообщения в
местной линии
|
15,17
|
|
|
Время задержки в
концентраторе
|
6
|
|
|
Задержка модемов в местном
звене
|
5
|
|
|
Суммарное круговое время
задержки в линиях и коммутаторах сети
|
6,143
|
|
|
Задержка в очередях центров
коммутации (эквивалентная)
|
2,394
|
|
|
Задержка анализа на ЭВМ
интерактивных и почтовых сообщений
|
50
|
|
|
Задержка, вызываемая
трафиком исходящих от ЭВМ почтовых сообщений
|
0,023
|
|
|
Время ожидания в очереди на
передачу для интерактивных сообщений
|
0,115
|
|
|
Время ожидания в очереди на
передачу для почтовых сообщений
|
0,125
|
|
|
Время передачи первого
исходящего интерактивного блока по основному звену
|
1,456
|
|
|
Итого, время ответа для
интерактивных сообщений
|
274,926
|
|
Суммарное время ответа Тотв инт для интерактивных
сообщений не превышает 0,274 сек, что можно считать вполне удовлетворительным.
Большая часть этого времени затрачивается на задержки опроса, а в течении
остальных 50 мс осуществляется поиск и обработка информации на центральной ЭВМ.
Длительность передачи интерактивной информации пользователю может быть весьма
значительной и составлять несколько секунд. И в течение всего указанного
времени, сеть должна обеспечивать одновременную передачу голосовой информации
всем двадцати пользователям.
5.4 Время
доставки почтовых сообщении
Если в течение цикла опроса Тц почтовые и интерактивные
абоненты опрашиваются по одному разу, то задержка начала передачи, вызванная
временем цикла опроса для интерактивных и почтовых сообщений, будут
одинаковыми. Время задержки почтового блока в местном звене имеет тe же составляющие, что и для
интерактивного, однако, время передачи блока в местной линии будет другим
(45)
Исходящие
от ЭВМ почтовые блоки сообщений имеют но отношению к исходящим
интерактивным блокам более низкий приоритет, поэтому очередь исходящих почтовых
блоков, ожидающих передачу из центральной ЭВМ, окажется больше. Значение
времени ожидания
. Начало передачи блоков почтового сообщения, после
его выборки из очереди задерживается передаваемым в это время интерактивным
блоком. Время задержки из-за трафика исходящих от ЭВМ интерактивных блоков
. Проведя рассуждения, аналогичные тем, которые давались
при рассмотрении задержки интерактивных сообщений, получим соотношение:
(46)
Далее,
направленный от ЭВМ почтовый блок проходит по линии основного звена, на что
затрачивается
тг. Далее,
необходимо учитывать те же составляющие задержек, что и для интерактивных
сообщений на ЭВМ τатг=50 мс,
время ожидания в очереди
, время на передачу почтовых и интерактивных блоков
различны, а на приеме задержка печати принтером τп=200 мс.
Ниже,
в таблице приведены все составляющие, образующие время задержки доставки
почтового сообщения на пути от абонента-отправителя, через ЭВМ
абоненту-получателю.
Время ответа для почтовых сообщений
Таблица 7
|
Составляющая времени ответа
|
Обозначение
|
Время, мс
|
|
Средняя задержка опроса
|
187,5
|
|
|
Время реакции ЭВМ при вводе
- выводе
|
1
|
|
|
Время задержки в
концентраторе
|
6
|
|
|
Время передачи сообщения в
местной линии
|
22,125
|
|
|
Время задержки сообщения в
местной линии
|
|
|
|
Время задержки из-за
трафика исходящих от ЭВМ почтовых сообщений
|
0,023
|
|
|
Время входящей передачи по
основному звену
|
21,415
|
|
|
Время задержки модемов
|
5
|
|
|
Задержка эквивалентного
звена сети для входящих сообщений
|
3,0715
|
|
|
Задержка эквивалентного
звена сети для исходящих сообщений
|
3,0715
|
|
|
Задержка в очередях центров
коммутации (эквивалентная)
|
2,394
|
|
|
Задержка анализа на ЭВМ
почтовых сообщений
|
50
|
|
|
Время ожидания в очереди на
передачу в основное звено
|
0,125
|
2,124
|
|
|
Задержка начала печати
принтера
|
200
|
|
|
Итого, время ответа для
почтовых сообщений
|
489,9
|
|
Суммарное время Tотв
тг=489,9 мс,
получилось несколько большим, чем время ответа Tотв инт=274,926 мс. Это обусловлено в основном задержкой принтера
печати. Сетевые задержки отличаются незначительно. Это обусловлено малыми
нагрузками. Если любую из нагрузок увеличить, то время задержки доставки
почтовых сообщений резко возрастет.
Список
литературы
1. «Системы
документальной электросвязи (курс лекций)» / Лихциндер Б.Я., Зайкин В.П. -
Самара, 2010.
2. Методическое
пособие.