Реологічні властивості поліметисилоксану-100
Міністерство
освіти і науки України
Кафедра
загальної фізики
Реологічні властивості ПМС-100
Курсова
робота
Зміст
ВСТУП
РОЗДІЛ І. ОГЛЯД СУЧАСНИХ ТЕОРІЙ ВЯЗКОСТІ РІДИНИ
1.1 Вступ до теорії в’язкої течії
1.2 Теорія О.І. Бачинського
1.3 Теорія в’язкості Я.І. Френкеля
1.4 Теорія в’язкості Г. Ейрінга
1.5 Огляд деяких модельних теорій в’язкості рідин
1.5.1 Теорія О.С. Предводителєва
1.5.2 Діркова теорія рідкого стану
1.5.3 Механізм течії в’язкої рідини і його зв’язок з максвеллівською
теорією релаксаційної пружності
РОЗДІЛ ІІ. МЕТОДИКА ВИМІРЮВАННЯ В’ЯЗКОСТІ ТА ГУСТИНИ РІДИНИ
2.1 Капілярний метод вимірювання в’язкості
2.2 Пікнометричний метод вимірювання густини
2.3 Розрахунок похибок експериментальних вимірювань
РОЗДІЛ ІІІ. РЕЗУЛЬТАТИ ЕКСПЕРИМЕНТАЛЬНИХ ДОСЛІДЖЕНЬ ПМС 100
3.1 Характеристика об’єкту дослідження
3.2 Температурна залежність густини і кінематичної в’язкості ПМС-100
3.3 Розрахунки активаційних параметрів в’язкої течії за теорією Я.І.
Френкеля
ОСНОВНІ РЕЗУЛЬТАТИ І ВИСНОВКИ
СПИСОК ВИКОРИСТАНОЇ ЛІТЕРАТУРИ
ВСТУП
Актуальність теми. Вивчення природи рідкого стану
розвивається в основному у двох напрямках. Один із них, спираючись на результати
рентгенографічного аналізу, вважає рідкий стан близьким за природою до твердого
і являє собою “зіпсовану” картину ідеально упорядкованої
кристалічної структури. Теоретичне
трактування питання про природу рідини у випадку уявлень про рідину як про
реальний газ ґрунтується на методах статистичної механіки, розроблених для
газового стану.
Для побудови теорії в’язкої течії важливо, з яких уявлень про
природу рідини виходить автор теорії, бо час чисто феноменологічного
трактування питання вже пройшов, і перед кожним автором теорії постає питання
про те, що ж являє собою експериментальний процес течії і які потрібні основні
характеристики рідкого стану, щоб створити теорію, яка, узгоджуючись з
експериментом, дає кількісний вираз для зміни в’язкості з підвищенням
температури.
Основне завдання молекулярної теорії рідини полягає у
встановленні зв`язку між властивостями рідких систем та їх будовою, виявленні
молекулярних механізмів та нерівноважних процесів, що протікають у результаті
теплового руху.
Для потреб сучасної техніки необхідне знання теплофізичних та
реологічних властивостей рідин. У цій області разом з експериментальними
роботами широко проводяться теоретичні дослідження по дифузії, теплопровідності
та в’язкості газів та рідин. Експериментальні і теоретичні дослідження
органічних рідин вздовж кривої рівноваги продовжують залишатися одними із
актуальних задач фізики конденсованого стану речовини.
Енергетика багатьох сучасних хімічних процесів і деяких
виробництв синтетичного волокна заснована на застосуванні рідких полімерів і
робочих середовищ із специфічними хімічними, теплофізичними і реологічними
властивостями. На таких виробництвах успішно застосовують нетоксичні
кремнійорганічні рідини - теплоносії, що відрізняються достатньо високою
термічною та хімічною стабільністю і температурою самозаймання.
Вимірювання в’язкості є одним із найважливіших технічних досліджень
багатьох рідких речовин; сама ж природа в’язкості рідин до цього часу
залишається недостатньо з’ясованою.
Метою роботи є дослідження реологічних властивостей
поліметисилоксану-100: температурних залежностей в’язкості та густини.
Завдання курсової роботи:
1) Розглянути сучасні теорії в’язкості рідини: теорію О.І.
Бачинського, Я.І.Френкеля, Г. Ейрінга, О.С. Предводителєва.
2) Опанувати капілярний метод вимірювання в’язкості і
пікнометричний метод вимірювання густини.
) Дослідити температурну залежність густини, зсувної
та кінематичної в’язкості ПМС-100.
) Розрахувати активаційні параметри в’язкої течії за
теорією Френкеля.
Предметом дослідження є реологічні властивості рідкого
полімеру ПМС-100.
Об’єктом дослідження є вивчення температурних залежностей
густини і зсувної в’язкості та механізму в’язкої течії ПМС-100.
Методами дослідження є пікнометричний метод вимірювання
густини і метод капілярної віскозиметрії.
Практичне значення роботи. Велику роль у вивченні фізичних
властивостей рідини відіграють експериментальні методи.
Тому опанування експериментальних методів реології, отримання
даних про температурну залежність густини і зсувної в’язкості ПМС-100 та
дослідження можливості застосування теорії в’язкості Френкеля до силоксанового
рідкого полімеру окреслює практичне значення даної курсової роботи.
РОЗДІЛ І. ОГЛЯД СУЧАСНИХ ТЕОРІЙ ВЯЗКОСТІ РІДИНИ
1.1
Вступ до теорії в’язкої течії
В’язкість або внутрішнє тертя - це властивість текучих тіл
(рідин і газів) чинити опір переміщенню однією частини щодо іншої.
В’язкість рідин і газів зумовлена обміном імпульсу між
молекулами швидкого і повільного шарів, а сила внутрішнього тертя (тобто
в’язкість) дорівнює імпульсу, переданому за одну секунду.
Величина, обернена до в’язкості, називається текучістю.
Багато дослідників, особливо Бінгам, вважають, що у теоретичних розробках про
будову рідин зручніше користуватися як величиною для порівняння текучістю, а не
в’язкістю.
Стокс говорив про “внутрішнє тертя”; цим виразом часто
користуються німецькі автори.
Основними кількісними характеристиками в’язкості є динамічний
коефіцієнт в’язкості
і кінематичний коефіцієнт в’язкості
.
Динамічний коефіцієнт в’язкості чисельно дорівнює силі в’язкого тертя,
що діє між шарами з площею дотику 
,
які знаходяться на відстані
,
коли різниця швидкостей 
.
Він завжди залежить від природи рідини (маси, розмірів і форми молекул) і
температури. Із зростанням температури
зменшується,
якщо в рідині при цьому немає структурних змін. Рідини, в яких
залежить лише від природи рідини і температури і не
залежить від градієнта зсуву, називаються ідеально в’язкими (ньютонівськими,
простими), а в яких
залежить ще і від інших факторів, вказаних вище,
називаються неньютонівськими (складними). Одиниця вимірювання коефіцієнта
динамічної в’язкості - 
.
Виділяють також кінематичний коефіцієнт в’язкості 
,
що є відношенням динамічного коефіцієнта в’язкості до густини речовини

Одиниця вимірювання кінематичного коефіцієнта в’язкості - 
.
Коефіцієнт 
на
відміну від
виражається величинами, які не пов’язані з масою
рідини, тобто величинами, які носять, так би мовити, кінематичний характер, у
той час як 
носить
динамічний характер; звідси походять їхні назви - динамічний та кінематичний.
Існує точка зору, що поняття про кінематичну в’язкість повинне
розглядатися як основне, а звичайна динамічна в’язкість повинна виводитися з
нього, а не навпаки.
Число Рейнольдса встановлює верхню межу градієнта швидкості, при якому
можна працювати без того, щоб в’язка течія рідини переходила у хаотичну чи
турбулентну, до якої прості закони незастосовні. Для нижньої межі градієнта
швидкості не було знайдено такого універсального критерію. Стокс відмічає, що
“мабуть не існує демаркаційної лінії між твердим тілом і в’язкою рідиною…
Перехід від в’язкої рідини до того, що ми називаємо ідеальною рідиною,
настільки ж поступовий, як і від твердого тіла до в’язкої рідини” і треба
прикласти певну, хоча й досить малу силу, для того щоб вивести рідину із її
стану спокою і щоб її молекули прийняли нове положення рівноваги.
Максвелл дав таке визначення коефіцієнта в’язкості:
“Коефіцієнт в’язкості рідини чисельно дорівнює тангенціальній силі, що діє на
одиницю поверхні однієї з двох паралельних площин, відстань між якими дорівнює
одиниці довжини, причому простір між цими двома площинами заповнений
досліджуваною рідиною, і одна із площин рухається у своїй площині відносно
іншої зі швидкістю, що дорівнює одиниці” [1].
Механізм виникнення в’язкості не вдається уявити настільки простим, як
в розріджених газах, коли картина зводиться до переносу імпульсу упорядкованого
руху шарів газу при переході молекул із одного шару в інший в результаті
молекулярного руху. Коли прийняти цю картину і застосувати механізм “стрибків”
молекули із “осілого” положення в одному шарі в “осіле” положення молекули в
іншому шарі, то для динамічної в’язкості 
отримуємо
залежність від температури, яка суперечить експерименту, а саме,
~
,
у той час як експеримент показує залежність вигляд
~
Картина “перестрибування” із одного “осілого”
положення в інше
може бути у визначених межах збережена, але необхідно розглядати ці
перестрибування у напрямку дії сили, тобто перпендикулярно до градієнта
швидкості. При цьому процес виявляється залежним від конкретних особливостей
міжмолекулярних сил. Молекулі доводиться “вириватися” із свого оточення, щоб пересунутися у
напрямку дії сили. Зв’язки між молекулами, які при цьому доводиться долати,
аналогічні тим, які долаються при випаровуванні. Розрахунок процесу надзвичайно
складний. При цьому виявляється, що динамічна в’язкість залежить від зовнішньої
сили, хоча ця залежність і не завжди істотна. Наприклад, для звичайних рідин
при не дуже великих значеннях зовнішніх сил ця залежність неістотна.
Динамічна в’язкість добре описується формулою вигляду

де 
і 
визначаються властивостями рідини. Найбільш
істотним наслідком цієї формули є характер залежності динамічної в’язкості
рідин від температури: при підвищенні температури їх динамічна в’язкість сильно
зменшується. Така поведінка динамічної в’язкості рідин протилежна
спостережуваній у газах, динамічна в’язкість яких з підвищенням температури
збільшується.
При температурах, близьких до критичної, в’язкість рідини наближається
до в’язкості її насиченої пари. Але з пониженням температури в’язкість рідини
дуже сильно зростає і у переохолоджених рідин досягає надзвичайно великих
значень. Величезна в’язкість переохолоджених рідин надає їм подібність до
властивостей твердого тіла. Напевно, кожному доводилося спостерігати, як твердий
шматок воску, зігрітий в руках, робиться абсолютно м’яким.
Зі зниженням температури коефіцієнт в’язкості рідини зростає приблизно
за експоненціальним законом.
Температурна залежність в’язкості рідин визначається співвідношенням

де
- стала; 
-
енергія активації в’язкої течії, тобто енергія, яка потрібна для переходу
молекули в нове положення; 
-
стала Больцмана; 
-
абсолютна температура.
Структурно-механічні властивості середовищ і тіл досліджують методами
реології - науки про деформації і течію матеріальних систем. Сам же термін “реологія”
з’явився в середині 30-х рр. ХХ ст., хоча першими дослідженнями реології,
відомими в наш час, можна назвати роботи єгиптянина Аменемхета, що жив
приблизно в 1540 р. до н.е. При конструюванні водяного годинника він вводив
поправку на зміну в’язкості води через значний перепад між денною і нічною
температурою.
Власне реологія вивчає механічні властивості систем за проявами
деформації під дією зовнішніх напружень. Методи реології широко використовують
для дослідження молекулярної структури і опису в’язких властивостей
різноманітних систем.
Реологічні властивості ідеальних рідин однозначно характеризуються
в’язкістю (коефіцієнтом динамічної в’язкості).
де 
та
- сталі; 
-
питомий об’єм.
Із роботи Бачинського випливає, що чим більший питомий об’єм рідини,
тим меншою буде в’язкість. Але з підвищенням температури питомий об’єм зростає,
наслідок чого в’язкість буде зменшуватись. Отже, як бачимо, формула О.І.
Бачинського повністю відповідає експериментові.
Аналіз роботи Бачинського приводить до висновку, що 
не
може бути меншим від 
,
тобто 
являє
собою не що інше, як граничний об’єм рідини. Отже, різниця 
-
вільний об’єм. Згідно з О.І. Бачинським, 
-
це деяка проміжна величина між питомим об’ємом рідини і твердого тіла при
температурі тверднення, тобто 
Тепер рівняння О.І. Бачинського вже добре обґрунтовано. Його
теоретичному обґрунтуванню присвячено багато праць, серед яких назвемо роботи
О.С. Предводителєва.
1.3
Теорія в’язкості Я.І. Френкеля
У 1925 році Френкель розвинув свою молекулярно-кінетичну теорію
в’язкості рідин. Більш ранні спроби пояснення в’язкості рідин виходили із
загальноприйнятої на той час аналогії між рідким і газоподібним станом і
зводили походження в’язкості до одного і того ж механізму перенесення кількості
руху при змішуванні частинок. У випадку газів цей механізм виправдовується тим,
що більшу частину часу частинки рухаються прямолінійно і рівномірно, так що
кількість руху кожної з них залишається сталою. За таких умов ліквідацію
відмінності у макроскопічному русі сусідніх шарів (чи елементів об’єму) можна
трактувати як результат змішування молекул з різними додатковими
(макроскопічними) швидкостями.
Запишемо формулу

,
(*)
де 
і

-
деякі сталі, 
-
термодинамічна температура, 
-
універсальна газова стала,
-
стала Больцмана

,

-
число Авогадро
Ця формула, як і розвиток теорії в’язкості рідин, пов’язані з роботами
Арреніуса, який вперше і запропонував для опису температурної залежності
в’язкості схожий емпіричний вираз. Хоча, варто зазначити, що у своїх працях
Арреніус привів більш загальну формулу

де 
-
деяка стала.
У деяких джерелах формулу (*) називають формулою Андраде, хоча цей
вчений проводив свої дослідження пізніше. Андраде припускав, що передача руху
від шару до шару рідини, що тече, здійснюється не шляхом перестрибування
молекул, як у газів, а внаслідок тимчасового з’єднання їх на межі шарів. У
кінцевому вигляді формула Андраде може бути записана у вигляді
або

,
де 
-
стала, пропорційна до частоти коливань молекул;

- стала, пропорційна до потенціальної енергії;

-
питомий об’єм;

-
густина.
У 1925 р. Я.І. Френкель на основі молекулярно-кінетичних уявлень
пропонує об’єднати такі, здавалося б, на перший погляд взаємовиключні
властивості тіл, як текучість і твердість. На основі цих уявлень Френкель
теоретично отримує і формулу Арреніуса. Результати його роботи детально
представлені в монографії “Кінетична теорія рідин”, яка
вперше вийшла у 1945 р. Практично одночасно аналогічні роботи з’явилися і за
кордоном, найбільш детально розробленою можна вважати теорію Ейрінга, названу
ним “Теорією абсолютних швидкостей реакції” (1946).
Теорія рідин Френкеля відразу отримала велику популярність і визнання і
значною мірою стимулювала розвиток фізики рідин (конденсованого стану).
Трактувати в’язкість рідини як результат переносу у ній кількості руху
є абсолютно безглуздим, бо кількість руху кожної окремої частинки не є сталою
навіть приблизно, як у випадку газів, але швидко коливається у зв’язку з
коливаннями частинки навколо положення рівноваги. За таких умов можна виходити
безпосередньо із рухливості окремих частинок, тобто середньої швидкості, яка набувається
будь-якою з них відносно оточуючих, коли на неї діє сила, що дорівнює одиниці,
у той час як оточуючі частинки не відчувають дії якихось зовнішніх сил.
Очевидно, що текучість рідини, вимірювана величиною, оберненою до коефіцієнта
в’язкості, повинна бути пропорційна рухливості частинок, що її утворюють. А так
як остання, згідно з співвідношенням Ейнштейна, в свою чергу пропорційна до
коефіцієнта дифузії, звідки слідує, що в’язкість рідин у твердоподібному стані
(тобто поблизу температури тверднення), на противагу в’язкості газів, повинна
бути не прямо пропорційна до коефіцієнта дифузії, а навпаки, обернено
пропорційна до нього. Цією обставиною відразу ж пояснюється той факт, що з
підвищенням температури в’язкість рідин зменшується. Так як коефіцієнт дифузії
(самодифузії) рідин пропорційний до виразу 
,
то цим же виразом повинна визначатися і текучість рідин. Іншими словами, їх
в’язкість як функція температури повинна визначатися формулою вигляду

де коефіцієнт
можна вважати приблизно сталим.
1.4
Теорія в’язкості Г. Ейрінга
Серед робіт, які присвячені в’язкості рідин, заслуговують на
увагу праці Г. Ейрінга. Він вважає, що молекула може змінити своє положення
лише тоді, коли в рідині утвориться пустота (дірка), в яку і може ввійти рухома
молекула. На утворення цієї дірки витрачається певна енергія. Згідно з
положенням Г. Ейрінга, що процес утворення дірок є еквівалентним процесові
випаровування, ця енергія дорівнює енергії випаровування рідини, тобто
Але експериментальні результати приводять до співвідношення

де 
у випадку сферичних і 
у випадку полярних, або витягнутих молекул.
Для коефіцієнта в’язкості Г. Ейрінг одержав вираз

де 
- молекулярна маса; 
-
об’єм; 
-
універсальна газова стала.
В’язкість рідин під великими тисками залежить від тиску, а при малих
майже не залежить. Цей факт пояснюється тим, що під великими тисками змінюється
певною мірою характер теплового руху молекул рідини. Молекулам важче змінювати
положення рівноваги. Сусідні молекули чинять більший опір тій молекулі, яка
хоче перейти в нове положення рівноваги, тобто в’язкість рідини зростає.
В’язкість залежить також від складу рідини. Дослідами доведено, що
в’язкість розчинів залежить від концентрації. Але дотепер теорія ще не дала
строгого виразу, який би описував концентраційну залежність в’язкості рідин.
Наближено її описує формула Арреніуса

де 
-
молярна частка однієї з компонент;
і

-
відповідно в’язкість складових суміші.
Тепер розроблено багато методів вимірювання в’язкості. Вони поділяються
на стаціонарні і нестаціонарні. До перших належать капілярний метод, метод
падаючої кульки тощо. Нестаціонарні методи базуються на спостереженні
крутильних коливань системи, яка пов’язана з рідиною.
1.5
Огляд деяких модельних теорій в’язкості рідин
1.5.1
Теорія О.С. Предводителєва
Розглядаючи в’язкість рідин, О.С. Предводителєв виходив з двох форм
теплового руху молекул рідини. По-перше, цей рух складається з випадково
блукаючих молекул рідини, і, по-друге, молекули коливаються навколо положення
рівноваги. Ці коливання О.С. Предводителєв розглядає як суперпозицію пружних
хвиль. Для коефіцієнта кінематичної в’язкості 
вчений
одержав вираз
де 
;

-
температуропровідність рідини; 
-
коефіцієнт, який визначається характером міжмолекулярних сил; 
-
густина; 
-
стала.
1.5.2
Діркова теорія рідкого стану
Зовнішня цілісність рідкого тіла до деякої міри лише здається
такою і насправді воно пронизане великою кількістю поверхонь розриву, які за
відсутності розтягуючих зовнішніх зусиль не встигають розвинутися і спонтанно
закриваються в одному місці, виникаючи при цьому в інших і утворюючи в тілі у
кожний даний момент часу сукупність мікропорожнин, чи “кавітацій”, у вигляді
тріщин, дірок і т.д. Виникнення і зникнення цих мікропорожнин, які у подальшому
ми будемо називати просто “дірками”, здійснюється як результат флуктуацій,
пов’язаних з тепловим рухом. Звичайно у теорії флуктуації густини у твердих і
рідких тілах розглядаються лише такі зміни густини, які пов’язані із загальним
збільшенням чи зменшенням відстаней між частинками, тобто які дещо викривляють
однорідність тіла у малих об’ємах, не порушуючи її істотним чином. У будь-якому
макроскопічно однорідному тілі поряд із подібними “гомофазними” флуктуаціями
повинні існувати “гетерофазні” флуктуації, що приводять до утворення зародків
нової фази, наприклад твердої чи газоподібної фази у рідкій фазі і т.д.
Виникнення у рідині дірок можна розглядати як частинний випадок подібних
гетерофазних флуктуацій; при цьому дірки можна було б трактувати як пухирці
пари у тому випадку, коли вони б були достатньо великими для того, щоб містити
достатньо велику кількість частинок пари. Подібні умови можуть фактично
існувати в рідині лише поблизу температури кипіння; у інших випадках порожнини,
що у них виникають, занадто малі для того, щоб можна було говорити про
заповнення їх парою. За таких умов маленькі дірки, які виникають завдяки
флуктуаціям густини, повинні вважатися пустими; флуктуації, що приводять до їх
утворення, можна було б назвати “кавітаційними флуктуаціями”.
Дірки можна вважати більш чи менш великими проміжками між
молекулами, які не мають ні певних розмірів, ні форми і можуть спонтанно
виникати, розширюватися, стискатися і знову зникати, а також переміщуватися
шляхом закриття у одному місці і виникненні в сусідньому.
Подібне уявлення про дірки у рідинах висувалося рядом авторів
незалежно один від одного. У найбільш радикальній формі воно було розвинуто у
1935 р. Алтаром [8], що трактував рідину як
сукупність дірок, що вільно рухаються, відносно яких молекули грають роль
простого обрамлення. Подібні уявлення були розвинуті у 1941 р. Фюртом [8], що
розглядав дірки у рідині як маленькі пухирці пари (не помічаючи, що вони для цього
занадто малі) і намагався, з доволі сумнівним успіхом, застосувати ці уявлення
до пояснення ряду основних властивостей рідин: стисливості, теплового
розширення, в’язкості і теплопровідності.
Виникнення кавітаційних флуктуацій у рідинах слід розглядати
як наслідок малої стійкості чи навіть нестійкості правильного розміщення
частинок при надто великих відстанях між ними.
Діркова концепція рідкого стану застосовна, очевидно, лише в
області не надто високих температур і тисків. Поблизу критичної точки середня
густина рідини стає настільки малою (критичний об’єм, як відомо, приблизно у
2,5 рази більший за мінімальний об’єм), що поняття дірок взагалі втрачає сенс,
подібно до того як воно не має його у випадку газоподібного стану. До того ж
сили зчеплення між частинками стають у цій області неістотними і не можуть
забезпечити не лише їх правильного, але і взагалі якогось компактного
розміщення.
1.5.3
Механізм течії в’язкої рідини і його зв’язок з максвеллівською теорією
релаксаційної пружності
Уявимо, що течія відбувається у напрямі осі 
(зліва
направо) і що середня (макроскопічна) швидкість її 
зростає
у напрямі осі 
(знизу
вгору). Розглянемо шар рідини товщиною 
(де

-
середня відстань між сусідніми частинками), розміщений між площинами 
і 
.
Коли нижній шар рухається як ціле з деякою середньою швидкістю 
,
то розглядуваний шар рухається відносно нього з середньою швидкістю
Цей рух можна вважати зумовленим силою, що діє на розглядуваний шар
зліва направо з боку наступного шару (що розміщений над ним і намагається
потягнути його за собою). Позначимо цю силу, віднесену до одиниці площі, через 
(дотична
напруга). У такому випадку на кожну частинку розглядуваного шару припадає сила 
(оскільки
площа, яку займає кожна частинка, дорівнює 
).
У той час як положення рівноваги усіх цих частинок переміщуються у середньому
зі швидкістю 
(так само, як і у частинок попереднього шару),
кожна з них коливається навколо свого тимчасового положення рівноваги, змінюючи
його через час, рівний у середньому 
,
на одне із сусідніх положень, що знаходиться спереду, ззаду, зліва, вгорі чи
внизу. Останні два переміщення ми будемо ігнорувати, бо вони не впливають на
середній рух розглядуваного шару відносно попереднього. Цей рух, що
відбувається у середньому зі швидкістю 
,
складається насправді із ряду дискретних стрибків, здійснюваних окремими
частинками у різні моменти при переході із вихідних положень рівноваги у
сусідні на відстань 
переважно
вправо, тобто у напрямі діючої на них сили. При цьому, згідно з означенням
рухливості 
,
ми маємо

Припускаючи тут

ми приходимо до звичайного співвідношення між градієнтом швидкості і
дотичною силою на одиницю площі

у якій роль коефіцієнта в’язкості
відіграє
обернене значення добутку 
.
Ми отримуємо, таким чином, наступний вираз для коефіцієнта в’язкості

У результаті після заміни рухливості 
її
виразом через коефіцієнт дифузії для коефіцієнта в’язкості отримуємо
поліметисилоксан реологічний густина в’язкість
Приведений вище аналіз молекулярно-кінетичного механізму, що лежить в
основі течії рідин, дозволяє підійти до питання про визначення коефіцієнта
в’язкості іншим шляхом, поміченим ще Максвеллом і заснованим на комбінації
в’язкої течії із пружною деформацією зсуву, зумовленою тією ж самою дотичною
напругою.
Коли б частинки рідини не могли чи, точніше, не встигали, внаслідок
надто швидкої зміни напряму діючої сили, перестрибувати з одних положень у
інші, що лежать переважно у цьому напрямі, то дія дотичної напруги зводилася б
до пружної деформації зсуву, зумовленої незначним зміщенням положень рівноваги
частинок у кожному шарі рідини відносно сусідніх шарів, так само, як і у
звичайному твердому тілі, тобто згідно з рівнянням

де
- зміщення вправо шару, розміщеного на висоті 
,
а 
-
модуль зсуву. Диференціюючи це рівняння по часу і припускаючи 
,
можна переписати його у вигляді

З іншого боку, при незмінному напрямі сили 
протягом
часу, достатньо великого у порівнянні із часом осілого життя частинок 
,
рідина, крім цієї пружної деформації, повинна відчувати в’язку течію зі
швидкістю 
,
що визначається рівнянням


До цього рівняння і зводиться зміст максвеллівської “релаксаційної
теорії пружності”. Назва її випливає із тієї обставини, що “пружна” (точніше,
“пружно-вязка”) напруга 
при
раптовій зупинці руху не зберігає того значення 
,
яке відповідає миттєвій величині пружної деформації, як у звичайній теорії
пружності, і не перетворюється відразу в нуль, як цього вимагає звичайна
(макроскопічна) теорія в’язкості, але поступово падає до нуля від вихідного
значення 
в
момент 
.
РОЗДІЛ
ІІ. МЕТОДИКА ВИМІРЮВАННЯ В’ЯЗКОСТІ ТА ГУСТИНИ РІДИНИ
2.1
Капілярний метод вимірювання в’язкості
Капілярні віскозиметри поділяють на три категорії:
) Прилади для визначення абсолютної в’язкості
безпосередньо з розмірів приладу і даних спостереження;
) Прилади для визначення відносної в’язкості шляхом
порівняння зі стандартною рідиною.
Також методи вимірювання в’язкості можна розділити на такі
дві групи: що дають результат вимірювання в умовних одиницях (порівняльні
дослідження) та абсолютні, що дають результат в одиницях довжини, маси і часу
(трьох основних одиницях).
Абсолютні методи базуються на розв’язку задач гідромеханіки
про рух рідини. Обмеженої твердими стінками (найбільш розповсюджені капілярні
віскозиметри) та на теорії нестійкого руху рідини (вимірювання параметрів
коливальних процесів).
В’язкість рідин можна визначити дослідним шляхом методом Оствальда.
Теорія руху рідини по капілярній трубці у разі повного змочування дає наступну
формулу для об’єму рідини, що витікає, 
за
час 
при
довжині трубки 
,
радіусі її перетину 
і
тиску 
,
під яким знаходиться рідина

де 
-
в’язкість рідини.
Це співвідношення відоме під назвою закону Пуазейля.
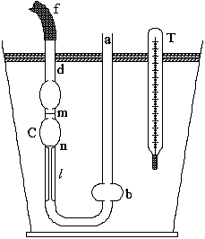
Прилад (рис. 2.1) являє собою скляну трубку 
у
формі літери 

,
широке коліно 
якої
закінчується внизу розширенням 
.
Інше коліно складається з капіляра 
,
що закінчується зверху кулькою 
,
яка переходить у більш широку трубку 
.
Під кулькою і над нею нанесені дві риски 
і

,
що виділяють певний об’єм рідини, час витікання якого вимірюється в досліді.
Для виконання роботи прилад спочатку гарно промиваємо водою, а потім
невеликою кількістю досліджуваної рідини. Після цього прилад закріплюють на
штативі і опускають у посудину з водою так, що рівень води був вищий за верхню
відмітку 
;
прилад за допомогою рівня повинен бути встановлений вертикально. У посудину
опускається термометр
.
Встановивши прилад, впускаємо за допомогою піпетки в широке коліно 
визначений,
сталий при усіх дослідах об’єм досліджуваної рідини. Далі обережно всмоктуємо
рідину через гумову трубку 
,
надіту на трубку 
і
наповнюємо розширення 
вище
мітки 
.
Знімаємо грушу і спостерігаємо витікання рідини. Пускаємо відлік секундоміра в
той момент, коли меніск проходить через мітку 
, а в мить,
коли меніск проходить
через мітку 
,
зупиняємо секундомір.
Після цього проробляємо той же дослід з водою і для неї також
визначаємо час витікання 
.
Визначаємо температуру і густину 
.
Знаючи густини рідин 
і

і
час витікання 
і

,
обчислюємо для рідин коефіцієнт в’язкості за формулою

Коефіцієнт тертя 
для
води знаходимо з таблиць.
2.2
Пікнометричний метод вимірювання густини
Густина рідини за звичай вимірюється за допомогою пікнометра.
Густина речовини, як правило, зменшується зі збільшенням
температури і збільшується з підвищенням тиску. Залежність густини від
температури виражається рівнянням

Для вимірювання густини рідин найчастіше використовують буйкові,
вагові, гідростатичні і радіоізотопні прилади.
Існує велика кількість пікнометрів і їх використання визначається родом
випробовуваної речовини, її кількістю, а також необхідною точністю вимірювань.
Чим більша ємність пікнометра, тим менша похибка зважування; однак одночасно
збільшується похибка, пов’язана з нерівномірністю температур в усій масі
рідини. Найкращі результати отримують пікнометрами місткістю

Для визначення густини рідини пікнометром спочатку визначають його
масу, а потім зважують пікнометр, заповнений послідовно дистильованою водою і
досліджуваною рідиною. Перше і друге зважування дають можливість визначити
місткість пікнометра, а перше і третє - масу досліджуваної речовини в об’ємі
пікнометра. За цими даними визначають густину рідини.
Відносну густину досліджуваної рідини при 

,
тобто відношення маси заданого об’єму випробовуваної рідини при 
,
обчислюємо за формулою

де 
-
маса пікнометра з досліджуваною рідиною.

-
маса порожнього пікнометра

- поправка на аеростатичні сили, що
обчислюються за формулою

де 
-
густина повітря при 
,

,

-
об’єм пікнометра.
2.3.
Розрахунок похибок експериментальних вимірювань
Точність вимірювання пікнометром можна визначити за формулою

де 
-
визначається за допомогою рідини з високою густиною.
Точність вимірювання густини в роботі складає

,
%
%
Перевага пікнометричного методу в тому, що він є безпосереднім методом
вимірювання не лише густини, але й питомого об’єму речовини.
Відносна похибка при вимірюванні 
оцінювалася
за формулою

При таких умовах точність визначення динамічної в’язкості складає
%
%
%
%
%
Таким чином, враховуючи всі фактори, що впливають на сумарну точність
вимірювання в’язкості, отримаємо
%
РОЗДІЛ
ІІІ. РЕЗУЛЬТАТИ ЕКСПЕРИМЕНТАЛЬНИХ ДОСЛІДЖЕНЬ ПМС-100
3.1
Характеристика об’єкту дослідження
Фізичні властивості поліметилсилоксанових рідин безпосередньо
пов’язані з особливостями будови молекул полімеру. Мала величина
міжмолекулярних сил зумовлює порівняно з вуглеводнями близької молекулярної
маси низьку температуру кипіння, малу в’язкість і теплоту випаровування.
Поліметилсилоксанові рідини (ПМСР) - полімери лінійної
структури, будова яких відповідає формулі
Індекс 
характеризує
довжину відповідних полімерних ланцюгів (число мономерів у молекулі і, таким
чином, визначають молекулярну масу). Як правило, чим більше 
,
тим менш легка рідина, вища температура застигання, більша в’язкість.
Для кремнійорганічних рідин характерна легкість обертання
групи

відносно зв’язку кремній-кисень, у зв’язку з чим опір розкручуванню у
силоксанових ланцюгів менший, ніж у жорстких вуглеводневих ланцюгів, навіть при
низьких температурах.
Таким чином, підвищення температури полісилоксанових рідин не приводить
до помітного зменшення їх в’язкості, у той час як жорсткість вуглеводневих
ланцюгів при нагріванні різко падає, чим пояснюється значне зниження в’язкості
останніх при підвищенні температури. При заміні метильного радикалу на водень
температурний коефіцієнт в’язкості полісилоксану зменшується, навпаки, введення
етильних чи фенольних радикалів підвищує жорсткість ланцюгів, що веде до
збільшення температурного коефіцієнта в’язкості.
Молекулярна маса полімера для кожного типу поліорганосилоксанових рідин
визначає їх основні фізичні властивості: густину, в’язкість, температуру
кипіння та ін. Молекулярна маса поліметилсилоксанових рідин середньої в’язкості
лежить у межах
. Густина для більшості поліорганосилоксанових рідин
дорівнює
, і лише для полімерів, які містять фенольні чи
галоїдні радикали, густина перевищує
але
не більше
.
Температура кипіння і леткість поліметилсилоксанових рідин залежать від
їх в’язкості. Лише дуже низькомолекулярні рідини киплять при атмосферному
тиску. Рідини із в’язкістю при
,
що перевищує
, киплять при тиску
, при температурах вище 
.
При горінні поліорганосилоксанових рідин виділяються густі, подразнюючі
дихальні шляхи гази, які містять найдрібніші частинки двоокису кремнію, а також
вуглекислий газ, водяні пари. При неповному згорянні поліорганосилоксанових
рідин серед газоподібних продуктів можуть міститися формальдегід, мурашина
кислота, а також легко киплячі полімери низької молекулярної маси. Одночасно
утворюється желеподібний залишок високомолекулярного полімера.
Поверхневий натяг поліметилсилоксанових рідин складає від
при в’язкості
до
при в’язкості
і вище. При заміщенні метильних радикалів на фенольні
чи інші величина поверхневого натягу деяких поліорганосилоксанових рідин
зростає до
(у нафтових електроізоляційних масел
).
Ця особливість поліорганосилоксанових рідин визначає їх здатність
повзти по металічниx поверхняx і
проникати через стики у з’єднаннях, що створює ряд проблем, пов’язаних з
герметизацією апаратів, у яких такі рідини застосовуються. З іншого боку,
низький поверхневий натяг сприяє доброму поглинанню поліорганосилоксанових
рідин пористими матеріалами, які звичайно застосовуються у якості твердої
ізоляції (целюлозний папір, картон та інші) у електричних апаратах.
Підвищена термостійкість поліорганосилоксанових рідин зумовлює
можливість їх застосування у електричних апаратах у поєднанні з твердими
ізоляційними матеріалами підвищеної нагрівостійкості.
Поліметилсилоксанові рідини розчинні у легких вуглеводневих рідинах,
галоїдованих вуглеводнях, вищих спиртах, ефірах, кетонах; частково розчинні у
залежності від в’язкості у ацетоні, бутанолі, легких нафтових маслах; не
змішуються з важкими нафтовими маслами, петролатумом, важкими галоїдованими
вуглеводнями, легкими спиртами (етанол, метанол), ефірами, жирними кислотами.
Під дією електричної дуги відбувається розклад поліорганосилоксанових
рідин з виділенням газу, в основному водню, а також твердих продуктів: двоокису
кремнію, карбіду кремнію і карбону. У результаті величина пробивної напруги
поліорганосилоксанових рідин після декількох послідовних пробоїв у ньому різко
падає, причому тим більше, чим вища в’язкість рідини. Ця особливість
поліорганосилоксанових рідин обмежує можливість їх застосування у вимикачах і контакторах.
До основних переваг електроізоляційних поліорганосилоксанових рідин
варто віднести низьке значення в’язкості при від’ємних температурах, задовільні
діелектричні показники, значення яких мало змінюються у широкому діапазоні
температур і частот, а також відносно високу термічну і проти окислювальну
стабільність.
Істотним недоліком більшості поліорганосилоксанових рідин є їх
горючість.
3.2
Температурна залежність густини і кінематичної в’язкості ПМС-100
Реологічні властивості ПМС-100 були досліджені у температурному
діапазоні
. Густина вимірювалася двоколінним пікнометром з
похибкою
%. Віскозиметрія проводилася за допомогою капілярного
віскозиметра з похибкою не більше
%.
Термостатування проводилося не менше години, при цьому похибка становила
. Методики вимірювань описані в другому розділі.
Результати дослідження температурної залежності густини
,
кінематичної
, зсувної
в’язкостей,
представлені у таблиці 1, причому зсувна в’язкість розраховувалася за формулою
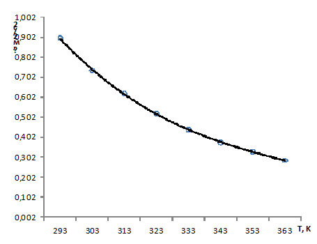
На рис. 3.1. показано температурну залежність густини ПМС-100, яка
носить спадний лінійний характер. На рис. 3.2. представлено температурну
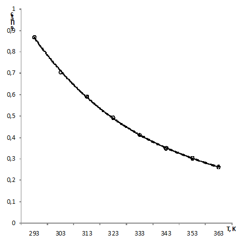
залежність кінематичної в’язкості, яка носить нелінійний спадний характер.
Поряд, на рис. 3.3. відображена залежність зсувної в’язкості від температури
для поліметилсилоксану-100.
Таблиця 1
|
  
|
|
|
|
|
293
|
0,896
|
0,868
|
|
303
|
961,1
|
0,734
|
0,705
|
|
313
|
952,1
|
0,619
|
0,589
|
|
323
|
943,4
|
0,520
|
0,491
|
|
333
|
935,0
|
0,440
|
0,411
|
|
343
|
925,9
|
0,376
|
0,349
|
|
353
|
917,3
|
0,329
|
0,302
|
|
363
|
908,3
|
0,287
|
0,261
|
Рис. 3.1 Температурна залежність густини ПМС-100
Рис. 3.2 Температурна залежність кінематичної в’язкості ПМС-100
Коефіцієнт зсувної в’язкості визначає ступінь деформації молекулярної
структури, а саме: характеризує дотичну дисипативну напругу, що виникає при
ковзанні шарів рідини один відносно одного. Залежність 
від
складу рідини та зовнішніх умов (тиск, температура, концентрація) робить цю
фізичну величину структурно-чутливою.
Рис. 3.3 Температурна залежність зсувної в’язкості ПМС-100
Процеси, що протікають при зсувних деформаціях в рідинних системах,
можна розглядати як мономолекулярні реакції розриву і утворення міжмолекулярних
зв’язків між фрагментами динамічної макросистеми, що представляє собою зразок
будь-якої рідини.
3.3
Розрахунки активаційних параметрів в’язкої течії за теорією Я.І. Френкеля
Ще до того як рентгенографічний аналіз рідин встановив
подібність між ними і твердими тілами по відношення до розміщення частинок, що
їх утворюють, Я.І. Френкелем було вказано на існування подібної схожості по
відношенню до теплового руху цих частинок. На основі цих уявлень ним було
теоретично виведено залежність в’язкості рідини від температури. Ця подібність
виявляється перш за все при порівнянні теплоємності рідини і відповідних
твердих тіл. Поблизу температури плавлення ці теплоємності виявляються
приблизно однаковими, у рідин вони звичайно на декілька відсотків більші. Ця
обставина свідчить про те, що у рідин, так само як у твердих тілах, тепловий
рух при температурах близьких до температури кристалізації, зводиться в
основному до коливального руху частинок біля деяких положень рівноваги. Щоб
поєднати це уявлення з текучістю рідин, необхідно припустити, що положення
рівноваги, про які йде мова, не є незмінними, але можуть стрибкоподібно
зміщуватись на невелику відстань. Середній час, протягом якого частинка
коливається біля одного і того ж положення рівноваги може змінюватись в досить
широких межах, залежно від температури, згідно формули

де 
-
період коливань, 
-
енергія, яку необхідно надати частинці, що перебуває в стані спокою, для
переходу через потенціальний бар’єр, що відділяє положення рівноваги від
сусіднього.
Ця формула Френкелем була виведена для тривалості перебування атома в
адсорбованому стані на поверхні, з якою його пов’язує енергія адсорбції.
Основні розрахункові формули для розрахунку активаційних параметрів
в’язкої течії наведені нижче.
Згідно теорії в’язкості Френкеля
Прологарифмувавши праву і ліву частину, маємо
Знаючи два значення зсувної в’язкості та температури, запишемо
Тоді коефіцієнт В, який відіграє роль енергії активації в’язкої течії,
розрахуємо так
Або, що те ж саме
Коефіцієнт
розрахуємо наступним чином
Хід розрахунків поданий у таблиці 2. Тоді середні значення шуканих
коефіцієнтів
Таблиця 2
|
          
|
|
|
|
|
|
|
|
|
|
|
|
|
293
|
969,2
|
0,896
|
0,868
|
7,0491
|
0,2079
|
0,003411
|
0,000112
|
1856,25
|
6,3321
|
0,01543
|
|
303
|
961,1
|
0,734
|
0,705
|
7,2570
|
|
0,003299
|
|
|
6,1232
|
456,3226
|
0,01545
|
|
313
|
952,1
|
0,619
|
0,589
|
7,4371
|
0,1824
|
0,003193
|
0,000098
|
1861,22
|
5,9435
|
381,2670
|
0,01544
|
|
323
|
943,4
|
0,520
|
0,491
|
7,6195
|
|
0,003095
|
|
|
5,7596
|
317,2214
|
0,01547
|
|
333
|
935,0
|
0,440
|
0,411
|
7,7962
|
0,1654
|
0,003002
|
0,000088
|
1879,55
|
5,6418
|
281,9698
|
0,01458
|
|
343
|
925,9
|
0,376
|
0,349
|
7,9616
|
|
0,002914
|
|
|
5,4773
|
239,2000
|
0,01457
|
|
353
|
917,3
|
0,329
|
0,302
|
8,1051
|
0,1455
|
0,002832
|
0,000078
|
1865,38
|
5,2821
|
196,7827
|
0,01534
|
|
363
|
908,3
|
0,287
|
0,261
|
8,2506
|
|
0,002754
|
170,1533
|
0,01534
|
ОСНОВНІ
РЕЗУЛЬТАТИ І ВИСНОВКИ
Теорія в’язкості рідини і зокрема її залежності від
температури становить великий інтерес для теорії конденсованого стану речовини,
однак до цього часу цю задачу не можна вважати повністю розв’язаною, не
дивлячись на те, що за останній час було запропоновано кілька різних теорій.
Згідно теорії Андраде в’язкість обумовлюється тимчасовим об’єднанням молекул рідини
в невеликі агрегати кристалічного характеру, що неперервно руйнуються і
створюються знову. Подібними припущеннями користувався ще раніше Я.І. Френкель,
працюючи над теорією в’язкості рідини.
Для досягнення поставленої мети і виконання сформульованих завдань
курсової роботи у першому розділі були описані деякі сучасні теорії в’язкості:
теорії О.І. Бачинського, Я.І. Френкеля, Г. Ейрінга, О.С. Предводителєва тощо.
У другому розділі розглянуто методи вимірювання в’язкості та
густини: капілярний метод вимірювання в’язкості та пікнометричний метод
вимірювання густини. Розраховані відносні похибки експериментальних досліджень.
Проведені вимірювання густини і кінематичної в’язкості ПМС-100 в інтервалі
температур
Розглянуто фізико-хімічні властивості та сфери практичного використання
кремнійорганічних рідин. У третьому розділі наведені експериментальні
вимірювання кінематичної та зсувної в’язкості та густини ПМС-100, на основі
яких було розраховано активаційні параметри в’язкої течії за теорією Френкеля і
побудовано графіки температурної залежності густини, кінематичної та зсувної
в’язкості ПМС-100. Досліджено можливість застосування формули Френкеля для
опису температурної залежності зсувної в’язкості поліметилсилоксану-100.
СПИСОК
ВИКОРИСТАНОЇ ЛІТЕРАТУРИ
1. Барр Г. Вискозиметрия/ Г. Барр. - Л.-М.: Гл. ред.
химической лит-ры, 1938. - 274 с.
2. Шебалин
О.Д. Молекулярная физика: Учеб. пособие для пединститутов/ О.Д. Шебалин. - М.:
Высш. школа, 1978. - 166 с.
3. Телеснин
Р.В. Молекулярная физика: Учеб. пособие для университетов/ Р.В. Телеснин. - М.:
Высш. школа, 1973. - 360 с.
. Дутчак
Я.Й. Молекулярна фізика/ Ярослав Йосипович Дутчак. - Львів: Видавництво
Львівського університету, 1973.- 262 с.
5. Матвеев
А.Н. Молекулярная физика: Учеб. пособие для физ. спец. вузов/ А.Н. Матвеев. -
М.: Высш. школа, 1987. - 392 с.
6. Савельев
И.В. Курс общей физики: Механика. Молекулярная физика/ И.В. Савельев. - М.:
Наука, 1987. - 348 с.
7. Штрауф
Е.А. Молекулярная физика/ Е.А. Штрауф. - Л.-М.: Государственное издательство
технико-теоретической литературы, 1949. - 256 с.
. Френкель Я.И. Кинетическая теория жидкостей/
Я.И. Френкель. - Л.: Наука, 1975. - 600 с.
9. Рид
Р. Свойства газов и жидкостей/ Р. Рид, Т. Шервуд. - Л.: Химия, 1971. 624 с.
10.
Рейнер М. Реология/ М. Рейнер. - М.: Наука, 1965. - 224 с.