Сорбция и ее виды

  • Вид работы:
    Реферат
  • Предмет:
    Химия
  • Язык:
    Русский
    ,
    Формат файла:
    MS Word
    123,01 kb
  • Опубликовано:
    2012-01-15
Вы можете узнать стоимость помощи в написании студенческой работы.
Помощь в написании работы, которую точно примут!

Сорбция и ее виды

Государственное образовательное учреждение высшего профессионального образования

СЕВЕРО-ЗАПАДНЫЙ ГОСУДАРСТВЕННЫЙ ЗАОЧНЫЙ ТЕХНИЧЕСКИЙ УНИВЕРТИТЕТ







РЕферат

Выполнила

студентка V курса

Ранцева И.Ф.

Факультет: ИПиСОБ

Специальность: 280202.65

Проверил

Денисов





Санкт-Петербург 2010

Определение cорбции и ее виды

Сорбция - (от лат . sorbeo - поглощаю), поглощение твердым телом или жидкостью какого-либо вещества из окружающей среды. Основные разновидности сорбции - адсорбция, абсорбция, хемосорбция. Поглощающее тело называется сорбентом, поглощаемое - сорбтивом (сорбатом). Важнейшие твердые сорбенты, способные к регенерации и применяемые в технике, - активные угли, силикагель, цеолиты, иониты. Сорбция в гидрометаллургии - поглощение ценных компонентов (U, Au, Mo) из растворов или пульп при выщелачивании руд и концентратов.

Различают поглощение всем объемом жидкого сорбента (абсорбция), а также твердого тела или расплава (окклюзия) и поверхностным слоем сорбента (адсорбция). Сорбция, обусловленная взаимодействием химического типа между поверхностью твердого сорбента и сорбатом, называется хемосорбцией. При сорбции паров твердыми веществами часто происходит капиллярная конденсация. Обычно протекает одновременно несколько сорбционных процессов.

Сорбция относится к действию абсорбции или адсорбции:

·        Абсорбция - объёмное слияние двух веществ, находящихся в разных агрегатных состояниях (напр. жидкости, абсорбирующиеся твёрдыми телами или газами, газы, абсорбирующиеся жидкостями и т.д.).

·        Адсорбция - физическое сцепление ионов и молекул на поверхности тела другого состояния (напр. реагенты адсорбируются к целой поверхности катализатора).

Обратный процесс выделения называют десорбцией.

Абсорбция

Абсорбция в химии <#"513108.files/image001.gif">


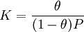
Уравнение равновесияя в таком случае:

,

где K - константа равновесия, [S − P] и [S*] - доли поверхности адсорбента, занятые и незанятые адсорбатом, а [P] - концентрация адсорбтива.

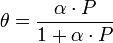
Количественно процесс физической мономолекулярной адсорбции в случае, когда межмолекулярным взаимодействием адсорбата можно пренебречь, описывается уравнением Ленгмюра:

,

где θ - доля площади поверхности адсорбента, занятая адсорбатом,

α - адсорбционный коэффициент Ленгмюра, а P - концентрация адсорбтива.

Поскольку [S − P] = θ и, соответственно, [S * ] = 1 − θ, уравнение адсорбционного равновесия может быть записано следующим образом:


Уравнение Ленгмюра является одной из форм уравнения изотермы адсорбции. Под уравнением изотермы адсорбции (чаще применяют сокращённый термин - изотерма адсорбции) понимают зависимость равновесной величины адсорбции от концентрации адсорбтива a=f(С) при постоянной температуре (T=const). Концентрация адсорбтива для случая адсорбции из жидкости выражается, как правило, в мольных либо массовых долях. Часто, особенно в случае адсорбции из растворов, пользуются относительной величиной: С/Сs, где С - концентрация, Сs - предельная концентрация (концентрация насыщения) адсорбтива при данной температуре. В случае адсорбции из газовой фазы концентрация может быть выражена в единицах абсолютного давления, либо, что особенно типично для адсорбции паров, в относительных единицах: P/Ps, где P - давление пара, - давление насыщенных паров этого вещества. Саму величину адсорбции можно выразить также в единицах концентрации (отношение числа молекул адсорбата к общему числу молекул на границе раздела фаз). Для адсорбции на твёрдых адсорбентах, особенно при рассмотрении практических задач, используют отношение массы или количества поглощённого вещества к массе адсорбента, например мг/г или ммоль/г.

Адсорбция происходит на границе раздела следующих фаз:

● твёрдое тело - газ;

● твёрдое тело - раствор;

● раствор - газ.

адсорбция абсорбция хемосорбция поглощение

Хемосорбция

При химической сорбции (хемосорбции) между сорбентом и сорбатом возникает химическое взаимодействие, в результате чего между ними образуется третье вещество, рис.2.


Химическая сорбция намного прочнее физической, десорбция самопроизвольно практически не происходит.

Ещё одно отличие между физической и химической сорбцией заключается в том, что при повышении температуры физическая сорбция уменьшается, а химическая увеличивается.


Значение адсорбции

Адсорбция - всеобщее и повсеместное явление, имеющее место всегда и везде, где есть поверхность раздела между фазами. Наибольшее практическое значение имеет адсорбция поверхностно-активных веществ и адсорбция примесей из газа либо жидкости специальными высокоэффективными адсорбентами. В качестве адсорбентов могут выступать разнообразные материалы с высокой удельной поверхностью: пористый углерод (наиболее распространённая форма - активированный уголь), силикагели, цеолиты а также некоторые другие группы природных минералов и синтетических веществ.

Адсорбция (особенно хемосорбция) имеет также важное значение в гетерогенном катализе.

Список используемой литературы

1.   Фролов Ю. Г. Курс коллоидной химии. Поверхностные явления и дисперсные системы. М.: Химия, 1989. 464с.

2.       Кельцев Н. В. Основы адсорбционной техники. М.: Химия, 1984. 592с.

.        «Грег С., Синг К.» Адсорбция, удельная поверхность, пористость. М.: Мир, 1984.310с.

.        Трепнел Б. Хемосорбция. - М. : Изд-во иностр. лит-ры, 1958 - 326 с.

.        Введение в физику поверхности: Пер. с англ. / Оура Кендзиро, Лифшиц В.Г., Саранин А.А., Зотов А.В., Катаяма М. - М. Наука, 2006. - 490 с.


Не нашли материал для своей работы?
Поможем написать уникальную работу
Без плагиата!
Без нейросетей!