Особенности сорбционных свойств полимер-полимерных композитов, полученных полимеризацией метилметакрилaта в матрице изотактического полипропилена

  • Вид работы:
    Статья
  • Предмет:
    Химия
  • Язык:
    Русский
    ,
    Формат файла:
    MS Word
    325,71 kb
  • Опубликовано:
    2010-03-14
Вы можете узнать стоимость помощи в написании студенческой работы.
Помощь в написании работы, которую точно примут!

Особенности сорбционных свойств полимер-полимерных композитов, полученных полимеризацией метилметакрилaта в матрице изотактического полипропилена

ОСОБЕННОСТИ СОРБЦИОННЫХ СВОЙСТВ ПОЛИМЕР-ПОЛИМЕРНЫХ КОМПОЗИТОВ, ПОЛУЧЕННЫХ ПОЛИМЕРИЗАЦИЕЙ МЕТИЛ МЕТАКРИЛATА В МАТРИЦЕ ИЗОТАКТИЧЕСКОГО ПОЛИПРОПИЛЕНА

Исследование диффузии и сорбции низкомолекулярных соединений в полимеры дает важную информацию не только о механизмах переноса, но и о структуре материала. В то время как процессы переноса в однокомпонентных полимерах достаточно хорошо изучены [1], исследования такого рода в многокомпонентных гетерофазных смесях полимеров пока немногочислены и еще не нашли широкого обобщения [2].

В настоящее время происходит бурное развитие фундаментальных исследований, направленных на создание и изучение новых видов многофазных полимер-полимерных композитов. Одним из наиболее перспективных направлений в этой области является получение новых видов взаимопроникающих полимерных сеток полимеризацией мономеров в полимерной матрице. В работах [3, 4] была показана возможность создания новых видов материалов такого рода на основе широкого круга кристаллических полимеров [5]. Принцип создания подобных материалов заключается в резком повышении растворимости (набухаемости) ряда жидких мономеров в кристаллических полимерах путем их растяжения в среде мономера. Такая деформация позволяет на порядок и более увеличить количество включаемого в полимер жидкого мономера, а последующая его полимеризация дает возможность получать интересные полимерные композиты, в которых один из компонентов имеет молекулярную ориентацию [3, 4].

В настоящей работе приведены результаты исследования диффузии и сорбции селективного низкомолекулярного растворителя в структуру полученного указанным способом композита на основе изотактического полипропилена (ИПП) и ПММА.

Подробности методики, характеристики исходного ИПП и состав получаемых композитов, а также результаты исследования структуры и механических свойств опубликованы ранее [5]. Сорбционные свойства полимерных композитов изучали на вакуумных весах Мак-Бена с кварцевой спиралью (чувствительность 0,4—0,7 мг/мм). Сорбционную ячейку термостатировали в вакууме (Ю-2—10_3 мм рт.ст.). В качестве сорбата использовали четыреххлористый углерод. Изменение массы образца в процессе сорбции фиксировали по удлинению спирали с помощью катетометра КМ-6. Процесс сорбции проводили интервальным методом, т. е. исследовали кинетику сорбции последовательными этапами, постепенно увеличивая давление пара после установления сорбционного равновесия. Термодинамические параметры рассчитывали по методике [6]. Степень кристалличности ИПП определяли калориметрически на приборе типа «1090 Du Ponl».

Структура и свойства полимерных композитов, получаемых методом полимеризации в полимерной матрице, обусловлены, в частности, глубиной процесса фазового разделения, происходящего при полимеризации. Возникающая при этом двухфазная структура определяется в первую очередь строением исходного кристаллического полимера, прочная сетка кристаллов которого препятствует полному разделению несовместимых компонентов на отдельные фазы. Тем не менее, глубину фазового разделения можно регулировать путем отжига получаемых композитов. Повышение температуры придает молекулярную подвижность компонентам композита и способствует распаду на фазы. Такого рода процессы особенно характерны для смесей ИПП—ПММА. В то время, как температуры отжига 85 и 95° позволяют получать материалы, имеющие достаточно высокие механические показатели, отжиг при 120° приводит к получению очень непрочного композита с плохо воспроизводимыми механическими характеристиками.

Поскольку вопрос о структуре таких материалов и о механизме процессов фазового разделения в указанных системах имеет важное теоретическое и прикладное значение, необходимо было найти способ, позволяющий характеризовать структуру и свойства подобных систем.

Малоугловое рентгеноструктурное исследование показало, что все системы ИПП—ПММА двухфазны, и их структура на рентгеновском уровне не изменяется независимо от температуры отжига. В связи с этим нами был использован сорбционный метод, который позволил ранее получить важные данные о структуре аналогичных композитов на основе ПЭВП и ПММА [7].

В качестве сорбата использовали СС14, являющийся хорошим растворителем для ИПП и практически не сорбирующийся ПММА. Для сравнения использовали чистый ИПП, растянутый до тех же степеней удлинения в пластифицирующей жидкости — к-гептане и после этого подвергшийся той же термообработке, что и соответствующие композиты ИПП — ПММА.

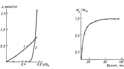
На рис. 1 представлены типичные изотермы сорбции СС14 в ИПП, деформированный в w-гептане на 200%, и в композит ИПП —ПММА, полученный растяжением ИПП в ММ А на 200%. Хорошо видно, что чистый ИПП имеет обычную изотерму сорбции, характерную для кристаллического полимера, находящегося выше температуры стеклования [8]. Эта изотерма практически идентична изотерме сорбции исходного неориентированного ИПП. В то же время изотерма сорбции СС14 в композит имеет ряд особенностей, не свойственных кристаллическому полимеру

Во-первых, до значительных величин давления паров CClt (p/ps~0,5— 0,6) его сорбции в композит не происходит. После достижения некоторого порогового значения давления паров сорбция начинает возрастать очень резко. Такая кривая напоминает изотерму сорбции воды низкомолекулярным сахаром, что обусловлено сначала его плавлением и последующим поглощением воды, образовавшимся раствором [9]. Поскольку вода и сахар смешиваются во всех соотношениях, на изотерме сорбции для такой системы наблюдается резкий подъем в узких пределах давления паров. В рассматриваемом случае ничего подобного, очевидно, не имеет места; тем не менее, как видно из рис. 1, количество сорбируемого композитом СС14 резко возрастает и начинает заметно превышать его количество, поглощаемое чистым ИПП. Во-вторых, при значениях давлений паров, превышающих 0,6, достичь равновесного значения сорбции не удается, так как она продолжается в течение многих суток.

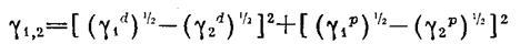
Для анализа столь необычного сорбционного поведения композита ИПП—ПММА рассмотрим данные по кинетике сорбции, представленные на рис. 2. Хорошо видно, что кривая имеет обычный вид, и максимальное количество сорбированного СС, составляет при выбранном давлении пара G,13 г/г. Введение ПММА в ИПП матрицу резко изменяет кинетику процесса сорбции (рис. 3, а, б).


Рис. 1. Изотермы сорбции СС14 в образец ИПП, деформированный в и гептане на 200% (1), и в композит ИПП - ПММА, полученный при деформации ИПП в ММА на 200% (2)

Рис. 2. Кинетическая кривая сорбции СС14 в образец ИПП, деформированный в к-гептане на 200%. p/ps=0fi

Как видно из рис. 3, а, после небольшого индукционного периода сорбция начинает расти по линейному закону. Такой характер сорбции сохраняется в течение многих суток (рис. 3, б). Длительность процесса сорбции делает его изучение очень трудоемким и сложным из-за необходимости поддержания постоянной температуры и давления в сорбционной ячейке в течение многих суток. В связи с этим для определения максимальных значений сорбции композитов ИПП — ПММА их образцы помещали в среду жидкого СС14 п находили величину набухания периодическим взвешиванием. Результаты такого исследования представлены в табл. 1. Из данных табл. 1 следует, что изучаемые композиты способны в течение 1 мес сорбировать до 50 и более процентов СС1,, хотя чистый исходный ИПП, который является единственным компонентом, имеющим сродство к СС14, сорбирует его в тех же условиях не более 15%.

Не менее необычным оказывается поведение композитов и при десорбции СС14. При уменьшении давления паров образцы чистого ИПП обнаруживают обратимое изменение сорбции, и при вакуумировании они полностью теряют весь сорбированный СС14. В то же время в случае композитов ИПП — ПММА выдерживание образцов, просорбировавших при давлении пара 0,7, при давлении 0,6 в течение 2 сут не приводит к уменьшению сорбции, которое можно было бы обнаружить с помощью весов Мак-Бена. Выдерживание этого же образца на воздухе в течение 20 сут при комнатной температуре также не вызывает заметной десорбции СС14. Результаты дальнейших экспериментов по десорбции из композита ИПП — ПММА, содержавшего в исходном состоянии 21,2% СС14, представлены в табл. 2. Хорошо видно, что только совместным действием вакуума 10-2 мм рт. ст. и повышением температуры от комнатной (23°) до 40° удается вызвать частичную десорбцию СС14.

Таким образом, введение в ИПП стеклообразного ПММА полимеризацией в полимерной матрице резко изменяет его сорбционные характеристики. Возникает ряд вопросов. Чем объясняется необычный вид изотерм сорбции и почему существует пороговое давление паров СС14, ниже которого сорбция не наблюдается? Чем объясняется необычная кинетика сорбции и способность композита поглощать столь большие количества СС14, хотя чистый ИПП способен сорбировать в несколько раз меньшие количества СС14, а чистый ПММА вовсе его не сорбирует? Почему десорбция СС из композита в значительной степени необратима или очень затруднена?


Рис. 3. Кинетические кривые сорбции СС14 в композит ИПП - ПММА, полученный при растяжении ИПП в ММА на 200%: а - начальный участок, б – стационарный участок. plps=0,69

Естественно предположить, что возникновение рыхлой пористой структуры и обусловливает столь большие количества поглощаемого СС14 путем его конденсации в возникающих микропустотах. Вид изотермы сорбции композита (рис. 1, кривая 2) позволяет предположить, что для инициирования процесса проникновения СС14 в композит необходимо наличие его жидкой фазы. Данные рис. 1 дают возможность рассчитать размеры характеристического дефекта в композите, на котором при измеренном пороговом давлении пара СС14 начинается его конденсация. Для этой цели можно использовать уравнение Томсона (Кельвина) [10]


где d — диаметр пор в A; f — поверхностное натяжение CC14, равное 26,8 эрг/см2; Vm — мольный объем СС14, равный 97,1 см3/моль. Так как резкое возрастание сорбции наблюдается в интервале относительных дав лений пара СС14 от 0,6 до 0,65 (рис. 1), то расчет дает значения диаметра пор от -80 до -100 А.


Рис. 4. Микрофотографии образцов композитов ИПП - ПММА до взаимодействия с СС14 (а) и после сорбции СС14 из жидкой фазы в течение 30 сут (б). Получено с использованием  сканирующего  электронного микроскопа

Проведенные расчеты в совокупности с представленными электронно-микроскопическими данными позволяют предложить следующий механизм обнаруженного явления. Создание небольших давлений пара не вызывает заметного набухания композита ввиду того, что ИПП, способный набухать в СС14, находится в жестком каркасе ПММА, препятствующем изменению размеров ИПП фазы. Так продолжается до тех пор, пока не начинается конденсация СС14 в узких поверхностных порах, характерных для структуры композита. Возникновение жидких пленок СС14 столь малых размеров приводит к появлению расклинивающего давления, играющего важную роль в стабилизации дисперсных систем [10]. В результате возникновения расклинивающего давления начинается своеобразное самопроизвольное диспергирование структуры композита, построенного из термодинамически несовместимых полимерных компонентов. Такого рода самопроизвольное диспергирование путем проникновения жидкости по границам между зернами хорошо известно и подробно описано для низкомолекулярных дисперсных систем [11]. Самопроизвольное их возникновение возможно в том случае, если выполняется термодинамический критерий Гиббса — Смита


т. е. замена межфазной границы ИПП — ПММА на границу каждого из компонентов с СС14 должна приводить к выигрышу в межфазной поверхностной энергии.

Проверку выполнения условия (2) проводили с использованием формулы Оуэнса — Вендта [12, 13], позволяющей рассчитать межфазную поверхностную энергию


Индексы d и р относятся к дисперсионной и полярной составляющим поверхностного натяжения соответствующих фаз. Полученные значения межфазного натяжения соответственно равны Уипп-пмма=4,6 эрг/см2; 7ипп-ссц=0,07~0,1 эрг/см2; Чпмма-ссь=4,96«0,5 эрг/см2. Подстановка найденных значений в неравенство (2) дает 4,6< (5,0+0,1) =5,1 эрг/см2, т. е. условие Гиббса — Смита не выполняется. Хотя различие в поверхностной энергии системы до и после сорбции невелико (0,5 эрг/см2), оно положительно, и, следовательно, возникающая дисперсная система не является лиофильной. Видимо, в данном случае мы имеем дело с так называемым квазисамопроизвольным диспергированием [И]. Вероятно, в этом случае поверхностная энергия границы раздела ипп-пмма включает в себя дополнительный вклад А у, связанный с упругой энергией, запасенной системой в процессе фазового разделения при синтезе композита [14]. Существование напряженности сосуществующих фаз обсуждалось ранее и наиболее характерно проявляется в сорбционных свойствах таких систем [7]. Наличие добавочного напряжения, связанного с запасенной упругой энергией, компенсирует небольшой избыток межфазной энергии в системе и способствует выполнению условия Гиббса — Смита. В результате этого левый член неравенства (2) делается больше правого, и процесс самопроизвольного диспергирования становится термодинамически выгодным.

Итак, образование жидкой пленки в мельчайших порах композита приводит к его самопроизвольному диспергированию. На возникающих поверхностях раздела конденсируются дополнительные количества СС14 и таким образом кинетика процесса сорбции лимитируется не процессом истинного объемного набухания, как это характерно для чистого ИПП, а столь своеобразным процессом фазового разделения. Естественно, что сорбционная емкость в данном случае будет определяться не объемом аморфных областей ИПП, а объемом возникающих микропустот, чем и объясняется поглощение столь большого количества СС14 и длительность процесса сорбции. Подобному фазовому распаду будет способствовать также и деформация, и макроскопическое растрескивание стеклообразного каркаса, наблюдаемое на некоторых микрофотографиях и происходящее из-за анизотропных напряжений, возникающих на весьма резкой границе (рис. 4) между диспергированной и исходной частями образца [15].

В процессе десорбции испарение жидкого СС14 происходит в первую очередь с поверхности композита, что приводит к образованию вогнутого мениска в возникших микропорах и их «захлопыванию» под действием капиллярных сил. Такого рода запечатывание низкомолекулярного компонента наблюдается при десорбции из образцов стеклообразных полимеров [16]. Этому процессу способствует высокая дисперсность возникающей системы, благодаря чему происходит восстановление стеклообразного каркаса, как это имеет место при релаксации блок-сополимеров, подвергнутых силовому размягчению [17]. Процесс залечивания разрушенных стеклообразных матриц в настоящее время хорошо изучен и охарактеризован [18] и, видимо, сильно облегчен в том случае, когда полимер является высокодисперсным.

Таким образом, введение в ИПП стеклообразного компонента методом полимеризации в полимерной матрице резко изменяет характер сорбции селективного низкомолекулярного растворителя. Наблюдается своеобразный синергизм в сорбции, когда ее величина резко возрастает при введении второго компонента, не взаимодействующего с сорбатом. Необычное поведение композита связано с его своеобразным самопроизвольным диспергированием, приводящим к распаду на отдельные фазы и ряду явлений, не характерных ни для одного из чистых компонентов.

ЛИТЕРАТУРА

1.Рейтлингер С.А. Проницаемость полимерных материалов. М., 1974. С. 102.

2.Хонфенберг X., Пол Д. // Полимерные смеси Т.1 / Под ред. Пола Д., Ньюмена С. М., 1981. С. 494.

3.Волынский А.Л., Штанчаев А.Ш., Бакеев Н.Ф. // Высокомолек. соед. А. 1984. Т. 26. № 11. С. 2374.

4.Волынский А.Л., Штанчаев А.Ш., Занегин В.Д., Герасимов В.И., Бакеев Н.Ф.// Высокомолек. соед. А. 1985. Т. 27. № 4. С. 831.

6.Тагер А.А. Физикохимия полимеров. М., 1978. С. 300.

7. 7 Лопатина Л.И., Аржаков М.С., Волынский А. Бакеев Н. Ф. // Высокомолек. соед.V. Ш.. Т. 29. №. 4. С. 823.

8. 8 Каргин. В.А., Татовская Т.В., Павлюченко Г.М., Берестнев В. МЛ. СССТ. №1.1. Ш. № 3. с. m

9. %. Каргин В.А., Усмоков X.У. ((Журн. физ. химии. 1954. Т. 28. № 2. С. 224.

10. Щукин Е.Д., Перцов А.В., Амелина Е.А. Коллоидная химия. М., 1982. С. 35.

11. И Перцов А.В. // Физико-химическая механика и лиофилыюстъ дисперсных систем. Вып. 13. Киев, 1981. С. 35.

12. Ван-Кревелен Д.В. Свойства и химическое строение полимеров. М., 1976. С. 138.

13. 13 Пугачевич П.П., Бегляров В.Н., Лавыгин И.А. Поверхностные явления в полимерах. М., 1982. С. 83.

Похожие работы на - Особенности сорбционных свойств полимер-полимерных композитов, полученных полимеризацией метилметакрилaта в матрице изотактического полипропилена

 

Не нашли материал для своей работы?
Поможем написать уникальную работу
Без плагиата!
Без нейросетей!