Механические колебания
Мин.
Образования РФ ГОУ СОШ №1
Реферат
на тему:
Механические
колебания
Выполнила
Зуева
Мария
Андреевна
Проверила
Титкова
Анна Михайловна
Новомичуринск
2011 год
Введение
В курсе физики за 9 класс раздел «Механические
колебании и волны. Звук» вызвал у меня
особый интерес. Поскольку я планирую после школы продолжить свое образование в
техническом ВУЗе, в результате выполнения данной работы надеюсь не только
закрепить имеющиеся знания по этому разделу физики, но и углубить их.
Цель моего реферата - изучение и углубление уже
полученных ранее мной знаний по теме «Механические колебания». Для достижения
поставленной мною цели я решу следующие задачи:
рассмотрю свободные и вынужденные колебания;
ознакомлюсь с механизмом колебаний маятника;
выведу формулу для определения координаты
колеблющегося тела;
изучу такое явление, как резонанс и проведу
некоторые другие исследования в данной тематике.
Колебательное движение - одно из самых
распространенных движений в природе и технике. Почти невозможно назвать такую
область, в которой не встречались бы колебания. Колеблются деревья в лесу,
пшеница в поле, трава на лугу. Колеблются струны музыкальных инструментов,
мембрана телефона, диффузор громкоговорителя, фундаменты машин, трубопроводы,
плоскости самолета, корпус ракеты, поршень двигателя внутреннего сгорания и т.
д.
Многие химические явления также сопровождаются
колебаниями. С колебаниями мы встречаемся и в жизни нашего организма. Биение
сердца, движение голосовых связок - все это примеры колебательного движения.
Колебательные движения происходят и в жизни
нашей планеты (землетрясения, приливы и отливы), и в астрономических явлениях
(например, пульсирует Солнце, совершая одно колебание за 160 мин.).
1.
Колебательные системы. Свободные колебания
В природе, и особенно в технике, чрезвычайно
большую роль играют тела и устройства, которые сами по себе способны совершать
периодические движения. «Сами по себе» - это значит: не будучи принуждаемы к
этому действием внешних сил. Такие колебания называют поэтому свободными
колебаниями. Если толкнуть или отклонить от вертикали висящий на веревке груз,
то он начнет качаться, т. е. будет сам по себе совершать периодическое
движение. Это и будут свободные колебания. Подобно этому в результате
первоначального толчка будет периодически колебаться вода в стакане, груз,
подвешенный на пружине, вагон или автомобиль на своих рессорах, качели, зажатая
одним концом металлическая пластинка, натянутая струна, стрелка компаса и т. д.
Все такие тела или совокупности тел, которые
сами по себе могут совершать периодические движения, или колебания, называют
колебательными системами.
Всем колебательным системам присущ ряд общих
свойств. Рассмотрим главные из них:
а) У каждой колебательной системы есть состояние
устойчивого равновесия. У физического маятника - это положение, в котором центр
масс подвешенного шарика находится на одной вертикали с точкой подвеса; у
вертикального пружинного маятника - положение, в котором сила тяжести
уравновешивается силой упругости пружины; у горизонтального пружинного маятника
- положение, при котором обе пружины деформированы одинаково.
б) После того как колебательная
система выведена из положения устойчивого равновесия, появляется сила,
возвращающая систему в устойчивое положение. Происхождение этой силы может быть
различным. Например, у физического маятника - это равнодействующая
силы тяжести
и силы
реакции нити 
, а у пружинных маятников - сила
упругости пружин.
в) Возвратившись в устойчивое
состояние, колеблющееся тело не может сразу остановится. Этому мешает его
инертность.
Перечисленные свойства приводят к
тому, что если колебательную систему тем или иным способом вывести из состояния
устойчивого равновесия, то в ней в отсутствие внешних сил возникнут и некоторое
время будут сохраняться колебания.
2. Гармонические колебания
Рис. 1. Теневая проекция шарика, движущегося по
окружности
Прикрепим к равномерно вращающемуся диску шарик
на стержне и осветим его сбоку (рис. 1). При вращении диска тень шарика будет
колебаться на стене. Нетрудно построить графическое изображение этих колебаний.
На рис. 2 отмечены и занумерованы 16 последовательных положений шарика, взятых
через каждую 1/16 полного оборота. Теми же самыми цифрами от 1 до 16
занумерованы положения тени на стене АВ; эти точки получены путем опускания на прямую
АВ перпендикуляров из точек окружности. Именно так проецируется тень на стену,
если шарик освещать пучком параллельных лучей.
Для того чтобы развернуть колебания проекции
шарика подобно тому, как это делает зеркальный барабан, построим ряд
равноотстоящих друг от друга прямых, параллельных АВ. Последовательные
положения проекции (тени) 1, 2, 3, …, 16 мы будем теперь наносить не на одной и
той же прямой, а на следующих друг за другом, как это показано в правой части
рисунка 2.
Рис. 2. Построение развертки гармонического
колебания
Проведя через отмеченные таким способом точки
непрерывную кривую, мы находим волнистую линию, указывающую последовательные
положения тени шарика, т. е. график движения.
Таким образом, мы получаем «осциллограмму»
колебаний проекции шарика (Осциллограмма (лат. oscillum
- колебание + греч. gramma -
запись, изображение) - кривая, отражающая параметры некоторого колебательного
процесса).
Колебание, которое совершает при равномерном
движении точки по окружности проекция этой точки на какую-либо прямую,
называется гармоническим (или простым) колебанием (от греческого слова
«гармония» - согласование).
Гармоническое колебание является специальным,
частным видом периодического колебания. Этот вид колебания очень важен, так как
он чрезвычайно часто встречается в самых различных колебательных системах.
Колебания груза на пружине, камертона, маятника, зажатой металлической
пластинки как раз и является по своей форме гармоническим. Следует заметить,
что при больших амплитудах колебания указанных систем имеют несколько более
сложную форму, но они тем ближе к гармоническому, чем меньше амплитуда
колебаний.
В определении гармонического колебания речь идет
о параллельной проекции, то есть положение точки, движущейся по окружности,
сносится на прямую АВ посредством параллельных между собой перпендикуляров к
АВ.
Рис. 3. Построение синусоиды
Если на горизонтальной оси откладывать
центральный угол α (рисунок
3), а на вертикальной - перпендикуляр ВВ´, опущенный с конца вращающегося
радиуса ОВ на неподвижный диаметр АА´ (угол α
отсчитывается от неподвижного радиуса ОА), то получится кривая, называемая
синусоидой. Для каждой абсциссы α
ординаты этой кривой ВВ´ пропорциональна синусу угла α,
так как
Сравнивая это построение с построением развертки
гармонического колебания, нетрудно усмотреть их полное тождество. Таким
образом, «волнистая кривая», изображающая гармоническое колебание, есть
синусоида. Поэтому очень часто гармоническое, или простое, колебание называют
также синусоидальным колебанием.
Продолжительность одного колебания называется
периодом колебания. Обозначают период буквой Т и выражают в секундах. Колебания
характеризуются также частотой колебаний. Частота колебаний - это число
колебаний в единицу времени. Обозначают частоту греческой буквой ν.
За единицу частоты принимают частоту такого колебания, при котором в единицу
времени совершается одно колебание. Эта единица называется герц (Гц): 1 Гц = 1
с -1 .
Между периодом колебаний и его частотой
следующая связь:
Если за время t
произошло N полных колебаний,
то период колебания определяется формулой:
. Энергия колебательного движения.
Превращение энергии
Рис.4.
Если тело, прикрепленное к пружине (рисунок 4),
отклонить от положения равновесия на расстояние А, например, влево, то оно,
пройдя через положение равновесия, отклонится вправо. Это следует из закона
сохранения энергии.
Потенциальная энергия сжатой или растянутой
пружины равна

где k - жесткость
пружины и x - ее
удлинение. В крайнем левом положении удлинение пружины x = - А,
следовательно, потенциальная энергия равна

Кинетическая энергия в этот момент
равна нулю, потому что нулю равна скорость. Значит, потенциальная энергия 
- это полная механическая энергия
системы в этот момент. Если условиться, что сила трения равна нулю, а другие
силы уравновешены, то нашу систему можно считать замкнутой и ее полная энергия
при движении не может измениться. Когда тело при своем движении окажется в
крайнем правом положении (x=А), Его кинетическая энергия снова
будет равна нулю и полная энергия опять равна потенциальной. А полная энергия
не может измениться. Значит, она снова равна

Это и означает, что и вправо тело
отклонится на расстояние равное А.
В положении равновесия, напротив,
потенциальная энергия равна нулю, потому что пружина не деформирована, х=0. В
этом положении полная энергия тела равна его кинетической энергии

где m - масса
тела и 
- его скорость (она в этот момент
максимальна). Но эта кинетическая энергия тоже должна иметь значение равное 
. Следовательно, при колебательном
движении происходит превращение кинетической энергии в потенциальную и обратно.
В любой же точке между положениями равновесия и максимального отклонения тело
обладает и кинетической энергией, и потенциальной, но их сумма, т.е. полная
энергия в любом положении тела, равна 
. Полная механическая энергия W
колеблющегося тела пропорциональна квадрату амплитуды и его колебаний

4. Маятники. Математический маятник
Маятником является всякое тело, подвешенное так,
что его центр тяжести находится ниже точки подвеса. Значит груз, подвешенный на
веревке, это колебательная система подобная маятнику настенных часов. У всякой
системы, способной совершать свободные колебания, имеется устойчивое положение
равновесия. У маятника - это то положение, при котором центр тяжести находится
на вертикали под точкой подвеса. Если мы выведем маятник из этого положения или
толкнем его, то он начнет колебаться, отклоняясь то в одну, то в другую сторону
от положения равновесия. Мы знаем, что наибольшее отклонение от положения
равновесия, до которого доходит маятник, называется амплитудой колебаний.
Амплитуда определяется тем первоначальным отклонением или толчком, которым
маятник был приведен в движение. Это свойство - зависимости амплитуды от
условий в начале движения - характерно не только для свободных колебаний
маятника, но и вообще для свободных колебаний очень многих колебательных
систем.
Период колебаний физического маятника зависит от
многих обстоятельств: от размеров и формы тела, от расстояния между центром
тяжести и точкой подвеса и от распределения массы тела относительно этой точки;
поэтому вычисление периода подвешенного тела - довольно сложная задача. Проще
обстоит дело для математического маятника. Математическим маятником называется
подвешенный к тонкой нити груз, размеры которого много меньше длины нити, а его
масса манного больше массы нити. Это значит, что тело (груз) и нить должны быть
такими, чтобы груз можно было считать материальной точкой, а нить невесомой. Из
наблюдений над подобными маятниками можно установить следующие простые законы.
. Если, сохраняя одну и ту же длину
маятника (расстояние от точки подвеса до центра тяжести груза), подвешивать
разные грузы, то период колебаний получится один и тот же, хотя массы грузов
сильно различаются. Период математического маятника не зависит от массы груза.
. Сида, действующая на тело в любой точке
траектории, направлена к положению равновесия, а в самой точке равновесия равна
нулю.
. Сила пропорциональна отклонению тела от
положения равновесия.
Рис. 5. Колебания маятника в
плоскости (а) и движение по конусу (б)
4. Если при пуске маятника отклонять его
на разные (но не слишком большие) углы, то он будет колебаться с одним и тем же
периодом, хотя и с разными амплитудами. Пока не слишком велики амплитуды,
колебания достаточно близки по своей форме к гармоническим, и период
математического маятника не зависит от амплитуды колебаний. Это свойство
называется изохронизмом (от греческих слов «изос» - равный, «хронос» - время).
Впервые этот факт был установлен в 1655 г.
Галилеем якобы при следующих обстоятельствах. Галилей наблюдал в Пизанском
соборе качания паникадила (в православном храме центральная люстра, светильник
со множеством свечей или лампад) на длинной цепи, которое толкнули при
зажигании. В течение богослужения размахи качаний постепенно затухали (глава
8), т. е. амплитуда колебаний уменьшалась, но период оставался одним и тем же.
В качестве указателя времени Галилей пользовался собственным пульсом.
Это свойство маятника оказалось не только
удивительным, но и полезным. Галилей предложил использовать маятник в качестве
регулятора в часах. Во времена Галилея часы приводились в действие грузом, а
для регулировки хода применялось грубое приспособление типа лопастей ветряной
мельницы, которое использовало сопротивление воздуха. Для отсчета равных
промежутков времени можно было бы использовать маятник, ибо малые колебания
совершаются за то же время, что и большие, вызываемые случайными порывами
ветра. Столетие спустя после Галилея часы с маятниковым регулятором вошли в
обиход, но мореплаватели по-прежнему нуждались в точных часах для измерения
долготы на море. Была объявлена премия за создание таких морских часов, которые
позволяли бы измерять время с достаточной точностью. Премию получил Гариссон за
хронометр, в котором для регулирования хода использовались маховое колесо
(баланс) и специальная пружина.
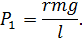
Выведем теперь формулу для периода колебаний
математического маятника.
При качаниях маятника груз движется ускоренно по
дуге ВА (рис. 5, а) под действием возвращающейся силы P1
,
которая меняется при движении.
Расчет движения тела под действием непостоянной
силы довольно сложен. Поэтому для упрощения поступим следующим образом.
Заставим маятник совершать не колебание в одной
плоскости, а описывать конус так, чтобы груз двигался по окружности (рис. 5,
б). Это движение может быть получено в результате сложения двух независимых
колебаний: одного - по-прежнему в плоскости рисунка и другого - в
перпендикулярной плоскости. Очевидно, периоды обоих этих плоских колебаний
одинаковы, так как любая плоскость качаний ничем не отличается от всякой
другой. Следовательно, и период сложного движения - обращения маятника по
конусу - будет тот же, что и период качания в одной плоскости. Этот вывод можно
легко иллюстрировать непосредственным опытом, взяв два одинаковых маятника и
сообщив одному из них качание в плоскости, а другому - вращение по конусу.
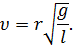
Но период обращения «конического» маятника равен
длине описываемой грузом окружности, деленной на скорость:
Если угол отклонения от вертикали невелик (малые
амплитуды!), то можно считать, что возвращающаяся сила Р1 направлена
по радиусу окружности ВС, т. е. равна центростремительной силе:
С другой стороны, из подобия треугольников ОВС и
DBE следует, что ВЕ : BD=CB
: OB. Так как ОВ=l,
CB=r,
BE=P1,
то отсюда
Приравняв оба выражения Р1 друг к
другу, мы получаем для скорости обращения
Наконец, подставив это в выражение периода Т,
находим
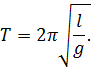
Итак, период математического маятника зависит
только от ускорения свободного падения g
и от длины маятника l, т. е.
расстояния от точки подвеса до центра тяжести груза. Из полученной формулы
следует, что период маятника не зависит от его массы и от амплитуды (при
условии, что она достаточно мала). Другими словами, получились путем расчета те
основные законы, которые были установлены ранее из наблюдений.
Но этот теоретический вывод дает нам больше: он
позволяет установить количественную зависимость между периодом маятника, его
длиной и ускорением свободного падения. Период математического маятника
пропорционален корню квадратному из отношения длины маятника к ускорению
свободного падения. Коэффициент пропорциональности равен 2π.
На зависимости периода маятника от ускорения
свободного падения основан очень точный способ определения этого ускорения.
Измерив длину маятника l
и определив из большого числа колебаний период Т, мы можем вычислить с помощью
полученной формулы g. Этот
способ широко используется не практике.
маятник колебание резонанс координата
5. Формула определения координаты в любой момент
времени
Как и для всякого движения, для колебаний нужно
получить формулу, позволяющую решать основную задачу механики - определять
координату в любой момент времени.
Рис. 5. Колебания маятника в плоскости (а) и
движение по конусу (б)
Обратимся к движению шарика по
окружности и к движению его проекции на горизонтальный диаметр (рис. 6). Пусть
в какой-то момент времени шарик находится в точке а. Проекция его в этот момент
проходит через центр окружности О. Проведем в точку а радиус. Через некоторый промежуток
времени t шарик
оказался в точке b, а его проекция в точке b́, так что
координата шарика равна x. Проведем радиус и в точку b. За время t шарик
прошел путь l= ᴗab, а его
проекция совершила перемещение, равное x. При этом
радиус, проведенный к шарику, повернулся на угол ϕ. Из треугольника Obb́ находим,
что 
, отсюда

Угол - это центральный угол. А дуга,
стягивающая центральный угол, как известно из геометрии, равна произведению
угла на радиус окружности, поэтому мы можем написать: l=Aϕ. С другой
стороны, l=𝜐t, а 
, так что для l мы получаем
еще одно выражение

Приравнивая оба выражения для l, находим:
или 
Подставив это значение ϕ в формулу 
, получаем:

.
Эта формула показывает, как
координата колеблющегося тела изменяется со временем. Это и есть решение
основной задачи механики для колебательного движения.
. Упругие и крутильные колебания
У маятника возвращающая сила обязана
своим возникновением силе тяжести. Но для колебаний существенно только само
наличие возвращающей силы, т. е. такой силы, которая всегда направлена к
положению равновесия и, вообще говоря, увеличивается с удалением от этого
положения. Такого рода силы возникают также при деформации твердых тел и
представляют собой упругие силы. Следовательно, эти упругие силы могут вызывать
колебания. По происхождению возвращающей силы такие колебания называют
упругими. Колебания тела, подвешенного на пружине (такое устройство называют
пружинным маятником), вагона на рессорах, пластинки, зажатой в тиски, колебания
камертона, натянутой струны, моста, высокого здания - все это упругие
колебания.
В соответствии с иным происхождением
возвращающей силы потенциальная энергия упругих колебаний есть энергия
деформации упругого тела, а не потенциальная энергия силы тяжести, как у
маятника. В остальном динамика упругих колебаний та же, что и у маятника.
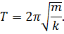
Исследование упругих колебаний груза
на пружине показывает, что при не слишком больших амплитудах эти колебания
являются гармоническими, причем период их выражается формулой, аналогичной
формуле математического маятника
Рис. 7. Крутильные колебания диска,
подвешенного на проволоке
Здесь m - масса
колеблющегося груза, k - жесткость пружины, т. е. сила,
необходимая для растяжения пружины на единицу длины.
Важным случаем упругих колебаний
являются так называемые крутильные колебания, при которых тело поворачивается
туда и обратно около оси, проходящей через его центр тяжести.
Если, например, подвесить на
проволоке диск (рис. 7), повернуть его так, чтобы проволока закрутилась, и
затем отпустить, то диск начнет раскручиваться, закрутится в обратную сторону и
т. д., т. е. будет совершать крутильные колебания. При этом также дважды за
период имеет место переход кинетической энергии движущегося диска в
потенциальную энергию (энергию деформации) закручивающейся проволоки и обратно.
Крутильные колебания нередко имеют место в валах двигателей, в частности в
гребных валах теплоходных машин, и при некоторых условиях могут оказаться очень
вредными.
В ручных и карманных часах нельзя
использовать подвесной маятник; в них применяется так называемый балансир -
колесико, к оси которого прикреплена специальная пружина («волосок»). Балансир
периодически поворачивается туда и обратно, причем при этих крутильных колебаниях
пружинка изгибается (раскручивается и закручивается) в обе стороны от своего
равновесного состояния. Таким образом, балансир представляет собой крутильный
маятник.
Для периода крутильных колебаний
сохраняют силу те же закономерности, что и для периода любых упругих колебаний:
период тем больше, чем меньше жесткость системы и чем больше ее масса (при
неизменной форме).
. Вынужденные колебания
Выше речь шла о свободных
колебаниях, т. е. о периодических движениях, которые совершаются колебательной
системой, если ее вывести из состояния равновесия и затем предоставить самой
себе. Но есть такие случаи, когда периодическое движение тела происходит не
свободно, а в результате действия периодически меняющейся силы. Колебания,
совершающиеся под воздействием внешней периодической силы, называются
вынужденными.
Например, в квартире задребезжали
стекла, когда мимо дома проехал тяжелый грузовик. Колебания стекол,
вынужденные. Их вызвали колебания почвы и воздуха, созданные проезжающим
грузовиком.
Когда кто-то разговаривает по
телефону, мембрана микрофона колеблется под действием колебаний воздуха, а
воздух - под действием колебаний голосовых связок. Колебания мембраны микрофона
и колебания воздуха вынужденные.
Корпуса всех работающих машин и
механизмов также совершают вынужденные колебания. Вынужденные колебания
совершает диффузор громкоговорителя и игла в швейной машине.
Приведенные примеры свидетельствуют
о том, что вынужденные колебания весьма часто встречаются в окружающем нас
мире, поэтому важно знать их основные свойства:
1) В колебательной системе, на которую
действует периодически меняющаяся сила, устанавливается периодическое движение;
) Период вынужденных колебаний равен
периоду действующей силы.
Из-за наличия трения и других потерь энергии
свободные колебания затухают. Они являются незатухающими лишь в идеальном
случае полного отсутствия всякого трения (собственные колебания). Вынужденные
же колебания, несмотря на наличие трения, являются действительно
периодическими, повторяющимися все время, пока действует периодическая сила.
Это объясняется тем, что при вынужденных колебаниях энергия, затрачиваемая на
трение, восполняется непрерывно за счет работы действующей на систему
периодической силы, тогда как при свободных колебаниях запас энергии сообщается
системе только в начале движения, и движение продолжается лишь до тех пор, пока
этот запас не исчерпается. Существуют системы, в которых незатухающие колебания
возникают не за счет периодического внешнего воздействия, а в результате
имеющейся у таких систем способности самой регулировать поступление энергии от
постоянного источника. Такие системы называются автоколебательными, а процесс
незатухающих колебаний в таких системах - автоколебаниями. В автоколебательной
системе можно выделить три характерных элемента - колебательная система,
источник энергии и устройство обратной связи между колебательной системой и
источником. В качестве колебательной системы может быть использована любая
механическая система, способная совершать собственные затухающие колебания
(например, маятник настенных часов).
. Затухающие колебания
Рассматривая свободные колебания маятника,
шарика с пружинами, диска и т. д., мы отвлекались до сих пор от явления,
которое неизбежно имеет место в каждом из описанных выше опытов и вследствие
которого колебания не являются строго периодическими, а именно: амплитуда
колебаний с каждым размахом делается все меньше и меньше, так что рано или
поздно колебания прекращаются. Это явление называется затуханием колебаний.
Причина затухания заключается в том, что во
всякой колебательной системе, кроме возвращающей силы, всегда действуют разного
рода силы трения, сопротивление воздуха и т. п., которые тормозят движение. При
каждом размахе часть полной колебательной энергии (потенциальной и
кинетической) расходуется на работу против сил трения. В конечном счете на эту
работу уходит весь запас энергии, сообщенный колебательной системе
первоначально.
Затрата энергии на работу против сил трения
может иметь весьма разнообразный характер. Возможно трение между твердыми
поверхностями, например трение призмы коромысла весов об опору. Энергия может
затрачиваться на преодоление сопротивления среды (вода, воздух). Кроме того,
колеблющиеся тела приводят в движение окружающую среду, отдавая на это при
каждом колебании часть своей энергии. Наконец, сами деформации пружин,
пластинок, проволок и т. д. тоже происходят с некоторой потерей энергии на
внутреннее трение в материале, из которого эти тела сделаны.
Отвлекаясь до сих пор от сил трения, мы
рассматривали именно идеальные, строго периодические собственные колебания, чем
сознательно упрощали изучение колебаний за счет несколько неточного их
описания. Такое упрощение является, однако, пригодным и возможным только
потому, что у многих колебательных систем трение и вызываемое им затухание
действительно малы: система успевает совершить очень большое число колебаний,
прежде чем их амплитуда уменьшится заметным образом. При изучении таких систем
с достаточно малым затуханием можно для очень многих вопросов совсем не
учитывать этого затухания и считать свободные колебания системы строго
периодическими, т. е. рассматривать собственные колебания.
Колебание, которое в отсутствие затухания было
бы гармоническим (собственное колебание), при наличии затухания, конечно,
перестает быть гармоническим; более того, благодаря затуханию движение уже не
будет и периодическим. Его осциллограмма представляет собой не повторяющуюся
линию, а линию, размахи которой делаются все меньше и меньше. Увеличивая тем
или иным способом трение, мы можем дойти до столь больших затуханий, при
которых система останавливается после первого же размаха, или даже до первого
перехода через положение равновесия.
Рис. 8. Затухающие колебания
Такие сильно затухающие движения колебательной
системы называются апериодическими.
Воспользовавшись колебаниями груза на пружине,
легко наблюдать рост затухания при увеличении трения. Если груз поместить в
воду, то затухание колебаний резко возрастет по сравнению с затуханием в
воздухе. В масле оно будет еще больше, чем в воде: движение получится
апериодическим или близким к апериодическому. Чем менее обтекаемой является
форма груза (при той же массе), тем больше затухание, так как тем больше
энергии отдается на приведение в движение окружающей среды.
Трение влияет не только на амплитуду колебаний
(затухание), но и на продолжительность размахов. Мы не можем называть эту
продолжительность периодом, так как затухающее колебание - движение
непериодическое. Однако если затухание невелико, то условно можно говорить о
периоде, понимая под этим время между двумя прохождениями в одном и том же
направлении через положение равновесия.
. Резонанс. Примеры резонансных явлений
Если мы обратим внимание на амплитуду
вынужденных колебаний груза, то заметим, что при различных периодах вынуждающей
силы эта амплитуда далеко не одинакова. Особый интерес представляют вынужденные
колебания в системе, способной, совершать свободные колебания. Например,
качели. Если человек будет беспорядочно подталкивать их в разные стороны, то
качели не раскачаются. Однако, если в правильном ритме начать подталкивать
качели, применяя небольшие усилия, мы через некоторое время раскачаем качели
очень сильно. Как это происходит? После первого толчка качели будут совершать
лишь очень малые колебания. Второй толчок, совершенный вовремя, усилит первый,
третий - усилит колебания еще больше.
Если построить график зависимости амплитуды
колебаний от частоты внешней силы, то увидим, что амплитуда резко возрастает
при значении частоты изменения внешней силы, равной собственной частоте
собственных колебаний. Итак, явление резкого возрастания амплитуды вынужденных
колебаний при равенстве частот вынуждающей силы и собственной частоты
колебательной системы называется резонансом.
Рис. 9. Вынужденные колебания груза на пружине
Явления, возникающие при резонансе, называют
резонансными явлениями. Про силу, период которой совпадает с периодом свободных
колебаний и которая вызывает тем самым наибольшую раскачку, наибольший «отклик»
колебательной системы, говорят, что она действует в резонанс. Разумеется, если
затухание мало, так что период свободных колебаний близок к собственному
периоду, под резонансной настройкой можно понимать совпадение периода
вынуждающей силы с собственным периодом.
Существующее в системе трение, обусловливающее
затухание ее свободных колебаний имеет для резонансных явлений очень большое
значение. В этом легко убедиться, наблюдая вынужденные колебания пружинного
маятника при различном трении (рис. 9). Для увеличения затухания можно
воспользоваться по-прежнему опусканием груза в воду или масло.
Если груз колеблется в воздухе, то при
совпадении периода вращения ручки раскачивающего механизма (периода силы) с
собственным периодом системы раскачка получается очень сильная - амплитуда
колебаний груза в несколько раз больше амплитуды точки А раскачивающего
механизма. Однако стоит лишь немного ускорить или замедлить вращение ручки, как
амплитуда колебаний груза резко уменьшится. Таким образом, если затухание системы
небольшое, то резонансные явления оказываются сильными и резко выраженными
(острый резонанс): при точном резонансе раскачка очень велика, но уже при
небольшой расстройке (расхождении периода силы и периода собственных колебаний
системы) амплитуда вынужденных колебаний значительно уменьшается.
Наоборот, в случае задемпфированной системы, т.
е. системы с увеличенным затуханием (например, груз движется в воде), амплитуда
вынужденных колебаний при точном резонансе не очень сильно превышает амплитуду
колебаний точки А; зато при уходе от резонанса в ту или другую сторону
уменьшение амплитуды происходит не так резко. Например, ускорив вращение ручки
вдвое по сравнению с резонансной частотой вращения, мы увидим, что колебания
груза, опущенного в воду, станут лишь немного меньше, чем при резонансе.
Колебания же груза в воздухе при таком укорочении периода силы уменьшатся в
несколько раз. Таким образом, если затухание велико, то резонансные явления
получаются слабыми и выраженными неотчетливо (тупой резонанс): увеличение
амплитуды при точном резонансе относительно невелико, и заметное спадание
амплитуды происходит лишь при больших расстройках.
Эти результаты иллюстрирует график, изображенный
на рис. 10. На нем показаны так называемые резонансные кривые, дающие зависимость
амплитуды вынужденных колебаний от их частоты, т. е. частоты силы, действующей
на систему.
На графике показаны две кривые, соответствующие
малому и большому затуханию. Первая имеет узкий и высокий максимум, вторая -
низкий и пологий. Следует обратить внимание на то, что первая кривая всюду
проходит выше второй, т. е. при всякой частоте силы амплитуды вынужденных
колебаний тем больше, чем меньше затухание, но при точном резонансе различие
амплитуд в случаях малого и большого затухания особенно велико.
Кроме того, максимум кривой 2 несколько сдвинут
влево от максимума кривой 1, т. е. соответствует немного меньшей частоте силы.
Это связано с увеличением периода свободных колебаний при возрастании
затухания.
Рис. 10. Резонансные кривые при малом затухании
(1) и при большом затухании (2)
Следует твердо помнить, что резонансные кривые
дают значение установившейся амплитуды. Колебания с такой амплитудой
устанавливаются не сразу, а в течение некоторого времени от того момента, когда
сила начала действовать на систему.
Как долго продолжается этот процесс
установления?
На это легко ответить, если учесть, что в первый
момент, когда периодическая сила начинает действовать на систему, в последней
возникают наряду с вынужденными колебаниями также и свободные колебания.
Первоначальное движение системы именно потому и является сложным, что оно
представляет собой сумму двух движений: вынужденных колебаний с частотой силы и
свободных колебаний с их частотой. Но сила поддерживает только вынужденное
колебание, свободные же колебания затухают, и, следовательно, движение системы
постепенно «очищается» от них. Остаются только вынужденные колебания.
Таким образом, процесс установления вынужденных
колебаний состоит в том, что затухают примешанные к ним свободные колебания,
возбудившиеся в тот момент, когда начала действовать сила. Поэтому процесс
установления вынужденных колебаний занимает такое же время, как и процесс
затухания свободных колебаний. А это означает следующее: при очень малом затухании
системы резонансная амплитуда очень велика, но зато и раскачка до этой
амплитуды длится долго. Наоборот, при большом затухании системы резонансная
амплитуда невелика, но устанавливается быстро. Это надо учитывать, выполняя
описанные выше опыты.
Резонанс играет очень большую роль в самых
разнообразных явлениях. Причем в одних - полезную, в других - вредную. Приведем
несколько примеров относящихся к механическим колебаниям.
Идя по доске, перекинутой через ров, можно
попасть шагами в резонанс с собственным периодом системы (доски с человеком на
ней), и доска начинает тогда сильно колебаться (изгибаться вверх и вниз). То же
самое может случиться и с мостом, по которому походит войсковая часть или
проезжает поезд (периодическая сила обусловливается ударами ног или ударами
колес на стыках рельсов). Так, например, в 1906 году в Петербурге обрушился так
называемый Египетский мост через реку Фонтанку. Это произошло при переходе
через мост кавалерийского эскадрона, причем четкий шаг лошадей, отлично обученных
церемониальному маршу, попал в резонанс с периодом моста. Для предотвращения
таких случаев войсковым частям при переходе через мосты приказывают обычно идти
не «в ногу», а вольным шагом. Поезда же большей частью переезжают мосты на
медленном ходу, чтобы период ударов колес о стыки рельсов был значительно
больше периода свободных колебаний моста. Иногда применяют обратный способ
«расстройки» периодов: поезда проносятся через мосты на максимальной скорости.
Случается, что период ударов колес на стыках
рельсов совпадает с периодом колебаний вагона на рессорах, и вагон тогда очень
сильно раскачивается. Корабль также имеет свой период качаний на воде. Если
морские волны попадают в резонанс с периодом корабля, то качка становится
особенно сильной. Капитан меняет тогда скорость корабля или его курс. В
результате период волн, набегающих на корабль, изменяется (вследствие изменения
относительной скорости корабля и волн) и уходит от резонанса.
Неуравновешенность машин и двигателей
(недостаточная центровка, прогиб вала) является причиной того, что при работе
этих машин возникает периодическая сила, действующая на опору машины -
фундамент, корпус корабля и т. п. Период силы может совпасть при этом с
периодом свободных колебаний опоры или, например, с периодом колебаний самого
вращающегося вала. Получается резонанс, и вынужденные колебания могут быть
настолько сильны, что разрушают фундамент, ломают валы и т. д. Во всех таких
случаях принимаются специальные меры, чтобы избежать резонанса или ослабить его
действие (расстройка периодов, увеличение затухания - демпфирование и др.).
Очевидно, для того чтобы с помощью наименьшей
периодической силы получить определенный размах вынужденных колебаний, нужно
действовать в резонанс. Тяжелый язык большого колокола может раскачать даже
ребенок, если он будет натягивать веревку с периодом свободных колебаний языка.
Но самый сильный человек не раскачает язык, дергая веревку не в резонанс.
Явление резонанса находит широкое применение в
технике. Так, для уплотнения сыпучего основания под фундаменты и дороги, а
также для уплотнения бетона используют специальные вибраторы-уплотнители. Их
применяют для вибрационного погружения свай, шпунтов, труб и т. п. Для
вибрационного погружения сваи мощный вибратор устанавливают на ее верхнем
основании. При включении двигателя свая начинает вибрировать; грунт под сваей
«разжижается», и под действием силы тяжести она погружается. Особенно широкое
применение этот метод погружения свай нашел на строительстве морских и озерных
сооружений.
На явлении резонанса основано действие прибора,
предназначенного для определения частоты переменного тока, сила которого
изменяется по гармоническому закону. Такие приборы, носящие название язычковых
частотомеров, обычно применяются для контроля постоянства частоты в электрической
сети. Внешний вид прибора изображен на рис. 11, а. Он состоит из набора упругих
пластинок с грузиками на концах (язычков), причем массы грузиков и жесткости
пластинок подобраны так, что частоты соседних язычков отличаются на одно и то
же число герц. У частотомера, представленного на рис. 11, а, частоты язычков
идут через каждые 0,5 Гц. Эти частоты написаны на шкале против язычков.
Рис. 11. Язычковый частотомер: а) внешний вид;
б) схема устройства.
Устройство частотомера схематически показано на
рис. 11, б. Исследуемый ток пропускается через обмотку электромагнита.
Колебания якоря передаются планке, с которой связаны основания всех язычков и
которая укреплена на гибких пластинках. Таким образом, на каждый язычок действует
гармоническая сила, частота которой равна частоте тока. Язычок, попавший в
резонанс с этой силой, колеблется с большей амплитудой и показывает на шкале
свою частоту, т. е. частоту тока.
С явлением резонанса мы встречаемся и в
повседневной жизни. Если в комнате задребезжали оконные стекла при проезде по
улице тяжелого грузовика, то это значит, что собственные частоты колебаний
стекла совпали с частотой колебаний машины.
Заключение
Итак, в написанном мною реферате я решила
поставленные во введении задачи.
В заключение реферата подведем итоги всего
вышесказанного.
В природе и технике большую роль играют
колебательные системы, т. е. тела и устройства, которые, будучи выведены из
состояния равновесия, совершают как бы «сами по себе» колебательное движение.
Если при этом на систему не действуют внешние силы, эти колебания называются
свободными или собственными.
Механическое колебательное движение - это
движение, при котором координата колеблющегося тела, его скорость и ускорение
повторяются через определенный промежуток времени, называемый периодом
колебаний, или, что одно и то же, повторяются с определенной частотой. Между
периодом T и частотой ν
существует связь:

; 
Период колебаний пружинного маятника
определяется формулой:

Период колебаний математического
маятника определяется формулой:

Основная задача механики - это определение
координаты колеблющегося тела в любой момент времени:
Сила трения, которую нужно считать внешней
силой, вызывает постепенное уменьшение амплитуды колебаний. Такие колебаний
называют затухающими колебаниями.
Если внешней силой, приложенной к системе,
является периодически изменяющаяся сила, то система совершает вынужденные
колебания. Частота вынужденных колебаний равна частоте вынуждающей силы. При
равенстве частоты вынуждающей силы и частоты собственной колебательной системы
происходит резонанс - резкое возрастание амплитуды вынужденных колебаний.
Изучив явление резонанса, я пришла к выводу, что он играет не только
положительную роль, но и оказывает пагубное влияние при неучтенных
обстоятельствах.
Колебания играют огромную роль в жизни человека.
Без знания законов колебаний нельзя было бы создать радио, телевидение, многие
современные устройства и машины. Колебания многогранны. Иногда они выступают
как друг и помощник человека, а иногда как коварный враг. Неучтенные колебания
могут привести к разрушению сложных технических сооружений и вызвать серьезные
заболевания человека.
Список используемой литературы
1.
Элементарный учебник физики под редакцией академика Г. С. Ландсберга. Том III.
Колебания и волны. Оптика. Атомная и ядерная физика. - 10-е изд., перераб. -
М.: Наука. Главная редакция физико-математический литературы, 1986.
.
Кикоин И. К., Кикоин А. К. Физика: учебник для 9 кл. сред. шк. - М.:
Просвещение, 1990.
.
Шахмаев Н. М. и др. Физика: учеб. Для 9 кл. сред. шк. - 3-е изд. - М.:
Просвещение, 1994.
.
Эрик Рождерс. Физика для любознательных. Том I.
Материя, движение, сила. - 2-е изд., исправл. - М.: Мир, 1972.
.
Интернет-ресурсы.
.
Тарасов Л. В. Современный курс физики. Механика. - М.: ООО «Издательство
Оникс»: ООО «Издательство «Мир и образование», 2009.