Тепловой расчет двигателя
ТЕПЛОВОЙ РАСЧЕТ ДВИГАТЕЛЯ
1. Исходные данные
Задачей теплового расчета двигателя является построение диаграммы
расчетного и действительного циклов и определение индикаторных и эффективных
показателей двигателя, а также геометрических размеров цилиндра.
Тепловой расчет производится для номинального режима работы двигателя при
стандартных атмосферных условиях и состоит из следующих этапов:
· определение параметров рабочего тела:
a) в конце такта наполнения (в начале такта сжатия);
b) в процессе сжатия;) в
процессе сгорания;) в процессе расширения;
· определение индикаторных и эффективных показателей
дизеля;
· определение основных параметров цилиндра.
2. Определение параметров рабочего тела в конце тактов
наполнения
тепловой двигатель дизель
Давление воздуха в цилиндре в конце процесса наполнения Pа меньше давления на впуске Рk на величину ∆Р, которая
зависит от гидравлических сопротивлений системы впуска, режима работы двигателя
и площади проходных сечений клапанов механизма газоразделения:
где

-
коэффициент, учитывающий вышеперечисленные факторы. Так как точный учет всех
факторов невозможен, то при определении величины Ka
ориентируется на опытные данные.

для
дизеля без наддува.
Давление в выпускном коллекторе Рp зависит от давления Рk:

величина
коэффициента зависит от гидравлических сопротивлений.
Давление
остаточных газов в цилиндре:

коэффициент,
учитывающий гидравлические потери в органах системы газораспределения.
Коэффициент
остаточных газов:

температура
остаточных газов для карбюраторных двигателей.

повышение
температуры воздуха в процессе наполнения для карбюраторных двигателей.
Температура
воздуха в конце такта наполнения:
Значение
температуры воздуха в конце такта сжатия должно находиться в пределах 
- для
карбюраторных двигателей.
Коэффициент
наполнения 
находится
по формуле:
3. Определение параметров рабочего тела в процессе
сжатия
Процесс
сжатия протекает политропно, с некоторым средним значением показателя политропы

.
Температура
и давление в конце такта сжатия определяют по формулам:
Расчетные
значения 
должны
находится в пределах 600…800 К и 0,9…2,0 мПа соответственно.
4. Определение параметров рабочего тела в конце процесса
сгорания
При
расчете цикла задаются максимальным давлением цикла 
для
карбюраторных двигателей.
Степень
повышения давления определяют по формуле:
Значения
величины 
должны
находится в пределах 
для
карбюраторных двигателей.
Низшая
теплопроводность топлива:
Для
карбюраторного двигателя, должна находится в пределах
Необходимое
количество воздуха для сгорания 1кг топлива:
Число
киломолей продуктов совершенного сгорания:
Число
киломолей свежего заряда:
Число
киломолей продуктов сгорания 1 кг топлива:
Коэффициент
молекулярного изменения свежей смеси:
Коэффициент
молекулярного изменения рабочей смеси определяем по формуле:

Объемная (мольная) доля избытка воздуха в продуктах сгорания:
Проверяем сумму объемных долей:
Объемная доля воздуха в рабочей смеси:
Объемная доля продуктов совершенного сгорания в рабочей смеси:
Проверяем сумму объемных долей:
По
таблице 3 определяем внутренние энергии воздуха 
и
продуктов совершенного сгорания 
при
температуре:
Так
как температура 
отличается
от табличных значений, то 
определяется
путем линейного интерполирования. Находим внутренние энергии воздуха для
ближайших табличных значений температур:
При

При

Разноси
температур 
соответствует
разность внутренних энергий.
Разность
температур 
соответствует
разность внутренних энергий.
Аналогичным
образом определяется внутренняя энергия продуктов совершенного сгорания.
При

При

Для
температуры 
путем
интерполирования получаем:
Обозначим
левую часть уравнения сгорания, вычислим её:
Обозначим
правую часть уравнения сгорания:
Здесь
неизвестны температура 
и
зависящие от неё внутренние энергии 
и 
.
Для
решения уравнения сгорания и определения температуры 
строим
график функции B(
)
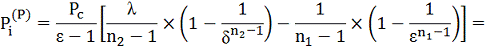
5. Определение индикаторных и эффективных показателей
дизеля
Определим среднее индикаторное давление по параметрам цикла:
Действительное
среднее индикаторное давления 
получается
умножением 
на
коэффициент полноты диаграммы цикла 
Индикаторный
КПД и удельный индикаторный расход топлива определяют по формулам:
Для
определения эффективных параметров двигателя необходимо задаться механическим
КПД. 
Эффективный
КПД, средний эффективное давление и удельный эффективный расход топлива
определяют из:
6. Определение геометрических размеров цилиндра
Рабочий объем цилиндра определяется по формуле:
где Ne - эффективная мощность, кВт;
Pe - среднее эффективное давление, МПа;
n -
скорость вращения коленчатого вала, об/мин;
i -
число цилиндров.
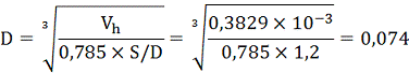
Диаметр цилиндра определяют по формуле:
Принимаем
что 
Уточняем
эффективную мощность:
Средняя
скорость поршня
Литраж
двигателя
Действительное значение эффективной мощности
7. Построение индикаторной диаграммы
Выбор масштаба и определение координат основных точек.
Масштаб
выбирается с таким расчетом, чтобы высота диаграммы была в 1,5-1,7 раза больше
её основания. Масштаб полосы абсцисс целесообразно принимать с таким расчетом,
чтобы отрезок АВ, соответствующий значению 
был
равен 100мм.
Приведенная
к принятому масштабу величина объема камеры сгорания 
Максимальная
высота индикаторной диаграммы 
При
выполнении расчета получаются или принимаются значения давления и обьемов для
характерных точек индикаторной диаграммы: 
Их
ординаты определяют как:

; 
Ординаты
этих точек откладываются на перпендикулярах к оси абсцисс, восстановленных к
точкам А и B на графике индикаторной диаграммы.
Построение
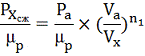
политроп сжатия и расширения аналитическим методом.
Координаты
политроп сжатия 
рассчитываются
на основании уравнения, МПа:
Значение
объема 
соответствует
OB. Значение 
будут
лежать в пределах от 
до 
.
Следовательно,
отношение 
для
различных значений 
может
лежать в пределах:
Координаты
точек политропы расширения 
для
карбюраторного двигателя рассчитывают аналогично, МПа:
Тогда
Результаты
расчетов заносим в таблицу.
Таблица
1 - Аналитический расчет политроп сжатия и расширения
|
Номер точки
|
OX, мм
|
ОВ/ОХ
|
Политропа сжатия
|
Политропа расширения
|

,
МПа
/μр,
мм
,
МПа
/μр,
|
мм
|
|
|
|
|
|
|
|
1
|
19
|
8,42
|
17,38
|
1,49
|
62,20
|
14,35
|
5,74
|
239,09
|
|
2
|
30
|
5,33
|
9,42
|
0,81
|
33,73
|
8,10
|
3,24
|
135,08
|
|
3
|
40
|
4,00
|
6,41
|
0,55
|
22,94
|
5,66
|
2,26
|
94,28
|
48
|
3,33
|
5,02
|
0,43
|
17,97
|
4,50
|
1,80
|
75,07
|
|
5
|
60
|
2,67
|
3,72
|
0,32
|
13,32
|
3,41
|
1,36
|
56,79
|
|
6
|
76
|
2,11
|
2,71
|
0,23
|
9,71
|
2,54
|
1,01
|
42,27
|
|
7
|
104
|
1,54
|
1,78
|
0,15
|
6,37
|
1,71
|
0,69
|
28,56
|
|
8
|
120
|
1,33
|
1,47
|
0,13
|
5,26
|
1,43
|
0,57
|
23,88
|
|
9
|
135
|
1,19
|
1,26
|
0,11
|
4,49
|
1,24
|
0,49
|
20,61
|
|
10
|
150
|
1,07
|
1,09
|
0,09
|
3,90
|
1,08
|
0,43
|
18,07
|
|
11
|
160
|
1,00
|
1,00
|
0,09
|
3,58
|
1,00
|
0,40
|