Электромеханические переходные процессы и устойчивость электрических систем
Содержание
1. Расчет сопротивлений элементов
системы в именованных единицах с точным приведением к одной ступени напряжения
на шинах нагрузки 119 кВ
. Расчет предела передаваемой
мощности
.1 Определение предела передаваемой
мощности электропередачи и коэффициента запаса статической устойчивости
.2 Определение предела передаваемой
мощности электропередачи и коэффициента запаса статической устойчивости при
учете регулирующего эффекта нагрузки
.3 Определение предела передаваемой
мощности электропередачи и коэффициента запаса статической устойчивости при
установке на генераторах Г1 АРВ пропорционального типа
.4 Определение предела передаваемой
мощности электропередачи и коэффициента запаса статической устойчивости при
установке на генераторах Г1 АРВ сильного действия
.5 Анализ зависимостей
. Определение предельного времени
отключения короткого замыкания в точке К1
.1 Нормальный
режим
.2 Аварийный
режим
.2.1 Трехфазное короткое замыкание
на землю
.2.2 Двухфазное короткое замыкание
на землю
.3 Послеаварийный
режим
.4 Определение предельного времени
отключения короткого замыкания
. Анализ статической устойчивости по
критерию Гурвица
. Список
используемой литературы
Введение
В любом переходном процессе происходит изменение
электромагнитного состояния системы и нарушение баланса между механическим
моментом на валу каждой машины и электромагнитным моментом. В результате этого
нарушения изменяются скорости вращения машин. Такое положение существует до тех
пор, пока регулирующие устройства не восстановят нормальное состояние.
Таким образом, переходный процесс
характеризуется совокупностью электромагнитных и электромеханических изменений,
которые взаимосвязаны и представляют единое целое.
В курсовом проекте рассмотрены особенности
изучения электромеханических переходных процессов, вопросы устойчивости
электрических систем.
Схема энергосистемы включает три эквивалентных
блока «генератор-трансформатор», которые имеют связь с шинами нагрузки с
помощью двухцепной линии электропередачи и автотрансформатора.
переход процесс устойчивость электричество система
1.
Расчет сопротивлений элементов системы в именованных единицах с точным
приведением к одной ступени напряжения на шинах нагрузки 119 кВ
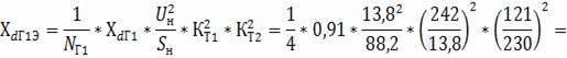
Генератор Г1
Рассчитываем продольное индуктивное
сопротивление 
эквивалентного
генератора:
где 
продольное
индуктивное сопротивление генератора в
относительных единицах;
второго трансформаторов.
Рассчитываем поперечное индуктивное
сопротивление 
эквивалентного
генератора:

Рассчитываем
переходное сопротивление генератора:

Рассчитываем сверхпереходное сопротивление
генератора:

где 
сверхпереходное
сопротивление генератора.
Генератор Г2
Рассчитываем продольное индуктивное
сопротивление 
эквивалентного
генератора:
Рассчитываем поперечное индуктивное
сопротивление 
эквивалентного
генератора:
Рассчитываем сверхпереходное сопротивление
генератора:
Генератор Г3
Рассчитываем продольное индуктивное
сопротивление 
эквивалентного
генератора:

Рассчитываем поперечное индуктивное
сопротивление 
эквивалентного
генератора:
Рассчитываем сверхпереходное сопротивление
генератора:
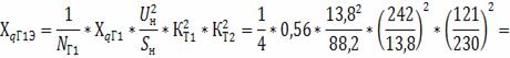
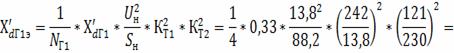
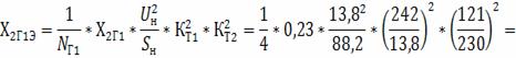
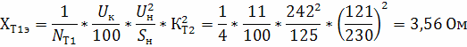
Трансформатор Т1
Трансформатор Т2
Трансформатор Т3
Трансформатор Т4
Линия электропередачи (двухцепная)
Нагрузка

Схема замещения системы изображена на рисунке 2.
2.
Расчет предела передаваемой мощности
Под простейшей системой понимается такая, в
которой одиночная электростанция (эквивалентный генератор Г-1) связана с шинами
(системой) неизменного напряжения трансформаторами Т-1 и Т-2 и двухцепной
линией Л, по которой передается мощность от станции в систему (см. схему
электрической системы в задании). Принимается, что суммарная мощность
электростанций системы во много раз превышает мощность рассматриваемой станции.
Это позволяет считать напряжение на шинах системы неизменным (
)
при любых режимах ее работы.
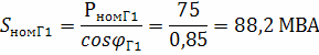
2.1
Определение предела передаваемой мощности электропередачи Рпр и
коэффициента запаса статической устойчивости Кз, при Еq1
= const
Вычисляем Рпр без учета
явнополюсности генератора Г1.
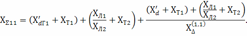
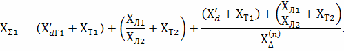
Суммарное сопротивление системы от Г1 до шин
нагрузки.
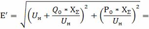
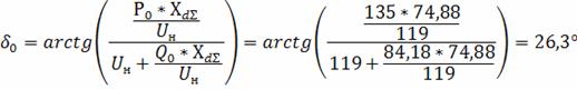
Синхронная ЭДС:
где реактивная мощность в исходном режиме
определяется как
Угол сдвига фаз между ЭДС генератора
Г1 и напряжением сети:
Предел передаваемой мощности:
Коэффициент запаса статической
устойчивости по идеальному пределу передаваемой мощности и по углу:
Вычисляем Рпр
с учетом явнополюсности генератора Г1.
Суммарное сопротивление системы от генератора Г1
до шин нагрузки
Определяем синхронную ЭДС:
Угол сдвига фаз между ЭДС генератора
Г1 и напряжением сети:
Предел передаваемой мощности:
Коэффициент запаса статической
устойчивости по идеальному пределу передаваемой мощности и по углу:

Сравнив величины
и
,
вычисленные без учета и при учете явнополюсности генератора Г-1, видно, что
значения
и
будут
больше в случае явнополюсного генератора. Это объясняется различием в
индуктивных сопротивлениях генератора
и
,
которое возникает из-за неодинакового воздушного зазора по длине окружности
расточки статора, что при одинаковой магнитодвижущей силе (МДС) реакции статора
вызывает различные магнитные потоки реакции.
Строим угловую характеристику мощности (рисунок
3)
Рисунок 8. Угловая характеристика генератора Г1.
2.2
Определение предела передаваемой мощности электропередачи Рпр и
коэффициента запаса статической устойчивости Кз, при учете
регулирующего эффекта нагрузки
Предел (действительный) передаваемой активной
мощности определим, представляя генераторы всех станций неизменными
синхронными ЭДС и сопротивлениями, при учете
регулирующего эффекта нагрузки.
В этом разделе выключатель системы бесконечной
мощности отключен и связи с системой нет, а поэтому при изменениях режима
напряжение UН
не
будет постоянным, так как комплексная нагрузка на шинах приемной системы,
соизмеримая по мощности с эквивалентным генератором, не обладает бесконечным
регулирующим эффектом. Следовательно, устойчивость передачи изменится.
Заменим генераторы Г2 и Г3 одним эквивалентным
генератором.
Суммарное сопротивление системы от Г2 до шин
нагрузки:
Суммарное сопротивление системы от Г3 до шин
нагрузки:
Находим эквивалентное сопротивление системы от
генераторов Г2 и Г3 до шин нагрузки:
Эквивалентная ЭДС от действия
генераторов Г2 и Г3:
где Р’ - активная мощность отдаваемая
в систему генераторами Г2 и Г3;
Q’
- реактивная мощность, отдаваемая в систему генераторами Г2 и Г3.
Определяем угол сдвига фаз между ЭДС
генераторов Г2 и Г3 и напряжением сети:
Получаем схему замещения, изображенную на
рисунке 4.
Рисунок 4.
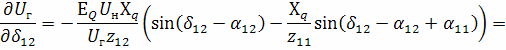
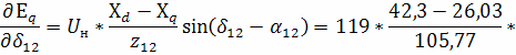
Определим собственные и взаимные сопротивления:
Взаимный угол между роторами
генераторов двух станций:
Активная мощность, выдаваемая первой
и второй станцией:
Определим величины максимума
характеристик активных мощностей:
Выражения для построения угловых характеристик
мощности:
Рассчитываем коэффициенты запаса по мощности для
первой и второй станций:
2.3
Определение предела передаваемой мощности электропередачи и коэффициент запаса
статической устойчивости при установке на генераторах Г1 АРВ пропорционального
типа
При установке на генераторах АРВ
пропорционального действия в качестве самой простой математической модели
генератора принимается неизменной поперечная составляющая переходной ЭДС (
) за переходным
сопротивлением 
.
Суммарное сопротивление
электропередачи:
Определим переходные ЭДС:
Определим поперечную составляющую
переходного ЭДС:
Определим передаваемую мощность:

Для определения предельной величины активной
мощности в этом случае нужно найти угол, обеспечивающий максимальное значение
последнего выражения. Как известно, экстремум функции определяется при
равенстве нулю её производной. Приравниваем производную активной мощности по
углу к 0, получим квадратное уравнение и решаем его относительно 
Определим предел передаваемой мощности:
Рассчитываем коэффициент запаса по мощности и по
углу:
У генераторов, снабженных АРВ пропорционального
типа, увеличивается предел передаваемой мощности. Это происходит из-за
регулирования тока возбуждения.
2.4
Определение предела передаваемой мощности электропередачи и коэффициент запаса
статической устойчивости при установке на генераторах Г1 АРВ сильного действия
При установке на генераторах АВР сильного
действия в качестве простой математической модели генератора принимается неизменной
поперечная составляющая напряжения генератора, т. е. реактивность самого
генератора принимается равной нулю.
Суммарное сопротивление
электропередачи:
Напряжение генератора:
Определим поперечную составляющую
напряжения генератора:
Определим передаваемую мощность:
Для определения предельной величины активной
мощности в этом случае нужно найти угол, обеспечивающий максимальное значение
последнего выражения. Как известно, экстремум функции определяется при
равенстве нулю её производной. Приравниваем производную активной мощности по
углу к 0, получим квадратное уравнение и решаем его относительно 
Определим предел передаваемой мощности:
Рассчитываем коэффициент запаса по мощности и
углу:
Анализируя угловые характеристики мощности
генераторов с АРВ и без АРВ, можно сделать вывод, что применение устройств АРВ
значительно увеличивает предел передаваемой мощности за счет регулирования тока
возбуждения синхронной машины. Увеличение запаса по мощности увеличивает
способность электрической системы сохранить устойчивость при малых возмущениях.
2.5
Анализ зависимостей 
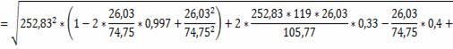
Определяем сопротивление нагрузки:
Определяем сопротивление системы:
Характеристики мощности рассчитываем по формуле:

Изменяя значение 
от 10° до 85° и
подставляя в формулу, находим следующие значения мощности:
Коэффициент запаса статической устойчивости:
|
|
|
0
|
|
|
1
|
|
|
1
|
|
|
1
|
|
1
|
10
|
|
1
|
0,985
|
|
1
|
306,77
|
|
1
|
1,27
|
|
2
|
15
|
|
2
|
0,966
|
|
2
|
301,45
|
|
2
|
1,23
|
|
3
|
20
|
|
3
|
0,94
|
|
3
|
297,24
|
|
3
|
1,2
|
|
4
|
25
|
|
4
|
0,906
|
|
4
|
293,57
|
|
4
|
1,17
|
|
5
|
30
|
|
5
|
0,866
|
|
5
|
290,56
|
|
5
|
1,15
|
|
6
|
35
|
|
6
|
0,819
|
|
6
|
288,61
|
|
6
|
1,14
|
|
7
|
40
|
|
7
|
0,766
|
|
7
|
287,29
|
|
7
|
1,13
|
|
8
|
45
|
|
8
|
0,707
|
|
8
|
286,61
|
|
8
|
1,12
|
|
9
|
50
|
|
9
|
0,643
|
|
9
|
287,05
|
|
9
|
1,13
|
|
10
|
55
|
|
10
|
0,574
|
|
10
|
288,41
|
|
10
|
1,14
|
|
11
|
60
|
|
11
|
0,5
|
|
11
|
290,44
|
|
11
|
1,15
|
|
12
|
65
|
|
12
|
0,423
|
|
12
|
293,36
|
|
12
|
1,17
|
|
13
|
|
13
|
0,342
|
|
13
|
297,16
|
|
13
|
1,2
|
|
14
|
75
|
|
14
|
0,259
|
|
14
|
301,54
|
|
14
|
1,23
|
|
15
|
80
|
|
15
|
0,174
|
|
15
|
306,6
|
|
15
|
1,27
|
|
16
|
85
|
|
16
|
0,087
|
|
16
|
312,1
|
|
16
|
1,31
|
Строим графики зависимостей 
(рисунок 5) и 
(рисунок
6).
Рисунок 5. График зависимости 
Рисунок 6. График зависимости 
3.
Определение предельного времени отключения короткого замыкания в точке К1
Под динамической устойчивостью понимают
способность системы возвращаться после временного приложения больших возмущений
к такому установившемуся режиму, при котором значения параметров режима в её
узловых точках близки к нормальным значениям.
Расчеты динамической устойчивости имеют целью
определить предельное время отключения короткого замыкания, а также временные
уставки релейной защиты. Кроме того, определяется предельная передаваемая
мощность по линии согласно условиям динамической устойчивости.
Для расчета динамической устойчивости необходимо
определить три режима: нормальный, аварийный и послеаварийный.
3.1
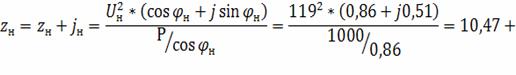
Нормальный режим
Схема замещения представлена на рисунке 7.
Суммарное сопротивление системы от генератора Г1
до шин нагрузки:
Синхронная ЭДС:
Угол сдвига фаз между ЭДС и напряжением:
Предел передаваемой мощности в нормальном
режиме:
3.2
Аварийный режим
3.2.1
Трехфазное короткое замыкание
Схема замещения представлена на рисунке 8:
В точке К1 включено шунтирующее сопротивление КЗ

, состоящее из
суммарных сопротивлений 
и 
обратной и нулевой
последовательностей.
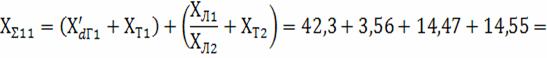
Суммарное сопротивление системы:
Так как трехфазное КЗ является симметричным, то
обратная и нулевая последовательности отсутствуют. Поэтому формула примет вид:
Сопротивления 
и 
находим по
аналогичным выражениям преобразования звезды в треугольник, но они не влияют на
значение мощности генератора в аварийном режиме и поэтому мы их не учитываем.
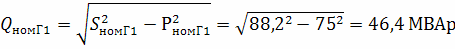
Предельная мощность аварийного режима:
3.2.2
Двухфазное короткое замыкание на землю
При двухфазном коротком замыкании на землю
необходимо составить и рассчитать схемы прямой, обратной и нулевой
последовательности.
В точке К1 включено шунтирующее сопротивление КЗ

, состоящее из
суммарных сопротивлений 
и 
обратной и нулевой
последовательностей.
Суммарное сопротивление системы:
Прямая последовательность рассчитывается также
как и при трехфазном коротком замыкании:
Рассчитываем схему замещения обратной
последовательности:
Схема замещения представлена на рисунке 9:
Рисунок 9
Рассчитываем схему замещения нулевой
последовательности:
Схема замещения нулевой последовательности
Рисунок 10
Определяем шунтирующее сопротивление:
Предельная мощность аварийного режима:
3.3
Послеаварийный режим
В послеаварийном режиме происходит отключение
одной линии.
Схема замещения послеаварийного режима показана
на рисунке 11
Рисунок 11
Суммарное сопротивление всей системы:
Предельная мощность послеаварийного режима:
3.4
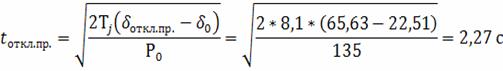
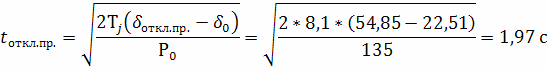
Определение предельного времени отключения КЗ
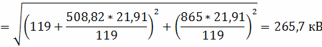
Находим предельный угол отключения трехфазного
КЗ:
Предельное время отключения при трехфазном КЗ:
Находим предельный угол отключения двухфазного
КЗ на землю:
Предельный угол отключения при двухфазном КЗ на
землю:
4.
Анализ статической устойчивости по критерию Гурвица
Для решения данной задачи составляем схему
замещения:
Определяем фиктивную ЭДС генератора приведенную
к напряжению 119 кВ:
Определим угол поворота ротора генератора
относительно синхронно вращающейся оси. Принимаем начальную фазу напряжения
высокой стороны трансформатора Т1 
Тогда
Из ранее проведенных расчетов 
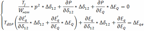
Чтобы провести анализ статической устойчивости
генератора, работающего на шины неизменного напряжения, требуется линеаризация
уравнения электромеханических и электромагнитных переходных процессов в нем.
При выборе в качестве независимых переменных угла поворота ротора 
и ЭДС 
эти уравнения
имеют следующий вид:
Поскольку заданными параметрами регулирования
возбуждения задано отклонение напряжения (
),
то приращение вынужденной ЭДС с учетом принятого закона регулирования имеет
вид:
,
Передаточная функция по каналу отклонения
напряжения
Тогда
В этом случае характеристический определитель
имеет вид:
=0
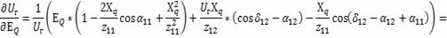
Определяем значение частных производных

Подставив все числовые значения, получим
следующий характеристический определитель:
Раскрывая характеристический определитель по
степеням р, получаем характеристическое уравнение 2-ой степени:
Где
Подставляем в полученное уравнение 
:
Чтобы найти значения определителей 
и 
для любого
заданного значения 
, составляем
систему из двух уравнений:
При 
для 
Получим
Для 
Получим 
Составляем систему 2-х линейных алгебраических
уравнений с 2-мя комплексными неизвестными величинами:
Решением системы будет:
После проведенных преобразований уравнение
примет вид:
Составляем систему из 2-х линейных уравнений с
действительными коэффициентами:
Из полученной системы определяем 
Подставляем в характеристическое уравнение
найденное значение коэффициента 
. Тогда характеристическое
уравнение примет вид:
Определяем устойчивость системы по критерию
Гурвица, составляем таблицу Гурвица:
Проверяем знаки всех определителей Гурвица:
Из проведенных расчетов можно сделать вывод:
Так как все определителя Гурвица положительны,
то система устойчива.
Список
используемой литературы
1. Окуловская Т.Я. Устойчивость
электрических систем. Екатеринбург, 2001. 60с.
. Переходные процессы электрических
систем в примерах и иллюстрациях. /Под ред. В. А. Строева. М: Знак, 1996. 223с.
. Жданов П. С. Вопросы устойчивости
электрических систем М: Энергия, 1979.455с.
. Куликов Ю.А. Переходные процессы в
электрических системах М. Мир, 2003. 283 с.