Расчет гидрологических характеристик речного стока
1. Определение нормы среднегодового
модуля стока реки с коротким рядом наблюдений
1.1 Графический способ
В гидрологическом расчете воспользуемся данными
реки-аналога. Обозначим индексом «у» расчетные величины опорной реки, индексом
«х» реки-аналога. Определим норму модуля стока Муn
опорной реки с использованием значения Мxn
реки-аналога; по величине Муn
по
формулам связи другие параметры стока.
|
№пп
|
Год
наблюдения
|
Среднегодовые
модули речного стока, л/с∙км²
|
Отклонение
точки от прямой
|
Примечание
|
|
|
|
реки-аналога
Мx
|
базовой
реки My
|
|
|
|
1
|
1940
|
2,24
|
2,41
|
22,8
|
Аналог:
река Самара Пункт с. Елшанка норма годового стока Мxn=2,3 л/с∙км² коэффициент
вариации Сvx=0,56
|
|
2
|
1941
|
3,34
|
2,68
|
-3
|
|
|
3
|
1942
|
4,18
|
3,43
|
0
|
|
|
4
|
1943
|
5,82
|
4,78
|
-0,86
|
|
|
5
|
1944
|
5,66
|
4,82
|
5,83
|
|
|
6
|
1945
|
3,79
|
2,88
|
-7,14
|
|
|
7
|
1946
|
4,02
|
3,32
|
0
|
|
|
8
|
1947
|
3,8
|
3,34
|
8,54
|
|
|
9
|
1948
|
2,56
|
1,24
|
-66
|
|
|
10
|
1949
|
3,05
|
2,46
|
-1,64
|
|
|
11
|
1950
|
2,59
|
1,97
|
-10,64
|
|
|
12
|
1951
|
2,89
|
3,9
|
41,18
|
|
|
Сумма
|
n=12
|
43,94
|
37,23
|
-10,93
|
|
|
|
|
Мxo=3.66
Мxn=2.3
|
Myo=3.1
Myn=1.9
|
0,91%<3%
|
|
Линейное уравнение прямой имеет вид:
где b
- ордината отклонений прямой линии от нулевой точки графика. В нашем случае b=0.
a=tgα
- угловой коэффициент.
а=0,83;
Аналитическая норма стока опорной реки:
Муn=0.83∙2.3
л/с∙км2;
Муn=1.91
л/с∙км2.
1.2 Расчет гидрологических
характеристик речного стока
По формулам связи последовательно вычисляем для
базовой реки:
Норма расхода воды
Qyn=Myn∙A/103=1.9∙232/103=0.441м3/с;
Норма объема стока
Wyn=Qyn∙T=0.441∙31.5∙106=13.89
млн∙м3/год;
Норма слоя стока
hyn=31.5∙Myn=59.85
мм/год.
Основные расчетные величины:
Муn=1.9
л/с∙км2(по графику);
Муn=1.91
л/с∙км2(по уравнению);
Qyn=0.441м3/с;
Wyn=13.89
млн∙м3/год;
hyn=59.85
мм/год.
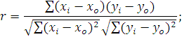
1.3 Метод корреляции
Корреляция - взаимосвязь или вероятностная
зависимость между явлениями. В функцинальной зависимости y=f(x)переменных
величин каждому значению аргумента x
соответствует лишь одно, вполне определенное значение функции у. В
корреляционной зависимости каждому значению независимой переменной х
соответствует множество другой величины у(функции). Такая взаимосвязь
описывается кривой распределения.
Обозначим модуль стока опорной реки Мyi=yi,
а реки-аналога - Мxi=xi.
В основу метода корреляции положен вывод
уравнения регрессии вида:
где Ry/x-коэффициент
регрессии по расчетному ряду yi
для
опорной реки по отношению к статистическому ряду xi
реки-аналога:
xo
yo - средняя
арифметическая величина рассматриваемого ряда наблюдений соответственно опорной
реки и реки-аналога:
σy,
σx
- среднеквадратичное отклонение расчетного ряда и реки-анаога:
n - число членов
ряда(лет наблюдений);
r - коэффициент
корреляции:
Определяем среднеарифметические значения модулей
стока реи аналога хо и опорной реки уо с коротким рядом
наблюдений:
|
№пп
|
Год
наблюдения
|
Расчетные
величины
|
Расчетные
величины
|
|
|
Xi
|
Yi
|
Xi-Xo
|
Yi-Yo
|
(Xi-Xo)²
|
(Yi-Yo)²
|
(Xi-Xo)(Yi-Yo)
|
|
1
|
1940
|
2,24
|
2,41
|
-1,42
|
-0,69
|
2,0164
|
0,4761
|
0,9798
|
|
2
|
1941
|
3,34
|
2,68
|
-0,32
|
-0,42
|
0,1024
|
0,1764
|
0,1344
|
|
3
|
1942
|
4,18
|
3,43
|
0,52
|
0,33
|
0,2704
|
0,1089
|
0,1716
|
|
4
|
1943
|
5,82
|
4,78
|
2,16
|
1,68
|
4,6656
|
2,8224
|
3,6288
|
|
5
|
1944
|
5,66
|
4,82
|
2
|
1,72
|
4
|
2,9584
|
3,44
|
|
6
|
1945
|
3,79
|
2,88
|
0,13
|
-0,22
|
0,0169
|
0,0484
|
-0,0286
|
|
7
|
1946
|
4,02
|
3,32
|
0,36
|
0,22
|
0,1296
|
0,0484
|
0,0792
|
|
8
|
1947
|
3,8
|
3,34
|
0,14
|
0,24
|
0,0196
|
0,0576
|
0,0336
|
|
9
|
1948
|
2,56
|
1,24
|
-1,1
|
-1,86
|
1,21
|
3,4596
|
2,046
|
|
10
|
1949
|
3,05
|
2,46
|
-0,61
|
-0,64
|
0,3721
|
0,4096
|
0,3904
|
|
11
|
1950
|
2,59
|
1,97
|
-1,07
|
-1,13
|
1,1449
|
1,2769
|
1,2091
|
|
12
|
1951
|
2,89
|
3,9
|
-0,77
|
0,8
|
0,5929
|
0,64
|
-0,616
|
|
Cумма
|
12
|
43,94
|
37,23
|
0,02
|
0,03
|
14,5408
|
12,4827
|
11,4683
|
r=0.85>0.8 -
прямолинейная корреляционная связь между переменными xi
и yi
удовлетворительная.
Вычисляем средние квадратичные
отклонения(ошибку) коэффициента корреляции рядов xi
и yi:
Определяем коэффициент регрессии Ry/x,
представляющий собою угловой коэффициент наклона прямой регрессии к оси
абсцисс:
Составляем уравнение прямой регрессии у по х, с
помощью которого можно рассчитать сток опорной реки yi
(Myi)
с коротким рядом наблюдений:
Линейные уравнения (1) и (2) близко совпадают.
Выполним оценку достоверности рассчитанного
коэффициента r корреляции,
который равен отношению коэффициента корреляции r
к средней квадратичной ошибке:
Kd=10,07>3
- вычисленный коэффициент корреляции достоверный.
По уравнению (2) для нормы модуля стока Мxn=2.3
л/с∙км2 реки-аналога определяем Муn
опорной реки и другие расчетные гидрологические параметры:
Проверка:
2. Определение гидрологических
параметров речного стока по теоретически заданной кривой обеспеченности
Кривой обеспеченности в гидрологии называют
интегральную кривую распределения вероятностной частоты(nx)
повторяемости величин какой-либо характеристики речного стока.
2.1 Аналитический метод Фостера
Метод Фостера заключается в подборе теоретической
кривой обеспеченности зависимости кр=f(р%,
Cv,Cs)
для фактических значений модуля Му,i
стока
короткого ряда наблюдений опорной реки.
yo=3.1
л/с·км2;
Теоретическую кривую обеспеченности методом
Фостера удобно строить в безразмерном виде, используя вместо модуля ΣМyi=Mi
стока модульный коэффициент кi:
Где ki
-
модульный коэффициент i-го
члена ряда.
Σ ki=n,
где n - число членов
ряда
Ko=Σ
ki/n≈1;
Σ(ki-1)≈0.
Определяем для каждого члена ряда фактический
процент обеспеченности по формуле Н. Чагодаева:
где m
- номер члена ряда, расположенного в убывающем порядке,
n - общее число
членов ряда.
|
№пп
|
My=My.i
|
Ki
|
Ki-1
|
(Ki-1)²
|
Pфакт.%
|
|
1
|
4,82
|
1,55
|
0,55
|
0,3078
|
5,60
|
|
2
|
4,78
|
1,54
|
0,54
|
0,2937
|
13,70
|
|
3
|
3,9
|
1,26
|
0,26
|
0,0666
|
21,80
|
|
4
|
3,43
|
1,11
|
0,11
|
0,0113
|
29,90
|
|
5
|
3,34
|
1,08
|
0,08
|
0,0060
|
37,90
|
|
6
|
3,32
|
1,07
|
0,07
|
0,0050
|
46,00
|
|
7
|
2,88
|
0,93
|
-0,07
|
0,0050
|
54,10
|
|
8
|
2,68
|
0,86
|
-0,14
|
0,0184
|
|
9
|
2,46
|
0,79
|
-0,21
|
0,0426
|
70,20
|
|
10
|
2,41
|
0,78
|
-0,22
|
0,0495
|
78,20
|
|
11
|
1,97
|
0,64
|
-0,36
|
0,1329
|
87,00
|
|
12
|
1,24
|
0,40
|
-0,60
|
0,3600
|
94,40
|
|
Сумма
|
37,23
|
12,01
|
0,01
|
1,2989
|
|
Вычисляем коэффициент вариации по формуле:
И коэффициент асимметрии:
Определяем ординаты теоретической кривой
обеспеченности по формуле:
C использованием
таблицы Фостера-Рыбкина.
|
Pтеор
|
Фр
|
ФрСv
|
Kp
|
|
0,1
|
4,10
|
1,39
|
2,39
|
|
1
|
2,82
|
0,96
|
1,96
|
|
3
|
2,15
|
0,73
|
1,73
|
|
5
|
1,82
|
0,62
|
1,62
|
|
10
|
1,33
|
0,45
|
1,45
|
|
20
|
0,79
|
0,27
|
1,27
|
|
25
|
0,59
|
0,20
|
1,20
|
|
30
|
0,43
|
0,15
|
1,15
|
|
40
|
0,14
|
0,05
|
1,05
|
|
50
|
-0,12
|
-0,04
|
0,96
|
|
60
|
-0,36
|
-0,12
|
0,88
|
|
70
|
-0,60
|
-0,20
|
0,80
|
|
75
|
-0,72
|
-0,24
|
0,76
|
|
80
|
-0,85
|
-0,29
|
0,71
|
|
90
|
-1,18
|
-0,40
|
0,60
|
|
95
|
-1,42
|
-0,48
|
0,52
|
|
97
|
-1,57
|
-0,53
|
0,47
|
|
99
|
-1,81
|
-0,62
|
0,38
|
|
99,9
|
-2,14
|
-0,73
|
0,27
|
Кривая обеспеченности занимает среднее положение
по отношению к фактическим точкам, поэтому кривая обеспеченности построена
правильно и корректировка величины
Определяем по заданной обеспеченности (р=60%)
гидрологические расчетные параметры речного стока Мр=60%, Qp=60%,
Wp=60%,
hp=60%
для кр=60%=0,89:
2.2 Графоаналитический метод Г.
Алексеева
Графоаналитическим способом Г. Алексеева можно
выполнить расчет нормы модуля и колебание среднегодового стока опорной реки
Сорока (пункт с. Марковка), используя данные реки-аналога Самара (пункт с.
Елшанка), затем построить кривую обеспеченности и ее очертание сравнить с ТКО,
построенной методом Фостера(кривые обеспеченности должны совпасть или быть
близкими по очертанию).
По заданию за аналог реки принята река Самара с
пунктом наблюдения в с. Елшанка:
площадь водосбора А=232км2,
норма модуля стока Мxn=2.3
л/с·км2,
коэффициент вариации Cvx=0.56.
|
№пп
|
Myi
|
Mxi
|
|
1
|
4,82
|
5,82
|
|
2
|
4,78
|
5,66
|
|
3
|
3,9
|
4,18
|
|
4
|
3,43
|
4,02
|
|
5
|
3,34
|
3,8
|
|
6
|
3,32
|
3,79
|
|
7
|
2,88
|
3,34
|
|
8
|
2,68
|
3,05
|
|
9
|
2,46
|
2,89
|
|
10
|
2,41
|
2,59
|
|
11
|
1,97
|
2,56
|
|
12
|
1,24
|
2,24
|
|
Сумма
|
37,23
|
43,94
|
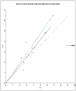
По точкам Мxi, Mуi
строим граыик прямой связи равнообеспеченных модулей опорной реки Муи
реки-аналога Мx: на графическом поле проводим осредненную прямую
линию.
Для ряда реки-аналога определяем опорные
значения модулей стока Мхр=кхр·Мхn
10,50
и 90 - процентной обеспеченности:
По графику прямой связи определяем, что:
Определяем коэффициент скошенности по формуле Г.
Алексеева:
По величине коэффициента скошенности S=0.08
по таблице Г. Алексеева находим:
Определяем среднеквадратичное отклонение
расчетного ряда от его среднего значения:
Норма модуля стока расчетного ряда:
Коэффициент вариации:
По величине Сvy
определяем ординаты кр теоретической кривой обеспеченности,
используя таблицу Фостера-Рыбкина.
|
Ртеор.%
|
Кр
|
|
0,1
|
3,04
|
|
1
|
2,37
|
|
3
|
2,02
|
|
5
|
1,86
|
|
10
|
1,62
|
|
20
|
1,35
|
|
25
|
1,26
|
|
30
|
1,18
|
|
40
|
1,05
|
|
50
|
0,93
|
|
60
|
0,82
|
|
70
|
0,72
|
|
75
|
0,66
|
|
80
|
0,61
|
|
85
|
0,55
|
|
90
|
0,47
|
|
95
|
0,38
|
|
97
|
0,33
|
|
99
|
0,24
|
|
99,9
|
0,14
|
Определяем среднегодовой модуль стока и
среднегодовой расход воды 60% обеспеченности:
Полученные величины сравниваем с расчетным
значениями в методе Фостера.
Выводы:
Теоретические и расчетные кривые обеспеченности,
рассчитанные по методу Фостера и Г. Алексеева почти совпадают.
Расчетные гидродогические параметры модуля
стока, расхода, объема и слоя стока близки по величине в обоих методах расчета.
3. Расчет нормы модуля речного стока
при отсутствии наблюдений
3.1 Метод изолиний
Река м.Уран, пункт с.Никольское,
площадь водосбора А=2230 км²;
центр тяжести ВС площади - широта - 52о35´,
долгота
- 53о42´;
слой осадков Хyn=494
мм/год;
заселенность - 3%.
Река - аналог Сорока, пункт с. Марковка с площадью
водосбора А=232км².
Определяем норму модуля стока Мyn,используя
изолинии региональной карты №1 Северного Заволжья:
Мyn=2,9л/с·км².
По формулам связи рассчитываются другие
параметры:
Норма секундного расхода воды
Норма объема стока
Норма слоя стока
Проверка:
3.2 Эмпирический метод
Величину нормы модуля стока Мyn опорной
реки можно определить по эмпирическим формулам, если известны в данном бассейне
реки величина слоя осадков 
и коэффициент стока α. Коэффициент
стока представляет собой отношение высоты слоя стока 
к слою осадков Хyn:
где
α - коэффициент среднегодового
стока реки, определяется по региональной карте №2 по координатам водосборной
площади; α=0,26
Хyn - норма
среднегодовых осадков, Хyn=494 мм/год.
Высота слоя стока
Норма модуля стока
Норма объема стока
Норма секундного расхода воды
Сравнение расчетных параметров
речного стока
|
величина
нормы модуля стока
|
Параметры
кривой обеспеченности
|
|
По
графику прямой связи
|
По
уравнению (1)
|
По
методу корреляции
|
По
Г.Алексееву
|
По
карте изолиний
|
По
Фостеру
|
По
Г.Алексееву
|
|
|
|
|
|
Сvy
|
Сsy
|
Сvy
|
Сsy
|
|
2,7
|
1,91
|
2,109
|
2,458
|
4,08
|
0.34
|
0.68
|
0.47
|
0.3
|
4. Расчет нормы мутности воды и
нормы твердого стока взвешенных наносов
4.1 Определение нормы мутности воды
по карте и нормы твердого стока
Данным расчетом определяют среднегодовой расход
взвешенных насосов и сроки заиления Т, водохранилища, для чего необходимо знать
норму твердого стока Ryn
(кг/с) опорной реки можно определить графическим способом, построив кривую
зависимости Ri=f(Qi)
по фактическим данным или с использованием карты №10 Северного Заволжья.
Норма твердого стока взвешенных насосов, кг/с:
Где 
= норма мутности воды, г/м3;

= норма расхода воды, м3/с.
Принимаем способ расчета Ryn по карте
Северного Заволжья. По карте №10 
=г/м3, тогда
По величине нормы твердого расхода
можно определить среднегодовой твердый сток опорной реки
Удельный вес насосов в воде γn≈ тс/м3,
их среднегодовой объем составит
4.2 Расчет параметров водохранилища
и времени его заиления
Число лет заиления водохранилища
Где 
- мертвый объем водохранилища,
предназначенный для аккумуляции (накопления) насосов.
Известно, что полный объем воды
водохранилища делят на полезный, используемый в хозяйственных целях, и мертвый
объем. Полезный объем воды находится между отметками ↓НПУ (нормальный
подпорный уровень) и ↓УМО (уровень мертвого объема); мертвый объем воды
ограничен отметками ↓УМО и ложем реки. Чем выше ↓УМО, тем больше
мертвый объем 
в водохранилище. Полный объем воды
водохранилища зависит от среднегодового объема речного стока, вида его
регулирования (годовое, многолетнее) и высоты Н1 накопленной воды в
верхнем бьефе.
С другой стороны
По батиграфической характеристике
водохранилища при

=
5. Определение минимального стока
реки
|
№п/п
|
Qi
|
ki
|
ki-1
|
(ki-1)2
|
p%
|
|
1
|
0,100
|
1,613
|
0,613
|
0,376
|
5,60
|
|
2
|
0,092
|
1,484
|
0,484
|
0,234
|
13,70
|
|
3
|
0,089
|
1,435
|
0,435
|
0,190
|
21,80
|
|
4
|
0,088
|
1,419
|
0,419
|
0,176
|
29,90
|
|
5
|
0,070
|
1,129
|
0,129
|
0,017
|
37,90
|
|
6
|
0,061
|
0,984
|
-0,016
|
0,000
|
46,00
|
|
7
|
0,054
|
0,871
|
-0,129
|
0,017
|
54,10
|
|
8
|
0,054
|
0,871
|
-0,129
|
0,017
|
62,10
|
|
9
|
0,047
|
0,758
|
-0,242
|
0,059
|
70,20
|
|
10
|
0,040
|
0,645
|
-0,355
|
0,126
|
78,20
|
|
11
|
0,032
|
0,516
|
-0,484
|
0,234
|
87,00
|
|
12
|
0,022
|
0,355
|
-0,645
|
0,416
|
94,40
|
Коэффициент вариации
И коэффициент асимметрии:
Определяем ординаты теоретической кривой
обеспеченности по формуле:
C использованием
таблицы Фостера-Рыбкина.
|
Pтеор
|
Фр
|
ФрСv
|
Kp
|
|
0,1
|
4,24
|
1,74
|
2,74
|
|
1
|
2,89
|
1,18
|
2,18
|
|
3
|
2,18
|
0,89
|
1,89
|
|
5
|
1,84
|
0,75
|
1,75
|
|
10
|
1,34
|
0,55
|
1,55
|
|
20
|
0,78
|
0,32
|
1,32
|
|
25
|
0,58
|
0,24
|
1,24
|
|
30
|
0,41
|
0,17
|
1,17
|
|
40
|
0,12
|
0,05
|
1,05
|
|
50
|
-0,13
|
-0,05
|
0,95
|
|
60
|
-0,37
|
-0,15
|
0,85
|
|
70
|
-0,60
|
-0,25
|
0,75
|
|
75
|
-0,73
|
-0,30
|
0,70
|
|
80
|
-0,86
|
-0,35
|
0,65
|
|
90
|
-1,17
|
-0,48
|
0,52
|
|
95
|
-1,38
|
-0,57
|
0,43
|
|
97
|
-1,52
|
-0,62
|
0,38
|
|
99
|
-1,74
|
-0,71
|
0,29
|
|
99,9
|
-2,02
|
-0,83
|
0,17
|
При p=60%,
Для определения диаметра труб учитываем, что
Отсюда:
Понадобится одна труба диаметром 5 см.
6. Определение максимального
стока
река сток мутность водохранилище
|
№п/п
|
Qi
|
ki
|
ki-1
|
(ki-1)2
|
p%
|
|
1
|
143,000
|
2,088
|
1,088
|
1,184
|
5,60
|
|
2
|
136,000
|
1,986
|
0,986
|
0,972
|
13,70
|
|
3
|
115,000
|
1,679
|
0,679
|
0,461
|
21,80
|
|
4
|
79,900
|
1,167
|
0,167
|
0,028
|
29,90
|
|
5
|
72,300
|
1,056
|
0,056
|
0,003
|
37,90
|
|
6
|
59,900
|
0,875
|
-0,125
|
0,016
|
46,00
|
|
7
|
55,500
|
0,810
|
-0,190
|
0,036
|
54,10
|
|
8
|
54,300
|
0,793
|
-0,207
|
0,043
|
62,10
|
|
9
|
34,300
|
0,501
|
-0,499
|
0,249
|
70,20
|
|
10
|
30,000
|
0,438
|
-0,562
|
0,316
|
78,20
|
|
11
|
28,700
|
0,419
|
-0,581
|
0,337
|
87,00
|
|
12
|
12,900
|
0,188
|
-0,812
|
0,659
|
94,40
|
Коэффициент вариации
И коэффициент асимметрии:
Определяем ординаты теоретической кривой
обеспеченности по формуле:
C использованием
таблицы Фостера-Рыбкина.
|
Pтеор
|
Фр
|
ФрСv
|
Kp
|
|
0,1
|
4,24
|
1,65
|
2,65
|
|
1
|
2,89
|
1,13
|
2,13
|
|
3
|
2,18
|
0,85
|
1,85
|
|
5
|
1,84
|
0,72
|
1,72
|
|
10
|
1,34
|
0,52
|
1,52
|
|
20
|
0,78
|
0,30
|
1,30
|
|
25
|
0,58
|
0,23
|
1,23
|
|
30
|
0,41
|
0,16
|
1,16
|
|
40
|
0,12
|
0,05
|
1,05
|
|
50
|
-0,13
|
-0,05
|
0,95
|
|
60
|
-0,37
|
-0,14
|
0,86
|
|
70
|
-0,60
|
-0,23
|
0,77
|
|
75
|
-0,73
|
-0,28
|
0,72
|
|
80
|
-0,86
|
-0,34
|
0,66
|
|
90
|
-1,17
|
-0,46
|
0,54
|
|
95
|
-1,38
|
-0,54
|
|
97
|
-1,52
|
-0,59
|
0,41
|
|
99
|
-1,74
|
-0,68
|
0,32
|
|
99,9
|
-2,02
|
-0,79
|
0,21
|
Теоретическая кривая обеспеченности максимальных
расходов
Для р=0,1%
Для определения диаметра труб учитываем, что
Отсюда:
Понадобится одна труба диаметром 17 см.