Расчет коническо-цилиндрического редуктора

  • Вид работы:
    Дипломная (ВКР)
  • Предмет:
    Другое
  • Язык:
    Русский
    ,
    Формат файла:
    MS Word
    607,03 kb
  • Опубликовано:
    2011-06-09
Вы можете узнать стоимость помощи в написании студенческой работы.
Помощь в написании работы, которую точно примут!

Расчет коническо-цилиндрического редуктора

Таганрогский технологический институт южного федерального университета

Естественно научный гуманитарный факультет

Кафедра механики








Пояснительная записка

к курсовому проекту по курсу детали машин и основы конструирования

Выполнил: ст. гр. Н-28

Кузнецов А.Ю.

Проверил:

Дроздов Ю.А.





Таганрог 2011

Содержание:

Техническое задание

Введение

Основная часть

Заключение

Список источников

Техническое задание

Рассчитать редуктор по схеме (рис.1) со следующими данными:

–       мощность N=20 кВт;

–       угловая скорость вращения: ω=2,82 сˉ¹.

. Электродвигатель

. Плоскоременная передача

. Муфта

. Коническо-цилиндрический редуктор

. Рама

Рис.1. Схема редуктора

Введение


Детали машин - научная дисциплина, включающая теорию, расчет и конструктивные расчеты общего назначения. В ней изучаются кинематические расчеты, основы расчета на прочность и жесткость, методы конструирования. Системы управления в условиях больших скоростей и высот полета самолета поставили конструктора перед задачей по обеспечению их надежной работы. Основными критериями качества механизма и машин является надежность - комплексное свойство, которое может включать безотказность, долговечность, сохраняемость.

Установлено, что при современном уровне техники 85% машин выходят из строя в результате изнашивания - процесс постепенного изменения размеров детали в результате трения, и только 10-15% по другим причинам. Обеспечение износостойкости изделий регламентировано системой ГОСТов, в частности и определением относящиеся к трению, изнашиванию и смазке - ГОСТ 23002-78.

Системы управления авиационной техники выполняют сложные задачи, для правильного решения которых требуются необходимая мощность для применения органов управления статической и динамической устойчивости.

Весь комплекс систем Л.А. состоит из большого количества различных агрегатов и узлов, точное и правильное изготовление которых и определяет надежность и точность эксплуатации Л.А.

1 Выбор двигателя

Номинальная мощность двигателя .

Номинальная частота вращения

Определение передаточного числа привода и его ступеней


где U - передаточное число привода;

 - частота вращения рабочей машины. Определяем её по формуле


Отсюда

 - передаточное число зубчатой-цилиндрической передачи;

передаточное число конической-зубчатой передачи.

 - передаточное число цепной передачи.

Выбор материала зубчатых передач и определение допустимых напряжений

Зубчатое колесо сталь 40ХН

Твердость           сердцевины - 269-302  

поверхности - 269-302

Выбираем предельные значения размеров заготовки шестерни и колеса:

заготовка шестерни

заготовка колеса

Расчеты цилиндрических зубчатых передач редуктора

Коэффициент межосевого расстояния - =49.5

Коэффициент ширины - =0,315

Коэффициент ширины - =0,5+1)= 0,7875

Коэффициент конструкции =1+2 2,0

=1+2 1,394

Межосевое расстояние :

+1)



.2 Предварительные основные размеры колеса делительный диаметр


 - ширина венца колеса:


1.3 Модуль передачи

определяем модуль зацепления m:


 - вспомогательный коэффициент для косозубых передач

округляем полученное значение  до стандартного:

.4 Угол наклона и суммарное число зубьев

Min угол наклона зубьев

Cуммарное число зубьев:


Истинное значение угла

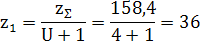
.5 Число зубьев шестерни


число зубьев колеса внешнего зацепления:

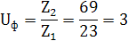
.6 Фактическое передаточное число:


отклонение Δ от заданного :

Δ.

Δ.

.7 Размеры колес:

делительный диаметр шестерни:


внутреннего зацепления:


диаметр окружности вершин и впадин зубьев  шестерни:


колесо внешнего зацепления:

1.8 Силы в зацеплении

 - окружная сила в зацеплении:


 - радиальная сила в зацеплении:


 - осевая сила в зацеплении:


.9 Проверка звеньев колес по напряжениям

Степень точности передач принимают в зависимости от окружной скорости колес

 - окружная скорость:


Коэффициент  вычисляют по формуле


Коэффициент ширины:


При твердости зубьев колеса НВ > 350 коэффициент:

Значение коэффициента  принимают для косозубых колес при твердости зубьев ≤ 350НВ - 1,2 Коэффициент формы зуба  принимают по таб.:

 

Расчетное напряжение изгиба в зубьях колеса:


Расчетное напряжение изгиба в зубьях шестерни:


.10 Проверка зубьев колес по контактным напряжениям

Расчетное контактное напряжение косозубых и шевронных колес

Расчеты конических зубчатых передач

.1 диаметр внешней делительной окружности колеса

 - коэффициент вида конических колес, для прямозубых колес.

 =1,0 - коэффициент, учитывающий распределение нагрузки по ширине венца

S=2 - индекс схемы


.2 Углы делительных конусов, конусное расстояние и ширина колес

Углы делительных конусов колеса  и шестерни :


Определяем внешнее конусное расстояние :


Ширина колес: мм

.3 Модуль передачи


 - для прямозубых колес

внешний окружной модуль передачи :


.4 Число зубьев колеса  и шестерни


.5 Фактическое передаточное число


отклонение Δ от заданного :

Δ,

Δ.

.6 Окончательные размеры колес

углы делительных конусов шестерни  и колеса


делительные диаметры колес для прямозубых:

шестерни:

колеса:

коэффициенты смещения:

внешние диаметры колес для прямозубых:

шестерни:

 

колеса:

 

.7 Пригодность заготовок колес

для конической шестерни и колеса вычисляют размеры заготовок


.8 Силы в зацеплении

окружная сила на среднем диаметре колеса


осевая сила на шестерне прямозубой


радиальная сила на шестерне


осевая сила на колесе


радиальная сила на колесе


и  определяем для  


.9 Проверка зубьев колес по направлениям изгиба

 и  коэффициенты формы зуба шестерни и колеса

авиационный техника редуктор колесо


напряжение изгиба в зубьях колеса


напряжение изгиба в зубьях шестерни


.10 Проверка зубьев колес по контактным напряжениям



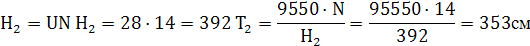
3. Расчет цепной передачи

.1 определить шаг цепи

 

число зубьев ведущей звездочки -


допускаемое давление в шарнирах цепи

число рядов цепи  для однородных цепей

.2 Определить число зубьев ведомой звездочки


.3 Определить фактическое передаточное число  и отклонение Δ


отклонение Δ от заданного :

Δ

.4 Определяем оптимальное межосевое расстояние


межосевое расстояние в шагах


.5 Определяем число звеньев цепи


.6 Уточнить межосевое расстояния  в шагах


.7 Определяем фактическое межосевое расстояние

мм

3.8 Определяем длину цепи


.9 Определяем диаметры звездочек

диаметр делительной окружности

ведущей звездочки =178мм

ведомой звездочки =500мм

диаметр окружности выступов

ведущей звездочки

ведомой звездочки

диаметр окружности впадин

ведущей звездочки

ведомой звездочки

.10 Определяем фактическую скорость цепи



3.11 Определяем окружную силу


.12 Проверить давление в шарнирах цепи


3.13 Проверить прочность цепи



4. Разработка чертежа общего вида редуктора

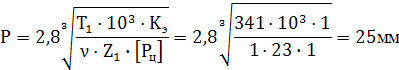
.1 Определение размеров ступеней валов редуктора, мм

Ступень вала и ее размеры d; ℓ

Вал-шестерня коническая

Вал-шестерня цилиндрическая

Вал колеса

1-ая под элемент открытой передачи

  крутящий момент  допускаемое напряжение на кручение


 под шкив

2-ая под уплотнение крышки с отверстием и подшипник

   высота буртика


3-я под шестерню, колеса

 

 

 

4-ая под подшипник



 для шариковых радиальных подшипников (однорядных)

5-ая упорная или под резьбу

 


 f=2





.2 Предварительный выбор подшипников

Передача

Вал

Серия

Угол контакта

Схема установки

Цилиндрическая прямозубая

Б

Радиальные шариковые однорядные

Легкая

-

с одной фиксирующей опорой


Т





Коническая прямозубая

Б

Радиальные шариковые однорядные

Легкая

с одной фиксирующей опорой


Т







Заключение

В ходе курсовой работы был рассчитан и спроектирован коническо-цилиндрический редуктор. По окончании проекта были получены навыки расчета конической и цилиндрической передач, расчет диаметров шестерни, валов, подбор подшипников, выбор манжет. Данная дисциплина дает необходимые знания и навыки конструктору по расчету и проектированию редуктора.

Список источников

1. Курсовое проектирование деталей машин, А.Е. Шейнблит, 2002г.

2. Детали машин. Атлас конструкций. Под ред. Решетова Д.Н. М.: Машиностроение, 1992г.

. Дунаев П.Ф., Леликов О.П. Детали машин. Курсовое проектирование. М.: Высшая школа, 2003.


Не нашли материал для своей работы?
Поможем написать уникальную работу
Без плагиата!
Без нейросетей!