|
|
(7)
|
где
-
плотность кантилевера,
- модуль Юнга. Как
видно из (7),
обратно
пропорциональна квадрату длины балки.
В данной работе для исследования собственных колебаний
микрообъектов использованы прямоугольные кантилеверы с зондом (иглой). Однако,
собственная частота, вычисленная с помощью формулы (7), плохо согласуется с
экспериментальными данными, так как масса зонда при расчете не учитывается.
Кроме того, описанная выше модель не позволяет вычислить величину массы,
прикрепленной на конце кантилевера. Поэтому в настоящей работе использована
более сложная модель колебаний кантилевера [7].
Для определения частоты свободных колебаний
необходимо знать толщину t, длину l, ширину w (рисунок 2).
Рассмотрим следующее однородное незатухающие уравнение:
(9)
где E-
модуль Юнга, I - момент инерции кантилевера, y
- поперечное смещение, ρ - плотность,
A - площадь поперечного сечения. Данное уравнение можно свести к
следующему:
(10)
где частотный параметр
Общее решение уравнения движения для
кантилевера:
(12)
Наложим следующие граничные условия для
определения коэффициентов. При x=0прогиб и наклон кантилевераравны нулю:
(13)
Граничные условия при x=l
требуют, чтобы момент M равнялся нулю, и динамический сдвиг V равнялся 
.
(14)
(16)15)
(17)
где η=βl
и γ
=m/ρAlбезразмерные
отношения прикрепленной массы к массе кантилевера.
Чтобы иметь
нетривиальное решение для коэффициентов, потребуем, чтобы
(18)
в то время, как моды колебаний имеют
вид:
(18a)
(18б)
Рисунок 3. Зависимость βl
от безразмерного отношения масс y.
Коэффициент C1
выбираем таким образом, чтобы γ(l)=1.При
произвольных значенияхотношения масс есть несколько собственных частот, при которых
трансцендентное уравнениеимеет решения. Уравнение (18) позволяет численно
определить βlдля
данного безразмерного отношения масс γ. Может быть
получено приближенное решение из (10а) для частоты[6]:

, (19)
На рисунке 3показана зависимость
величиныβlот
безразмерного отношения масс γ, определенная
экспериментально[7]. Для определенных значений массы величина βlбыла
рассчитана с использованием уравнения(19). В приделе γ =0 величина
βlравна1,875.
Выражение
(19) позволяет рассчитать значение массы осциллятора по определенной
экспериментально частоте собственных колебаний.
.2 Расчет собственной частоты колебаний
микрообъектов с прилепленной массой
Существует
множество физико-математических моделей, позволяющих рассчитать частоту
собственных (резонансных) колебаний микрообъектов. В данной работе исследуются
колебания вытянутых прямоугольных пластин - кантилеверов, другие более сложные
колебательные системы не исследовались. Далее будет рассмотрен расчет частоты
собственных колебаний для кантилеверов с простой геометрической формой.
Расчет
параметров кантилеверов производился в программной среде MATCAD
с использованием теоретической модели, описанной в разделе1.1. С помощью
формулы(19) для первой моды собственных колебанийчисленно рассчитывалась
частота колебаний, значение упругости, величина прикрепленной массы. Приведем
пример расчета частоты колебаний для кантилевера С8 до напыления металлической
пленки.
Входными
параметрами будут:
толщина
кантилевера
длина -
ширина -
плотность -
коэффициент упругости -
высота зонда -
радиус основания зонда -
В началерассчитаем массу зонда:
Безразмерное отношение масс:
Модуль Юнга:

Па
Значение 
находим по графику на рисунке3:
Затем подставляем все найденные
величины в выражение (19) и получаем значение частоты первой моды собственных
колебаний кантилевера:
Как видно из выражения 19, 
будет тем больше, чем больше
коэффициент упругости и сечение кантилевера, либо чем меньше будет длинакантилевера.
В общем случае значение коэффициента
упругости для кантилевера неизвестно. Для его нахождения определяется
экспериментально значение частоты собственных колебаний, и численно решается
уравнение (19).
Определение значения дополнительной
массы так же заключается в численном решении уравнения(19). При этом необходимо
учесть зависимость величины 
от безразмерного отношения масс.
На практике, для расчета
присоединенной к кантилеверу, массы необходимо сделать следующее:
1) Определить геометрические параметры
кантилевера.
) Экспериментально измерить частоту
собственных колебаний кантилевера без прикрепленной массы.
) Вычислить, пользуясь выражением (19),
значение коэффициента упругости.
) Экспериментально измерить частоту
собственных колебаний кантилевера с прикрепленной массой.
5) Используя измеренную частоту
собственных колебаний и выражение(19), вычислить величину присоединенной массы.
При этом учитывается зависимость величины 
от безразмерного отношения масс.
2. Системы
регистрации колебаний микрообъектов
Рассмотрим системы регистрации колебаний
кантилеверов. Большинство систем регистрации колебаний основаны на оптических
методах, некоторые используют электрические методы.
Наиболее распространенна система, в которой
измеряется изменение положения отраженного от кантилевералазерного пучка на
четырехсекционоом фотоприемнике (рисунок 4). Такие системы являются наиболее
простым и точным инструментом, однако не подходят для исследования
микрообъектов, размеры которых меньше лазерного пучка в месте фокусировки, не
подходит для исследования кантилеверов размерами менее 10 мкм.
Рисунок 4. Система регистрации смещений
кантилевера на основе четырехсекционного фотодиода.
В следующем методе регистрации колебаний
измеряется изменение положения отраженного от объекта пучка на быстрой ПЗС
матрице. ПЗС матрица установлена на механический линейный транслятор (рисунок
5а) для возможности регистрации колебаний с высокой частотой. В момент
возбуждения колебаний ПЗСматрица быстро сдвигается [7] так, что на одном кадре
фиксируется кривая, соответствующая смещениям кантилевера от начала колебаний
до момента их затухания (рисунок 5б). Несмотря на высокую чувствительность
данного метода, у него есть существенный недостаток - измерения нельзя
проводить в непрерывном режиме.
а) б)
Рисунок 5. а) схема системы регистрации
сверхмалых колебаний. б)снимок, сделанный ПЗС камерой, на котором
зарегистрированы колебания микрокантилеверов.
В качестве кантилевера возможно использование
нано-трубки диаметром менее 5 нм (рисунок 6). В процессе упругих деформаций
углеродная нано-трубка излучает электромагнитные волны в диапазоне 356 МГц,
которые регистрируются специальным приемным модулем. Вся система регистрации
колебаний сложна, требует специальных методов защиты от внешнего
электромагнитного излучения: экранирование, охлаждение до сверхнизких
температур. Все это затрудняетее практическое использование.
Рисунок 6. Снимок углеродной нано-трубки,
использованной в качестве кантилевера.
Интерферометрические системы позволяют измерять
продольные смещения объектов амплитудой менее 1 нм (рисунок 7). Исследуемые
образцы могут иметь размеры единиц микрометров[3]. Но при этом отношение
сигнал-шум с уменьшением размеров кантилевера падает из-за дифракции и
рассеяния света. Кроме того, существует ограничение на предельную плотность
мощности лазерного пучка, направляемого на исследуемый объект. Использование
мощных источников излучения может повредить исследуемые образцы.

Высокая чувствительность интерферометров делает
их в значительной мере подверженными внешним механическим вибрационным шумам,
дрейфу температуры. Все это приводит к смещению рабочей точки интерферометра и
искажению принимаемого сигнала.В этой связи становится очевидным, что
реализация системы регистрации колебаний микрообъектов на основе адаптивного
интерферометра является наиболее оптимальным решением.
3.
Теоретические основы адаптивной интерферометрии
.1
Принцип
действия адаптивного интерферометра
Отличие адаптивного интерферометра от
классического заключается в том, что в первом вместо обычного светоделительного
элемента (куба или полупрозрачного) используется среда, в которой постоянно
записывается динамическая голограмма [9].
Формирование голограммы происходит в
фоторефрактивном кристалле непосредственно при попадании на него оптического
излучения. Дополнительная обработка (проявление, фиксация и т.п.) не требуется.
Таким же образом при помощи света голограмма может быть стерта. Свет вызывает
внутри кристалла перераспределение зарядов, и в течение характерного времени
(времени записи) устанавливается динамическое равновесие между распределениями
интенсивности записывающего света и электрического заряда. Если параметры
световых волн, формирующих голограмму, изменяются быстро - за время меньше
времени записи, то голограмма не успевает следовать за ними. К «быстрым» здесь следует
отнести изменения, вызванные воздействием исследуемого объекта (или физической
величины). Для таких изменений голограмма будет «заморожена» (аналог
статической голограммы), что обеспечит преобразование на ней световых волн и
получение информации об объекте.
В противном случае, если параметры световых волн
меняются медленно (за время, превышающее характерное время записи), что, как
правило, характерно для большинства температурных влияний или, например,
медленного накопления механических напряжений в исследуемом объекте, то в
кристалле запишется новая голограмма, заменив старую. Как следствие, изменения
параметров световых волн, а, следовательно, и отрицательное влияние внешних
факторов на измерительную систему, будут компенсированы изменениями, произошедшими
в голограмме. В этом заключается общий принцип адаптивности измерительной
системы на основе применения динамических голограмм. Таким образом,
динамическая голограмма является своего рода фильтром низких частот(частота
отсечки которого обратно пропорциональна времени записи голограммы), что
позволяет компенсировать влияние на интерферометр любых медленно изменяющихся
внешних воздействий.
.2 Фоторефрактивный
эффект
В основе процесса записи динамической голограммы
в ФРК лежит фоторефрактивный эффект (ФРЭ),заключающийся в изменении
коэффициента преломления среды под действием света. ФРЭ впервые был обнаружен в
Лаборатории Бэлл в 1966 г., как нежелательное искажение оптического луча при
прохождении через нелинейные электрооптические кристаллы LiNbO3
и LiTaO3 [11].
Было установлено, что вызванные светом изменения показателя преломления
кристалла приводят к искажению фронта распространяющейся в нем световой волны
и, как следствие, ограничение использования этих материалов в системах
генерации второй гармоники или высокоскоростных модуляторах. Вскоре после
открытия фоторефрактивного эффекта было обнаружено, что фоторефрактивный
кристалл может быть возвращен в исходное состояние нагревом или равномерной
засветкой. Таким образом, фоторефрактивный кристалл может быть использован для
записи и стирания в реальном времени голограмм, которые теперь могут стать
динамическими. К настоящему времени фоторефрактивный эффект обнаружен в большом
количестве материалов: диэлектриках, полупроводниках, жидких кристаллах, органических
полимерах [12-15].
Для возникновения фоторефрактивного эффекта в
некотором материале последний должен обладать фотопроводящими свойствами и быть
электрооптическим. В простейшей модели фоторефрактивного эффекта
предполагается, что кристалл имеет носители заряда одного типа - электроны, и
примеси двух типов - доноры и акцепторы, энергетические уровни которых
располагаются в запрещенной зоне, как показано на рисунке 8. Предполагается,
что некоторые доноры и все акцепторы ионизированы. В отсутствии светового
излучения основным механизмом, пополняющим зону проводимости электронами,
является тепловое возбуждение. Динамическое равновесие между теплогенерацией
электронов и их обратной рекомбинацией определяет концентрацию свободных
электронов ne,
которая в большинстве случаев является однородной по объему кристалла величиной
или ее флуктуациями можно пренебречь.
Рисунок 8. Модель фоторефрактивного эффекта.
Электроны возбуждаются светом с донорных уровней (D)
в зону проводимости, где они диффундируют и дрейфуют в электрическом поле до
тех пор, пока не будут захвачены акцепторами (А) или ионизированными донорами
Попадание светового излучения в фотопроводящий
кристалл приводит к возникновению в нем дополнительных (фотоиндуцированных) пар
электронов и ионизированных доноров. Фотоиндуцированные электроны,
диффундировавшие в слабоосвещенные области, захватываются там акцепторами. В то
же время, ионизированные доноры не могут двигаться, являясь частью
кристаллической решетки, что ведет к локальным нарушениям электронейтральности.
Возникает так называемый пространственный заряд, плотность распределения
которого неоднородна и повторяет интерференционное распределение интенсивности
света. Нескомпенсированный заряд приводит к появлению электрического поляEзс,
называемого полем пространственного заряда. В свою очередь, полеEзс,
приводит к изменению показателя преломления кристалла в силу наличия у него
электрооптических свойств (рисунок 9)
.
Рисунок 9. Формирование решеток
заряда и электрического поля в случае диффузионного (а) и дрейфового (б)
механизма записи. I(x) - пучок
света, падающей на кристалл,
- распределение положительных зарядов
в кристале,
-
распределение отрицательных зарядов, L -
расстояние, которое проходят отрицательные заряды, Eзс(x) -
электрическое поле записанной решетки.
В адаптивном интерферометре неоднородное
распределение световой интенсивности формируется вследствие интерференции
объектного и опорного световых пучков. После того как сформируется динамическая
голограмма, пучки одновременно дифрагируют на ней так, что дифрагировавшая
часть объектного пучка распространяется в направлении опорного пучка и
наоборот. Благодаря основному принципу голографии, волновой фронт
дифрагировавшей части опорного пучка представляет точную копию
недифрагировавшей части объектного пучка. То же остается справедливым для
другой пары пучков в кристалле. В результате после кристалла в направлении
каждого пучка мы имеем когерентное сложение двух интерферирующих световых
пучков с абсолютно одинаковыми волновыми фронтами. Таким образом, проблема
сопряжения волновых фронтов в интерферометре на основе голограммы решается
автоматически. Это позволяет в частности использовать волны со сколь угодно
сложным волновым фронтом как в одном, так и в обоих плечах адаптивного
интерферометра без снижения эффективности его работы.
3.3 Ортогональная
геометрия взаимодействия световых волн в фоторефрактивном кристалле
Существует несколько схем записи голограмм в
фоторефрактивном кристалле: пропускающая, отражательная и ортогональная [15].
Как было показано [16], в широком круге практических задач наиболее
перспективной является ортогональная геометрия.
Схема ортогонального взаимодействия световых
пучков в фоторефрактивном кристалле представлена на рисунке10.
Рисунок10. Схема ортогонального
взаимодействия световых пучков в фоторефрактивном кристалле.S - объектная
волна, R - опорная, 
- вектор решетки.
Световые лучи приходят в
фоторефрактивный кристалл под прямым углом друг к другу, где формируют
голографическую решетку, вектор которой направлен к ним под углом 45º. Характер
взаимодействия световых пучков определяет их взаимная ориентация по отношению к
кристаллографическим осям. Эффективность взаимодействия волн в
электрооптическом кристалле существенно зависит от ориентации электрического
поля в кристалле, среза кристалла и ориентации голографической решетки
относительно кристаллографических осей [16].
В работе использована ориентация
кристалла, показанная на рисунке11. При данной ориентации взаимодействуют S-компоненты
объектной и опорной волны, P-компоненты ортогональны и не
взаимодействуют. Благодаря этому, в качестве объектной волны может
использоваться излучение от диффузно-рассевающих объектов или излучение
вышедшей из многомодового волоконного световода.
Рисунок 11. Ортогональная схема
записи голограммы в фоторефрактивном кристалле.
4. ЭКСПЕРИМЕНТАЛЬНОЕ
ИССЛЕДОВАНИЕ КОЛЕБАНИЙ МИКРООБЪЕКТОВ С ПОМОЩЬЮ АДАПТИВНОГО ИНТЕРФЕРОМЕТРА
4.1 Детектирование и исследование
колебаний микрообъектов
4.1.1
Экспериментальная установка
Для исследования колебаний микрообъектов была
собранна экспериментальная установка на основе адаптивного голографического
интерферометра, схема установки приведена на рисунке 12а. В работе использована
ортогональная схема записи голограмм в кристалле, показанная на рисунке 11.
Рисунок 12а. Схема экспериментальной установки. m1,
m3, m4
- зеркала; S - светоделитель; L1,
L2,L3
- собирающие линзы; л/4 - четвертьволновая пластинка; ФРК - фоторефрактивный
кристалл; D -
электродинамический преобразователь; ФП - фотоприемник; MT
-моторизированный двух-координатный транслятор.
В качестве источника излучения использовался Nd:YAG-лазер,
работающий в непрерывном режиме на длине волны 1064 нм, мощностью 25 мВт.
Лазерный пучок посредством светоделителя S делился на объектный и опорный.
Объектный пучок фокусировался линзой L1и
направлялся на исследуемый объект, закрепленный на калиброванном
электродинамическом преобразователе, с помощью которого осуществлялась передача
колебаний исследуемому образцу. Вследствие колебаний образца, отраженное от
него излучение было модулировано по фазе. Отраженное излучение собиралось
линзой L1и
фокусировалось линзой L2в
фоторефрактивном кристаллеCdTe.
Демодуляция фазы волны, отраженной от объекта, осуществлялась посредством ее
взаимодействия с опорной волной на динамической голограмме, формируемой в
кристалле. Интенсивность объектного пучка регистрировалось с помощью
фотоприемникаThorlabsPDA10CS-ES.Сигнал
от фотоприемника поступал в АЦП. Перемещение образцов относительно объектного
пучка осуществлялась с помощьюсистемы автоматизированного трехкоординатного
моторизированного перемещения, принцип построения которой рассмотрен в разделе
4.3.
В силу малых размеров исследуемых
объектов необходима сильная фокусировка объектного пучка. Минимальный радиус
пучка
в месте максимальной фокусировки
ограничен дифракционным пределом:

, (20)
где л - длина волны излучения, D -
диаметр пучка на входе в фокусирующую линзу, 
- расстояние от линзы до места
максимальной фокусировки.
Исходя из выражения (20), была
подобранна фокусирующая линза, такая, что диаметр линзы был немного больше
входного лазерного пучка,но при этом фокусирующая линза имела минимальное
фокусное расстояние (фокусное расстояние 12мм, диаметр 9мм). С использованием
данной фокусирующей линзы и выполнения точной юстировки размер пучка в месте
максимальной фокусировки составил 32 мкм (рисунок 26а).
Рисунок 12б. Схема экспериментальной
установки для исследования собственных колебаний микрообъектов. m1, m3, m4, m5 - зеркала;
S -
светоделитель; L1, L2,L3,L4,L5 -
собирающие линзы;f1, f2 -
светофильтры л/4 - четвертьволновая пластинка; ФРК - фоторефрактивный кристалл;
D -
электродинамический преобразователь; ФП - фотоприемник; MT
-моторезированный двухкоординатный транслятор.
Для исследования собственных
колебаний микрообъектов экспериментальная установка была модифицирована
следующим образом (рисунок12б). Возбуждение колебаний исследуемых образцов
происходило при помощи импульсного лазера QuantelUltraDiamond,
генерирующего излучение с длиной волны 532 нм и длительностью 7 нс,энергия
лазерного импульса составляла 0,8-1,5 мДж. Излучение импульсного лазера
расширялось, проходило через фильтры, фокусировалось и зеркалом направлялось на
объект.
Как видно из рисунка 12а, излучение
импульсного лазера шло по направлению объектного пучка. Та часть излучения,
которая доходила до фотоприемника приводила к сильному искажению принимаемого
сигнала. Даже, несмотря на сильное поглощение зеленого света в фоторефрактивном
кристалле и слабую чувствительность использованного фотоприемника на длине
волны 532 нм(рисунок 13).
Для исключения влияния излучения
импульсного лазера на работу адаптивного интерферометра был использован набор
светофильтров. В частности, для подавления излучения с длиной волны 532 нм в
схему экспериментальной установки были добавлены два красных фильтра (f2 и f3), спектр
пропускания которых показан на рисунке 14.
Рисунок 13. Зависимость
xувствительности фотоприемника PDA10CS.
Фильтр f2 устанавливался
между светоделителемS и фокусирующей линзой L1, он не
допускал попадания импульса зеленого лазера в ИК-лазер и в объектный пучок интерферометра.
Фильтр f3 плотно закреплялся на фотоприемнике для подавления
рассеянного, а так же прошедшего через фильтр f2 излучения импульсного
лазера.
Рисунок 14. Спектр пропускания
красного фильтра.
Другая проблемма связанна с тем, что
на выходе импусльного лазера кроме излучения с длиной волны 532 нм, содержится
так же излучение с длиной волны 1064 нм, используемое в накачке лазера(рисунок
15).Данный лазерный импульс в значительной мере искажал регистрируемые данные,
так как в адаптивном интерферометре использовалось излучение с такой же длиной
волны (1064 нм). Для подавления длины волны 1064 импульсного лазера был
установлен дополнительный светофильтр f1, спектр пропускания которого
показан на рисунке 16.
Рисунок 15. Спектр излучения
импульсного лазера QuantelUltraDiamond.
Рисунок 16. Спектр пропускания
зеленого фильтра.
Благодаря использованию
светофильтров на осциллограммах регистрируемых сигналов исчезли сильные
выбросы, связанные с перегрузкой фотоприемника, что положительно сказалось на
последующей обработке сигнала и получении Фурье спектров.
Одним из наиболее важных параметров
адаптивного интерферометра является частота отсечки, обратно пропорциональная
времени записи голограммы в кристалле [11]. Для выбранного образца кристалла и
длины волны излучения время записи определяется интенсивностью излучения
(обратно ему пропорционально). Увеличение интенсивности может быть достигнуто
двумя способами: увеличение мощности оптического излучения или уменьшение
поперечных размеров светового пучка за счет фокусировки. Первый способ в данной
экспериментальной установке не приемлем, так как использование мощного
лазерного излучения может повредить исследуемые образцы. Уменьшение же
поперечных размеров световых пучков сталкивается с проблемой уменьшения
эффективной длины их взаимодействия в кристалле вследствие расхождения, что не
существенно для широких пучков. В настоящей работе для увеличения длины
взаимодействия лазерных пучков в качестве фокусирующей линзы L3 на
рисунке 12а и 12б использовалась цилиндрическая линза с фокусным расстоянием
160мм. Расположение фокусирующих линз было подобранно таким образом, чтобы
объектный и опорный лазерный пучок пересекались точно в месте их максимальной
фокусировки.
Оптимизация фокусирующей системы для
образца кристаллаCdTe (теллурита кадмия) позволило при
модуляции фазы 1,1 радиан получить отношение переменной составляющей сигнала к
постоянной:=54%,
где 
удвоенная амплитуда переменного
сигнала, принимаемого фотоприемником, 
- постоянная (средняя) составляющая
сигнала. Относительный порог детектирования адаптивного интерферометра составил
rel=5,7
[11].Данная величина означает, что предел детектирования адаптивного
интерферометра всего в 5,7 раз меньше предела детектирования классического
гомодинного интерферометра, не имеющего оптических потерь.
.1.2 Исследуемые
объекты
В работе выполнена оптимизация экспериментальной
установки и автоматизированного программно-аппаратного комплекса в процессе
исследования детектирования колебаний тестовых образцов. В качестве одного из
таких образцов использовано кварцевое волокно, показанное на рисунке 17.
Тестовый образец имел гладкую ровную поверхность и известный диаметр - 125 мкм.
Объектный пучок интерферометра фокусировался на торец волокна. Отраженное от
торца волокна излучение направлялось в интерферометр, отношение мощности
излучения направляемого на объект и отраженного от него не превышало 6%.
Рисунок 17. Торец исследуемого кварцевого
световода с поперечным сечением 125мкм
С целью определения минимальных размеров,
которые могут иметь исследуемые объекты, в качестве тестовых образцов были использованы
вытянутые кварцевые световоды диаметром 16 мкм и 2 мкм без дополнительных
отражающих покрытий (рисунки 18 и 19). Отношение мощности отраженного от
объекта излучения и излучения направляемого на объект не превышало 4%. Тем
самым моделировалось исследование слабоотражающих и полупрозрачных объектов.
Для исследования собственных колебаний
микрообъектов были выбраны кантилеверы, применяемые в атомно-силовых
микроскопах. Кантилеверы жестко закреплялись на системе трехкоординатного
позиционирования так, чтобы можно было легко подводить излучение с обеих
сторон. Снимки кантилеверов представлены на рисунке20.
Рисунок20. Снимки кантилеверов, сделанные с
помощью оптического микроскопа Hirox KH-7700.
В таблице 1 приведены геометрические параметры
кантилеверов и диапазоны значений жесткости и собственной частоты колебаний
(значения взяты из данных предоставленных производителем).
Таблица 1. Параметры используемых кантилеверов:
|
тип:
|
I
|
II
|
|
длина
L
|
180
мкм
|
|
ширина
w
|
45
мкм
|
22
мкм
|
|
высота
Th
|
2
мкм
|
20
мкм
|
|
высота
зонда H
|
12-16
мкм
|
15-20
мкм
|
|
упругость
k
|
0,02-0,8
Н/м
|
0,5-9
Н/м
|
|
частота
колебаний
|
5-25
кГц
|
170-196
кГц
|
4.2.3 Исследование малых колебаний
микрообъектов
При оптимизации работы экспериментальной
установки исследовано кварцевое волокно известного диаметра, торец которого
показан на рисунке 17. Для этого волокна получены зависимости интенсивности
лазерного пучка, принимаемого фотоприемником, от положения образца относительно
объектного пучка (рисунке 21)
Рисунок 21. Распределение интенсивности пучка,
принимаемого фотоприемником от положения сканирующего пучка.
Поперечный диаметр светового поля составил 150
мкм(по уровню 1/e), чтос
учетом диаметра сканирующего пучка в месте максимальной фокусировки равного 32
мкм, находится в хорошем соответствии с диаметром волокна (125 мкм). Это
позволяет заключить о правильной работе экспериментальной установки и
корректности получаемых данных.
Для исследования работы экспериментальной установки
в режиме регистрации колебаний использовались образцы, показанные на рисунке 18
и 19. С помощью дополнительного «реперного» волокна обеспечивалась привязка
регистрируемых данных к координатам. Реперное кварцевое волокно и исследуемые
образцы закреплялись на калиброванном электродинамическом преобразователе,
осуществляющем их колебания. Пространственное расположение образцов и реперного
кварцевого волокна показано на рисунке 22.
На рисунке 23 для двух образцов (диаметром 16
мкм и 2 мкм) представлена зависимость амплитуды демодулированного сигнала от
положения образца, который перемещался относительно сканирующего пучка вдоль
направления X от реперного
кварцевого волокна к исследуемому образцу. Амплитуда продольных колебаний
образца составляла 20 нм. Участок кривых ABна
рисунке 22 соответствует сигналу от реперного кварцевого волокна. Далее после
небольшого промежутка BC
сигнал начинает возрастать (участок кривых СD),
это означает, что сканирующий пучок начинает попадать на исследуемый образец.
Характер изменения амплитуды сигнала демодуляции от расстояния вдоль оси X
находится в соответствии с пространственным расположением образца и реперного
оптического волокна (рисунок21), что подтверждает полученные результаты.
Также исследован образец с поперечным диаметром
300 нм, снимок которого представлен на рисунке 24. На экспериментально
полученной зависимости на рисунке 25видно, что на участке AB
сигнал демодуляции отсутствует. Далее сигнал резко возрастает (участок BC),
что соответствует попаданию санирующего пучка на образец. Падения сигнала в
области Dобусловлено формой
образца, из-за которой сканирующий пучок отражается под большим углом и не
попадает в интерферометр. Затем сканирующий пучок перемещается в более широкую
область образца. Это отражается на экспериментальной зависимости как
возрастания амплитуды сигнала (участок DE).
Рисунок 24. Снимок исследуемого образца с
поперечным диаметром 16 мкм и 300 нм.
Рисунок25. Зависимость амплитуды сигнала от
расстояния по направлению X
для образца с диаметром 300 нм.
Стоит отметить, что световой пучок, полученный
от данного объекта, имеет сложный волновой фронт, в частности его распределение
в плоскости кристалла показано на рисунке 26б. Однако, несмотря на это, в силу
адаптивных свойств голограммы, интерферометр работал эффективно и позволял
производить фазовую демодуляцию такого пучка.
.2.3 Создание установки и методика
изменения дополнительной массы кантилевера
Изменение массы микрокантилеверов является
наиболее сложной задачей. Использованная теоретическая модель налагает
ограничения на ее расположение. Дополнительная масса должна располагаться на
свободном конце кантилевера или как можно ближе к нему, симметрично
относительно главной оси. В случае, например, напыления пленки изменится так же
геометрический размер и упругость кантилевера, что значительно усложнит
определение величины дополнительной массы.
Прикрепление каких-либо микроскопических
объектов простой геометрической формы -очевидное решение данной задачи. Однако,
жесткая связь объекта и кантилевера труднодостижима. Нанесение тонких слоев
склеивающих или вязких жидкостей в микрометрическом масштабе технически сложно,
вследствие существования у жидкостей поверхностного натяжения.
На первом этапе в качестве дополнительной массы
использовались кристаллы соли, образующиеся из насыщенного солевого раствора в
процессе понижения температуры. Для этого была собранна установка, схема
которой представлена на рисунке 27.
Насыщенный раствор NaCl
нагревался до температуры 97ºС.
На поверхность раствора опускался под небольшим углом кантилевер. Затем
температура раствора медленно понижалась. Вследствие зависимости предельной
концентрации раствора от температуры, начинался процесс кристаллизации. Так как
температура кантилевера меньше температуры жидкости, наиболее вероятно то, что
кристаллы начнут образовываться на его поверхности. Снимок кантилевера с таким
кристаллом показан на рисунке 28. . Однако, такой подход не позволял
контролировать размеры формируемых кристаллов, а также их положение. Кроме
того, в большинстве случаев процесс осаждения кристаллов соли приводил к
поломке кантилевера, что позволило сделать вывод о неэффективности данного
метода.
Другие методы изменения массы микрокантилевера
заключались в напылении тонкой металлической пленки (платина+палладий) на
кантилевер. При напылении должна создаваться сосредоточенная масса, поэтому
напыление тонкой пленки на кантилевер не производилось на всю поверхность, а
только на его свободный конец.При напылении только части кантилевера необходимо
другую его часть временно закрыть экраном.
Один из вариантов закрытия экраном основной
части кантилевера включал в себя использование тонкой парафиновой пленки
(рисунок 29). Пленка помещалась на нужное место на поверхности кантилевера с
помощью трех-координатного нано-транслятора с установленной на него тонкой
кварцевой иглой. Использование дополнительного охлаждения установки решало
проблему преждевременного прилипания парафина.
После того как пленка была помещена на нужное
место, температура повышалась до тех пор пока пленка не начинала расплавляться.
Таким образом, парафин плотно закреплялся на кантилевере (рисунок 30). Затем на
кантилевер напылялась тонкая металлическая пленка толщиной около 100 нм.
Предполагалось, что такая пленка будет легко удалена с закрытой части
кантилевера вместе с парафином. Однако на поверхности кантилевера оставалось
много мелких кусковметаллической пленки, удалить которые не удавалось.
Рисунок 30. Кантилевер закрытый парафиновой
пленкой.
Следующий вариант закрытия основной части
кантилевера пленкой заключался в использовании полиэтиленовой пленки толщиной 5
мкм(рисунок 31). Она так же помещалась на нужное место с помощью
нано-транслятора, после чего производилось напыление металлической пленки
(золото+палладий) толщиной ~40нм.
Рисунок 31. Кантилевер закрытый тонкой
полиэтиленовой пленкой.
Полиэтиленовая пленка легко удалялась с частью
напыленной металлической пленки. Однако кроме металлической пленки на
поверхность кантилевера прикрепилось множество микроскопических объектов.Как
видно из рисунка 32, эти микро-объекты слабо связаны с кантилевером и было
предположено, что в процессе измерений они будут отделяться от кантилевера.
Данное предположение получило экспериментальное подтверждение.
Рисунок 32. Снимок кантилевера с напыленной
металлической пленкой.
Другие методы прикрепления дополнительной массы
в настоящей работе не применялись. Однако, следует отметить, что использование
микро- и нано- манипуляторов, FIB-систем,
специализированных систем напыления и др. позволило бы произвести калибровку,
определить предел детектирования измерительной системы.
4.2.4 Исследование малых колебаний
микрообъектов с прикрепленной массой
Детектирование малых колебаний кантилеверов с
прикрепленной массой осуществлялось с помощью экспериментальной установки,
изображенной на рисунке 8. Возбуждения собственных колебаний кантилевера
осуществлялось с помощью импульсного лазера QuantelUltraDiamond. Энергия
импульса составляла 0,8-1,5 мДж, мощность излучения ИК-лазера в объектном пучке
интерферометра 12 мВт, а мощность отраженного от объекта излучения не более
0,2мВт. Объектный пучок, а так же излучение импульсного лазера фокусировалось
на свободном конце кантилевера.
Благодаря использованию оптимальной фокусирующей
системы удалось достичь соотношения переменной составляющей сигнала к
постоянной более 10%:
Изменение интенсивности объектного
пучка фиксировались фотоприемником. Сигнал с фотоприемника поступал в
осциллограф. Синхронизация сигнала осуществлялась по лазерному импульсу.
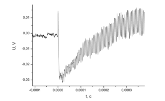
Характерный видосциллограммы принимаемого сигнала для кантилевераC8 показан на
рисунке 33. Время записи сигнала составляла 200 мс, частота дискретизации
отсчетов в секунду. Подбор данных
параметров записи осциллограмм ограничен глубиной памяти использованного
осциллографа, которая составляла 128Mb. Обработка
сигнала заключалась в построении Фурье спектра и аппроксимации пика,
соответствующего собственным колебаниям кантилевера. Обработка данных
производилась в специализированном программном пакете OriginPro 8.
Рисунок 33. Осциллограмма
принимаемого сигнала.
На Фурье спектре принимаемого
сигнала (Рисунок 34) хорошо виден пик, соответствующий собственным колебаниям
кантилевера. Ширина пика 272Гц (на уровне 50%), значение собственной частоты
после аппроксимация 174860,5±1,5Гц. Среднеквадратичная ошибка определения
частоты собственных колебаний кантилевера составила5 Гц.
Аппроксимация пика на Фурье спектре
сигнала производилась амплитудной функцией Гаусса методом последовательных
приближений (рисунок 35).
, (20)
где 
-«нулевой» уровень Фурье спектра, A
- амплитуда пика, 
- положение пика, 
- полуширина пика (рисунок 35).
Рисунок 34. Фурье спектр собственных
колебаний кантилевера.
Рисунок 35. Аппроксимация
Фурье-спектра собственных колебаний кантилевера амплитудной функцией Гаусса.
Для двух кантилеверов С9 и С8 с
напыленной пленкой (платина+палладий) построены зависимости частоты от номера
выстрела импульсного лазера. На графике, изображенном на рисунке 36, частота
собственных колебаний кантилевера С9 в начале практически не меняется, затем в
течении 60 импульсов увеличивается на 400 Гц, что соответствует уменьшению
массы кантилевера на 234
г. Среднеквадратичная ошибка
определена из предположения, что измерения 2,3,4 соответствуют колебаниям
кантилевера с прикрепленной массой, а измерения с 6 по 11 - без прикрепленной
массы.
Рисунок 36. Зависимость частоты
собственных колебаний кантилевераС9 от номера выстрела импульсного лазера.
После воздействия 61 импульса
частота собственных колебаний исследуемого образца изменилась на 750 Гц, что
соответствует изменению прикрепленной массы на 
г.
Рисунок 37. Зависимость частоты
собственных колебаний кантилевераС8 от номера выстрела импульсного лазера.
Как видно из этой зависимости снимки,
полученные до и после эксперимента, находятся в соответствии с полученной
зависимостью изменения массы от количества выстрелов импульсного лазера. При
сравнении снимков а) и б) на рисунке 38 и 39 видно, что из-за воздействия
лазерных импульсов большая часть микрообъектов с поверхности кантилевера была
удалена.
а)
б)
Рисунок 38. Снимки кантилевераC9 до(а) и
после эксперимента (б).
а) б)
Рисунок 39. Снимки кантилевера С8 до
(а) и после эксперимента (б).
.3 Автоматизация перемещения и сбора
данных
.3.2 Программа MotorControlfor 8DCMC1
Так как исследуемые образцы и
объектный пучок имели малый размер, перемещение исследуемых образцов
относительно объектного пучка осуществлялось с помощью автоматизированной
системы нано-позиционирования. Автоматизация перемещения, сбор и обработка
данных, полученных с анолого-цифрового преобразователя (АЦП), осуществлялось с
помощью специально разработанного программно-аппаратного комплекса, состоящего
из отдельных нано-трансляторов, контроллера, АЦП и компьютера со
специализированной программой.
Рисунок40. Система линейного
моторизировано перемещения.
Применение данного комплекса
позволило осуществлять перемещение с точностью до 20нм (с учетом использования
двух нано-трансляторов) и со скоростью до 0,5мм/с. Сбор данных, их обработка и
запись в заданный файл происходило автоматически с помощью одной программы.
Рисунок 41. Главное диалоговое окно
программы «motorcontrolfor 8DCMC1»
На рисунке41 изображено главное
диалоговое окно программы «motorcontrolfor 8DCMC1». Как видно из рисунка, программа
имеет простой и интуитивно понятный интерфейс. В одном диалоговом окне можно не
только управлять передвижением (поле «MR»), но и задавать различные параметры
передвижения (поля «Setoptions»), рабочие директории («Dataexchange») и другие
параметры. Для использования дополнительных возможностей нано-трансляторов
имеются специальные поля для обмена текстовой информацией с контроллером (окна
«SendData», «ReciveData»).
Рисунок 42. Основная блок схема
программы «motorcontrolfor 8DCMC1»
Некоторые громоздкие функции и
процедуры, например взаимодействие программы с COM портом компьютера для
передачи данных в контроллер, были реализованы в специализированной библиотеке
SerialGate.dll. Таким образом, передача некоторой строки данных сводилась к
действию объекта, реализованного в библиотеке SerialGate.dll, над передаваемой
в контроллер строковой переменной.
Основным назначением данной
программы является двумерное сканирование выбранной области пространства,
реализованное в специальной функции «2D Scan».
Для выполнения сканирования наиболее
часто используется схема, при которой для каждой точки записывается положения
транслятора и значение сигнала на АЦП. Время получения ответа от используемых
трансляторов о текущем положении составляла не менее 150мс. Так для
сканирования области 200×200 точек
потребовалось бы не менее 200минут, поэтому в работе использована другая схема
сбора данных.
Рассмотри блок схему передвижения
отдельного нано-транслятора (Рисунок 43) при выполнении функции «2D Scan» с
записью оцифрованных данных в файл.
После выбора активного транслятора
каждый раз перед началом работы передается команда «ON», которая включает и
фиксирует шаговый двигатель, после этого для определения готовности двигателя и
проверки правильности работы контроллера считывается текущее положение
транслятора посредством передачи команды «TP». Как только значение текущей
позиции транслятора получено, в контроллер записывается значения параметров
передвижения: скорости и ускорения. После передачи команды о начале движения
программа запоминает первую позицию в данных, поступающих с АЦП. Пока
транслятор осуществляет движение, с периодичностью 200мс происходит запрос
текущей позиции транслятора и ее сравнение с разрешенным интервалом. В случае
положительного результата запоминается вторая позиция в данных АЦП, и все
данные, находящиеся между первой и второй позицией, записываются в файл.
Время сканирования области 200×200 точек
составила 18 минут при частоте опроса АЦП равной 100 Гц.
В работе нано-транслятора характерно
наличие несовпадения конечного положения транслятора и положением, указанным в
переданной команде. Поэтому был введен допустимый интервал положения
транслятора. Если текущие положение транслятора попадало в этот интервал, то
считалось, что передвижение выполнено и программа приступала к выполнению
следующего действия.
Рисисунок43. Блок схема передвижения
отдельного нано-транслятора при выполнении двухмерного сканирования.
Функция «2D Scan» выполняется с
использованием двух нано-трансляторов, которые движутся попеременно или вместе.
На Рис. 12 представлена схема передвижения трансляторов, на которой показаны
пунктирной линией передвижения без обращения к АЦП, сплошной линией-
передвижения с записью данных из АЦП в файл.
а) передвижение от центра сканируемой
области к одному из углов.
б) передвижение от угла сканируемой
области с возвратом по горизонтали.
в) передвижение к начальной позиции
Рисунок 40. Движение нано-трансляторов
при выполнении двумерного сканирования выбранной прямоугольной области.
Пунктиром обозначены линии, по которым транслятор двигается без считывания
информации с АЦП.
Возврат после сканирования каждой
линии необходим для компенсации люфта, который имеется в каждом трансляторе, и
может различаться при прямом и обратном движении. Как видно из рисунка 40,
запись данных происходит строго при движении транслятора в одном выбранном
направлении.
Программа стабильно работала на
протяжении всего времени проведения измерений, для своей работы требовала очень
мало ресурсов ПК: процессорное время не превышало 0,16%, использование памяти
ОЗУ 3мб. Количество собранных данных ограничивается только объемом свободного
дискового пространства.
В виду создания данного приложения в
среде Visual C++ 6.0 с использованием класса MFC, заметно упрощена процедура
добавления новых функций в программу: дополнительной программной обработки
данных, использование иной таблицы команд, новых диалоговых окон, панелей,
кнопок и полей. Таким образом, программу можно легко переориентировать для
решения других задач, связанных с управлением позиционерами, сбором и
обработкой данных.
Заключение
В данной работе разработана и
практически реализована система для измерения сверхмалых масс микрообъектов на
основе адаптивного голографического интерферометра. Данная система позволяет
измерить массы с точностью до 
г.
Проведены исследования колебаний
малых (характерным размером~1мкм) слабоотражающих объектов,с сложным волновым
фронтом излучения, отраженного от них. Рассмотрена и применена теоретическая
модель,наиболее точно описывающая собственные колебания кантилевера.
Выполненный теоретический расчет находится в согласии с данными, полученными в
ходе эксперимента.
Разработан и реализован
программно-аппаратный комплекс (ПАК), применение которого позволило
автоматизировать процесс измерения. В частности, ПАК обеспечил осуществление
автоматизированной установки образцов в нужное место интерферометра, сбор и
обработку данных, а так же двумерное сканирование объектов. Разработанный
комплекс может быть легко переориентирован для решения других задач, связанных
с управлением позиционерами, сбором и обработкой экспериментальных данных.
В настоящей работе использована
ортогональная схема записи динамических голограмм в кристалле, которая делает
возможным создание многоканальной измерительной системы. Следует отметить, что
ортогональная геометрия формирования динамической голограммы в ФРК позволяет
создавать поляризационно-независимые схемы адаптивных интерферометров [19].
Поэтому представленный принцип детектирования малых колебаний может быть
использован в том числе и для исследования сложных микро- и нано- объектов,
взаимодействие излучения с которыми может приводить к изменению
поляризационного состояния отраженной волн или полной ее деполяризации.
Разработанная система измерения
сверх малых масс может найти применение в метрологии для измерения масс
различных микро- и нанообъектов,в биологических и биомедицинских исследованиях
(детектирование вирусов, молекул ДНК, белков).
Список
использованной литературы
колебание
микрообъект интерферометр кантилевер
1. S.V.
Gupta. Nano-Technology for Detection of Small Mass Difference. // Journal of
Metrology Society of India, Vol. 23, No. 3, 177-192 (2008)
. S.
Singamaneniet al. BimaterialMicrocantilevers as a Hybrid Sensing Platform.//
Advanced Materials, Vol. 20, 653-680 (2008)
. L.M.
Lechuga, J.Tamayo, M. Álvarezet
al.A highly sensitive microsystem based on nanomechanical biosensors for
Genomics applications. // Sensors and Actuators B, Vol. 118, 2-10 (2006)
. B.
Ilic, et al. Mechanical resonant immunospecific biological detector. // Applied
Physics Letters, 77,p 450-452 (2000)
5. Bashir
R. BioMEMS: state-of-the-art in detection, opportunities and prospects.
//Advanced Drug Delivery Reviews, 56, 1565-1586.(2004)
6. B.
Ilic, H. G. Craighead, S. Krylov, W. Senaratne, C. Ober, and P. Neuzil.
Attogram detection using nanoelectromechanical oscillators // J. Appl. Phys.
-Vol.95.
(2004)
7. M.
Sato, B.E. Hubbard, L.Q. English, and A.J. Sievers, B. Ilic, D.A. Czaplewski and
H. G. Craighead. Study of intrinsic localized vibrational modes in
micromechanical oscillator arrays. //CHAOS -Vol. 13, No.2 - P.702-715.(2003)
. L.
Sekaric,M. Zalalutdinov, S. W. Turner, A. T. Zehnder, J. M. Parpia, and H. G.
Craighead Nanomechanical resonant structures as tunable passive modulators of
light. // J. Appl. Phys.-Vol.80. (2002)
9. Günter
Wilkening, LudgerKoenders. Nanoscale calibration standards and methods :
dimensional and related measurements in the micro- and nanometer range. //
Weinheim : Wiley-VCH Verlag GmbH & Co. KGaA, (2005)
10. М.П.
Петров, С.И. Степанов, А.В. Хоменко.
Фоточувствительныеэлектрооптическиесредывголографиииоптическойобработкеинформации.
// Л.: Наука Ленингр. отд.-ние. - 1983. - 269 с.
11. S.
Di Girolamo, A.A.Kamshilin, R.V.Romashko, Yu.N.Kulchin, J.-C.Launay. Fast
adaptive interferometer on dynamic reflection hologram in CdTe:V. // Optics
Express. - Vol.15. - No.2. - P.545-555. (2007)
. A.
Ashkin, G. D. Boyd, J. M. Dziedzic, R. G. Smith, A. A. Ballman, J. J. Levinstein,
K. Nassau. Optically-inducedrefractiveindex inhomogeneities in LiNbO3
and LiTaO3. // Appl. Phys. Lett. - V.9. - P.72. (1966)
. P.
Gunter, J.-P. Huignard, eds. Photorefractive materials and their applications.
// 2: Materials. Springer Series in Optical Sciences. - V.114. - 646 p. (2007)
. G.
Zhang, D. Kip, D.D. Nolte, J. Xu, eds. OSA Trends in Optics and Photonics:
Photorefractive Effects, Materials, and Devices. - V.99. (2005)
15. P.
Delaye, C. Denz, L. Mager, G. Montemezzani, eds. OSA
Trends in Optics and Photonics: Photorefractive Effects, Materials, and
Devices. - V.87. (2003)
16. В.Л.
Винецкий, Н.В.Кухтарев. Динамическая голография. - Киев: Наукова думка. - 125
с. (1983)
17. Di
Girolamo S., Romashko R.V., Kulchin Y.N., Kamshilin A.A. Orthogonal geometry of
wave interaction in a photorefractive crystal for linear phase demodulation. //
Opt. Commun. - V.283. - P.128-131. (2010)
18. K.
Jensen, Kwanpyo Kim and A. Zettl. An atomic-resolution nanomechanicalmass
sensor. // Nature nanotechnology. -VOL 3. - September (2008)
. R.V.
Romashko,S. Di Girolamo, Y.N. Kulchin, and A.A. Kamshilin. Photorefractive
vectorial wave mixingin different geometries.// J. Opt. Soc. Am. -Vol. 27. No.
2. -P. 311-317. (2010)