Функционально-стоимостный исследование зубчатой муфты
Содержание
Введение
. Функционально-стоимостный анализ
.1
Определение функций муфты
.2 Построение
FAST-диаграммы
.3
Структурная модель
.4
Функционально-структурная модель
.5
Определение количественной оценки функций
.6 Построение
матриц значимости и совмещенных функционально-стоимостных диаграмм
. Задачи логистического анализа
.1 Задача о
назначениях
.2 Задача о
распределении
.3 Задача
№1.02
.4 Задача
№1.13
Заключение
Список
литературы
Введение
В середине ХХ столетия во всем мире научная и техническая мысль была
озабочена дальнейшим совершенствованием техники и технологии, что должно
повысить качественный уровень технических объектов при снижении затрат на их
производство. В результате появился новый метод, позволивший обеспечить выпуск
качественной продукции. Этот метод получил название функционально-стоимостный
анализ (ФСА).
В США термин «стоимостный анализ» впервые был введен в 1947г. в компании
«Дженерал электрик». Толчком к разработке метода послужило то обстоятельство,
что в годы второй мировой войны из-за нехватки ряда дорогостоящих цветных
металлов конструкторский отдел разрешил временно изготавливать некоторые детали
из дешевых доступных материалов.
После войны было установлено, что изделия с деталями, изготовленными из
дешевых материалов, нормально функционировали и их качество сохранилось на
нормальном уровне. Отсюда были сделаны выводы, что, во-первых, ранее созданные
конструкции имели неопределенные «запасы» качества, которые не используются в
эксплуатации и которые удорожают изделия, и, во-вторых, для предотвращения
упомянутых «излишеств» в конструкциях и обеспечение, следовательно, небольших
затрат необходимо при конструировании осуществлять экономический анализ. Группа
специалистов под руководством инженера Л. Майлса разработала в связи с этим
«стоимостный анализ», т.е. фактически ФСА технических объектов.
1. Функционально-стоимостный анализ
Зубчатые муфты обладают высокой несущей способностью и надежностью при
малых габаритный размерах вследствие большого числа одновременно работающих
зубьев; допускают значительную частоту вращения; окружная скорость на зубьях
может составлять 25 м/с.
Рисунок 1 - Муфта зубчатая с цельной обоймой
Муфта зубчатая с цельной обоймой представлена на рисунке 1. Муфта состоит
из двух полумуфт (втулок) с внешними зубьями, обоймы и стопорных колец,
удерживающих обойму от осевого перемещения. Муфта работает в условиях обильной
смазки, прокачиваемой через муфту, и передает вращающий момент от 700 до 125
000 H∙м. Соединяет валы диаметром от
18 до 160 мм.
Зубья втулки и обоймы выполняют с эвольвентным профилем с углом
зацепления α = 20 градусов. Для компенсации угловых и радиальных смещений,
зубья зубчатых венцов втулок изготавливают бочкообразной формы.
Для снижения потерь на трение и увеличение долговечности зубьев зубчатое
соединение смазывают.
1.1 Определение функций муфты
Главная функция: передача вращающего момента.
Внутриобъектовые функции:
) основные:
F1 -
передача вращающего момента;
F2 -
компенсация радиальных и угловых смещений валов;
F11 -
обеспечить передачу вращающего момента от вала на втулку 1;
F12 -
обеспечить передачу вращающего момента от втулки 1 к обойме;
F13 -
обеспечить передачу вращающего момента от обоймы к втулке 2;
F14 -
обеспечить передачу вращающего момента от втулки 2 на вал;
F21 -
обеспечить возможность смещения втулки относительно обоймы;
) вспомогательные:
F3 -
фиксация осевого положения муфты относительно валов;
F2111
- обеспечить смазку зубчатого зацепления;
) вредные функции:
F211 -
износ зубьев;
F212 -
трение.
1.2 Построение FAST-диаграммы
В основе FAST лежит
положение системного анализа о том, что любой объект при эксплуатации
взаимодействует с другими объектами. Кроме того, FAST предполагает рассмотрение объекта как «черного
ящика», со своими входами и выходами.
На рисунке 2 представлена FAST-диаграмма
муфты.
Рисунок 2 - FAST-диаграмма
.3 Структурная модель
Структурная модель (рисунок 3) служит для того, чтобы показать элементы,
из которых состоит объект.
Рисунок 3 - Структурная модель объекта
Данная схема показывает лишь элементы, из которых состоит объект, но не
отображает функциональные связи между элементами объекта.
1.4 Функционально-структурная модель
Данная модель (рисунок 4) позволяет показать не только элементы, из
которых состоит объект, но и функции, которые эти элементы выполняют.
Рисунок 4 - Функционально-структурная модель
.5 Определение количественной оценки функций
Таблица 1 Затраты на функции
|
Элемент
|
F1
|
F2
|
F3
|
Сумма
|
|
F11
|
F12
|
F13
|
F14
|
F21
|
|
|
|
|
|
|
|
F2111
|
|
|
|
руб.
|
%
|
руб.
|
%
|
руб.
|
%
|
руб.
|
%
|
руб.
|
%
|
руб.
|
%
|
|
|
Обойма
|
-
|
-
|
10
|
10.31
|
10
|
10.31
|
-
|
-
|
7
|
7.22
|
-
|
-
|
27
|
|
Втулка 1
|
5
|
5.15
|
15
|
15.46
|
-
|
-
|
-
|
-
|
5
|
5.15
|
-
|
-
|
25
|
|
Втулка 2
|
-
|
-
|
-
|
-
|
15
|
15.46
|
5
|
5.15
|
5
|
5.15
|
-
|
-
|
25
|
|
Стопорное кольцо 1
|
-
|
-
|
-
|
-
|
-
|
-
|
-
|
-
|
-
|
-
|
10
|
10.31
|
10
|
|
Стопорное кольцо 2
|
-
|
-
|
-
|
-
|
-
|
-
|
-
|
-
|
-
|
-
|
10
|
10.31
|
10
|
|
Итого
|
5
|
5.15
|
25
|
25.77
|
25
|
25.77
|
5
|
5.15
|
17
|
17.5
|
20
|
20.62
|
100%
|
|
60
|
17
|
20
|
97
|
По данным таблицы 1 строим диаграмму Парето (рисунок 5).
Рисунок 5 - Диаграмма Парето
1.6 Построение матриц значимости и совмещенных
функционально-стоимостных диаграмм
Матрица значимости (таблица 2) позволяет оценить относительную важность
функции. В основе лежит метод расстановки приоритетов, который является
экспертным. В таблице 3 произведен расчет относительной важности функций.
Таблица 2 Матрица значимости
|
F1
|
F2
|
F3
|
|
F1
|
=
|
>
|
>
|
|
F2
|
<
|
=
|
>
|
|
F3
|
<
|
<
|
=
|
Таблица 3 Расчет относительной важности
|
F1
|
F2
|
F3
|
Сумма
|
Pабс
|
Pотн
|
|
F1
|
2
|
3
|
3
|
8
|
46
|
0.46
|
|
F2
|
1
|
2
|
3
|
6
|
32
|
0.32
|
|
F3
|
1
|
1
|
2
|
4
|
22
|
0.22
|
|
Итого
|
|
|
|
|
100
|
1
|
Pабс(F1)=2*8+3*6+3*4=46
Pабс(F2)=1*8+2*6+3*4=32
Pабс(F3)= 1*8+1*6+2*4=22
Pотн= Pабс/Σ Pабс
Совмещенная функционально-стоимостная диаграмма отражает стоимостные
затраты на функцию и важность этой функции.
Данная диаграмма представлена на рисунке 6.
Рисунок 6 - Совмещенная функционально-стоимостная диаграмма
Проанализировав данную диаграмму, приходим к выводу, что существует
дисбаланс между важностью функций и затратами на них. Следует принять меры по
снижению затрат на функции F1 и F3.
Аналогичные вычисления проделаем для остальных функций.
Таблица 4 Матрица значимости
|
F11
|
F12
|
F13
|
F14
|
|
F11
|
=
|
=
|
=
|
=
|
|
F12
|
=
|
=
|
=
|
=
|
|
F13
|
=
|
=
|
=
|
=
|
|
F14
|
=
|
=
|
=
|
=
|
Таблица 5 Относительная важность
|
F11
|
F12
|
F13
|
F14
|
Сумма
|
Pабс
|
Pотн
|
|
F11
|
=2
|
=2
|
=2
|
=2
|
8
|
64
|
0.25
|
|
F12
|
=2
|
=2
|
=2
|
=2
|
8
|
64
|
0.25
|
|
F13
|
=2
|
=2
|
=2
|
=2
|
8
|
64
|
0.25
|
|
F14
|
=2
|
=2
|
=2
|
=2
|
8
|
64
|
0.25
|
|
Итого
|
|
|
|
|
|
256
|
1
|
На рисунке 7 представлена совмещенная функционально-стоимостная диаграмма
для вспомогательных функций.
Рисунок 7 - Совмещенная функционально-стоимостная диаграмма
Проанализировав данную диаграмму, приходим к выводу, что существует
дисбаланс между важностью функций и затратами на них. Следует принять меры по
снижению затрат на функции F12 и F13.
2. Задачи логистического анализа
2.1 Задача о назначениях
Отдел кадров предприятия устроил конкурсный набор специалистов на две
вакантные должности. На эти новые места (НМ) претендуют 3 прежних сотрудника
(ПС), уже работающие в других отделах, и 4 новых сотрудника (НС). Номера новых
сотрудников, новых и прежних мест выбираются по вариантам из таблицы 6. Номера
прежних мест являются номерами прежних сотрудников.
Отдел кадров оценил по десятибалльной шкале компетентность новых сотрудников
(таблица 8) и прежних сотрудников (таблица 7) для работы и на новых местах, и
на прежних местах (ПМ), то есть занимаемых прежними сотрудниками. Необходимо
учесть, что руководство предприятия, во-первых, предпочитает, чтобы прежние
сотрудники не претендовали на места друг друга, и во-вторых, не намерено
увольнять прежних сотрудников.
Необходимо распределить сотрудников по должностям наилучшим образом.
Таблица 6 Номера сотрудников и мест работы для конкретного варианта
|
№ варианта
|
Новые сотрудники (НС)
|
Места работы прежних
сотрудников (ПМ)
|
Новые места (НМ)
|
|
4
|
3,4,5,6
|
4,5,6
|
1,4
|
Таблица 7 Компетентность прежних сотрудников
|
НМ1
|
НМ2
|
НМ3
|
НМ4
|
Занимаемое место
|
|
ПС4
|
7
|
9
|
6
|
8
|
8
|
|
ПС5
|
8
|
7
|
8
|
8
|
7
|
|
ПС6
|
4
|
5
|
6
|
4
|
5
|
Таблица 8 Компетентность новых сотрудников
|
НМ1
|
НМ2
|
НМ3
|
НМ4
|
ПМ1
|
ПМ2
|
ПМ3
|
ПМ4
|
ПМ5
|
ПМ6
|
|
НС3
|
6
|
7
|
6
|
4
|
5
|
4
|
5
|
6
|
6
|
|
НС4
|
7
|
8
|
7
|
6
|
5
|
7
|
6
|
8
|
5
|
5
|
|
НС5
|
7
|
6
|
6
|
5
|
5
|
4
|
5
|
5
|
4
|
6
|
|
НС6
|
8
|
8
|
9
|
7
|
6
|
7
|
8
|
7
|
9
|
8
|
Таблица 9 Компетентность прежних и новых сотрудников
|
ПМ4
|
ПМ5
|
ПМ6
|
НМ1
|
НМ4
|
|
ПС4
|
8
|
0
|
0
|
7
|
8
|
|
ПС5
|
0
|
7
|
0
|
8
|
8
|
|
ПС6
|
0
|
0
|
5
|
4
|
4
|
|
НС3
|
5
|
6
|
6
|
6
|
6
|
|
НС4
|
8
|
5
|
5
|
7
|
6
|
|
НС5
|
5
|
4
|
6
|
7
|
5
|
|
НС6
|
7
|
9
|
8
|
8
|
7
|
Так как матрица (таблица 9) не сбалансирована, введем 2 фиктивных столбца
- Ф1, Ф2. Компетентность в этих столбцах проставим исходя из условий
невыгодности, т.е при максимизации общей компетентности, выберем 0 в качестве
значений для фиктивных столбцов. Результат представлен в таблице 10.
Таблица 10 Сбалансированная матрица
|
ПМ4
|
ПМ5
|
ПМ6
|
НМ1
|
НМ4
|
Ф1
|
Ф2
|
Сотрудники
|
|
ПС4
|
8
|
0
|
0
|
7
|
8
|
0
|
0
|
1
|
|
ПС5
|
0
|
7
|
0
|
8
|
8
|
0
|
0
|
1
|
|
ПС6
|
0
|
0
|
5
|
4
|
4
|
0
|
0
|
1
|
|
НС3
|
5
|
6
|
6
|
6
|
6
|
0
|
0
|
1
|
|
НС4
|
8
|
5
|
5
|
7
|
6
|
0
|
0
|
1
|
|
НС5
|
5
|
4
|
6
|
7
|
5
|
0
|
0
|
1
|
|
НС6
|
7
|
9
|
8
|
8
|
7
|
0
|
0
|
1
|
|
места
|
1
|
1
|
1
|
1
|
1
|
1
|
1
|
=
|
Составим математическую модель задачи.
Cij - компетентность сотрудника на рабочем месте, Xij - факт назначения на должность,
тогда ограничения неравенства можно представить в виде системы уравнений:
Xij=[0;1],
где 0 - сотрудник не назначен, 1 - сотрудник назначен.
Целевая функция принимает вид:
Решение данной задачи в среде Maple представлено на рисунке 8.
Рисунок 8 - Решение задачи в Maple
В таблице 11 представлено решение задачи.
Таблица 11 Решение задачи
|
ПМ4
|
ПМ5
|
ПМ6
|
НМ1
|
НМ4
|
Ф1
|
Ф2
|
|
ПС4
|
0
|
0
|
0
|
0
|
1
|
0
|
0
|
|
ПС5
|
0
|
0
|
0
|
1
|
0
|
0
|
0
|
|
ПС6
|
0
|
0
|
0
|
0
|
0
|
1
|
0
|
|
НС3
|
0
|
0
|
1
|
0
|
0
|
0
|
0
|
|
НС4
|
1
|
0
|
0
|
0
|
0
|
0
|
0
|
|
НС5
|
0
|
0
|
0
|
0
|
0
|
0
|
1
|
|
НС6
|
0
|
1
|
0
|
0
|
0
|
0
|
0
|
По данным таблицы 11, получаем следующее распределение сотрудников по
местам:
) ПС4 переведен на НМ4, на его место взяли НС4;
) ПС5 переведен на НМ1, на его место взяли НС6;
) ПС6 пришлось уволить, на его место взяли НС3;
) НС5 не принят ни на одну должность.
2.2 Задача о распределении
На складах хранится мука, которую необходимо завезти в хлебопекарни.
Номера складов и номера хлебопекарен даны в таблице 12. Текущие тарифы
перевозки муки [руб./т], ежемесячные запасы муки [т/мес.] на складах и
потребности хлебопекарен в муке [т/мес.] указаны в таблице 13.
При этом необходимо учитывать, что из-за ремонтных работ временно нет
возможности перевозить муку с некоторых складов в некоторые хлебопекарни. В
таблице 12 это показано в графе «Запрет перевозки» в формате № склада ×
№ хлебопекарни.
Кроме того, необходимо учесть, что некоторые хлебопекарни имеют договоры
на гарантированную поставку муки с определенных складов. В таблице 12 это
показано в графе «Гарантированная поставка» в формате № склада ×
№ хлебопекарни = объем
поставки.
Необходимо организовать поставки наилучшим образом, учитывая, что мука
хранится и транспортируется в мешках весом 50 кг.
Таблица 12 Номер склада, хлебопекарни, запрещенные и гарантированные
поставки
|
№ варианта
|
№ складов
|
№ хлебопекарен
|
Запрет перевозки
|
Гарантированная поставка,
т/мес.
|
|
4
|
1,2,3,4
|
3,4,5
|
3×3,4×5
|
3×5=40
|
Таблица 13 Запасы, потребности и тарифы перевозок
|
Склады
|
Хлебопекарни
|
|
3
|
4
|
5
|
Запас, т/мес.
|
|
1
|
800
|
200
|
200
|
80
|
|
2
|
500
|
600
|
500
|
70
|
|
3
|
100
|
600
|
300
|
60
|
|
4
|
200
|
400
|
900
|
55
|
|
Спрос, т/мес.
|
58,88
|
62,44
|
73,92
|
|
Согласно условию задачи мука хранится и перевозится в мешках по 50 кг, то
есть единицами измерения переменной Хij является мешок муки. Но запасы муки на складах и
потребности в них хлебопекарен заданы в тоннах. Поэтому для проверки баланса и
дальнейшего решения задачи приведем эти величины к одной единице измерения -
мешкам.
Также стоимость перевозки муки должна быть отнесена к единице продукции,
то есть к мешку муки. Для упрощения задачи, исключим объем гарантированных
поставок из рассмотрения. Данные приведены в таблице 14.
Таблица 14 Исходные данные
|
Склады
|
Хлебопекарни
|
|
3
|
4
|
5
|
Запас, меш.
|
|
1
|
40
|
10
|
10
|
1600
|
|
2
|
25
|
30
|
25
|
1400
|
|
3
|
5
|
30
|
15
|
400
|
|
4
|
10
|
20
|
45
|
1100
|
|
Спрос, меш/мес.
|
1178
|
1249
|
679
|
|
Необходимо проверить сбалансированность матрицы. Для этого сравним спрос
муки в хлебопекарнях и запас муки на складах. Суммарный спрос равен 3106
мешкам, тогда как суммарный запас равен 4500 мешкам. Для того чтобы
сбалансировать матрицу, введем фиктивную хлебопекарню Ф, спрос у которой будет
равен 1394 мешкам. Тариф перевозки в фиктивную хлебопекарню будет равен нулю,
т.к. фактически перевозка не осуществляется. Сбалансированная транспортная
матрица приведена в таблице 15.
Таблица 15 Сбалансированная транспортная матрица
|
Склады
|
Хлебопекарни
|
|
3
|
4
|
5
|
Ф
|
Запас, меш.
|
|
1
|
40
|
10
|
10
|
0
|
1600
|
|
2
|
25
|
30
|
25
|
0
|
|
3
|
1000
|
30
|
15
|
0
|
400
|
|
4
|
10
|
20
|
1000
|
0
|
1100
|
|
Спрос, меш/мес.
|
1178
|
1249
|
679
|
1394
|
спрос=запас
|
функциональный
муфта матрица стоимостный
Для выполнения условия о запрете перевозки из склада 3 в хлебопекарню 3,
и из склада 4 в хлебопекарню 5, применим запрещающие тарифы исходя из условия
невыгодности перевозки.
Построим математическую модель задачи:
) целевая функция:
F(x)=40x11+10x12+10x13+0x14+25x21+30x22+25x23+0x24+1000x31+30x32+15x33+0x34+10x41+20x42+1000x43+0x44→min [руб./мес.];
) ограничения:
х11+х12+х13+х14=1600;
х21+х22+х23+х24=1400;
х31+х32+х33+х34=400;
х41+х42+х43+х44=1100;
х11+х21+х31+х41=1178;
х12+х22+х32+х42=1249;
х13+х23+х33+х43=679;
х14+х24+х34+х44=1394;
xij≥0
Рисунок 9 - Решение задачи в Maple
На рисунке 9 представлено решение данной задачи в программном пакете Maple 12. Для наглядности, перепишем
полученное решение в таблицу (таблица 16).
Таблица 16 Решение задачи
|
Склады
|
Хлебопекарни
|
|
3
|
4
|
5
|
Ф
|
Запас, меш.
|
|
1
|
0
|
1249
|
351
|
0
|
1600
|
|
2
|
78
|
0
|
0
|
1322
|
1400
|
|
3
|
0
|
0
|
328
|
72
|
400
|
|
4
|
1100
|
0
|
0
|
0
|
1100
|
|
Спрос, меш/мес.
|
1178
|
1249
|
679
|
1394
|
спрос=запас
|
Величина целевой функции, т.е. общие затраты на перевозку, составила
33870 руб./мес. Но принимая во внимание то, что мы исключили рассмотрение
гарантированной поставки из рассмотрения, это значение следует скорректировать:
33870+(40*300)=45870 руб./мес.
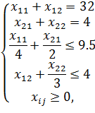
2.3 Задача №1.02
Выполнить заказ по производству 32 изделий И1 и 4 изделий И2
взялись бригады Б1 и Б2. Производительность бригады Б1
по производству изделий И1 и И2 составляет соответственно
4 и 2 изделия в час, фонд рабочего времени этой бригады 9,5 ч.
Производительность бригады Б2 - соответственно 1 и 3 изделий в час,
а ее фонд рабочего времени - 4 ч. Затраты, связанные с производством единицы
изделия, для бригады Б1 равны соответственно 9 и 20 руб., для
бригады Б2 - 15 и 30 руб.
Составьте математическую модель задачи, позволяющую найти оптимальный
объем выпуска изделий, обеспечивающий минимальные затраты на выполнение заказа.
Исходные данные задачи приведены в таблице 17.
Таблица 17 Исходные данные
|
Б1
|
Б2
|
Заказ, шт.
|
|
И1
|
4
|
1
|
32
|
|
И2
|
2
|
3
|
4
|
|
Фонд времени, ч.
|
9,5
|
4
|
|
Составим математическую модель задачи:
) целевая функция:
F(x)=9x11+15x12+20x21+30x22→min;
) ограничения:
где:
x11 - количество изделий И1
изготовленных бригадой Б1;
x12 - количество изделий И1
изготовленных бригадой Б2;
x21 - количество изделий И2
изготовленных бригадой Б1;
x22 - количество изделий И2
изготовленных бригадой Б2.
Решение задачи в Maple
показано на рисунке 11.
Рисунок 10 - Решение задачи в Maple
Получаем, что бригада Б1 изготавливает 32 изделия И1 и
3 изделия И2, а бригада Б2 изготавливает 1 изделие И2.
При этом значение целевой функции равно 378 руб.
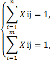
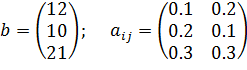
2.4 Задача №1.13
Процесс изготовления изделий двух видов состоит в последовательной
обработке каждого из них на трех станках. Время использования i-го станка составляет bi часов в сутки (i=1,2,3). Время обработки каждого
изделия j-го вида (j=1,2) на i-ом
станке равно aij часам. Прибыль от реализации одного
изделия j-го вида составляет cj руб. Составить план суточного
выпуска изделий так, чтобы прибыль от их производства была максимальной со
следующими данными:
1=65;
c2=80
Исходные данные задачи приведены в таблице 18.
Таблица 18 Исходные данные
|
С1
|
С2
|
С3
|
Прибыль, руб. за единицу
продукции
|
|
И1
|
6
|
12
|
18
|
65
|
|
И2
|
12
|
6
|
18
|
80
|
|
Фонд времени, мин.
|
720
|
600
|
1260
|
|
Составим математическую модель задачи:
) целевая функция:
F(x)=65x1+80x2→max;
) ограничения:
где:
x1 - количество изделий И1;
x2 - количество изделий И2;
Решение задачи в Maple
показано на рисунке 11.
Рисунок 11 - Решение задачи в Maple
Изделий 1-го типа необходимо изготовить 20 штук, изделий 2-го типа - 50
штук. Значение целевой функции при этом равно 5300 руб.
Заключение
В ходе выполнения данного курсового проекта, был выполнен функционально-стоимостный
анализ зубчатой муфты. Также были решены задачи логистического анализа.
Список литературы
1) Ряховский
О. А., Иванов С. С. Справочник по муфтам. - Л.: Политехника, 1991. - 384 с.
) Акулич И.Л.
Математическое программирование в примерах и задачах. М.: Высшая школа, 1986. -
319 с.